Impact of Face Mask-Wearing on Quality of Life in Post-Surgical Oral Cancer Patients: A Cross-Sectional Study
Simple Summary
Abstract
1. Introduction
2. Materials and Methods
2.1. Study Design and Setting
2.2. Study Justification
2.3. Participants and Study Process
2.4. Inclusion and Exclusion Criteria
2.5. Outcomes
2.6. Sample Size
2.7. Questionnaire Design
2.8. Assessment of Internal Consistency and Score Distribution
2.9. Data Analysis
2.10. Statistical Analysis
3. Results
3.1. Characteristics of the Patients
3.2. Assessing the Questionnaire Validity Through Internal Consistency and Score Distribution Analysis
3.3. Impact of Face-Mask Wearing on the QoL
3.4. Impact of Physical Appearance, Initial Tumor Localization, Radiotherapy, and Date of the End of Treatment on QoL, with and Without the Use of a Mask
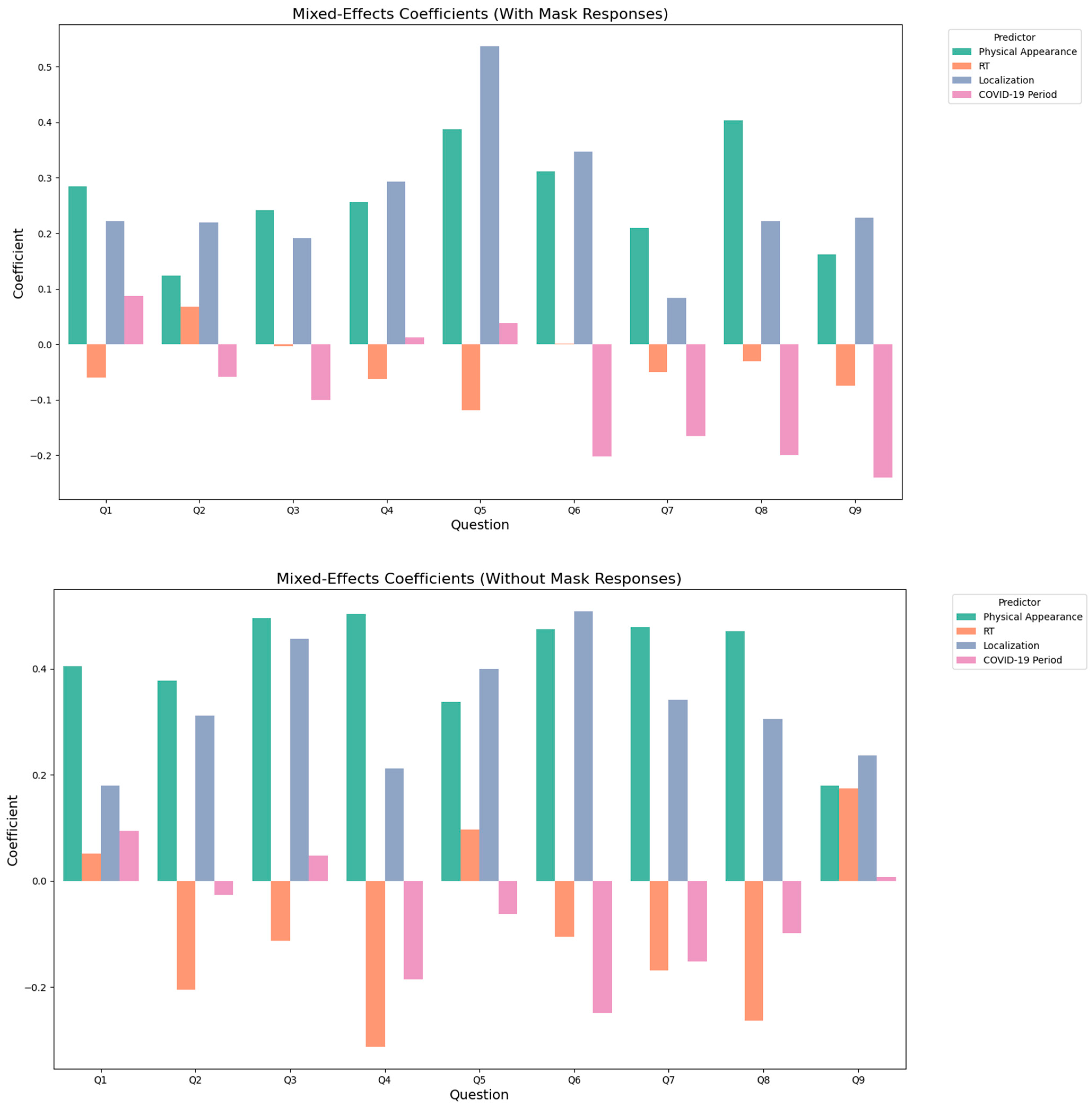
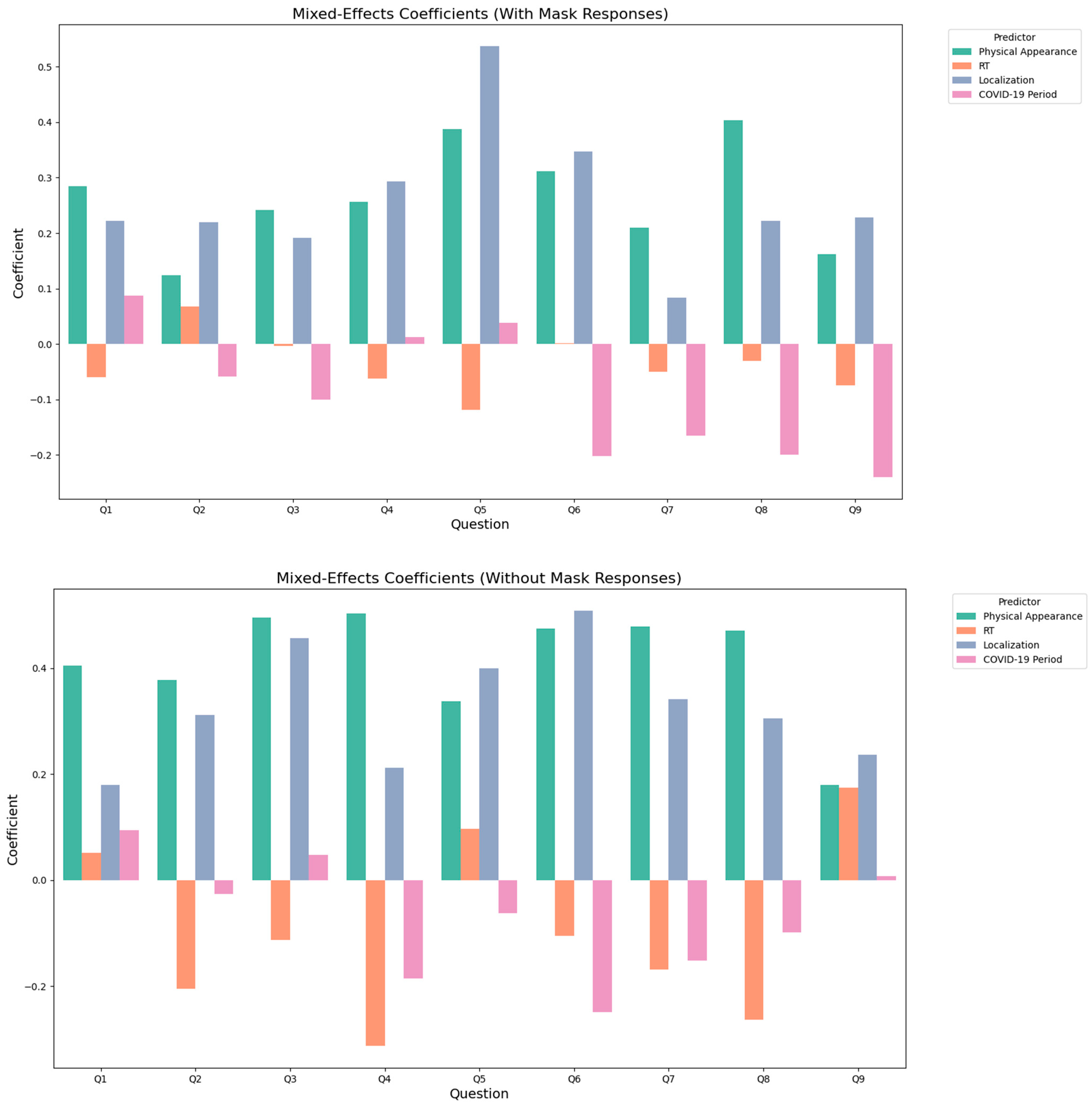
3.5. Analysis of the Association Between the Nine Self-Perception Factors and Physical Appearance, Initial Tumor Localization, Radiotherapy, and Date of the End of Treatment
4. Discussion
5. Conclusions
Supplementary Materials
Author Contributions
Funding
Institutional Review Board Statement
Informed Consent Statement
Data Availability Statement
Conflicts of Interest
References
- Johnson, D.E.; Burtness, B.; Leemans, C.R.; Lui, V.W.Y.; Bauman, J.E.; Grandis, J.R. Head and Neck Squamous Cell Carcinoma. Nat. Rev. Dis. Primers 2020, 6, 92. [Google Scholar] [CrossRef] [PubMed]
- Panarese, I.; Aquino, G.; Ronchi, A.; Longo, F.; Montella, M.; Cozzolino, I.; Roccuzzo, G.; Colella, G.; Caraglia, M.; Franco, R. Oral and Oropharyngeal squamous cell carcinoma: Prognostic and predictive parameters in the etiopathogenetic route. Expert. Rev. Anticancer Ther. 2019, 19, 105–119. [Google Scholar] [CrossRef]
- Chamoli, A.; Gosavi, A.S.; Shirwadkar, U.P.; Wangdale, K.V.; Behera, S.K.; Kurrey, N.K.; Kalia, K.; Mandoli, A. Overview of Oral Cavity Squamous Cell Carcinoma: Risk Factors, Mechanisms, and Diagnostics. Oral Oncol. 2021, 121, 105451. [Google Scholar] [CrossRef]
