Derived Neutrophils to Lymphocyte Ratio Predicts Survival Benefit from TPF Induction Chemotherapy in Local Advanced Oral Squamous Cellular Carcinoma
Abstract
Simple Summary
Abstract
1. Introduction
2. Patients and Methods
2.1. Patients
2.2. Ethical Approval
2.3. Baseline Characteristics
2.4. TPF Induction Chemotherapy and Standard Treatment
2.5. Follow-Up Visit and Clinical End-Point Assessment
2.6. Statistical Analysis
3. Results
3.1. Patients
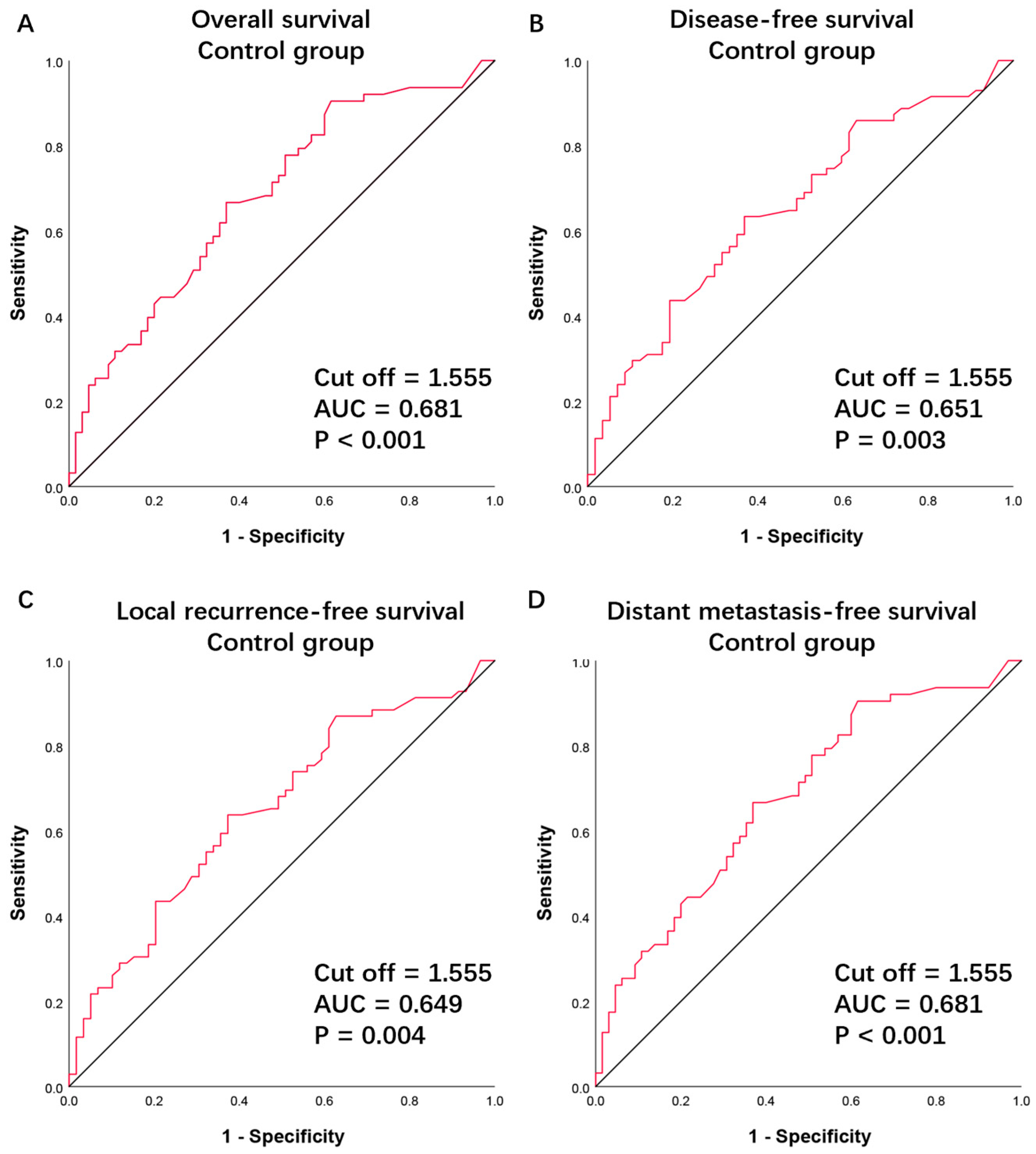
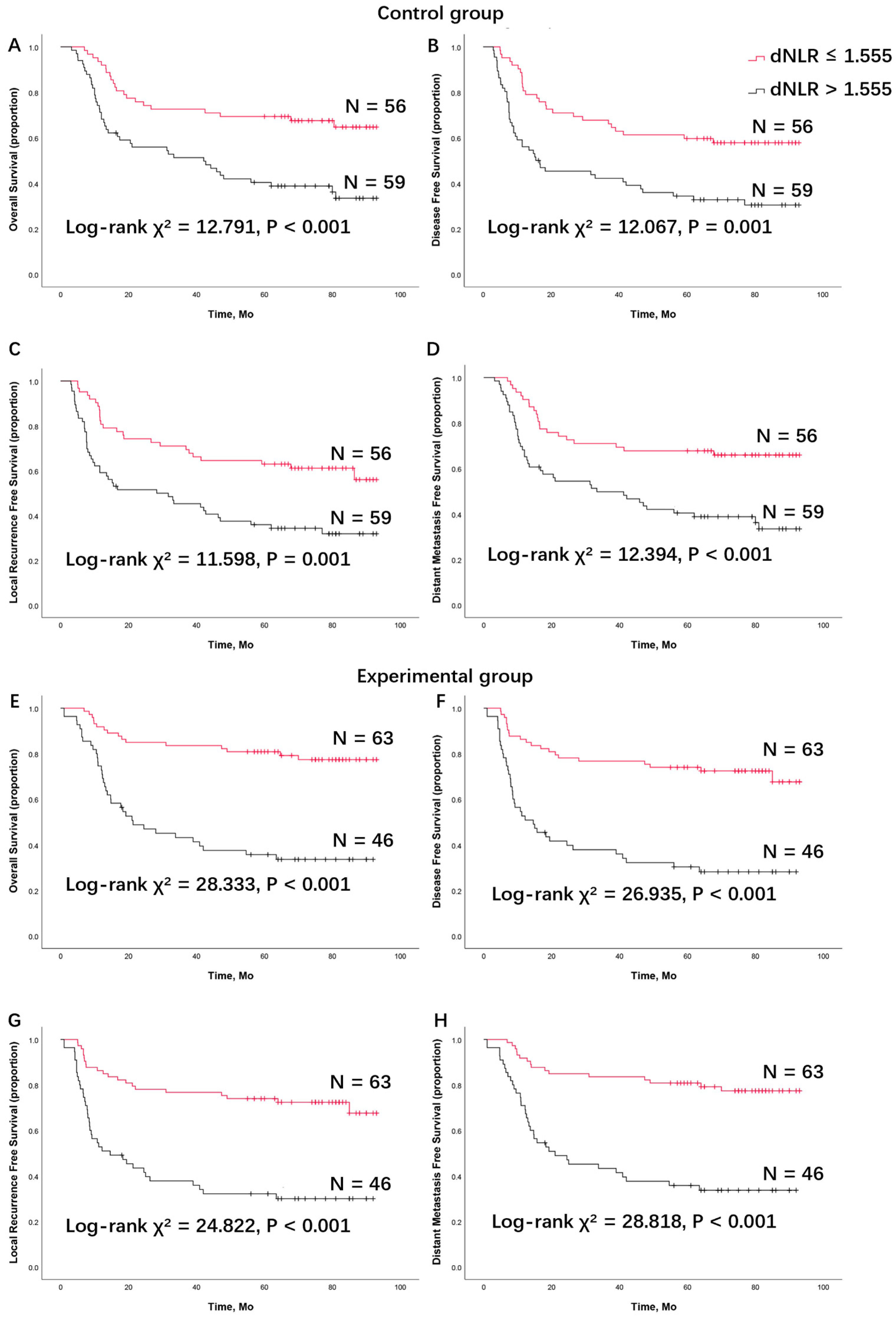
3.2. The dNLR Predicts Survival Outcomes in LAOSCC Patients Treated by Surgery and Postoperative Radiation (the Control Group)
3.3. The dNLR Predicts Survival Outcomes in LAOSCC Patients Treated by TPF Induction Chemotherapy, Surgery, and Postoperative Radiation (the Experimental Group)
3.4. Combining the cTNM Stage and dNLR to Predict the Benefit of TPF Induction Chemotherapy for LAOSCC Patients
4. Discussion
5. Conclusions
Supplementary Materials
Author Contributions
Funding
Institutional Review Board Statement
Informed Consent Statement
Data Availability Statement
Acknowledgments
Conflicts of Interest
References
- Miranda-Filho, A.; Bray, F. Global patterns and trends in cancers of the lip, tongue and mouth. Oral Oncol. 2020, 102, 104551. [Google Scholar] [CrossRef] [PubMed]
- Bray, F.; Laversanne, M.; Sung, H.; Ferlay, J.; Siegel, R.L.; Soerjomataram, I.; Jemal, A. Global cancer statistics 2022: GLOBOCAN estimates of incidence and mortality worldwide for 36 cancers in 185 countries. CA Cancer J. Clin. 2024, 74, 229–263. [Google Scholar] [CrossRef] [PubMed]
- Caudell, J.J.; Gillison, M.L.; Maghami, E.; Spencer, S.; Pfister, D.G.; Adkins, D.; Birkeland, A.C.; Brizel, D.M.; Busse, P.M.; Cmelak, A.J.; et al. NCCN Guidelines® Insights: Head and Neck Cancers, Version 1.2022. J. Natl. Compr. Cancer Netw. 2022, 20, 224–234. [Google Scholar] [CrossRef] [PubMed]
- Warnakulasuriya, S. Global epidemiology of oral and oropharyngeal cancer. Oral Oncol. 2009, 45, 309–316. [Google Scholar] [CrossRef] [PubMed]
- Zhong, L.-P.; Zhang, C.-P.; Ren, G.-X.; Guo, W.; William, W.N.; Sun, J.; Zhu, H.-G.; Tu, W.-Y.; Li, J.; Cai, Y.-L.; et al. Randomized phase III trial of induction chemotherapy with docetaxel, cisplatin, and fluorouracil followed by surgery versus up-front surgery in locally advanced resectable oral squamous cell carcinoma. J. Clin. Oncol. 2013, 31, 744–751. [Google Scholar] [CrossRef]
- Haddad, R.; O’Neill, A.; Rabinowits, G.; Tishler, R.; Khuri, F.; Adkins, D.; Clark, J.; Sarlis, N.; Lorch, J.; Beitler, J.J.; et al. Induction chemotherapy followed by concurrent chemoradiotherapy (sequential chemoradiotherapy) versus concurrent chemoradiotherapy alone in locally advanced head and neck cancer (PARADIGM): A randomised phase 3 trial. Lancet Oncol. 2013, 14, 257–264. [Google Scholar] [CrossRef]
- Sun, Y.; Li, W.-F.; Chen, N.-Y.; Zhang, N.; Hu, G.-Q.; Xie, F.-Y.; Sun, Y.; Chen, X.-Z.; Li, J.-G.; Zhu, X.-D.; et al. Induction chemotherapy plus concurrent chemoradiotherapy versus concurrent chemoradiotherapy alone in locoregionally advanced nasopharyngeal carcinoma: A phase 3, multicentre, randomised controlled trial. Lancet Oncol. 2016, 17, 1509–1520. [Google Scholar] [CrossRef]
- Ghi, M.G.; Paccagnella, A.; Ferrari, D.; Foa, P.; Alterio, D.; Codecà, C.; Nolè, F.; Verri, E.; Orecchia, R.; Morelli, F.; et al. Induction TPF followed by concomitant treatment versus concomitant treatment alone in locally advanced head and neck cancer. A phase II-III trial. Ann. Oncol. 2017, 28, 2206–2212. [Google Scholar] [CrossRef] [PubMed]
