Predictive Factors for Early Immune Recovery in NHL Patients after Autologous Transplantation: A Multicenter Prospective Study
Abstract
Simple Summary
Abstract
1. Introduction
2. Material and Methods
2.1. Patients and Methods
2.2. Mobilization and Collection of Blood Grafts
2.3. The Graft Cellular Analysis
2.4. High-Dose Therapy and Posttransplant Course
2.5. Statistical Analysis
2.6. Ethics
3. Results
3.1. CD34+ Cell Mobilization and Graft Cellular Analysis
3.2. Predictive Factors for ALC-15
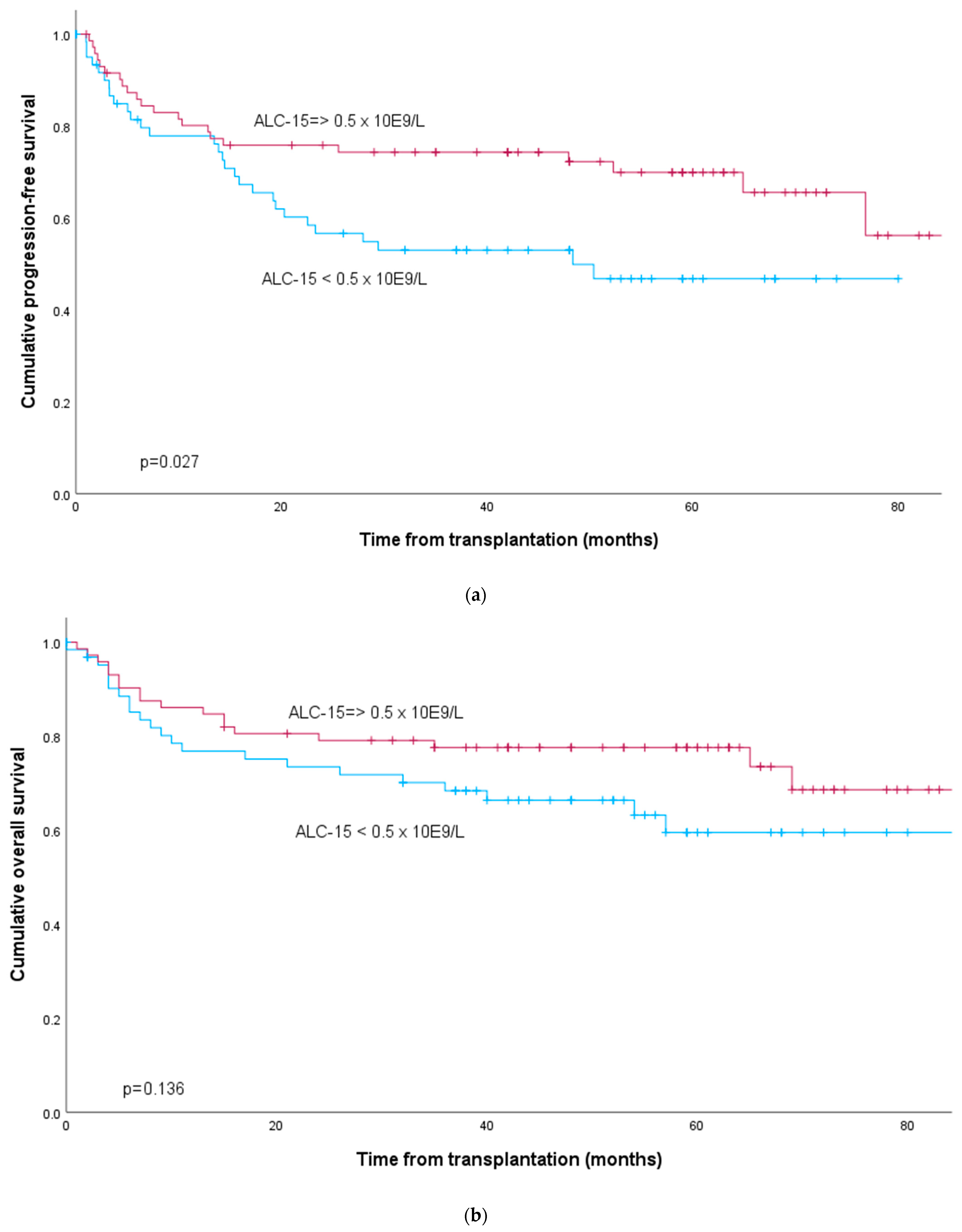
3.3. Survival Analysis
4. Discussion
Author Contributions
Funding
Institutional Review Board Statement
Informed Consent Statement
Data Availability Statement
Acknowledgments
Conflicts of Interest
References
- Gordan, L.N.; Sugrue, M.W.; Lynch, J.W.; Williams, K.D.; Khan, S.A.; Moreb, J.S. Correlation of early lymphocyte recovery and progression-free survival after autologous stem-cell transplant in patients with Hodgkin’s and non-Hodgkin’s Lymphoma. Bone Marrow Transplant. 2003, 31, 1009–1013. [Google Scholar] [CrossRef] [PubMed]
- Porrata, L.F.; Gertz, M.A.; Inwards, D.J.; Litzow, M.R.; Lacy, M.Q.; Tefferi, A.; Gastineau, D.A.; Dispenzieri, A.; Ansell, S.M.; Micallef, I.N.; et al. Early lymphocyte recovery predicts superior survival after autologous hematopoietic stem cell transplantation in multiple myeloma or non-Hodgkin lymphoma. Blood 2001, 98, 579–585. [Google Scholar] [CrossRef] [PubMed]
- Porrata, L.F.; Inwards, D.J.; Ansell, S.M.; Micallef, I.N.; Johnston, P.B.; Gastineau, D.A.; Litzow, M.R.; Winters, J.L.; Markovic, S.N. Early lymphocyte recovery predicts superior survival after autologous stem cell transplantation in non-Hodgkin lymphoma: A prospective study. Biol. Blood Marrow Transplant. 2008, 14, 807–816. [Google Scholar] [CrossRef] [PubMed]
- Porrata, L.F.; Markovic, S.N. Autograft mediated adoptive immunotherapy of cancer in the context of autologous stem cell transplantation. World J. Clin. Oncol. 2010, 1, 29–34. [Google Scholar] [CrossRef] [PubMed]
- Porrata, L.F. Autograft immune effector cells and survival in autologous peripheral blood hematopoietic stem cell transplantation. J. Clin. Apher. 2018, 33, 324–330. [Google Scholar] [CrossRef]
- Porrata, L.F. The Impact of infused autograft absolute numbers of immune effector cells on survival post-autologous stem cell transplantation. Cells 2022, 11, 2197. [Google Scholar] [CrossRef] [PubMed]
