Predicting Risk of Post-Operative Morbidity and Mortality following Gynaecological Oncology Surgery (PROMEGO): A Global Gynaecological Oncology Surgical Outcomes Collaborative Led Study
Abstract
Simple Summary
Abstract
1. Introduction
2. Materials and Methods
2.1. Source Data and Participants
2.2. Candidate Predictor Variables
2.3. Missing Data
2.4. Model Building and Validation
3. Results
4. Discussion
5. Conclusions
Supplementary Materials
Author Contributions
Funding
Institutional Review Board Statement
Informed Consent Statement
Data Availability Statement
Acknowledgments
Conflicts of Interest
References
- Talmor, D.; Kelly, B. How to better identify patients at high risk of postoperative complications? Curr. Opin. Crit. Care 2017, 23, 417–423. [Google Scholar] [CrossRef] [PubMed]
- van Schaik, J.; Hers, T.M.; van Rijswijk, C.S.; Schooneveldt, M.S.; Putter, H.; Eefting, D.; van der Vorst, J.R. Risk assessment in aortic aneurysm repair by medical specialists versus the American College of Surgeons National Surgical Quality Improvement Program risk calculator outcomes. JRSM Cardiovasc. Dis. 2021, 10, 20480040211006582. [Google Scholar] [CrossRef]
- El Moheb, M.; Gebran, A.; Maurer, L.R.; Naar, L.; El Hechi, M.; Breen, K.; Dorken-Gallastegi, A.; Sinyard, R.; Bertsimas, D.; Velmahos, G.; et al. Artificial intelligence versus surgeon gestalt in predicting risk of emergency general surgery. J. Trauma Acute Care Surg. 2023, 95, 565–572. [Google Scholar] [CrossRef]
- Pellisé, F.; Vila-Casademunt, A.; Núñez-Pereira, S.; Haddad, S.; Smith, J.S.; Kelly, M.P.; Alanay, A.; Shaffrey, C.; Pizones, J.; Yilgor, Ç.; et al. Surgeons’ risk perception in ASD surgery: The value of objective risk assessment on decision making and patient counselling. Eur. Spine J. 2022, 31, 1174–1183. [Google Scholar] [CrossRef]
- Podrat, J.L.; Del Val, F.R.; Pei, K.Y. Evolution of Risk Calculators and the Dawn of Artificial Intelligence in Predicting Patient Complications. Surg. Clin. N. Am. 2021, 101, 97–107. [Google Scholar] [CrossRef]
- Rohatgi, N. Perioperative Risk Calculators and the Art of Medicine. JAMA Intern. Med. 2019, 179, 1619–1620. [Google Scholar] [CrossRef] [PubMed]
- Sacks, G.D.; Dawes, A.J.; Ettner, S.L.; Brook, R.H.; Fox, C.R.; Russell, M.M.; Ko, C.Y.; Maggard-Gibbons, M. Impact of a Risk Calculator on Risk Perception and Surgical Decision Making: A Randomized Trial. Ann. Surg. 2016, 264, 889–895. [Google Scholar] [CrossRef] [PubMed]
- Jankovic, R.J.; Dinic, V.; Markovic, D. Pre and postoperative risk management: The role of scores and biomarkers. Curr. Opin. Anaesthesiol. 2020, 33, 475–480. [Google Scholar] [CrossRef]
- Stones, J.; Yates, D. Clinical risk assessment tools in anaesthesia. BJA Educ. 2019, 19, 47–53. [Google Scholar] [CrossRef]
- Drayton, D.J.; Ayres, M.; Relton, S.D.; Sperrin, M.; Hall, M. Risk scores in anaesthesia: The future is hard to predict. BJA Open 2022, 3, 100027. [Google Scholar] [CrossRef]
- Sankar, A.; Beattie, W.S.; Wijeysundera, D.N. How can we identify the high-risk patient? Curr. Opin. Crit. Care 2015, 21, 328–335. [Google Scholar] [CrossRef] [PubMed]