- Yang, C.Z.; Ma, J.; Zhu, D.W.; Liu, Y.; Montgomery, B.; Wang, L.Z.; Li, J.; Zhang, Z.Y.; Zhang, C.P.; Zhong, L.P. GDF15 is a potential predictive biomarker for TPF induction chemotherapy and promotes tumorigenesis and progression in oral squamous cell carcinoma. Ann. Oncol. 2014, 25, 1215–1222. [Google Scholar] [CrossRef]
- Zhao, T.-C.; Liang, S.-Y.; Ju, W.-T.; Liu, Y.; Tan, Y.-R.; Zhu, D.-W.; Zhang, C.-P.; Zhang, Z.-Y.; Zhong, L.-P. Normal BMI predicts the survival benefits of inductive docetaxel, cisplatin, and 5-fluorouracil in patients with locally advanced oral squamous cell carcinoma. Clin. Nutr. 2020, 39, 2751–2758. [Google Scholar] [CrossRef]
- Alessi, J.V.; Ricciuti, B.; Alden, S.L.; A Bertram, A.; Lin, J.J.; Sakhi, M.; Nishino, M.; Vaz, V.R.; Lindsay, J.; Turner, M.M.; et al. Low peripheral blood derived neutrophil-to-lymphocyte ratio (dNLR) is associated with increased tumor T-cell infiltration and favorable outcomes to first-line pembrolizumab in non-small cell lung cancer. J. Immunother. Cancer 2021, 9, e003536. [Google Scholar] [CrossRef] [PubMed]
- Caputo, D.; Quagliarini, E.; Coppola, A.; La Vaccara, V.; Marmiroli, B.; Sartori, B.; Caracciolo, G.; Pozzi, D. Inflammatory biomarkers and nanotechnology: New insights in pancreatic cancer early detection. Int. J. Surg. 2023, 109, 2934–2940. [Google Scholar] [CrossRef] [PubMed]
- Kim, C.G.; Kim, M.H.; Kim, J.H.; Kim, S.-G.; Kim, G.M.; Kim, T.Y.; Ryu, W.-J.; Park, H.S.; Park, S.; Cho, Y.U.; et al. On-treatment derived neutrophil-to-lymphocyte ratio and survival with palbociclib and endocrine treatment: Analysis of a multicenter retrospective cohort and the PALOMA-2/3 study with immune correlates. Breast Cancer Res. 2023, 25, 4. [Google Scholar] [CrossRef] [PubMed]
- Kazandjian, D.; Gong, Y.; Keegan, P.; Pazdur, R.; Blumenthal, G.M. Prognostic Value of the Lung Immune Prognostic Index for Patients Treated for Metastatic Non-Small Cell Lung Cancer. JAMA Oncol. 2019, 5, 1481–1485. [Google Scholar] [CrossRef] [PubMed]
- Li, C.; Wu, J.; Jiang, L.; Zhang, L.; Huang, J.; Tian, Y.; Zhao, Y.; Liu, X.; Xia, L.; E, H.; et al. The predictive value of inflammatory biomarkers for major pathological response in non-small cell lung cancer patients receiving neoadjuvant chemoimmunotherapy and its association with the immune-related tumor microenvironment: A multi-center study. Cancer Immunol. Immunother. 2023, 72, 783–794. [Google Scholar] [CrossRef]
- Capone, M.; Giannarelli, D.; Mallardo, D.; Madonna, G.; Festino, L.; Grimaldi, A.M.; Vanella, V.; Simeone, E.; Paone, M.; Palmieri, G.; et al. Baseline neutrophil-to-lymphocyte ratio (NLR) and derived NLR could predict overall survival in patients with advanced melanoma treated with nivolumab. J. Immunother. Cancer 2018, 6, 74. [Google Scholar] [CrossRef]
- Ferrucci, P.F.; Ascierto, P.A.; Pigozzo, J.; Del Vecchio, M.; Maio, M.; Cappellini, G.C.A.; Guidoboni, M.; Queirolo, P.; Savoia, P.; Mandalà, M.; et al. Baseline neutrophils and derived neutrophil-to-lymphocyte ratio: Prognostic relevance in metastatic melanoma patients receiving ipilimumab. Ann. Oncol. 2016, 27, 732–738. [Google Scholar] [CrossRef]
- Bauckneht, M.; Rebuzzi, S.E.; Signori, A.; Frantellizzi, V.; Murianni, V.; Rizzini, E.L.; Mascia, M.; Lavelli, V.; Donegani, M.I.; Ponzano, M.; et al. The prognostic power of inflammatory indices and clinical factors in metastatic castration-resistant prostate cancer patients treated with radium-223 (BIO-Ra study). Eur. J. Nucl. Med. Mol. Imaging 2022, 49, 1063–1074. [Google Scholar] [CrossRef]
- van Soest, R.J.; Templeton, A.J.; Vera-Badillo, F.E.; Mercier, F.; Sonpavde, G.; Amir, E.; Tombal, B.; Rosenthal, M.; Eisenberger, M.A.; Tannock, I.F.; et al. Neutrophil-to-lymphocyte ratio as a prognostic biomarker for men with metastatic castration-resistant prostate cancer receiving first-line chemotherapy: Data from two randomized phase III trials. Ann. Oncol. 2015, 26, 743–749. [Google Scholar] [CrossRef]
