Clinical Application of the Association between Genetic Alteration and Intraoperative Fluorescence Activity of 5-Aminolevulinic Acid during the Resection of Brain Metastasis of Lung Adenocarcinoma
Abstract
:Simple Summary
Abstract
1. Introduction
2. Materials and Methods
2.1. Patient Collection
2.2. Neurosurgical Resection and Application of 5-ALA
2.3. Clinical Assessment of Patients
2.4. Radiological Features of Brain Metastasis and Lung Adenocarcinoma
2.5. Genetic Alterations Using Next-Generation Sequencing
2.6. Statistical Analysis for Recurrence-Free Survival and Overall Survival
3. Results
3.1. Clinical Features of Patients
3.2. Genetic Alteration in Next-Generation Sequencing Analysis
3.3. Intraoperative Fluorescence Patterns of 5-ALA
3.4. Clinical Outcomes with Clinical Predisposing Factors
3.5. Next-Generation Sequencing Data Predisposing Clinical Outcome
3.6. Multivariate Analysis of Predicting Factors for Clinical Outcomes
4. Discussion
5. Conclusions
Supplementary Materials
Author Contributions
Funding
Institutional Review Board Statement
Informed Consent Statement
Data Availability Statement
Acknowledgments
Conflicts of Interest
References
- Jemal, A.; Siegel, R.; Ward, E.; Hao, Y.; Xu, J.; Murray, T.; Thun, M.J. Cancer Statistics, 2008. CA Cancer J. Clin. 2008, 58, 71–96. [Google Scholar] [CrossRef] [PubMed]
- Fox, B.D.; Cheung, V.J.; Patel, A.J.; Suki, D.; Rao, G. Epidemiology of Metastatic Brain Tumors. Neurosurg. Clin. N. Am. 2011, 22, 1–6. [Google Scholar] [CrossRef] [PubMed]
- Nayak, L.; Lee, E.Q.; Wen, P.Y. Epidemiology of Brain Metastases. Curr. Oncol. Rep. 2012, 14, 48–54. [Google Scholar] [CrossRef] [PubMed]
- Brastianos, P.K.; Curry, W.T.; Oh, K.S. Clinical Discussion and Review of the Management of Brain Metastases. J. Natl. Compr. Cancer Netw. 2013, 11, 1153–1164. [Google Scholar] [CrossRef] [PubMed]
- Eichler, A.F.; Chung, E.; Kodack, D.P.; Loeffler, J.S.; Fukumura, D.; Jain, R.K. The Biology of Brain Metastases-Translation to New Therapies. Nat. Rev. Clin. Oncol. 2011, 8, 344–356. [Google Scholar] [CrossRef]
- Delattre, J.Y.; Krol, G.; Thaler, H.T.; Posner, J.B. Distribution of Brain Metastases. Arch. Neurol. 1988, 45, 741–744. [Google Scholar] [CrossRef]
- Barnholtz-Sloan, J.S.; Sloan, A.E.; Davis, F.G.; Vigneau, F.D.; Lai, P.; Sawaya, R.E. Incidence proportions of brain metastases in patients diagnosed (1973 to 2001) in the Metropolitan Detroit Cancer Surveillance System. J. Clin. Oncol. 2004, 22, 2865–2872. [Google Scholar] [CrossRef]
- Toyokawa, G.; Seto, T.; Takenoyama, M.; Ichinose, Y. Insights into brain metastasis in patients with ALK+ lung cancer: Is the brain truly a sanctuary? Cancer Metastasis Rev. 2015, 34, 797–805. [Google Scholar] [CrossRef]
