Calcium-Based Imaging of the Spine at Dual-Layer CT and Evaluation of Vertebral Fractures in Multiple Myeloma
Abstract
Simple Summary
Abstract
1. Introduction
2. Material and Methods
2.1. Ethics Approval and Consent
2.2. Clinical Data Selection and Study Design
2.3. DLCT Acquisition, Post-Processing and Image Analysis
2.4. Statistical Analysis
3. Results
3.1. Descriptive Statistics
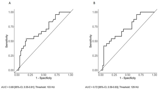
3.2. Probability of New Vertebral Fractures
3.3. Exploratory Analysis of Further Predictive Parameters
4. Discussion
5. Conclusions
Author Contributions
Funding
Institutional Review Board Statement
Informed Consent Statement
Data Availability Statement
Conflicts of Interest
Abbreviations
| AICc | Second-order Akaike information criterion |
| CI | Conventional CT image data |
| CT | Computed tomography |
| CTDIvol | Volumetric computed tomography dose index |
| DEXA | Dual-energy X-ray absorptiometry |
| DLCT | Dual-layer spectral detector CT |
| HU | Hounsfield Unit |
| ICC | Intra-class correlation coefficient |
| MGUS | Monoclonal gammopathy of unknown significance |
| MM | Multiple myeloma |
| MRI | Magnetic resonance imaging |
| OR | Odds ratio |
| ROC | Receiver operating characteristic |
| SD | Standard deviation |
| SMM | Smoldering multiple myeloma |
| VCa | Virtual calcium-only |
| VNCa CaSupp 100 | Virtual non-calcium image data, suppression index 100 |
| VNCa CaSupp 25 | Virtual non-calcium image data, suppression index 25 |
References
- Tian, E.; Zhan, F.; Walker, R.; Rasmussen, E.; Ma, Y.; Barlogie, B.; Shaughnessy, J.D., Jr. The role of the Wnt-signaling antagonist DKK1 in the development of osteolytic lesions in multiple myeloma. N. Engl. J. Med. 2003, 349, 2483–2494. [Google Scholar] [CrossRef] [PubMed]
- Heider, M.; Nickel, K.; Hogner, M.; Bassermann, F. Multiple Myeloma: Molecular Pathogenesis and Disease Evolution. Oncol. Res. Treat. 2021, 44, 672–681. [Google Scholar] [CrossRef] [PubMed]
- Terpos, E.; Zamagni, E.; Lentzsch, S.; Drake, M.T.; Garcia-Sanz, R.; Abildgaard, N.; Ntanasis-Stathopoulos, I.; Schjesvold, F.; de la Rubia, J.; Kyriakou, C.; et al. Treatment of multiple myeloma-related bone disease: Recommendations from the Bone Working Group of the International Myeloma Working Group. Lancet Oncol. 2021, 22, e119–e130. [Google Scholar] [CrossRef] [PubMed]
- Hillengass, J.; Usmani, S.; Rajkumar, S.V.; Durie, B.G.M.; Mateos, M.V.; Lonial, S.; Joao, C.; Anderson, K.C.; Garcia-Sanz, R.; Serra, E.R.; et al. International myeloma working group consensus recommendations on imaging in monoclonal plasma cell disorders. Lancet Oncol. 2019, 20, e302–e312. [Google Scholar] [CrossRef] [PubMed]
- Eseonu, K.C.; Panchmatia, J.R.; Streetly, M.J.; Grauer, J.N.; Fakouri, B. The role of Vertebral Augmentation Procedures in the management of vertebral compression fractures secondary to multiple myeloma. Hematol. Oncol. 2022, 41, 323–334. [Google Scholar] [CrossRef] [PubMed]
- Roski, F.; Hammel, J.; Mei, K.; Baum, T.; Kirschke, J.S.; Laugerette, A.; Kopp, F.K.; Bodden, J.; Pfeiffer, D.; Pfeiffer, F.; et al. Bone mineral density measurements derived from dual-layer spectral CT enable opportunistic screening for osteoporosis. Eur. Radiol. 2019, 29, 6355–6363. [Google Scholar] [CrossRef] [PubMed]