- Rebuzzi, S.E.; Signori, A.; Banna, G.L.; Maruzzo, M.; De Giorgi, U.; Pedrazzoli, P.; Sbrana, A.; Zucali, P.A.; Masini, C.; Naglieri, E.; et al. Inflammatory indices and clinical factors in metastatic renal cell carcinoma patients treated with nivolumab: The development of a novel prognostic score (Meet-URO 15 study). Ther. Adv. Med. Oncol. 2021, 13, 17588359211019642. [Google Scholar] [CrossRef]
- Colloca, G.A.; Venturino, A.; Guarneri, D. Reduction of derived neutrophil-to-lymphocyte ratio after four weeks predicts the outcome of patients receiving second-line chemotherapy for metastatic colorectal cancer. Cancer Immunol. Immunother. 2021, 70, 1115–1125. [Google Scholar] [CrossRef]
- Grenader, T.; Nash, S.; Adams, R.; Kaplan, R.; Fisher, D.; Maughan, T.; Bridgewater, J. Derived neutrophil lymphocyte ratio is predictive of survival from intermittent therapy in advanced colorectal cancer: A post hoc analysis of the MRC COIN study. Br. J. Cancer 2016, 114, 612–615. [Google Scholar] [CrossRef]
- Dalpiaz, O.; Pichler, M.; Mannweiler, S.; Hernández, J.M.M.; Stojakovic, T.; Pummer, K.; Zigeuner, R.; Hutterer, G.C. Validation of the pretreatment derived neutrophil-lymphocyte ratio as a prognostic factor in a European cohort of patients with upper tract urothelial carcinoma. Br. J. Cancer 2014, 110, 2531–2536. [Google Scholar] [CrossRef] [PubMed]
- Jariod-Ferrer, M.; Arbones-Mainar, J.M.; Gavin-Clavero, M.A.; Simón-Sanz, M.V.; Moral-Saez, I.; Cisneros-Gimeno, A.I.; Martinez-Trufero, J. Are Comorbidities Associated with Overall Survival in Patients with Oral Squamous Cell Carcinoma? J. Oral Maxillofac. Surg. 2019, 77, 1906–1914. [Google Scholar] [CrossRef] [PubMed]
- Kwon, H.R.; Cho, J.; Park, S.; Lee, S.-H.; Ahn, M.-J.; Choi, J.Y.; Lee, K.-H.; Jung, H.A.; Moon, S.H. Metabolic parameters on baseline (18)F-FDG PET/CT are potential predictive biomarkers for immunotherapy in patients with head and neck squamous cell carcinoma. Front. Med. 2022, 9, 896494. [Google Scholar] [CrossRef] [PubMed]
- Stoppa, G.; Mensi, C.; Fazzo, L.; Minelli, G.; Manno, V.; Consonni, D.; Biggeri, A.; Catelan, D. Spatial Analysis of Shared Risk Factors between Pleural and Ovarian Cancer Mortality in Lombardy (Italy). Int. J. Environ. Res. Public Health 2022, 19, 3467. [Google Scholar] [CrossRef] [PubMed]
- Marami Milani, M.R.; Hense, A.; Rahmani, E.; Ploeger, A. Applying Least Absolute Shrinkage Selection Operator and Akaike Information Criterion Analysis to Find the Best Multiple Linear Regression Models between Climate Indices and Components of Cow’s Milk. Foods 2016, 5, 52. [Google Scholar] [CrossRef] [PubMed]
- Casadei-Gardini, A.; Rimini, M.; Kudo, M.; Shimose, S.; Tada, T.; Suda, G.; Goh, M.J.; Jefremow, A.; Scartozzi, M.; Cabibbo, G.; et al. Real Life Study of Lenvatinib Therapy for Hepatocellular Carcinoma: RELEVANT Study. Liver Cancer 2022, 11, 527–539. [Google Scholar] [CrossRef]
- Fiore, M.; Ljevar, S.; Pasquali, S.; Morelli, D.; Callegaro, D.; Sanfilippo, R.; Barisella, M.; Sangalli, C.; Miceli, R.; Gronchi, A. Preoperative Neutrophil-To-Lymphocyte Ratio and A New Inflammatory Biomarkers Prognostic Index For Primary Retroperitoneal Sarcomas. Clin. Cancer Res. 2022, 29, 614–620. [Google Scholar] [CrossRef]
- Sui, Q.; Zhang, X.; Chen, C.; Tang, J.; Yu, J.; Li, W.; Han, K.; Jiang, W.; Liao, L.; Kong, L.; et al. Inflammation promotes resistance to immune checkpoint inhibitors in high microsatellite instability colorectal cancer. Nat. Commun. 2022, 13, 7316. [Google Scholar] [CrossRef]