- Mamon, H.J.; Yeap, B.Y.; Jänne, P.A.; Jason, R.; Sarah, S.; Michael, T.J.; Mentzer, S.; Lukanich, J.M.; Sugarbaker, D.J.; Baldini, E.H.; et al. High risk of brain metastases in surgically staged IIIA non-small-cell lung cancer patients treated with surgery, chemotherapy, and radiation. J. Clin. Oncol. 2005, 23, 1530–1537. [Google Scholar] [CrossRef]
- Gavrilovic, I.T.; Posner, J.B. Brain Metastases: Epidemiology and Pathophysiology. J. Neurooncol. 2005, 75, 5–14. [Google Scholar] [CrossRef]
- Kibbi, N.; Kluger, H. The Treatment of Melanoma Brain Metastases. Curr. Oncol. Rep. 2016, 18, 73. [Google Scholar] [CrossRef] [PubMed]
- Rostami, R.; Mittal, S.; Rostami, P.; Tavassoli, F.; Jabbari, B. Brain Metastasis in Breast Cancer: A Comprehensive Literature Review. J. Neurooncol. 2016, 127, 407–414. [Google Scholar] [CrossRef] [PubMed]
- Guérin, A.; Sasane, M.; Dea, K.; Zhang, J.; Culver, K.; Nitulescu, R.; Wu, E.Q.; Macalalad, A.R. The Economic Burden of Brain Metastasis Among Lung Cancer Patients in the United States. J. Med. Econ. 2016, 19, 526–536. [Google Scholar] [CrossRef] [PubMed]
- Dayan, A.; Koca, D.; Akman, T.; Oztop, I.; Ellidokuz, H.; Yilmaz, U. The factors that have an impact on the development of brain metastasis in the patients with breast cancer. J. Cancer Res. Ther. 2012, 8, 542–548. [Google Scholar] [PubMed]
- Wang, B.; Guo, H.; Xu, H.; Yu, H.; Chen, Y.; Zhao, G. Research Progress and Challenges in the Treatment of Central Nervous System Metastasis of Non-Small Cell Lung Cancer. Cells 2021, 10, 2620. [Google Scholar] [CrossRef] [PubMed]
- Ene, C.I.; Ferguson, S.D. Surgical Management of Brain Metastasis: Challenges and Nuances. Front. Oncol. 2022, 12, 847110. [Google Scholar] [CrossRef] [PubMed]
- Vogelbaum, M.A.; Brown, P.D.; Messersmith, H.; Brastianos, P.K.; Burri, S.; Cahill, D.; Dunn, I.F.; Gaspar, L.E.; Gatson, N.T.N.; Gondi, V.; et al. Treatment for Brain Metastases: ASCO-SNO-ASTRO Guideline. J. Clin. Oncol. 2022, 40, 492–516. [Google Scholar] [CrossRef]
- Tomita, Y.; Kurozumi, K.; Fujii, K.; Shimazu, Y.; Date, I. Neurosurgery for brain metastasis from breast cancer. Transl. Cancer Res. 2020, 9, 5063–5076. [Google Scholar] [CrossRef]
- Brandes, A.A.; Tosoni, A.; Franceschi, E.; Reni, M.; Gatta, G.; Vechtet, C. Glioblastoma in adults. Crit. Rev. Oncol. Hematol. 2008, 67, 139–152. [Google Scholar] [CrossRef]
- Lacroix, M.; Abi-Said, D.; Fourney, D.R.; Gokaslan, Z.L.; Shi, W.; DeMonte, F.; Lang, F.F.; McCutcheon, I.E.; Hassenbusch, S.J.; Holland, E.; et al. A multivariate analysis of 416 patients with glioblastoma multiforme: Prognosis, extent of resection, and survival. J. Neurosurg. 2001, 95, 190–198. [Google Scholar] [CrossRef]