- Porrata, L.F.; Gastineau, D.A.; Padley, D.; Bundy, K.; Markovic, S.N. Re-infused autologous graft natural killer cells correlate with absolute lymphocyte count recovery after autologous stem cell transplantation. Leuk. Lymphoma 2003, 44, 997–1000. [Google Scholar] [CrossRef] [PubMed]
- Atta, E.H.; de Azevedo, A.M.; Maiolino, A.; Coelho, C.J.; Sarcinelli, S.M.; de Alvarenga Máximo, C.; Marra, V.L. High CD8+ lymphocyte dose in the autograft predicts early absolute lymphocyte count recovery after peripheral hematopoietic stem cell transplantation. Am. J. Hematol. 2009, 84, 21–28. [Google Scholar] [CrossRef] [PubMed]
- Holtan, S.G.; Porrata, L.F.; Micallef, I.N.; Padley, D.J.; Inwards, D.J.; Ansell, S.A.; Johnston, P.B.; Gastineau, D.A.; Markovic, S.N. AMD3100 affects autograft lymphocyte collection and progression-free survival after autologous stem cell transplantation in non-Hodgkin lymphoma. Clin. Lymphoma Myeloma 2007, 7, 315–318. [Google Scholar] [CrossRef]
- Varmavuo, V.; Mäntymaa, P.; Nousiainen, T.; Valonen, P.; Kuittinen, T.; Jantunen, E. Blood graft composition after plerixafor injection in patients with NHL. Eur. J. Haematol. 2012, 89, 128–135. [Google Scholar] [CrossRef]
- Jantunen, E.; Turunen, A.; Varmavuo, V.; Partanen, A. Impact of plerixafor use in the mobilization of blood grafts for autologous hematopoietic cell transplantation. Transfusion 2024, 64, 742–750. [Google Scholar] [CrossRef] [PubMed]
- Turunen, A.; Valtola, J.; Partanen, A.; Ropponen, A.; Kuittinen, O.; Kuitunen, H.; Vasala, K.; Ågren, L.; Penttilä, K.; Keskinen, L.; et al. Autograft cellular composition and outcome in NHL patients: Results of the prospective multicenter GOA study. Leuk. Lymphoma 2020, 61, 2082–2092. [Google Scholar] [CrossRef] [PubMed]
- Gratama, J.W.; Kraan, J.; Keeney, M.; Sutherland, D.R.; Granger, V.; Barnett, D. Validation of the single-platform ISHAGE method for CD34(+) hematopoietic stem and progenitor cell enumeration in an international multicenter study. Cytotherapy 2003, 5, 55–65. [Google Scholar] [CrossRef] [PubMed]
- Jantunen, E.; Varmavuo, V.; Pelkonen, J.; Valtola, J. Importance of early immune recovery after autologous hematopoietic cell transplantation in lymphoma patients. Leuk. Lymphoma 2019, 60, 2115–2121. [Google Scholar] [CrossRef] [PubMed]
- Steingrimsdottir, H.; Gruber, A.; Björkholm, M.; Svensson, A.; Hansson, M. Immune reconstitution after autologous hematopoietic stem cell transplantation in relation to underlying disease, type of high-dose therapy and infectious complications. Haematologica 2000, 85, 832–838. [Google Scholar] [PubMed]