- Graillon, N.; Iocca, O.; Carey, R.M.; Benjamin, K.; Cannady, S.B.; Hartner, L.; Newman, J.G.; Rajasekaran, K.; Brant, J.A.; Shanti, R.M. What Has the National Cancer Database Taught Us about Oral Cavity Squamous Cell Carcinoma? Int. J. Oral Maxillofac. Surg. 2022, 51, 10–17. [Google Scholar] [CrossRef]
- Rogers, S.N.; Swain, A.; Carroll, C.; Lowe, D. Incidence, Timing, Presentation, Treatment, and Outcomes of Second Primary Head and Neck Squamous Cell Carcinoma after Oral Cancer. Br. J. Oral Maxillofac. Surg. 2019, 57, 1074–1080. [Google Scholar] [CrossRef]
- Baluni, P.; Ravindra, S.; Bhutani, R.; Mishra, A. The Impact of Emotional Distress on Suicidal Ideation in Head and Neck Cancer Patients: A Review. Oral Oncol. Rep. 2024, 11, 100562. [Google Scholar] [CrossRef]
- Hammermüller, C.; Hinz, A.; Dietz, A.; Wichmann, G.; Pirlich, M.; Berger, T.; Zimmermann, K.; Neumuth, T.; Mehnert-Theuerkauf, A.; Wiegand, S.; et al. Depression, Anxiety, Fatigue, and Quality of Life in a Large Sample of Patients Suffering from Head and Neck Cancer in Comparison with the General Population. BMC Cancer 2021, 21, 94. [Google Scholar] [CrossRef] [PubMed]
- Mascarella, M.A.; Morand, G.B.; Hier, M.P.; Mlynarek, A.; Albert, J.G.; Kissane, D.; Henry, M. Dealing with the Vicissitudes and Abject Consequences of Head and Neck Cancer: A Vital Role for Psycho-Oncology. Curr. Oncol. 2022, 29, 6714–6723. [Google Scholar] [CrossRef] [PubMed]
- Galvin, K.L.; Tomlin, D.; Joubert, L.; Story, L. Effects of Widespread Community Use of Face Masks on Communication, Participation, and Quality of Life in Australia during the COVID-19 Pandemic. Cogn. Res. Princ. Implic. 2022, 7, 88. [Google Scholar] [CrossRef] [PubMed]
- Nishimura, N.Y.; Aoki, K.; Koyama, S.; Nishio, M.; Otsuka, T.; Miyazaki, M.; Yoshii, T.; Otozai, S.; Miyabe, J.; Korematsu, M.; et al. The Impact of COVID-19 Pandemic on Head and Neck Cancer Diagnosis and Treatment. J. Dent. Sci. 2024, 19, 1620–1627. [Google Scholar] [CrossRef] [PubMed]
- Wong, A.S.Y.; Kohler, J.C. Social Capital and Public Health: Responding to the COVID-19 Pandemic. Glob. Health 2020, 16, 88. [Google Scholar] [CrossRef] [PubMed]