- Chudgar, N.; Yan, S.; Hsu, M.; Tan, K.S.; Gray, K.D.; Molena, D.; Jones, D.R.; Rusch, V.W.; Rocco, G.; Isbell, J.M. The American College of Surgeons Surgical Risk Calculator performs well for pulmonary resection: A validation study. J. Thorac. Cardiovasc. Surg. 2022, 163, 1509–1516.e1501. [Google Scholar] [CrossRef] [PubMed]
- Panton, J.; Beaulieu-Jones, B.R.; Marwaha, J.S.; Woods, A.P.; Nakikj, D.; Gehlenborg, N.; Brat, G.A. How surgeons use risk calculators and non-clinical factors for informed consent and shared decision making: A qualitative study. Am. J. Surg. 2023, 226, 660–667. [Google Scholar] [CrossRef] [PubMed]
- Mansmann, U.; Rieger, A.; Strahwald, B.; Crispin, A. Risk calculators-methods, development, implementation, and validation. Int. J. Color. Dis. 2016, 31, 1111–1116. [Google Scholar] [CrossRef] [PubMed]
- Leeds, I.L.; Rosenblum, A.J.; Wise, P.E.; Watkins, A.C.; Goldblatt, M.I.; Haut, E.R.; Efron, J.E.; Johnston, F.M. Eye of the beholder: Risk calculators and barriers to adoption in surgical trainees. Surgery 2018, 164, 1117–1123. [Google Scholar] [CrossRef] [PubMed]
- Paruch, J.L.; Ko, C.Y.; Bilimoria, K.Y. An opportunity to improve informed consent and shared decision making: The role of the ACS NSQIP Surgical Risk Calculator in oncology. Ann. Surg. Oncol. 2014, 21, 5–7. [Google Scholar] [CrossRef] [PubMed]
- Gaba, F.; Ash, K.; Blyuss, O.; Bizzarri, N.; Kamfwa, P.; Saiz, A.; Cibula, D.; Go Soar, C. International Variations in Surgical Morbidity and Mortality Post Gynaecological Oncology Surgery: A Global Gynaecological Oncology Surgical Outcomes Collaborative Led Study (GO SOAR1). Cancers 2023, 15, 5001. [Google Scholar] [CrossRef] [PubMed]
- Gaba, F.; Bizzarri, N.; Kamfwa, P.; Saiz, A.; Blyuss, O.; Paranjothy, S.; Ramirez, P.T.; Cibula, D. Determining post-operative morbidity and mortality following gynecological oncology surgery: Protocol for a multicenter, international, prospective cohort study (Global Gynaecological Oncology Surgical Outcomes Collaborative—GO SOAR). Int. J. Gynecol. Cancer 2021, 31, 1287–1291. [Google Scholar] [CrossRef]
- van Buuren, S.; Groothuis-Oudshoorn, K. mice: Multivariate Imputation by Chained Equations in R. J. Stat. Softw. 2011, 45, 1–67. [Google Scholar] [CrossRef]
- Protopapa, K.L.; Simpson, J.C.; Smith, N.C.; Moonesinghe, S.R. Development and validation of the Surgical Outcome Risk Tool (SORT). Br. J. Surg. 2014, 101, 1774–1783. [Google Scholar] [CrossRef]
- Collins, G.S.; Dhiman, P.; Andaur Navarro, C.L.; Ma, J.; Hooft, L.; Reitsma, J.B.; Logullo, P.; Beam, A.L.; Peng, L.; Van Calster, B.; et al. Protocol for development of a reporting guideline (TRIPOD-AI) and risk of bias tool (PROBAST-AI) for diagnostic and prognostic prediction model studies based on artificial intelligence. BMJ Open 2021, 11, e048008. [Google Scholar] [CrossRef]
- Wolff, R.F.; Moons, K.G.M.; Riley, R.D.; Whiting, P.F.; Westwood, M.; Collins, G.S.; Reitsma, J.B.; Kleijnen, J.; Mallett, S. PROBAST: A Tool to Assess the Risk of Bias and Applicability of Prediction Model Studies. Ann. Intern. Med. 2019, 170, 51–58. [Google Scholar] [CrossRef]