- Roski, F.; Hammel, J.; Mei, K.; Haller, B.; Baum, T.; Kirschke, J.S.; Pfeiffer, D.; Woertler, K.; Pfeiffer, F.; Noel, P.B.; et al. Opportunistic osteoporosis screening: Contrast-enhanced dual-layer spectral CT provides accurate measurements of vertebral bone mineral density. Eur. Radiol. 2021, 31, 3147–3155. [Google Scholar] [CrossRef] [PubMed]
- Abdullayev, N.; Hokamp, N.G.; Lennartz, S.; Holz, J.A.; Romman, Z.; Pahn, G.; Neuhaus, V.; Maintz, D.; Krug, B.; Borggrefe, J. Improvements of diagnostic accuracy and visualization of vertebral metastasis using multi-level virtual non-calcium reconstructions from dual-layer spectral detector computed tomography. Eur. Radiol. 2019, 29, 5941–5949. [Google Scholar] [CrossRef] [PubMed]
- Kosmala, A.; Weng, A.M.; Krauss, B.; Knop, S.; Bley, T.A.; Petritsch, B. Dual-energy CT of the bone marrow in multiple myeloma: Diagnostic accuracy for quantitative differentiation of infiltration patterns. Eur. Radiol. 2018, 28, 5083–5090. [Google Scholar] [CrossRef]
- Kosmala, A.; Weng, A.M.; Heidemeier, A.; Krauss, B.; Knop, S.; Bley, T.A.; Petritsch, B. Multiple Myeloma and Dual-Energy CT: Diagnostic Accuracy of Virtual Noncalcium Technique for Detection of Bone Marrow Infiltration of the Spine and Pelvis. Radiology 2018, 286, 205–213. [Google Scholar] [CrossRef]
- Xiong, X.; Hong, R.; Fan, X.; Hao, Z.; Zhang, X.; Zhang, Y.; Hu, C. Quantitative assessment of bone marrow infiltration and characterization of tumor burden using dual-layer spectral CT in patients with multiple myeloma. Radiol. Oncol. 2024, 58, 43–50. [Google Scholar] [CrossRef] [PubMed]
- Schwaiger, B.J.; Gersing, A.S.; Hammel, J.; Mei, K.; Kopp, F.K.; Kirschke, J.S.; Rummeny, E.J.; Wortler, K.; Baum, T.; Noel, P.B. Three-material decomposition with dual-layer spectral CT compared to MRI for the detection of bone marrow edema in patients with acute vertebral fractures. Skelet. Radiol. 2018, 47, 1533–1540. [Google Scholar] [CrossRef] [PubMed]
- Adams, J.E. Quantitative computed tomography. Eur. J. Radiol. 2009, 71, 415–424. [Google Scholar] [CrossRef]
- Pompe, E.; Willemink, M.J.; Dijkhuis, G.R.; Verhaar, H.J.; Hoesein, F.A.M.; de Jong, P.A. Intravenous contrast injection significantly affects bone mineral density measured on CT. Eur. Radiol. 2015, 25, 283–289. [Google Scholar] [CrossRef]
- Do, T.D.; Rahn, S.; Melzig, C.; Heußel, C.; Stiller, W.; Kauczor, H.U.; Weber, T.F.; Skornitzke, S. Quantitative calcium-based assessment of osteoporosis in dual-layer spectral CT. Eur. J. Radiol. 2024, 178, 111606. [Google Scholar] [CrossRef]
- Rajkumar, S.V.; Dimopoulos, M.A.; Palumbo, A.; Blade, J.; Merlini, G.; Mateos, M.V.; Kumar, S.; Hillengass, J.; Kastritis, E.; Richardson, P.; et al. International Myeloma Working Group updated criteria for the diagnosis of multiple myeloma. Lancet Oncol. 2014, 15, e538–e548. [Google Scholar] [CrossRef]
- Brandelik, S.C.; Skornitzke, S.; Mokry, T.; Sauer, S.; Stiller, W.; Nattenmuller, J.; Kauczor, H.U.; Weber, T.F.; Do, T.D. Quantitative and qualitative assessment of plasma cell dyscrasias in dual-layer spectral CT. Eur. Radiol. 2021, 31, 7664–7673. [Google Scholar] [CrossRef] [PubMed]
- R Core Team. R: A Language and Environment for Statistical Computing. 2020. Available online: https://www.R-project.org/ (accessed on 6 September 2022).