- Dean, H.F.; Cazaly, A.; Hurlock, C.; Borras, J.; Williams, A.P.; Johnson, P.W.; Davies, A.J. Defects in lymphocyte subsets and serological memory persist a median of 10 years after high-dose therapy and autologous progenitor cell rescue for malignant lymphoma. Bone Marrow Transplant. 2012, 47, 1545–1551. [Google Scholar] [CrossRef] [PubMed][Green Version]
- Porrata, L.F.; Litzow, M.R.; Inwards, D.J.; Gastineau, D.A.; Moore, S.B.; Pineda, A.A.; Bundy, K.L.; Padley, D.J.; Persky, D.; Ansell, S.M.; et al. Infused peripheral blood autograft absolute lymphocyte count correlates with day 15 absolute lymphocyte count and clinical outcome after autologous peripheral hematopoietic stem cell transplantation in non-Hodgkin’s lymphoma. Bone Marrow Transplant. 2004, 33, 291–298. [Google Scholar] [CrossRef] [PubMed]
- Yoon, D.H.; Sohn, B.S.; Jang, G.; Kim, E.K.; Kang, B.W.; Kim, C.; Kim, J.E.; Kim, S.; Lee, D.H.; Lee, J.S.; et al. Higher infused CD34+ hematopoietic stem cell dose correlates with earlier lymphocyte recovery and better clinical outcome after autologous stem cell transplantation in non-Hodgkin’s lymphoma. Transfusion 2009, 49, 1890–1900. [Google Scholar] [CrossRef] [PubMed]
- Joao, C.; Porrata, L.F.; Inwards, D.J.; Ansell, S.M.; Micallef, I.N.; Johnston, P.B.; Gastineau, D.A.; Markovic, S.N. Early lymphocyte recovery after autologous stem cell transplantation predicts superior survival in mantle-cell lymphoma. Bone Marrow Transplant. 2006, 37, 865–871. [Google Scholar] [CrossRef] [PubMed]
- Porrata, L.F.; Inwards, D.J.; Ansell, S.M.; Micallef, I.N.; Johnston, P.B.; Hogan, W.J.; Markovic, S.N. Infused autograft lymphocyte-to-monocyte ratio and survival in T-cell lymphoma post-autologous peripheral blood hematopoietic stem cell transplantation. J. Hematol. Oncol. 2015, 8, 80. [Google Scholar] [CrossRef] [PubMed]
- Porrata, L.F.; Burgstaler, E.A.; Winters, J.L.; Jacob, E.K.; Gastineau, D.A.; Suman, V.J.; Inwards, D.J.; Ansell, S.M.; Micallef, I.N.; Johnston, P.B.; et al. Immunologic autograft engineering and survival in non-Hodgkin lymphoma. Biol. Blood Marrow Transplant. 2016, 22, 1017–1023. [Google Scholar] [CrossRef] [PubMed]
- Tiwari, D.; Gao, F.; Hidalgo, J.; Adkins, D.R.; Vij, R.; DiPersio, J.F.; Khoury, H.J. Prognostic significance of early lymphocyte recovery after post-autografting administration of GM-CSF in non-Hodgkin’s lymphoma. Bone Marrow Transplant. 2007, 40, 671–675. [Google Scholar] [CrossRef] [PubMed][Green Version]