- Bilimoria, K.Y.; Liu, Y.; Paruch, J.L.; Zhou, L.; Kmiecik, T.E.; Ko, C.Y.; Cohen, M.E. Development and evaluation of the universal ACS NSQIP surgical risk calculator: A decision aid and informed consent tool for patients and surgeons. J. Am. Coll. Surg. 2013, 217, 833–842.e31. [Google Scholar] [CrossRef] [PubMed]
- Mohanty, S.; Liu, Y.; Paruch, J.L.; Kmiecik, T.E.; Cohen, M.E.; Ko, C.Y.; Bilimoria, K.Y. Risk of discharge to postacute care: A patient-centered outcome for the american college of surgeons national surgical quality improvement program surgical risk calculator. JAMA Surg. 2015, 150, 480–484. [Google Scholar] [CrossRef] [PubMed]
- Beryl, M.-G.; Ann, M.C.; Mackenzie, W.S.; Andrea, P.; Stephanie, C.; Michael, G.M.; Marcela Del, C.; Whitfield, B.G.; Rachel Clark, S.; Ross, B.; et al. Predictive validity of American College of Surgeons: National Surgical Quality Improvement Project risk calculator in patients with ovarian cancer undergoing interval debulking surgery. Int. J. Gynecol. Cancer 2021, 31, 1356. [Google Scholar] [CrossRef]
- Shaker, S.; Rivard, C.; Nahum, R.; Vogel, R.I.; Teoh, D. The American College of Surgeon’s surgical risk calculator’s ability to predict disposition in older gynecologic oncology patients undergoing laparotomy. J. Geriatr. Oncol. 2019, 10, 618–622. [Google Scholar] [CrossRef]
- Teoh, D.; Halloway, R.N.; Heim, J.; Vogel, R.I.; Rivard, C. Evaluation of the American College of Surgeons National Surgical Quality Improvement Program Surgical Risk Calculator in Gynecologic Oncology Patients Undergoing Minimally Invasive Surgery. J. Minim. Invasive Gynecol. 2017, 24, 48–54. [Google Scholar] [CrossRef] [PubMed]
- Szender, J.B.; Frederick, P.J.; Eng, K.H.; Akers, S.N.; Lele, S.B.; Odunsi, K. Evaluation of the National Surgical Quality Improvement Program Universal Surgical Risk Calculator for a gynecologic oncology service. Int. J. Gynecol. Cancer 2015, 25, 512–520. [Google Scholar] [CrossRef]
- Moonesinghe, S.R.; Bashford, T.; Wagstaff, D. Implementing risk calculators: Time for the Trojan Horse? Br. J. Anaesth. 2018, 121, 1192–1196. [Google Scholar] [CrossRef]
- Ngulube, A.; Muguti, G.I.; Muguti, E.G. Validation of POSSUM, P-POSSUM and the surgical risk scale in major general surgical operations in Harare: A prospective observational study. Ann. Med. Surg. 2019, 41, 33–39. [Google Scholar] [CrossRef]


| Candidate Predictor | Subgroups | No Morbidity N = 1310 | Minor Morbidity N = 374 | Major Morbidity N = 127 | p-Value |
|---|---|---|---|---|---|
| Age | Median (IQR) | 61 ((51–69) | 60 (52–69) | 62 (53–71) | 0.331 |
| Ethnicity | Non-white | 442 (33.7%) | 150 (40.1%) | 46 (36.2%) | 0.073 |
| White | 868 (66.3%) | 224 (59.9%) | 81 (63.8%) | ||
| BMI | Median (IQR) | 27.2 (23.5–32) | 27.3 (23.2–32) | 26 (21.8–29.2) | <0.001 |
| ASA grade | 3, 4 | 272 (20.8%) | 109 (29.1%) | 32 (25.2%) | 0.002 |
| 1, 2 | 1038 (79.2%) | 265 (70.9%) | 95 (74.8%) | ||
| ECOG status | 4, 5 | 19 (1.5%) | 4 (1.1%) | 6 (4.7%) | 0.012 |