- Zhang, Z. Variable selection with stepwise and best subset approaches. Ann. Transl. Med. 2016, 4, 136. [Google Scholar] [CrossRef]
- Holm, S. A simple sequentially rejective multiple test procedure. Scand. J. Stat. 1979, 6, 65–70. [Google Scholar]
- Nagelkerke, N.J. A note on a general definition of the coefficient of determination. Biometrika 1991, 78, 691–692. [Google Scholar] [CrossRef]
- Carpenter, J.; Bithell, J. Bootstrap confidence intervals: When, which, what? A practical guide for medical statisticians. Stat. Med. 2000, 19, 1141–1164. [Google Scholar] [CrossRef]
- Youden, W.J. Index for rating diagnostic tests. Cancer 1950, 3, 32–35. [Google Scholar] [CrossRef] [PubMed]
- Kim, J.E.; Yoo, H.J.; Chae, H.D.; Choi, J.Y.; Hong, S.H.; Kang, J.H.; Yeoh, H. Dual-Layer Detector CT With Virtual Noncalcium Imaging: Diagnostic Performance in Patients With Suspected Wrist Fractures. AJR Am. J. Roentgenol. 2021, 216, 1003–1013. [Google Scholar] [CrossRef]
- Neuhaus, V.; Lennartz, S.; Abdullayev, N.; Hokamp, N.G.; Shapira, N.; Kafri, G.; Holz, J.A.; Krug, B.; Hellmich, M.; Maintz, D.; et al. Bone marrow edema in traumatic vertebral compression fractures: Diagnostic accuracy of dual-layer detector CT using calcium suppressed images. Eur. J. Radiol. 2018, 105, 216–220. [Google Scholar] [CrossRef] [PubMed]
- Deshpande, N.; Hadi, M.S.; Lillard, J.C.; Passias, P.G.; Linzey, J.R.; Saadeh, Y.S.; LaBagnara, M.; Park, P. Alternatives to DEXA for the assessment of bone density: A systematic review of the literature and future recommendations. J. Neurosurg. Spine 2023, 38, 436–445. [Google Scholar] [CrossRef]
- van Hamersvelt, R.W.; Schilham, A.M.R.; Engelke, K.; den Harder, A.M.; de Keizer, B.; Verhaar, H.J.; Leiner, T.; de Jong, P.A.; Willemink, M.J. Accuracy of bone mineral density quantification using dual-layer spectral detector CT: A phantom study. Eur. Radiol. 2017, 27, 4351–4359. [Google Scholar] [CrossRef] [PubMed]
- Bataille, R.; Chappard, D.; Marcelli, C.; Rossi, J.F.; Dessauw, P.; Baldet, P.; Sany, J.; Alexandre, C. Osteoblast stimulation in multiple myeloma lacking lytic bone lesions. Br. J. Haematol. 1990, 76, 484–487. [Google Scholar] [CrossRef]
- Patolia, S.; Schmidt, F.; Patolia, S.; Gulati, N.; Muhammad, P.; Narendra, D.; Enriquez, D.; Quist, J. Multiple Myeloma With Mixed Lytic and Blastic Bone Lesions With Lymphadenopathy: Rare Manifestation of a Common Disease-Case Presentation and Literature Review. World J. Oncol. 2012, 3, 78–82. [Google Scholar] [CrossRef] [PubMed]
- Lacy, M.Q.; Gertz, M.A.; Hanson, C.A.; Inwards, D.J.; Kyle, R.A. Multiple myeloma associated with diffuse osteosclerotic bone lesions: A clinical entity distinct from osteosclerotic myeloma (POEMS syndrome). Am. J. Hematol. 1997, 56, 288–293. [Google Scholar] [CrossRef]