- Mezquita, L.; Preeshagul, I.; Auclin, E.; Saravia, D.; Hendriks, L.; Rizvi, H.; Park, W.; Nadal, E.; Martin-Romano, P.; Ruffinelli, J.C.; et al. Predicting immunotherapy outcomes under therapy in patients with advanced NSCLC using dNLR and its early dynamics. Eur. J. Cancer 2021, 151, 211–220. [Google Scholar] [CrossRef]
- Abbate, V.; Barone, S.; Troise, S.; Laface, C.; Bonavolontà, P.; Pacella, D.; Salzano, G.; Iaconetta, G.; Califano, L.; Orabona, G.D. The Combination of Inflammatory Biomarkers as Prognostic Indicator in Salivary Gland Malignancy. Cancers 2022, 14, 5934. [Google Scholar] [CrossRef] [PubMed]
- Li, X.; Sun, W.; Ding, X.; Li, W.; Chen, J. Prognostic model of immune checkpoint inhibitors combined with anti-angiogenic agents in unresectable hepatocellular carcinoma. Front. Immunol. 2022, 13, 1060051. [Google Scholar] [CrossRef]
- Minici, R.; Siciliano, M.A.; Ammendola, M.; Santoro, R.C.; Barbieri, V.; Ranieri, G.; Laganà, D. Prognostic Role of Neutrophil-to-Lymphocyte Ratio (NLR), Lymphocyte-to-Monocyte Ratio (LMR), Platelet-to-Lymphocyte Ratio (PLR) and Lymphocyte-to-C Reactive Protein Ratio (LCR) in Patients with Hepatocellular Carcinoma (HCC) undergoing Chemoembolizations (TACE) of the Liver: The Unexplored Corner Linking Tumor Microenvironment, Biomarkers and Interventional Radiology. Cancers 2022, 15, 257. [Google Scholar] [CrossRef] [PubMed]
- Kachuri, L.; Jeon, S.; DeWan, A.T.; Metayer, C.; Ma, X.; Witte, J.S.; Chiang, C.W.; Wiemels, J.L.; de Smith, A.J. Genetic determinants of blood-cell traits influence susceptibility to childhood acute lymphoblastic leukemia. Am. J. Hum. Genet. 2021, 108, 1823–1835. [Google Scholar] [CrossRef]
- Russo, P.; Palermo, G.; Iacovelli, R.; Ragonese, M.; Ciccarese, C.; Maioriello, G.; Fantasia, F.; Bizzarri, F.P.; Marino, F.; Moosavi, K.; et al. Comparison of PIV and Other Immune Inflammation Markers of Oncological and Survival Outcomes in Patients Undergoing Radical Cystectomy. Cancers 2024, 16, 651. [Google Scholar] [CrossRef] [PubMed]
- Feng, J.; Wang, L.; Yang, X.; Chen, Q.; Cheng, X. Pretreatment Pan-Immune-Inflammation Value (PIV) in Predicting Therapeutic Response and Clinical Outcomes of Neoadjuvant Immunochemotherapy for Esophageal Squamous Cell Carcinoma. Ann. Surg. Oncol. 2024, 31, 272–283. [Google Scholar] [CrossRef]
- Sano, Y.; Kogashiwa, Y.; Araki, R.; Enoki, Y.; Ikeda, T.; Yoda, T.; Nakahira, M.; Sugasawa, M. Correlation of Inflammatory Markers, Survival, and COX2 Expression in Oral Cancer and Implications for Prognosis. Otolaryngol.-Head Neck Surg. 2018, 158, 667–676. [Google Scholar] [CrossRef]
- Zubair, F.; McMahon, J.; Kryklyas, G.; Wicks, C. Systemic inflammatory response in predicting outcomes of patients undergoing curative resection for oral squamous cell carcinoma. Br. J. Oral Maxillofac. Surg. 2022, 60, 589–595. [Google Scholar] [CrossRef]
- Ruiz-Ranz, M.; Lequerica-Fernández, P.; Rodríguez-Santamarta, T.; Suárez-Sánchez, F.J.; López-Pintor, R.M.; García-Pedrero, J.M.; de Vicente, J.C. Prognostic implications of preoperative systemic inflammatory markers in oral squamous cell carcinoma, and correlations with the local immune tumor microenvironment. Front. Immunol. 2022, 13, 941351. [Google Scholar] [CrossRef]
- Košec, A.; Solter, D.; Ribić, A.; Knežević, M.; Vagić, D.; Pegan, A. Systemic Inflammatory Markers as Predictors of Postoperative Complications and Survival in Patients with Advanced Head and Neck Squamous Cell Carcinoma Undergoing Free-Flap Reconstruction. J. Oral Maxillofac. Surg. 2022, 80, 744–755. [Google Scholar] [CrossRef] [PubMed]
- Cho, U.; Sung, Y.E.; Kim, M.S.; Lee, Y.S. Prognostic Role of Systemic Inflammatory Markers in Patients Undergoing Surgical Resection for Oral Squamous Cell Carcinoma. Biomedicines 2022, 10, 1268. [Google Scholar] [CrossRef]