- Delgado-Lopez, P.D.; Corrales-Garcia, E.M. Survival in glioblastoma: A review on the impact of treatment modalities. Clin. Transl. Oncol. 2016, 18, 1062–1071. [Google Scholar] [CrossRef] [PubMed]
- Yoo, H.; Kim, Y.Z.; Nam, B.H.; Shin, S.H.; Yang, H.S.; Lee, J.S.; Zo, J.I.; Lee, S.H. Reduced local recurrence of a single brain metastasis through microscopic total resection. J. Neurosurg. 2009, 110, 730–736. [Google Scholar] [CrossRef] [PubMed]
- Hadjipanayis, C.; Widhalm, G.; Stummer, W. What is the Surgical Benefit of Utilizing 5-Aminolevulinic Acid for Fluorescence Guided Surgery of Malignant Gliomas? Neurosurgery 2015, 77, 663–673. [Google Scholar] [CrossRef] [PubMed]
- Kamp, M.; Grosser, P.; Felsberg, J.; Slotty, P.J.; Steiger, H.-J.; Reifenberger, G.; Sabel, M. 5-Aminolevulinic acid (5-ALA)-induced fluorescence in intracerebral metastases: A retrospective study. Acta Neurochir. 2012, 154, 223–228. [Google Scholar] [CrossRef] [PubMed]
- Marhold, F.; Mercea, P.A.; Scheichel, F.; Berghoff, A.S.; Heicappell, P.; Kiesel, B.; Mischkulnig, M.; Borkovec, M.; Wolfsberger, S.; Woehrer, A.; et al. Detailed analysis of 5-aminolevulinic acid induced fluorescence in different brain metastases at two specialized neurosurgical centers: Experience in 157 cases. J. Neurosurg. 2020, 133, 1032–1043. [Google Scholar] [CrossRef] [PubMed]
- Sperduto, P.W.; Chao, S.T.; Sneed, P.K.; Luo, X.; Suh, J.; Roberge, D.; Bhatt, A.; Jensen, A.W.; Brown, P.D.; Shih, H.; et al. Diagnosis-specific prognostic factors, indexes, and treatment outcomes for patients with newly diagnosed brain metastases: A multi-institutional analysis of 4,259 patients. Int. J. Radiat. Oncol. Biol. Phys. 2010, 77, 655–661. [Google Scholar] [CrossRef] [PubMed]
- Sperduto, P.W.; Yang, T.J.; Beal, K.; Pan, H.; Brown, P.D.; Bangdiwala, A.; Shanley, R.; Yeh, N.; Gaspar, L.E.; Braunstein, S.; et al. Estimating Survival in Patients with Lung Cancer and Brain Metastases: An Update of the Graded Prognostic Assessment for Lung Cancer Using Molecular Markers (Lung-molGPA). JAMA Oncol. 2017, 3, 827–831. [Google Scholar] [CrossRef] [PubMed]
- Karnofsky, D.A.; Abelmann, W.H.; Craver, L.F.; Burchenal, J.H. The use of the nitrogen mustards in the palliative treatment of carcinoma. With particular reference to bronchogenic carcinoma. Cancer 1948, 1, 634–656. [Google Scholar] [CrossRef]
- Kim, M.; Lee, C.; Hong, J.; Kim, J.; Jeong, J.Y.; Park, N.J.; Kim, J.E.; Park, J.Y. Validation and Clinical Application of ONCOaccuPanel for Targeted Next-Generation Sequencing of Solid Tumors. Cancer Res. Treat. 2023, 55, 429–441. [Google Scholar] [CrossRef]
- Hanahan, D. Hallmarks of Cancer: New Dimensions. Cancer Discov. 2022, 12, 31–46. [Google Scholar] [CrossRef]