- John, L.; Poos, A.M.; Brobeil, A.; Schinke, C.; Huhn, S.; Prokoph, N.; Lutz, R.; Wagner, B.; Zangari, M.; Tirier, S.M.; et al. Resolving the spatial architecture of myeloma and its microenvironment at the single-cell level. Nat. Commun. 2023, 14, 5011. [Google Scholar] [CrossRef]
- Merz, M.; Merz, A.M.A.; Wang, J.; Wei, L.; Hu, Q.; Hutson, N.; Rondeau, C.; Celotto, K.; Belal, A.; Alberico, R.; et al. Deciphering spatial genomic heterogeneity at a single cell resolution in multiple myeloma. Nat. Commun. 2022, 13, 807. [Google Scholar] [CrossRef] [PubMed]
- Merz, M.; Hu, Q.; Merz, A.M.A.; Wang, J.; Hutson, N.; Rondeau, C.; Celotto, K.; Belal, A.; Alberico, R.; Block, A.W.; et al. Spatiotemporal assessment of immunogenomic heterogeneity in multiple myeloma. Blood Adv. 2023, 7, 718–733. [Google Scholar] [CrossRef] [PubMed]
- Winkelmann, M.T.; Hagen, F.; Le-Yannou, L.; Weiss, J.; Riffel, P.; Gutjahr, R.; Faby, S.; Nikolaou, K.; Horger, M. Myeloma bone disease imaging on a 1st-generation clinical photon-counting detector CT vs. 2nd-generation dual-source dual-energy CT. Eur. Radiol. 2023, 33, 2415–2425. [Google Scholar] [CrossRef]
- Si-Mohamed, S.A.; Boccalini, S.; Villien, M.; Yagil, Y.; Erhard, K.; Boussel, L.; Douek, P.C. First Experience with a Whole-Body Spectral Photon-Counting CT Clinical Prototype. Investig. Radiol. 2023, 58, 459–471. [Google Scholar] [CrossRef] [PubMed]
- Rau, A.; Neubauer, J.; Taleb, L.; Stein, T.; Schuermann, T.; Rau, S.; Faby, S.; Wenger, S.; Engelhardt, M.; Bamberg, F.; et al. Impact of Photon-Counting Detector Computed Tomography on Image Quality and Radiation Dose in Patients with Multiple Myeloma. Korean J. Radiol. 2023, 24, 1006–1016. [Google Scholar] [CrossRef]


| Total Sample (n = 81) | |
|---|---|
| age (years) | |
| M (SD) | 61.1 (10.9) |
| sex (n (%)) | |
| female | 31 (38.27%) |
| male | 50 (61.73%) |
| time between baseline and follow-up assessment (months) | |
| M (SD) | 15.08 (8.23) |
| patients with surgical intervention of the spine (n (%)) | |
| baseline | 8 (9.88%) |
| follow-up | 14 (17.28%) |
| fractures of the spine at baseline assessment | |
| number of patients with fractures (n (%)) | 43 (53.09%) |
| average number of fractures (M (SD)) | 4.63 (3.86) |
| average fracture degree | 1.62 (0.53) |
| new fractures of the spine at follow-up assessment | |
| number of patients with new fractures (n (%)) | 24 (29.63%) |
| average number of new fractures (M (SD)) | 2.33 (1.71) |
| average fracture degree | 1.80 (0.53) |
| sintering of fractures between baseline and follow-up assessment | |
| number of patients with sintered fractures (n (%)) | 23 (28.40%) |
| average number of sintered fractures (M (SD)) | 2.00 (1.24) |
| average fracture gradient after sintering (M (SD)) | 2.08 (0.57) |
| ICC [95% CI] | ||
|---|---|---|