- Xiong, Y.; Zhao, N.; Zheng, Y.; Wang, J.; Wei, F.; Ren, X. Prognostic value of pretreatment inflammatory biomarkers in advanced lung adenocarcinoma patients receiving first-line pemetrexed/platinum doublet. Tumour Biol. 2017, 39, 1010428317701639. [Google Scholar] [CrossRef] [PubMed]
- Winarto, H.; Habiburrahman, M.; Anggraeni, T.D.; Nuryanto, K.H.; Julianti, R.A.; Purwoto, G.; Andrijono, A. The Utility of Pre-Treatment Inflammation Markers as Associative Factors to the Adverse Outcomes of Vulvar Cancer: A Study on Staging, Nodal Involvement, and Metastasis Models. J. Clin. Med. 2022, 12, 96. [Google Scholar] [CrossRef]
- Zhao, T.; Liang, S.; Ju, W.; Fu, Y.; Zhou, Z.; Wang, L.; Li, J.; Zhang, C.; Zhang, Z.; Zhong, L. High-risk lymph node ratio predicts worse prognosis in patients with locally advanced oral cancer. J. Oral Pathol. Med. 2020, 49, 787–795. [Google Scholar] [CrossRef] [PubMed]
- Ocaña, A.; Chacón, J.I.; Calvo, L.; Antón, A.; Mansutti, M.; Albanell, J.; Martínez, M.T.; Lahuerta, A.; Bisagni, G.; Bermejo, B.; et al. Derived Neutrophil-to-Lymphocyte Ratio Predicts Pathological Complete Response to Neoadjuvant Chemotherapy in Breast Cancer. Front. Oncol. 2021, 11, 827625. [Google Scholar] [CrossRef] [PubMed]
- Bumbasirevic, U.; Bojanic, N.; Simic, T.; Milojevic, B.; Zivkovic, M.; Kosanovic, T.; Kajmakovic, B.; Janicic, A.; Durutovic, O.; Radovanovic, M.; et al. Interplay between Comprehensive Inflammation Indices and Redox Biomarkers in Testicular Germ-Cell Tumors. J. Pers. Med. 2022, 12, 833. [Google Scholar] [CrossRef] [PubMed]
- Song, S.; Li, C.; Li, S.; Gao, H.; Lan, X.; Xue, Y. Derived neutrophil to lymphocyte ratio and monocyte to lymphocyte ratio may be better biomarkers for predicting overall survival of patients with advanced gastric cancer. OncoTargets Ther. 2017, 10, 3145–3154. [Google Scholar] [CrossRef] [PubMed]
- Rajwa, P.; Życzkowski, M.; Paradysz, A.; Slabon-Turska, M.; Suliga, K.; Bujak, K.; Bryniarski, P. Novel hematological biomarkers predict survival in renal cell carcinoma patients treated with nephrectomy. Arch. Med. Sci. 2020, 16, 1062–1071. [Google Scholar] [CrossRef]
- Liu, X.C.; Dai, Y.L.; Huang, F.; Zhong, Z.J.; Liu, X.F. Diagnostic Value of Carcinoembryonic Antigen Combined with Multi-Inflammatory Cell Ratios in Colorectal Cancer. Dis. Markers 2022, 2022, 4889616. [Google Scholar] [CrossRef]
- Jaillon, S.; Ponzetta, A.; Di Mitri, D.; Santoni, A.; Bonecchi, R.; Mantovani, A. Neutrophil diversity and plasticity in tumour progression and therapy. Nat. Rev. Cancer 2020, 20, 485–503. [Google Scholar] [CrossRef] [PubMed]
- Xue, R.; Zhang, Q.; Cao, Q.; Kong, R.; Xiang, X.; Liu, H.; Feng, M.; Wang, F.; Cheng, J.; Li, Z.; et al. Liver tumour immune microenvironment subtypes and neutrophil heterogeneity. Nature 2022, 612, 141–147. [Google Scholar] [CrossRef]
- Hedrick, C.C.; Malanchi, I. Neutrophils in cancer: Heterogeneous and multifaceted. Nat. Rev. Immunol. 2022, 22, 173–187. [Google Scholar] [CrossRef] [PubMed]
- Gungabeesoon, J.; Gort-Freitas, N.A.; Kiss, M.; Bolli, E.; Messemaker, M.; Siwicki, M.; Hicham, M.; Bill, R.; Koch, P.; Cianciaruso, C.; et al. A neutrophil response linked to tumor control in immunotherapy. Cell 2023, 186, 1448–1464.e20. [Google Scholar] [CrossRef] [PubMed]
- Papayannopoulos, V. Neutrophil extracellular traps in immunity and disease. Nat. Rev. Immunol. 2018, 18, 134–147. [Google Scholar] [CrossRef]
- Xiao, Y.; Cong, M.; Li, J.; He, D.; Wu, Q.; Tian, P.; Wang, Y.; Yang, S.; Liang, C.; Liang, Y.; et al. Cathepsin C promotes breast cancer lung metastasis by modulating neutrophil infiltration and neutrophil extracellular trap formation. Cancer Cell 2021, 39, 423–437.e7. [Google Scholar] [CrossRef]