- Utsuki, S.; Miyoshi, N.; Oka, H.; Miyajima, Y.; Shimizu, S.; Suzuki, S.; Fujiiet, K. Fluorescence-guided resection of metastatic brain tumors using a 5-aminolevulinic acid-induced protoporphyrin IX: Pathological study. Brain Tumor Pathol. 2007, 24, 53–55. [Google Scholar] [CrossRef] [PubMed]
- Mercea, P.A.; Mischkulnig, M.; Kiesel, B.; Wadiura, L.I.; Roetzer, T.; Prihoda, R.; Heicappell, P.; Kreminger, J.; Furtner, J.; Woehrer, A.; et al. Prognostic Value of 5-ALA Fluorescence, Tumor Cell Infiltration and Angiogenesis in the Peritumoral Brain Tissue of Brain Metastases. Cancers 2021, 13, 603. [Google Scholar] [CrossRef] [PubMed]
- Bagdonas, S.; Ma, L.W.; Iani, V.; Rotomskis, R.; Juzenas, P.; Moan, J. Phototransformations of 5-aminolevulinic acid-induced protoporphyrin IX in vitro: A spectroscopic study. Photochem. Photobiol. 2000, 72, 186–192. [Google Scholar] [CrossRef] [PubMed]
- Stummer, W.; Novotny, A.; Stepp, H.; Goetz, C.; Bise, K.; Reulen, H.J. Fluorescence-guided resection of glioblastoma multiforme by using 5-aminolevulinic acid-induced porphyrins: A prospective study in 52 consecutive patients. J. Neurosurg. 2000, 93, 1003–1013. [Google Scholar] [CrossRef] [PubMed]
- Bettag, C.; Hussein, A.; Schatlo, B.; Barrantes-Freer, A.; Abboud, T.; Rohde, V.; Mielke, D. Endoscope-assisted visualization of 5-aminolevulinic acid fluorescence in surgery for brain metastases. J. Neurosurg. 2022, 137, 1650–1655. [Google Scholar] [CrossRef] [PubMed]
- Berghoff, A.S.; Rajky, O.; Winkler, F.; Bartsch, R.; Furtner, J.; Hainfellner, J.A.; Goodman, S.L.; Weller, M.; Schittenhelm, J.; Preusser, M. Invasion patterns in brain metastases of solid cancers. Neuro. Oncol. 2013, 15, 1664–1672. [Google Scholar] [CrossRef] [PubMed]
- Pukrop, T.; Dehghani, F.; Chuang, H.N.; Lohaus, R.; Bayanga, K.; Heermann, S.; Regen, T.; Van Rossum, D.; Klemm, F.; Schulz, M.; et al. Microglia promote colonization of brain tissue by breast cancer cells in a Wnt-dependent way. Glia 2010, 58, 1477–1489. [Google Scholar] [CrossRef]
- Chuang, H.N.; van Rossum, D.; Sieger, D.; Siam, L.; Klemm, F.; Bleckmann, A.; Bayerlová, M.; Farhat, K.; Scheffel, J.; Schulz, M.; et al. Carcinoma cells misuse the host tissue damage response to invade the brain. Glia 2013, 61, 1331–1346. [Google Scholar] [CrossRef]
- Schatlo, B.; Stockhammer, F.; Barrantes-Freer, A.; Bleckmann, A.; Siam, L.; Pukrop, T.; Rohde, V. 5-Aminolevulinic Acid Fluorescence Indicates Perilesional Brain Infiltration in Brain Metastases. World Neurosurg. X 2019, 5, 100069. [Google Scholar] [CrossRef]
- Marbacher, S.; Klinger, E.; Schwyzer, L.; Fischer, I.; Nevzati, E.; Diepers, M.; Roelcke, U.; Fathi, A.R.; Coluccia, D.; Fandinoet, J. Use of fluorescence to guide resection or biopsy of primary brain tumors and brain metastases. Neurosurg. Focus 2014, 36, E10. [Google Scholar] [CrossRef]