- Stover, D.G.; Reddy, V.K.; Shyr, Y.; Savani, B.N.; Reddy, N. Long-term impact of prior rituximab therapy and early lymphocyte recovery on auto-SCT outcome for diffuse large B-cell lymphoma. Bone Marrow Transplant. 2012, 47, 82–87. [Google Scholar] [CrossRef] [PubMed]
- Porrata, L.F.; Inwards, D.J.; Ansell, S.M.; Micallef, I.N.; Johnston, P.B.; Villasboas, J.C.; Paludo, J.; Markovic, S.N. Impact of autograft-absolute lymphocyte count on survival in double/triple hit lymphomas post-autologous stem cell transplantation. Leuk. Lymphoma 2022, 63, 2436–2443. [Google Scholar] [CrossRef] [PubMed]
- Porrata, L.F.; Inwards, D.J.; Ansell, S.M.; Micallef, I.N.; Johnston, P.B.; Villasboas, J.C.; Paludo, J.; Markovic, S.N. Long-term outcome of immunologic autograft engineering. EJHaem 2022, 3, 488–491. [Google Scholar] [CrossRef] [PubMed]
- Holtan, S.G.; Porrata, L.F.; Inwards, D.J.; Ansell, S.M.; Micallef, I.N.; Johnston, P.B.; Litzow, M.R.; Gastineau, D.A.; Markovic, S.N. Timing of autologous stem cell transplantation from last chemotherapy affects lymphocyte collection and survival in non-Hodgkin lymphoma. Br. J. Haematol. 2006, 133, 628–633. [Google Scholar] [CrossRef] [PubMed][Green Version]
- Boulassel, M.R.; Herr, A.L.; Deb Edwardes, M.D.; Galal, A.; Lachance, S.; Laneuville, P.; Routy, J.P. Early lymphocyte recovery following autologous peripheral stem cell transplantation is associated with better survival in younger patients with lymphoproliferative disorders. Hematology 2006, 11, 165–170. [Google Scholar] [CrossRef] [PubMed]
- Jantunen, E.; Fruehauf, S. Importance of blood graft characteristics in auto-SCT: Implications for optimizing mobilization regimens. Bone Marrow Transplant. 2011, 46, 627–635. [Google Scholar] [CrossRef]

| Variable | n (%) |
|---|---|
| Age, years (median, range) | 61 (19–73) |
| Gender | |
| Female | 73 (41) |
| Male | 105 (59) |
| Histology | |
| DLBCL | 93 (52) |
| MCL | 45 (25) |
| PTCL | 27 (15) |
| FL | 13 (8) |
| BM infiltration at diagnosis | 63 (36) |
| BM infiltration at mobilization of blood grafts | 3 (2) |
| Treatment before mobilization 1 | |
| CHOP/CHOEP/CEOP | 93 (52) |
| Nordic MCL protocol | 44 (24) |
| DHAP/MINE | 15 (8) |
| BBBD | 14 (8) |
| Other | 16 (8) |
| Mobilization chemotherapy | |
| HD-AraC | 82 (46) |
| DHAP | 49 (28) |
| ICE | 14 (8) |
| BBBD | 12 (7) |
| CHOP | 6 (3) |
| Other | 15 (8) |
| G-CSF used in mobilization | |
| FIL | 49 (27) |
| PEG | 85 (47) |
| LIPEG | 42 (23) |
| PLER use 2 | 62 (35) |
| Disease status pre-AHCT 3 | |
| CR I | 93 (53) |
| PR I | 39 (22) |
| CR II | 21 (12) |
| PR II | 14 (8) |
| Other | 10 (5) |
| High-dose therapy | |
| BEAM | 152 (85) |