- van der Leun, A.M.; Thommen, D.S.; Schumacher, T.N. CD8+ T cell states in human cancer: Insights from single-cell analysis. Nat. Rev. Cancer 2020, 20, 218–232. [Google Scholar] [CrossRef]



| Total | Control Group | TPF Chemotherapy Induction | |||||||||||||
|---|---|---|---|---|---|---|---|---|---|---|---|---|---|---|---|
| dNLR ≤ 1.555 | dNLR > 1.555 | t/χ2/Fisher Exact Test | dNLR ≤ 1.555 | dNLR > 1.555 | t/χ2/Fisher Exact Test | ||||||||||
| N | % | N | % | N | % | p | N | % | N | % | p | ||||
| Age (years) | |||||||||||||||
| Average | 55.4 | 54.8 | 56.1 | 56 | 56.2 | ||||||||||
| Range | 26, 75 | 26, 75 | 29, 74 | 32, 73 | 29, 74 | ||||||||||
| <60 | 168 | 66 | 45 | 73 | 40 | 61 | 2.055 | 0.152 | 49 | 67 | 34 | 62 | 0.387 | 0.534 | |
| ≥60 | 88 | 34 | 17 | 27 | 26 | 39 | 24 | 33 | 21 | 38 | |||||
| Gender | |||||||||||||||
| Female | 77 | 30 | 20 | 32 | 20 | 30 | 0.057 | 0.812 | 21 | 29 | 16 | 29 | 0.002 | 0.968 | |
| Male | 179 | 70 | 42 | 68 | 46 | 70 | 52 | 71 | 39 | 71 | |||||
| Smoking status | |||||||||||||||
| Negative | 126 | 49 | 39 | 63 | 32 | 48 | 2.691 | 0.101 | 36 | 49 | 23 | 42 | 0.710 | 0.400 | |
| Positive | 130 | 51 | 23 | 37 | 34 | 52 | 37 | 51 | 32 | 58 | |||||
| Alcohol status | |||||||||||||||
| Negative | 98 | 38 | 42 | 68 | 40 | 61 | 0.707 | 0.400 | 45 | 62 | 31 | 56 | 0.363 | 0.547 | |
| Positive | 158 | 62 | 20 | 32 | 26 | 39 | 28 | 38 | 24 | 44 | |||||
| Tumor site | |||||||||||||||
| Tongue | 113 | 44 | 31 | 50 | 29 | 44 | 2.568 | 0.766 | 34 | 47 | 19 | 35 | 4.352 | 0.500 | |
| Buccal | 45 | 18 | 9 | 15 | 11 | 17 | 13 | 18 | 12 | 22 | |||||
| Gingiva | 40 | 16 | 9 | 15 | 10 | 15 | 12 | 16 | 9 | 16 | |||||
| Floor of the mouth | 30 | 12 | 6 | 10 | 12 | 18 | 6 | 8 | 6 | 11 | |||||
| Palate | 18 | 7 | 3 | 5 | 3 | 5 | 5 | 7 | 7 | 13 | |||||
| Retromolar triangle | 10 | 4 | 4 | 6 | 1 | 2 | 3 | 4 | 2 | 4 | |||||
| BMI | |||||||||||||||
| Underweight | 20 | 8 | 5 | 8 | 6 | 9 | 1.137 | 0.258 | 5 | 7 | 4 | 8 | 0.501 | 0.617 | |
| Normal | 132 | 52 | 34 | 55 | 39 | 59 | 35 | 49 | 24 | 45 | |||||
| Overweight | 72 | 28 | 16 | 26 | 17 | 26 | 24 | 33 | 15 | 28 | |||||
| Obese | 29 | 11 | 7 | 11 | 4 | 6 | 8 | 11 | 10 | 19 | |||||
| cT stage | |||||||||||||||
| T1 | 9 | 4 | 0 | 0 | 2 | 3 | 1.637 | 0.749 | 4 | 5 | 3 | 5 | 0.911 | 0.937 | |
| T2 | 57 | 22 | 12 | 19 | 13 | 20 | 20 | 27 | 12 | 22 | |||||
| T3 | 149 | 58 | 40 | 65 | 40 | 61 | 38 | 52 | 31 | 56 | |||||
| T4 | 41 | 16 | 10 | 16 | 11 | 17 | 11 | 15 | 9 | 16 | |||||
| cN stage | |||||||||||||||
| N0 | 110 | 43 | 31 | 50 | 30 | 45 | 3.516 | 0.172 | 29 | 40 | 20 | 36 | 0.397 | 0.820 | |
| N1 | 94 | 37 | 23 | 37 | 19 | 29 | 30 | 41 | 22 | 40 | |||||
| N2 | 52 | 20 | 8 | 13 | 17 | 26 | 14 | 19 | 13 | 24 | |||||
| Clinical TNM stage | |||||||||||||||
| III | 177 | 69 | 50 | 81 | 43 | 65 | 3.863 | 0.049 | 49 | 67 | 35 | 64 | 0.169 | 0.681 | |
| IVa | 79 | 31 | 12 | 19 | 23 | 35 | 24 | 33 | 20 | 36 | |||||
| Control Group (N = 115) | Experimental Group (N = 109) | |||
|---|---|---|---|---|
| Low dNLR | High dNLR | Low dNLR | High dNLR | |
| (n = 56) | (n = 59) | (n = 63) | (n = 46) | |
| Overall survival | 69.4% | 40.4% | 77.4% | 35.7% |
| Disease-free survival | 57.8% | 30.4% | 74.0% | 28.1% |
| Locoregional recurrence-free survival | 62.9% | 35.9% | 74.0% | 32.1% |
| Distant metastasis-free survival | 67.7% | 40.4% | 80.8% | 35.7% |
| Variable | OS | DFS | LRFS | DMFS | ||||||||
|---|---|---|---|---|---|---|---|---|---|---|---|---|
| HR | 95% CI | p | HR | 95% CI | p | HR | 95% CI | p | HR | 95% CI | p | |
| Sex (vs. Female) | 0.965 | 0.568–1.642 | 0.897 | 0.736 | 0.452–1.199 | 0.219 | 0.744 | 0.453–1.222 | 0.242 | 0.985 | 0.580–1.676 | 0.957 |