- Nam, Y.; Koo, H.; Yang, Y.; Shin, S.; Zhu, Z.; Kim, D.; Cho, H.J.; Mu, Q.; Choi, S.W.; Sa, J.K.; et al. Pharmacogenomic profiling reveals molecular features of chemotherapy resistance in IDH wild-type primary glioblastoma. Genome Med. 2023, 15, 16. [Google Scholar] [CrossRef] [PubMed]
- Lang, A.; Jeron, R.L.; Lontzek, B.; Kiesel, B.; Mischkulnig, M.; Berghoff, A.S.; Ricken, G.; Wöhrer, A.; Rössler, K.; Lötsch-Gojo, D.; et al. Mapping high-grade glioma immune infiltration to 5-ALA fluorescence levels: TCGA data computation, classical histology, and digital image analysis. J. Neurooncol. 2023, 164, 211–220. [Google Scholar] [CrossRef] [PubMed]
- Manini, I.; Caponnetto, F.; Dalla, E.; Ius, T.; Della Pepa, G.M.; Pegolo, E.; Bartolini, A.; La Rocca, G.; Menna, G.; Di Loreto, C.; et al. Heterogeneity Matters: Different Regions of Glioblastoma Are Characterized by Distinctive Tumor-Supporting Pathways. Cancers 2020, 12, 2960. [Google Scholar] [CrossRef] [PubMed]
- Andrieux, G.; Das, T.; Griffin, M.; Straehle, J.; Paine, S.M.L.; Beck, J.; Boerries, M.; Heiland, D.H.; Smith, S.J.; Rahman, R.; et al. Spatially resolved transcriptomic profiles reveal unique defining molecular features of infiltrative 5ALA-metabolizing cells associated with glioblastoma recurrence. Genome Med. 2023, 15, 48. [Google Scholar] [CrossRef]






| Total (n = 72) | Recurrence (n = 28) | No Recurrence (n = 44) | p Value | |
|---|---|---|---|---|
| Mean age (years) | 62.9 (34.5–85.0) | 64.1 (34.5–81.2) | 62.1 (54.3–85.0) | 0.562 |
| Male:Female | 40:32 | 16:12 | 24:20 | 0.586 |
| KPS < 70 | 30 (41.7%) | 15 (53.6%) | 15 (34.1%) | 0.017 |
| ≥70 | 42 (58.3%) | 13 (46.4%) | 29 (65.9%) | |
| Number of brain metastasis | ||||
| Single | 38 (52.8%) | 13 (46.4%) | 25 (56.8%) | 0.651 |
| Oligometastasis (2–3) | 22 (30.6%) | 10 (35.7%) | 12 (27.3%) | |
| Multiple (>3) | 12 (16.6%) | 5 (17.9%) | 7 (15.9%) | |
| Extracranial metastasis | ||||
| Yes | 56 (77.8%) | 22 (78.6%) | 34 (77.3%) | 0.873 |
| No | 16 (22.2%) | 6 (21.4%) | 4 (22.7%) | |
| Status of primary cancer | ||||
| Stable | 45 (62.5%) | 15 (53.6%) | 30 (68.2%) | 0.508 |
| Unstable | 27 (37.5%) | 13 (46.4%) | 14 (31.8%) | |
| Time interval of brain metastasis | ||||
| Synchronous (≤2 months) | 23 (31.9%) | 8 (28.6%) | 15 (34.1%) | 0.541 |
| Metachronous (>2 months) | 49 (60.1%) | 20 (71.4%) | 29 (65.9%) | |
| RPA class I | 10 (13.9%) | 3 (10.7%) | 7 (15.9%) | 0.829 |
| II | 44 (61.1%) | 18 (64.3%) | 26 (59.1%) | |
| III | 18 (25.0%) | 7 (25.0%) | 11 (25.0%) | |
| GPA score 0–2.5 | 40 (55.6%) | 16 (57.1%) | 24 (54.5%) | 0.913 |