- Vandenbroucke, J.P.; Von Elm, E.; Altman, D.G.; Gøtzsche, P.C.; Mulrow, C.D.; Pocock, S.J.; Poole, C.; Schlesselman, J.J.; Egger, M. Strengthening the Reporting of Observational Studies in Epidemiology (STROBE): Explanation and Elaboration. Int. J. Surg. 2014, 12, 1500–1524. [Google Scholar] [CrossRef] [PubMed]
- Lavdaniti, M.; Tilaveridis, I.; Palitzika, D.; Kyrgidis, A.; Triaridis, S.; Vachtsevanos, K.; Kosintzi, A.; Antoniades, K. Quality of Life in Oral Cancer Patients in Greek Clinical Practice: A Cohort Study. J. Clin. Med. 2022, 23, 7235. [Google Scholar] [CrossRef]
- Loimu, V.; Mäkitie, A.A.; Bäck, L.J.; Sintonen, H.; Räsänen, P.; Roine, R.; Saarilahti, K. Health-related quality of life of head and neck cancer patients with successful oncological treatment. Eur. Arch. Otorhinolaryngol. 2015, 272, 2415–2423. [Google Scholar] [CrossRef]
- Van Nieuwenhuizen, A.J.; Buffart, L.M.; Langendijk, J.A.; Vergeer, M.R.; Voortman, J.; Leemans, C.R.; Verdonck-de-Leeuw, I.M. Health-Related Quality of Life and Overall Survival: A Prospective Study in Patients with Head and Neck Cancer Treated with Radiotherapy. Qual. Life Res. 2021, 30, 1145–1153. [Google Scholar] [CrossRef] [PubMed]
- De Vet, H.C.W.; Terwee, C.B.; Mokkink, L.B.; Knol, D.L. Measurement in Medicine: A Practical Guide, 1st ed.; Cambridge University Press: Cambridge, MA, USA, 2011. [Google Scholar]
- Kakarala, K.; Shnayder, Y.; Tsue, T.T.; Girod, D.A. Mandibular Reconstruction. Oral Oncol. 2018, 77, 111–117. [Google Scholar] [CrossRef]
- McDowell, L.; Rischin, D.; Gough, K.; Henson, C. Health-Related Quality of Life, Psychosocial Distress and Unmet Needs in Older Patients with Head and Neck Cancer. Front. Oncol. 2022, 12, 834068. [Google Scholar] [CrossRef] [PubMed]
- Woodard, T.D.; Oplatek, A.; Petruzzelli, G.J. Life After Total Laryngectomy: A Measure of Long-Term Survival, Function, and Quality of Life. Arch. Otolaryngol. Head. Neck Surg. 2007, 133, 526–532. [Google Scholar] [CrossRef]
- Babin, E.; Sigston, E.; Hitier, M.; Dehesdin, D.; Marie, J.P.; Choussy, O. Quality of Life in Head and Neck Cancers Patients: Predictive Factors, Functional and Psychosocial Outcome. Eur. Arch. Otorhinolaryngol. 2008, 265, 265–270. [Google Scholar] [CrossRef] [PubMed]