| BEAC | 7 (4) |
| Carmustine-thiotepa | 19 (11) |
| Variable | Median (Range) |
|---|---|
| WBC at the time of first apheresis × 109/L | 11.8 (0.9–116) |
| Blood CD34+ cells × 106/L at the time of first apheresis | 30 (5–538) |
| Peak blood CD34+ cell count × 106/L | 38 (6–538) |
| CD34+ cell yield × 106/kg with first apheresis | 2.3 (0.1–25.5) |
| Total yield of CD34+ cells × 106/kg collected | 3.6 (1.6–25.5) |
| Number of aphereses, n (%) † 1 2 3 4 | 88 (50) 61 (34) 22 (12) 7 (4) |
| Variable | AUC | p-Value | Cut-Off | Sensitivity | Specificity |
|---|---|---|---|---|---|
| Number of CD34+ cells w/a 7-AAD (×106/kg) | 0.561 | 0.273 | 4.25 | 0.367 | 0.776 |
| Number of CD34+ cells w 7-AAD (×106/kg) | 0.548 | 0.384 | 3.25 | 0.417 | 0.775 |
| Number of CD34+CD133+CD38− cells (×106/kg) | 0.623 | 0.022 | 0.09 | 0.265 | 0.735 |
| Number of CD3+ cells (×106/kg) | 0.706 | <0.001 | 42.8 | 0.900 | 0.469 |
| Number of CD3+CD4+ cells (×106/kg) | 0.730 | <0.001 | 31.8 | 0.817 | 0.592 |
| Number of CD3+CD8+ cells (×106/kg) | 0.685 | <0.001 | 28.8 | 0.717 | 0.612 |
| Number of CD19+ cells (×106/kg) | 0.592 | 0.090 | 0.019 | 0.317 | 0.857 |
| Number of NK cells (×106/kg) | 0.626 | 0.020 | 4.4 | 0.733 | 0.510 |
| Variable | Univariate Analysis | Multivariate Analysis | ||||
|---|---|---|---|---|---|---|
| OR | 95% CI | Sig. | OR | 95% CI | Sig. | |
| Gender | ||||||
| Female | 1 | |||||
| Male | 0.950 | 0.477–1.892 | 0.885 | |||
| Age (years) | ||||||
| <60 | 1 | |||||
| >60 | 1.372 | 0.685–2.746 | 0.372 | |||
| Histology | ||||||
| DLBCL | 1 | |||||
| MCL | 0.337 | 0.81–1.403 | 0.135 | |||
| FL | 0.729 | 0.320–1.661 | 0.451 | |||
| PTCL | 1.237 | 0.434–3.532 | 0.690 | |||
| Other | 0.0 | 0 | 0.999 | |||
| Mobilization chemotherapy used | ||||||
| HD-AraC | 1 | |||||
| DHAP | 1.351 | 0.590–3.092 | 0.477 | |||
| ICE | 1.618 | 0.459–5.708 | 0.454 | |||
| BBBD | 0 | 0 | 0.999 | |||
| Other | 2.810 | 0.697–11.320 | 0.146 | |||
| G-CSF in mobilization | ||||||
| FIL | 1 | |||||
| PEG | 1.855 | 0.684–5.028 | 0.225 | |||
| LIPEG | 1.315 | 0.421–4.104 | 0.637 | |||
| PLER use | ||||||
| No | 1 | |||||
| Yes | 1.633 | 0.765–3.486 | 0.205 | |||
| Disease status pre-AHCT | ||||||
| I CR | 1 | |||||
| I PR | 0.572 | 0.241–1.354 | 0.204 | |||
| II CR | 0.448 | 0.170–1.400 | 0.182 | |||
| II PR | 0.381 | 0.112–1.295 | 0.122 | |||
| PD | 0.244 | 0.044–1.353 | 0.107 | |||
| Collection parameters | ||||||
| Total CD34+ cell yield > 4.25 × 106/kg | 2.091 | 0.896–4.880 | 0.088 | 1.160 | 0.242–5.566 | 0.853 |