| 3.0–4.0 | 32 (44.4%) | 12 (42.9%) | 20 (45.5%) | |
| Extent of resection GTR | 48 (66.7%) | 26 (92.9%) | 22 (50.0%) | 0.004 |
| MCR | 24 (33.3%) | 2 (7.1%) | 22 (50.0%) | |
| Adjuvant treatment after surgery | 0.002 | |||
| Conservative treatment * | 15 (20.8%) | 10 (35.7%) | 5 (11.4%) | |
| RTx and/or CTx | 57 (79.2%) | 18 (64.3%) | 39 (88.6%) |
| Alteration of Genes | Total (n = 72) | Recurrence (n = 28) | No Recurrence (n = 44) | p Value |
|---|---|---|---|---|
| Genes associated with cell cycle regulation (1) | ||||
| Yes | 53 (73.6%) | 25 (89.3%) | 28 (63.6%) | 0.008 |
| No | 19 (26.4%) | 3 (11.7%) | 16 (36.4%) | |
| Genes associated with DNA repair (2) | ||||
| Yes | 32 (44.4%) | 14 (50.0%) | 18 (40.9%) | 0.217 |
| No | 40 (65.6%) | 14 (50.0%) | 26 (59.1%) | |
| Genes associated with tumorigenesis (3) | ||||
| Yes | 41 (56.9%) | 16 (57.1%) | 25 (56.8%) | 0.904 |
| No | 31 (43.1%) | 12 (42.9%) | 19 (43.2%) | |
| Genes associated with proliferation (4) | ||||
| Yes | 48 (66.7%) | 20 (71.4%) | 28 (63.6%) | 0.088 |
| No | 24 (33.3%) | 8 (28.6%) | 16 (36.4%) | |
| Genes associated with epigenetic regulation (5) | ||||
| Yes | 22 (30.6%) | 9 (32.1%) | 13 (29.5%) | 0.887 |
| No | 50 (69.4%) | 19 (61.9%) | 31 (70.5%) | |
| Genes associated with cancer immunology (6) | 0.962 | |||
| Yes | 2 (2.8%) | 1 (3.6%) | 1 (2.3%) | |
| No | 70 (97.2%) | 27 (96.4%) | 43 (97.7%) |
| Alteration of Genes | Total (n = 72) | Fluorescence Activity | p Value | |
|---|---|---|---|---|
| Strong | Vogue or Absence | |||
| Genes associated with cell cycle regulation (1) | 45 | 27 | ||
| Yes | 53 (73.6%) | 41 (91.1%) | 12 (44.4%) | 0.003 |
| No | 19 (26.4%) | 4 (8.9%) | 15 (55.6%) | |
| Genes associated with DNA repair (2) | 13 | 59 | ||
| Yes | 32 (44.4%) | 6 (46.2%) | 16 (27.1%) | 0.175 |
| No | 40 (65.6%) | 7 (53.8%) | 33 (62.9%) | |
| Genes associated with tumorigenesis (3) | 21 | 51 | ||
| Yes | 41 (56.9%) | 12 (57.1%) | 29 (56.8%) | 0.922 |
| No | 31 (43.1%) | 9 (42.9%) | 22 (43.2%) | |
| Genes associated with proliferation (4) | 41 | 31 | ||
| Yes | 48 (66.7%) | 31 (75.6%) | 17 (54.8%) | 0.044 |
| No | 24 (33.3%) | 10 (24.4%) | 14 (45.2%) | |
| Genes associated with epigenetic regulation (5) | 5 | 67 | ||
| Yes | 22 (30.6%) | 2 (40.0%) | 20 (29.8%) | 0.797 |
| No | 50 (69.4%) | 3 (60.0%) | 47 (70.2%) | |
| Genes associated with cancer immunology (6) | 0 | 72 | 0.951 | |
| Yes | 2 (2.8%) | 0 (0.0%) | 2 (2.3%) | |
| No | 70 (97.2%) | 0 (0.0%) | 70 (97.7%) | |
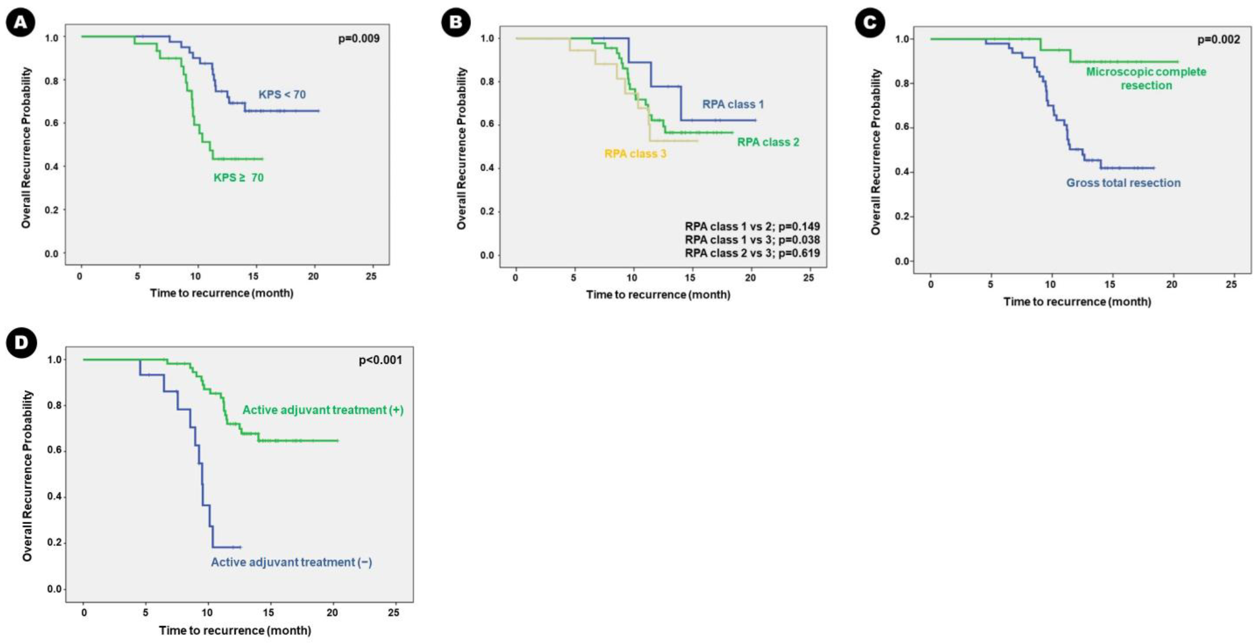
| Clinical Factors | Mean RFS (95% CI) | Hazard Ratio (95% CI) | p Value |
|---|---|---|---|
| Age (years) ≥65 | 15.09 (13.35–16.83) | ||
| <65 | 15.45 (13.82–17.11) | 1.256 (0.754–1.758) | 0.566 |