- Bjordal, K.; Kaasa, S. Psychological Distress in Head and Neck Cancer Patients 7–11 Years after Curative Treatment. Br. J. Cancer 1995, 71, 592–597. [Google Scholar] [CrossRef] [PubMed]
- Goyal, A.K.; Bakshi, J.; Panda, N.K.; Kapoor, R.; Vir, D.; Kumar, K.; Aneja, P. Assessment of Shame and Stigma in Head and Neck Cancer: A Meta-Analysis. J. Maxillofac. Oral Surg. 2024, 23, 6–22. [Google Scholar] [CrossRef]
- D’Antonio, L.L.; Long, S.A.; Zimmerman, G.J.; Peterman, A.H.; Petti, G.H.; Chonkich, G.D. Relationship Between Quality of Life and Depression in Patients with Head and Neck Cancer. Laryngoscope 1998, 108, 806–811. [Google Scholar] [CrossRef] [PubMed]
- Babin, E.; Heutte, N.; Bethuel-Kamga, C.; Perréard, M. Quotidien de vie des patients avec cancer des VADS pendant la période COVID. Ann. Françaises D’oto Rhino Laryngol. Et De Pathol. Cervico Faciale 2022, 139, 251–253. [Google Scholar] [CrossRef]
- Gallo, O.; Bruno, C.; Locatello, L.G.; Martelli, F.; Cilona, M.; Orlando, P.; Fancello, G.; Maggiore, G.; Viberti, F.; Ciabatti, P.; et al. The Impact of the COVID-19 Pandemic on the Quality of Life of Head and Neck Cancer Survivors. Support Care Cancer 2021, 29, 6297–6304. [Google Scholar] [CrossRef] [PubMed]
- Katz, M.R.; Irish, J.C.; Devins, G.M.; Rodin, G.M.; Gullane, P.J. Psychosocial Adjustment in Head and Neck Cancer: The Impact of Disfigurement, Gender and Social Support. Head. Neck 2003, 25, 103–112. [Google Scholar] [CrossRef] [PubMed]
- Huang, R.W.; Chang, K.P.; Marchi, F.; Yuen Yung Loh, C.; Lin, Y.J.; Chang, C.J.; Kao, H.K. The Impact of Depression on Survival of Head and Neck Cancer Patients: A Population-Based Cohort Study. Front. Oncol. 2022, 12, 871915. [Google Scholar] [CrossRef] [PubMed]
- Kanzow, P.; Dylla, V.; Mahler, A.M.; Hrasky, V.; Rödig, T.; Barre, F.; Scheithauer, S.; Wiegand, A. COVID-19 Pandemic: Effect of Different Face Masks on Self-Perceived Dry Mouth and Halitosis. Int. J. Environ. Res. Public Health 2021, 18, 9180. [Google Scholar] [CrossRef]
- Dupuy, L.; Satabin, E. Impact du Port du Masque sur la Qualité de vie des Patients Paralysés Faciaux Périphériques. Thesis for the Speech Therapist’s Certificate of Study, Sorbonne University, Paris, France, 2022. [Google Scholar]