| Age (vs. < 60 years) | 1.199 | 0.716–2.009 | 0.490 | 1.066 | 0.654–1.738 | 0.796 | 1.075 | 0.654–1.768 | 0.775 | 1.166 | 0.697–1.952 | 0.559 |
| Smoking status (vs. non-smoker) | 1.219 | 0.743–2.000 | 0.433 | 1.021 | 0.639–1.630 | 0.932 | 1.013 | 0.630–1.630 | 0.956 | 1.225 | 0.747–2.009 | 0.421 |
| Alcohol status (vs. non-alcohol abuser) | 1.385 | 0.807–2.376 | 0.237 | 1.441 | 0.867–2.394 | 0.158 | 1.339 | 0.799–2.245 | 0.286 | 1.432 | 0.834–2.456 | 0.193 |
| BMI at diagnosis | 0.005 | 0.009 | 0.007 | 0.008 | ||||||||
| Normal | Ref. | Ref. | Ref. | Ref. | ||||||||
| Underweight | 2.145 | 1.065–4.321 | 0.033 | 1.915 | 0.961–3.814 | 0.065 | 2.106 | 1.053–4.210 | 0.035 | 2.067 | 1.027–4.162 | 0.042 |
| Overweight | 0.527 | 0.270–1.029 | 0.060 | 0.581 | 0.319–1.062 | 0.077 | 0.113 | 0.334–1.122 | 0.612 | 0.538 | 0.276–1.051 | 0.070 |
| Obese | 0.398 | 0.123–1.287 | 0.124 | 0.332 | 0.103–1.069 | 0.064 | 0.345 | 0.107–1.114 | 0.075 | 0.399 | 0.123–1.292 | 0.125 |
| cTNM (vs. III) | 1.993 | 1.184–3.354 | 0.009 | 1.792 | 1.088–2.952 | 0.022 | 1.939 | 1.173–3.207 | 0.010 | 1.603 | 1.127–3.190 | 0.016 |
| dNLR | 1.227 | 1.099–1.369 | <0.001 | 1.186 | 1.063–1.324 | 0.002 | 1.200 | 1.073–1.341 | 0.001 | 1.218 | 1.091–1.361 | <0.001 |
| NLR | 1.073 | 0.936–1.230 | 0.311 | 1.098 | 0.979–1.231 | 0.109 | 1.113 | 0.995–1.245 | 0.061 | 1.074 | 0.935–1.232 | 0.313 |
| PLR | 1.002 | 0.997–1.007 | 0.391 | 1.004 | 1.000–1.008 | 0.044 | 1.005 | 1.000–1.009 | 0.030 | 1.002 | 0.997–1.007 | 0.399 |
| LMR | 0.959 | 0.828–1.111 | 0.577 | 0.933 | 0.811–1.075 | 0.338 | 0.913 | 0.788–1.057 | 0.222 | 0.958 | 0.828–1.109 | 0.568 |
| PIV | 1.000 | 0.999–1.001 | 0.991 | 1.000 | 0.999–1.001 | 0.985 | 1.000 | 0.999–1.001 | 0.925 | 1.000 | 0.999–1.001 | 0.991 |
| Variable | OS | DFS | LRFS | DMFS | ||||||||
|---|---|---|---|---|---|---|---|---|---|---|---|---|
| HR | 95% CI | p | HR | 95% CI | p | HR | 95% CI | p | HR | 95% CI | p | |
| BMI at diagnosis | 0.067 | 0.063 | 0.062 | 0.083 | ||||||||
| Normal | Ref. | Ref. | Ref. | Ref. | ||||||||
| Underweight | 1.557 | 0.708–3.425 | 0.271 | 1.495 | 0.700–3.191 | 0.299 | 1.662 | 0.777–3.554 | 0.190 | 1.515 | 0.689–3.335 | 0.302 |
| Overweight | 0.510 | 0.995–1.268 | 0.061 | 0.574 | 0.313–1.050 | 0.071 | 0.605 | 0.329–1.111 | 0.105 | 0.523 | 0.267–1.024 | 0.059 |
| Obese | 0.477 | 0.146–1.557 | 0.220 | 0.385 | 0.118–1.250 | 0.112 | 0.400 | 0.123–1.301 | 0.128 | 0.475 | 0.146–1.552 | 0.218 |
| cTNM (vs. III) | 1.911 | 1.098–3.328 | 0.022 | 1.628 | 0.959–2.763 | 0.071 | 1.756 | 1.029–2.996 | 0.039 | 1.797 | 1.003–3.125 | 0.038 |
| dNLR | 1.154 | 1.018–1.309 | 0.025 | 1.123 | 1.001–1.282 | 0.050 | 1.134 | 1.002–1.283 | 0.047 | 1.146 | 1.010–1.300 | 0.035 |
| PLR | 1.002 | 0.996–1.008 | 0.505 | 1.005 | 0.999–1.011 | 0.092 | 1.005 | 0.999–1.010 | 0.107 | 1.002 | 0.996–1.008 | 0.498 |
| Variable | OS | DFS | LRFS | DMFS | ||||||||
|---|---|---|---|---|---|---|---|---|---|---|---|---|
| HR | 95% CI | p | HR | 95% CI | p | HR | 95% CI | p | HR | 95% CI | p | |
| Sex (vs. Female) | 1.212 | 0.657–2.237 | 0.539 | 1.219 | 0.687–2.160 | 0.499 | 1.189 | 0.670–2.111 | 0.555 | 1.207 | 0.654–2.228 | 0.548 |
| Age (vs. < 60 years) | 1.193 | 0.682–2.087 | 0.535 | 1.186 | 0.704–1.996 | 0.521 | 1.213 | 0.719–2.047 | 0.470 | 1.183 | 0.676–2.068 | 0.556 |
| Smoking status (vs. non-smoker) | 1.366 | 0.785–2.378 | 0.270 | 1.266 | 0.757–2.116 | 0.369 | 1.221 | 0.728–2.048 | 0.448 | 1.374 | 0.789–2.393 | 0.261 |
| Alcohol status (vs. non-alcohol abuser) | 1.144 | 0.661–1.978 | 0.631 | 1.175 | 0.706–1.955 | 0.534 | 1.124 | 0.672–1.880 | 0.656 | 1.135 | 0.656–1.963 | 0.650 |
| BMI at diagnosis | 0.550 | 0.504 | 0.511 | 0.567 | ||||||||