| Gender Male | 14.52 (13.06–15.99) | ||
| Female | 16.02 (14.12–17.91) | 1.096 (0.888–1.304) | 0.757 |
| KPS <70 | 11.83 (10.53–13.13) | ||
| ≥70 | 17.11 (15.66–18.56) | 6.820 (4.047–9.593) | 0.009 |
| Extracranial metastasis Yes | 14.06 (12.19–15.93) | ||
| No | 15.73 (14.25–17.21) | 1.009 (0.556–1.462) | 0.923 |
| Status of primary cancer Unstable | 13.51 (11.63–14.66) | ||
| Stable | 16.51 (14.93–18.08) | 1.937 (0.915–2.959) | 0.164 |
| Time interval of brain metastasis | |||
| Metachronous (>2 months) | 15.34 (13.70–16.98) | ||
| Synchronous (≤2 months) | 15.42 (13.75–17.08) | 1.707 (0.795–2.619) | 0.400 |
| RPA class III | 12.39 (10.65–14.14) | ||
| II | 14.71 (13.40–16.02) | ||
| I | 17.16 (14.24–20.07) | 1.959 (0.911–3.007) | 0.149 |
| GPA score 0–2.5 | 14.13 (12.87–15.39) | ||
| 3.0–4.0 | 15.81 (13.83–17.79) | 1.018 (0.617–1.419) | 0.894 |
| Extent of resection GTR | 13.46 (12.16–14.76) | ||
| MCR | 19.30 (17.94–20.66) | 10.602 (7.361–13.843) | 0.002 |
| Adjuvant treatment of brain metastasis | |||
| Conservative treatment * | 9.35 (8.21–10.49) | ||
| RTx and/or CTx | 16.93 (15.64–18.22) | 13.488 (9.284–17.692) | <0.001 |
| Clinical Factors | Mean OS (95% CI) | Hazard Ratio (95% CI) | p Value |
|---|---|---|---|
| Age (years) ≥65 | 14.47 (12.56–16.38) | 1.00 | |
| <65 | 20.07 (16.25–22.53) | 2.21 (1.13–3.29) | 0.038 |
| Gender Male | 16.21 (13.98–18.44) | 1.00 | |
| Female | 16.45 (14.36–19.56) | 1.27 (0.69–1.85) | 0.805 |
| KPS <70 | 13.32 (11.68–14.96) | 1.00 | |
| ≥70 | 18.29 (15.71–22.07) | 4.36 (2.52–6.21) | 0.012 |
| Number of brain metastasis | |||
| Multiple | 15.02 (13.82–17.22) | 1.00 | |
| Single + Oligometastasis | 17.29 (15.05–20.85) | 1.84 (0.83–2.85) | 0.346 |
| Extracranial metastasis Yes | 16.11 (15.14–17.08) | 1.00 | |
| No | 16.59 (15.37–17.09) | 1.32 (0.88–1.76) | 0.682 |
| Status of primary cancer Unstable | 13.76 (11.21–15.31) | 1.00 | |
| Stable | 20.19 (16.19–24.35) | 3.51 (1.74–5.28) | 0.019 |
| Time interval of brain metastasis | |||
| Metachronous (>2months) | 14.33 (12.28–16.38) | 1.00 | |
| Synchronous (≤2months) | 20.31 (15.98–25.44) | 2.46 (1.29–3.63) | 0.042 |
| RPA class III | 11.76 (9.49–12.03) | 1.00 | |
| II | 16.42 (13.64–19.21) | 3.08 (1.54–4.62) | 0.026 |
| I | 25.43 (21.62–29.24) | 5.37 (2.80–7.94) | <0.001 |
| GPA score 0–2.5 | 11.92 (9.12–13.72) | 1.00 | |
| 3.0–4.0 | 24.09 (21.62–27.14) | 7.58 (4.63–10.53) | <0.001 |
| Extent of resection GTR | 15.18 (13.05–17.72) | 1.00 | |
| MCR | 18.27 (16.57–20.44) | 2.05 (0.92–3.18) | 0.067 |
| Adjuvant treatment after surgery | |||
| Conservative treatment * | 8.76 (7.12–9.41) | 1.00 | |
| RTx and/or CTx | 17.39 (15.26–19.42) | 13.43 (6.71–20.05) | <0.001 |
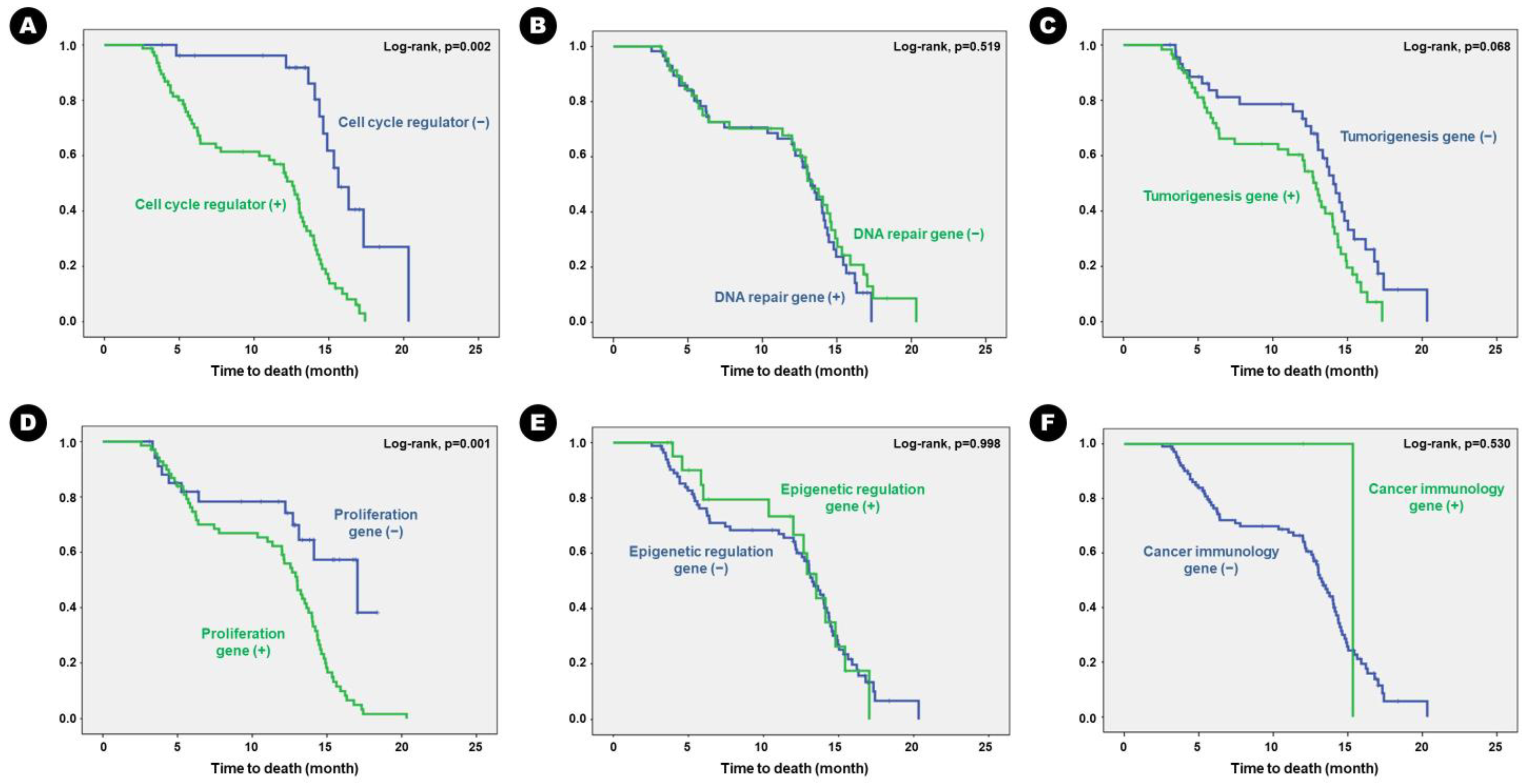