- Dewenter, I.; Kumbrink, J.; Poxleitner, P.; Smolka, W.; Liokatis, P.; Fliefel, R.; Otto, S. Obermeier KT. New Insights into Redox-Related Risk Factors and Therapeutic Targets in Oral Squamous Cell Carcinoma. Oral Oncol. 2023, 147, 106573. [Google Scholar] [CrossRef]
- Yasin, M.; Abbas, Z.; Hafeez, A. Correlation of Histopathological Patterns of OSCC Patients with Tumor Site and Habits. BMC Oral Health 2022, 22, 305. [Google Scholar] [CrossRef]




| Variables | n % | |
|---|---|---|
| Age (mean ± SD) | 69 ± 8.4 | |
| Gender | ||
| Male | 26 (63%) | |
| Female | 15 (37%) | |
| Physical Appearance | ||
| Altered | 27 (66%) | |
| Non altered | 14 (34%) | |
| Initial tumor localization | ||
| Maxillary | 18 (44%) | |
| Mandibular | 23 (56%) | |
| Radiotherapy | ||
| Yes | 34 (83%) | |
| No | 7 (17%) | |
| Date of the end of treatment | ||
| Before COVID-19 pandemic | 16 (39%) | |
| During COVID-19 pandemic | 25 (61%) | |
| Question | Mean Score (SD) | p | |
|---|---|---|---|
| With Mask | Without Mask | ||
| Q1. Appearance | 2.41 (1.22) | 2.98 (1.01) | 0.008 |
| Q2. Fear of family’s perception | 1.27 (0.63) | 1.68 (0.93) | 0.003 |
| Q3. Fear of others’ perception | 1.29 (0.68) | 1.85 (1.04) | <0.001 |
| Q4. Fear of being photographed | 1.83 (1.12) | 2.24 (1.28) | 0.015 |
| Q5. Fear of others’ judgment | 1.66 (1.15) | 1.61 (0.97) | 0.7 |
| Q6. Fear of hurtful comments | 1.44 (0.81) | 1.49 (0.95) | 0.623 |
| Q7. Self-confidence | 1.51 (0.78) | 1.66 (0.88) | 0.294 |
| Q8. Appearance-related depression | 1.56 (0.98) | 1.73 (1.03) | 0.241 |
| Q9. Sociability apprehension | 2.00 (1.16) | 2.78 (1.13) | <0.001 |
| Overall | 1.66 (1.02) | 2.00 (1.14) | <0.001 |
| Category | Subgroup | Without Mask | With Mask | p-Value a | Overall p-Value a (With and Without Mask) |
|---|---|---|---|---|---|
| Physical appearance | Altered (n = 27) | 2.20 (0.82) | 1.77 (0.67) | <0.001 | <0.001 |
| Non altered (n = 14) | 1.63 (0.57) | 1.45 (0.51) | 0.13 | ||
| p-value b | 0.01 | 0.01 | |||
| Initial tumor localization | Maxillary (n = 18) | 2.19 (0.97) | 1.83 (0.78) | 0.01 | <0.001 |
| Mandibular (n = 23) | 1.86 (0.58) | 1.53 (0.46) | <0.001 | ||