| Normal | Ref. | Ref. | Ref. | Ref. | ||||||||
| Underweight | 1.549 | 0.593–4.051 | 0.372 | 1.256 | 0.488–3.236 | 0.637 | 1.314 | 0.509–3.393 | 0.573 | 1.564 | 0.598–4.088 | 0.362 |
| Overweight | 0.743 | 0.380–1.453 | 0.386 | 0.659 | 0.351–1.240 | 0.196 | 0.676 | 0.358–1.276 | 0.227 | 0.757 | 0.387–1.480 | 0.415 |
| Obese | 1.065 | 0.480–2.361 | 0.877 | 1.019 | 0.485–2.140 | 0.961 | 1.054 | 0.500–2.220 | 0.890 | 1.065 | 0.480–2.362 | 0.876 |
| cTNM (vs. III) | 1.588 | 1.015–2.755 | 0.022 | 2.461 | 1.398–4.331 | 0.002 | 2.493 | 1.413–4.399 | 0.009 | 1.603 | 1.060–3.500 | 0.031 |
| dNLR | 1.154 | 1.035–1.285 | 0.010 | 1.141 | 1.029–1.266 | 0.013 | 1.139 | 1.024–1.268 | 0.016 | 1.152 | 1.034–1.282 | 0.010 |
| NLR | 1.286 | 0.953–1.737 | 0.100 | 1.326 | 1.015–1.731 | 0.038 | 1.315 | 1.005–1.722 | 0.046 | 1.309 | 0.967–1.772 | 0.082 |
| PLR | 1.009 | 1.000–1.017 | 0.051 | 1.009 | 1.002–1.017 | 0.017 | 1.008 | 1.000–1.016 | 0.040 | 1.009 | 1.000–1.017 | 0.054 |
| LMR | 1.092 | 0.921–1.295 | 0.312 | 1.038 | 0.879–1.225 | 0.662 | 1.039 | 0.879–1.229 | 0.652 | 1.090 | 0.920–1.293 | 0.320 |
| PIV | 1.000 | 0.999–1.001 | 0.991 | 1.000 | 0.999–1.001 | 0.985 | 1.001 | 1.000–1.002 | 0.116 | 1.000 | 0.999–1.001 | 0.991 |
| Variable | OS | DFS | LRFS | DMFS | ||||||||
|---|---|---|---|---|---|---|---|---|---|---|---|---|
| HR | 95% CI | p | HR | 95% CI | p | HR | 95% CI | p | HR | 95% CI | p | |
| cTNM (vs. III) | 1.924 | 1.057–3.499 | 0.032 | 1.926 | 1.154–3.215 | 0.012 | 1.991 | 1.188–3.337 | 0.024 | 1.926 | 1.014–2.782 | 0.033 |
| dNLR | 1.160 | 1.031, 1.276 | 0.011 | 1.239 | 1.019, 1.250 | 0.021 | 1.125 | 1.014, 1.249 | 0.027 | 1.145 | 1.030, 1.272 | 0.012 |
| PLR | 1.008 | 0.998–1.019 | 0.125 | 1.009 | 1.000–1.019 | 0.052 | 1.008 | 0.998–1.017 | 0.145 | 1.008 | 0.997–1.018 | 0.154 |
Disclaimer/Publisher’s Note: The statements, opinions and data contained in all publications are solely those of the individual author(s) and contributor(s) and not of MDPI and/or the editor(s). MDPI and/or the editor(s) disclaim responsibility for any injury to people or property resulting from any ideas, methods, instructions or products referred to in the content. |
© 2024 by the authors. Licensee MDPI, Basel, Switzerland. This article is an open access article distributed under the terms and conditions of the Creative Commons Attribution (CC BY) license (https://creativecommons.org/licenses/by/4.0/).
Share and Cite
Zhu, F.; Zhou, X.; Zhang, Y.; Zhou, Z.; Huang, Y.; Zhong, L.; Zhao, T.; Yang, W. Derived Neutrophils to Lymphocyte Ratio Predicts Survival Benefit from TPF Induction Chemotherapy in Local Advanced Oral Squamous Cellular Carcinoma. Cancers 2024, 16, 2707. https://doi.org/10.3390/cancers16152707
Zhu F, Zhou X, Zhang Y, Zhou Z, Huang Y, Zhong L, Zhao T, Yang W. Derived Neutrophils to Lymphocyte Ratio Predicts Survival Benefit from TPF Induction Chemotherapy in Local Advanced Oral Squamous Cellular Carcinoma. Cancers. 2024; 16(15):2707. https://doi.org/10.3390/cancers16152707
Chicago/Turabian StyleZhu, Fangxing, Xinyu Zhou, Yiyi Zhang, Zhihang Zhou, Yingying Huang, Laiping Zhong, Tongchao Zhao, and Wenjun Yang. 2024. "Derived Neutrophils to Lymphocyte Ratio Predicts Survival Benefit from TPF Induction Chemotherapy in Local Advanced Oral Squamous Cellular Carcinoma" Cancers 16, no. 15: 2707. https://doi.org/10.3390/cancers16152707
APA StyleZhu, F., Zhou, X., Zhang, Y., Zhou, Z., Huang, Y., Zhong, L., Zhao, T., & Yang, W. (2024). Derived Neutrophils to Lymphocyte Ratio Predicts Survival Benefit from TPF Induction Chemotherapy in Local Advanced Oral Squamous Cellular Carcinoma. Cancers, 16(15), 2707. https://doi.org/10.3390/cancers16152707