| CI | VCa | |
| Vertebral Body | ||
| L1 | 0.92 [0.88, 0.95] | 0.86 [0.80, 0.91] |
| L2 | 0.94 [0.91, 0.96] | 0.94 [0.91, 0.96] |
| L3 | 0.91 [0.86, 0.94] | 0.79 [0.69, 0.86] |
| L4 | 0.80 [0.70, 0.87] | 0.93 [0.90, 0.96] |
| L5 | 0.93 [0.89, 0.95] | 0.93 [0.90, 0.96] |
| N = 81 | ||
| b (SE) | p | Odds Ratio | 95% CI for Odds Ratio | |
|---|---|---|---|---|
| Intercept | −1.06 (0.30) | <0.01 | ||
| CT attenuation of LS at baseline in VCa | −0.01 (0.00) | 0.02 | 0.989 | [0.979; 0.997] |
| age | 0.01 (0.03) | 0.70 | 1.010 | [0.960; 1.063] |
| sex | 0.50 (0.55) | 0.37 | 1.642 | [0.552; 4.905] |
| time between BL and FU | −0.01 (0.04) | 0.80 | 0.991 | [0.922; 1.065] |
| fracture at BL | 0.98 (0.63) | 0.12 | 2.661 | [0.801; 9.758] |
| R² = 0.25, AICc = 96.27, Model χ2(5) = 15.31, p < 0.01 | ||||
| R² | AICc | |
|---|---|---|
| Forced Entry | ||
| CI | 0.23 | 97.20 |
| VCa | 0.25 | 96.27 |
| CaSupp25 | 0.24 | 96.52 |
Disclaimer/Publisher’s Note: The statements, opinions and data contained in all publications are solely those of the individual author(s) and contributor(s) and not of MDPI and/or the editor(s). MDPI and/or the editor(s) disclaim responsibility for any injury to people or property resulting from any ideas, methods, instructions or products referred to in the content. |
© 2024 by the authors. Licensee MDPI, Basel, Switzerland. This article is an open access article distributed under the terms and conditions of the Creative Commons Attribution (CC BY) license (https://creativecommons.org/licenses/by/4.0/).
Share and Cite
Brandelik, S.C.; Rahn, S.; Merz, M.; Stiller, W.; Skornitzke, S.; Melzig, C.; Kauczor, H.-U.; Weber, T.F.; Do, T.D. Calcium-Based Imaging of the Spine at Dual-Layer CT and Evaluation of Vertebral Fractures in Multiple Myeloma. Cancers 2024, 16, 2688. https://doi.org/10.3390/cancers16152688
Brandelik SC, Rahn S, Merz M, Stiller W, Skornitzke S, Melzig C, Kauczor H-U, Weber TF, Do TD. Calcium-Based Imaging of the Spine at Dual-Layer CT and Evaluation of Vertebral Fractures in Multiple Myeloma. Cancers. 2024; 16(15):2688. https://doi.org/10.3390/cancers16152688
Chicago/Turabian StyleBrandelik, Simone C., Stefanie Rahn, Maximilian Merz, Wolfram Stiller, Stephan Skornitzke, Claudius Melzig, Hans-Ulrich Kauczor, Tim F. Weber, and Thuy D. Do. 2024. "Calcium-Based Imaging of the Spine at Dual-Layer CT and Evaluation of Vertebral Fractures in Multiple Myeloma" Cancers 16, no. 15: 2688. https://doi.org/10.3390/cancers16152688
APA StyleBrandelik, S. C., Rahn, S., Merz, M., Stiller, W., Skornitzke, S., Melzig, C., Kauczor, H.-U., Weber, T. F., & Do, T. D. (2024). Calcium-Based Imaging of the Spine at Dual-Layer CT and Evaluation of Vertebral Fractures in Multiple Myeloma. Cancers, 16(15), 2688. https://doi.org/10.3390/cancers16152688