| Peak blood CD34+ number > 45 × 109/L | 1.654 | 0.832–3.287 | 0.151 | 5.157 | 1.301–20.444 | 0.020 |
| Number of apheresis | 1.186 | 0.551–2.553 | 0.662 | |||
| Graft components (×106/kg) | ||||||
| CD34+ cells in the graft with 7-AAD > 3.25 | 2.290 | 1.003–5.229 | 0.049 | 1.101 | 0.260–4.666 | 0.897 |
| CD34+CD133+CD38− cells > 0.09 | 2.680 | 1.194–6.017 | 0.017 | 1.615 | 0.566–4.612 | 0.371 |
| CD3+cells > 42.8 | 7.962 | 2.891–21.925 | <0.001 | 5.429 | 0.898–32.817 | 0.065 |
| CD3+CD4+ cells > 31.8 | 6.459 | 2.713–15.375 | <0.001 | 2.462 | 0.599–10.111 | 0.211 |
| CD3+CD8+ cells > 28.8 | 3.994 | 1.788–8.919 | <0.001 | 1.751 | 0.427–7.179 | 0.437 |
| NK cells > 4.4 | 2.635 | 1.192–5.824 | 0.017 | 1.203 | 0.384–3.767 | 0.750 |
Disclaimer/Publisher’s Note: The statements, opinions and data contained in all publications are solely those of the individual author(s) and contributor(s) and not of MDPI and/or the editor(s). MDPI and/or the editor(s) disclaim responsibility for any injury to people or property resulting from any ideas, methods, instructions or products referred to in the content. |
© 2024 by the authors. Licensee MDPI, Basel, Switzerland. This article is an open access article distributed under the terms and conditions of the Creative Commons Attribution (CC BY) license (https://creativecommons.org/licenses/by/4.0/).
Share and Cite
Partanen, A.; Turunen, A.; Kuittinen, O.; Kuitunen, H.; Mäntymaa, P.; Varmavuo, V.; Jantunen, E. Predictive Factors for Early Immune Recovery in NHL Patients after Autologous Transplantation: A Multicenter Prospective Study. Cancers 2024, 16, 2550. https://doi.org/10.3390/cancers16142550
Partanen A, Turunen A, Kuittinen O, Kuitunen H, Mäntymaa P, Varmavuo V, Jantunen E. Predictive Factors for Early Immune Recovery in NHL Patients after Autologous Transplantation: A Multicenter Prospective Study. Cancers. 2024; 16(14):2550. https://doi.org/10.3390/cancers16142550
Chicago/Turabian StylePartanen, Anu, Antti Turunen, Outi Kuittinen, Hanne Kuitunen, Pentti Mäntymaa, Ville Varmavuo, and Esa Jantunen. 2024. "Predictive Factors for Early Immune Recovery in NHL Patients after Autologous Transplantation: A Multicenter Prospective Study" Cancers 16, no. 14: 2550. https://doi.org/10.3390/cancers16142550
APA StylePartanen, A., Turunen, A., Kuittinen, O., Kuitunen, H., Mäntymaa, P., Varmavuo, V., & Jantunen, E. (2024). Predictive Factors for Early Immune Recovery in NHL Patients after Autologous Transplantation: A Multicenter Prospective Study. Cancers, 16(14), 2550. https://doi.org/10.3390/cancers16142550