| p-value b | 0.2 | 0.16 | |||
| Radiotherapy | Yes (n = 34) | 1.96 (0.73) | 1.65 (0.64) | <0.001 | <0.001 |
| No (n = 7) | 2.21 (1.06) | 1.75 (0.61) | 0.06 | ||
| p-value b | 0.58 | 0.71 | |||
| End of treatment | Before COVID-19 pandemic (n = 16) | 2.01 (0.91) | 1.72 (0.71) | 0.01 | <0.001 |
| During COVID-19 pandemic (n = 25) | 2.00 (0.72) | 1.63 (0.59) | <0.001 | ||
| p-value b | 0.98 | 0.66 |
Disclaimer/Publisher’s Note: The statements, opinions and data contained in all publications are solely those of the individual author(s) and contributor(s) and not of MDPI and/or the editor(s). MDPI and/or the editor(s) disclaim responsibility for any injury to people or property resulting from any ideas, methods, instructions or products referred to in the content. |
© 2024 by the authors. Licensee MDPI, Basel, Switzerland. This article is an open access article distributed under the terms and conditions of the Creative Commons Attribution (CC BY) license (https://creativecommons.org/licenses/by/4.0/).
Share and Cite
Lan, R.; Silvestri, F.; Rhanoui, M.; Bezier, C.; Fakhry, N.; Carrouel, F.; Mense, C. Impact of Face Mask-Wearing on Quality of Life in Post-Surgical Oral Cancer Patients: A Cross-Sectional Study. Cancers 2024, 16, 4199. https://doi.org/10.3390/cancers16244199
Lan R, Silvestri F, Rhanoui M, Bezier C, Fakhry N, Carrouel F, Mense C. Impact of Face Mask-Wearing on Quality of Life in Post-Surgical Oral Cancer Patients: A Cross-Sectional Study. Cancers. 2024; 16(24):4199. https://doi.org/10.3390/cancers16244199
Chicago/Turabian StyleLan, Romain, Frédéric Silvestri, Maryem Rhanoui, Cassandre Bezier, Nicolas Fakhry, Florence Carrouel, and Chloé Mense. 2024. "Impact of Face Mask-Wearing on Quality of Life in Post-Surgical Oral Cancer Patients: A Cross-Sectional Study" Cancers 16, no. 24: 4199. https://doi.org/10.3390/cancers16244199
APA StyleLan, R., Silvestri, F., Rhanoui, M., Bezier, C., Fakhry, N., Carrouel, F., & Mense, C. (2024). Impact of Face Mask-Wearing on Quality of Life in Post-Surgical Oral Cancer Patients: A Cross-Sectional Study. Cancers, 16(24), 4199. https://doi.org/10.3390/cancers16244199