| 1, 2, 3 | 1291 (98.5%) | 370 (98.9%) | 121 (95.3%) | ||
| Previous laparotomy | No | 870 (66.4%) | 222 (59.4%) | 68 (53.5%) | 0.002 |
| Yes | 440 (33.6%) | 152 (40.6%) | 59 (46.5%) | ||
| Previous laparoscopy | No | 1049 (80.1%) | 265 (70.9%) | 91 (71.7%) | <0.001 |
| Yes | 261 (19.9%) | 109 (29.1%) | 36 (28.3%) | ||
| Pre-operative haemoglobin | Median (IQR) | 14.3 (12.4–127) | 14.2 (12–123.8) | 13.2 (11.7–108) | 0.002 |
| Pre-operative white cell count | Median (IQR) | 7.1 (5.7–8.9) | 7 (5.5–9.4) | 7.4 (6–9.5) | 0.318 |
| Neoadjuvant chemotherapy | No | 437 (33.4%) | 138 (36.9%) | 50 (39.4%) | 0.219 |
| Yes | 873 (66.6%) | 236 (63.1%) | 77 (60.6%) | ||
| Surgical modality | Laparotomy | 720 (55%) | 279 (74.6%) | 91 (71.7%) | <0.001 |
| Laparoscopic or robotic | 590 (45%) | 95 (25.4%) | 36 (28.3%) | ||
| Mechanical bowel preparation | No | 730 (55.7%) | 152 (40.6%) | 63 (49.6%) | <0.001 |
| Yes | 580 (44.3%) | 222 (59.4%) | 64 (50.4%) | ||
| Intra-operative antibiotics | No | 205 (15.6%) | 37 (9.9%) | 14 (11%) | 0.01 |
| Yes | 1105 (84.4%) | 337 (90.1%) | 113 (89%) | ||
| FIGO stage | III, IV | 436 (33.3%) | 200 (53.5%) | 74 (58.3%) | <0.001 |
| I, II | 874 (66.7%) | 174 (46.5%) | 53 (41.7%) | ||
| Primary cancer | Cervix | 117 (8.9%) | 38 (10.2%) | 10 (7.9%) | <0.001 |
| Endometrium | 597 (45.6%) | 120 (32.1%) | 38 (29.9%) | ||
| Ovary | 503 (38.4%) | 179 (47.9%) | 64 (50.4%) | ||
| Vagina | 8 (0.6%) | 6 (1.6%) | 0 (0%) | ||
| Vulva | 85 (6.5%) | 31 (8.3%) | 15 (11.8%) | ||
| Surgical complexity score | Low | 907 (69.2%) | 193 (51.6%) | 53 (41.7%) | <0.001 |
| Moderate | 341 (26%) | 119 (31.8%) | 43 (33.9%) | ||
| High | 62 (4.7%) | 62 (16.6%) | 31 (24.4%) |
| Machine Learning Methodology | Accuracy No Morbidity | Accuracy Minor Morbidity | Accuracy Major Morbidity | Multiclass AUROC |
|---|---|---|---|---|
| SVM | 92.3% | 17.4% | 9.4% | 0.565 |
| RF | 88.5% | 24.9% | 11% | 0.581 |
| GB | 87.3% | 25.7% | 15.7% | 0.581 |
| NN | 98.5% | 85.8% | 92.9% | 0.941 |
| Candidate Predictors | Subgroups | Alive N = 1787 | Dead N = 24 | p Value |
|---|---|---|---|---|
| Age | Median (IQR) | 61 (51–69) | 68.5 (59.3–76) | <0.001 |
| Ethnicity | Non-white | 624 (34.9%) | 14 (58.3%) | 0.03 |
| White | 1163 (65.1%) | 10 (41.7%) | ||
| BMI | Median (IQR) | 27 (23.1–32) | 28.2 (26.9–32.9) | 0.182 |
| ASA grade | 3, 4 | 402 (22.5%) | 11 (45.8%) | 0.014 |
| 1, 2 | 1385 (77.5%) | 13 (54.2%) | ||
| ECOG status | 4, 5 | 26 (1.5%) | 3 (12.5%) | <0.001 |
| 1, 2, 3 | 1761 (98.5%) | 21 (87.5%) | ||
| Previous laparotomy | No | 1144 (64%) | 16 (66.7%) | 0.957 |
| Yes | 643 (36%) | 8 (33.3%) | ||
| Previous laparoscopy | No | 1384 (77.4%) | 21 (87.5%) | 0.354 |
| Yes | 403 (22.6%) | 3 (12.5%) | ||
| Pre-operative haemoglobin | Median (IQR) | 14.2 (12.3–126) | 12.8 (10.6–104.3) | 0.025 |
| Pre-operative white cell count | Median (IQR) | 7.1 (5.7–187.4) | 7.6 (6–11.9) | 0.177 |
| Neoadjuvant chemotherapy | No | 613 (34.3%) | 12 (50%) | 0.164 |
| Yes | 1174 (65.7%) | 12 (50%) | ||
| Surgical modality | Laparotomy | 1072 (60%) | 18 (75%) | 0.2 |
| Laparoscopic or robotic | 715 (40%) | 6 (25%) | ||
| Mechanical bowel preparation | No | 933 (52.2%) | 12 (50%) | 0.992 |
| Yes | 854 (47.8%) | 12 (50%) | ||
| Intra-operative antibiotics | No | 252 (14.1%) | 4 (16.7%) | 0.766 |
| Yes | 1535 (85.9%) | 20 (83.3%) | ||
| FIGO stage | III, IV | 693 (38.8%) | 17 (70.8%) | 0.003 |
| I, II | 1094 (61.2%) | 7 (29.2%) | ||
| Primary cancer | Cervix | 165 (9.2%) | 0 (0%) | 0.254 |
| Endometrium | 741 (41.5%) | 14 (58.3%) | ||
| Ovary | 736 (41.2%) | 10 (41.7%) | ||
| Vagina | 14 (0.8%) | 0 (0%) | ||
| Vulva | 131 (7.3%) | 0 (0%) | ||
| Surgical complexity score | Low | 152 (8.5%) | 3 (12.5%) | 0.135 |
| Moderate | 1142 (63.9%) | 11 (45.8%) | ||
| High | 493 (27.6%) | 10 (41.7%) |
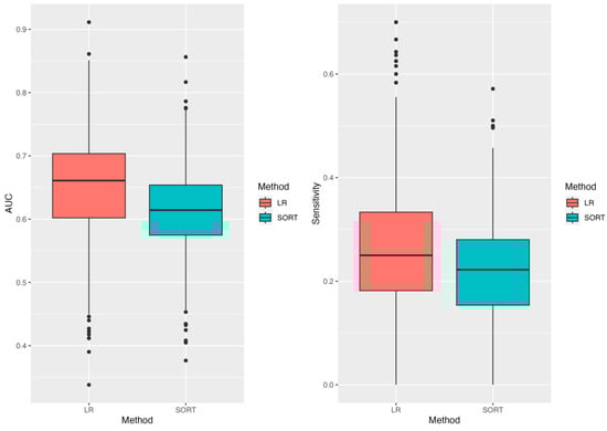
| Model | AUROC | Sensitivity at a Specificity = 0.9 |
|---|---|---|
| Logistic regression | 0.661 (0.602–0.704) | 0.25 (0.182–0.333) |
| SORT | 0.614 (0.575–0.654) | 0.222 (0.154–0.28) |
Disclaimer/Publisher’s Note: The statements, opinions and data contained in all publications are solely those of the individual author(s) and contributor(s) and not of MDPI and/or the editor(s). MDPI and/or the editor(s) disclaim responsibility for any injury to people or property resulting from any ideas, methods, instructions or products referred to in the content. |
© 2024 by the authors. Licensee MDPI, Basel, Switzerland. This article is an open access article distributed under the terms and conditions of the Creative Commons Attribution (CC BY) license (https://creativecommons.org/licenses/by/4.0/).
Share and Cite
Gaba, F.; Mohammadi, S.M.; Krivonosov, M.I.; Blyuss, O.; on behalf of the GO SOAR Collaborators. Predicting Risk of Post-Operative Morbidity and Mortality following Gynaecological Oncology Surgery (PROMEGO): A Global Gynaecological Oncology Surgical Outcomes Collaborative Led Study. Cancers 2024, 16, 2021. https://doi.org/10.3390/cancers16112021
Gaba F, Mohammadi SM, Krivonosov MI, Blyuss O, on behalf of the GO SOAR Collaborators. Predicting Risk of Post-Operative Morbidity and Mortality following Gynaecological Oncology Surgery (PROMEGO): A Global Gynaecological Oncology Surgical Outcomes Collaborative Led Study. Cancers. 2024; 16(11):2021. https://doi.org/10.3390/cancers16112021
Chicago/Turabian StyleGaba, Faiza, Sara Mahvash Mohammadi, Mikhail I. Krivonosov, Oleg Blyuss, and on behalf of the GO SOAR Collaborators. 2024. "Predicting Risk of Post-Operative Morbidity and Mortality following Gynaecological Oncology Surgery (PROMEGO): A Global Gynaecological Oncology Surgical Outcomes Collaborative Led Study" Cancers 16, no. 11: 2021. https://doi.org/10.3390/cancers16112021
APA StyleGaba, F., Mohammadi, S. M., Krivonosov, M. I., Blyuss, O., & on behalf of the GO SOAR Collaborators. (2024). Predicting Risk of Post-Operative Morbidity and Mortality following Gynaecological Oncology Surgery (PROMEGO): A Global Gynaecological Oncology Surgical Outcomes Collaborative Led Study. Cancers, 16(11), 2021. https://doi.org/10.3390/cancers16112021