| Role of Genes | Mean RFS (95% CI) | Hazard Ratio (95% CI) | p Value |
|---|---|---|---|
| Cell cycle regulation (1) | |||
| Yes | 13.19 (12.04–14.34) | ||
| No | 18.88 (17.41–20.36) | 8.153 (5.741–10.565) | 0.004 |
| DNA repair (2) | |||
| Yes | 13.98 (12.28–15.25) | ||
| No | 15.98 (14.23–17.73) | 1.301 (0.894–1.708) | 0.321 |
| Tumorigenesis (3) | |||
| Yes | 13.97 (12.64–14.44) | ||
| No | 16.07 (14.26–17.88) | 1.177 (0.725–1.629) | 0.781 |
| Proliferation (4) | |||
| Yes | 13.52 (12.34–14.70) | ||
| No | 16.78 (14.84–18.73) | 2.197 (0.908–3.486) | 0.174 |
| Epigenetic regulation (5) | |||
| Yes | 13.50 (11.52–15.47) | ||
| No | 16.05 (14.58–17.52) | 1.472 (0.836–2.108) | 0.492 |
| Cancer immunology (6) | |||
| Yes | 12.00 (7.91–16.08) | ||
| No | 15.77 (14.45–17.09) | 1.192 (0.584–1.801) | 0.737 |
| Role of Genes | Mean OS (95% CI) | Hazard Ratio (95% CI) | p Value |
|---|---|---|---|
| Cell cycle regulation (1) | |||
| Yes | 14.51 (13.41–15.60) | ||
| No | 20.20 (18.55–21.86) | 10.896 (8.457–13.335) | 0.002 |
| DNA repair (2) | |||
| Yes | 15.62 (14.36–16.89) | ||
| No | 16.14 (14.55–17.73) | 1.417 (0.713–2.101) | 0.519 |
| Tumorigenesis (3) | |||
| Yes | 14.92 (13.65–16.18) | ||
| No | 17.18 (15.61–18.75) | 2.815 (0.978–4.652) | 0.068 |
| Proliferation (4) | |||
| Yes | 15.19 (14.07–16.31) | ||
| No | 18.00 (16.01–19.99) | 6.407 (4.216–8.598) | 0.001 |
| Epigenetic regulation (5) | |||
| Yes | 15.80 (14.62–16.97) | ||
| No | 16.33 (14.37–18.30) | 1.008 (0.465–1.551) | 0.998 |
| Cancer immunology (6) | |||
| Yes | 19.34 (19.34–19.34) | ||
| No | 15.85 (14.81–16.88) | 0.468 (0.311–0.625) | 0.530 |
| Hazard Ratio (95% CI) | p Value | |
|---|---|---|
| KPS (≥70 vs. <70) | 3.247 (1.481–5.010) | 0.020 |
| Status of primary cancer (stable vs. unstable) | 1.572 (0.953–2.191) | 0.121 |
| RPA class (I vs. II) | 1.294 (0.643–1.945) | 0.761 |
| (I vs. III) | 2.913 (1.205–4.621) | 0.041 |
| (II vs. III) | 1.162 (0.651–1.673) | 0.883 |
| Extent of resection (MCR vs. GTR) | 6.416 (4.417–8.415) | 0.002 |
| Active adjuvant treatment (Yes vs. No) | 8.328 (6.748–9.908) | <0.001 |
| Alteration of cell cycle regulatory gene (absence vs. presence) | 3.568 (1.709–5.427) | 0.013 |
| Alteration of proliferation-associated gene (absence vs. presence) | 2.992 (1.488–4.496) | 0.042 |
| Hazard Ratio (95% CI) | p Value | |
|---|---|---|
| Age (≥65 years vs. <65 years) | 2.315 (1.284–3.346) | 0.046 |
| KPS (≥70 vs. <70) | 3.138 (2.024–4.452) | 0.029 |
| Status of primary cancer (stable vs. unstable) | 2.887 (1.865–3.909) | 0.034 |
| Time interval of brain metastasis (synchronous vs. metachronous) | 1.716 (0.884–2.548) | 0.073 |
| RPA class (I vs. II) | 3.029 (1.612–4.446) | 0.026 |
| (I vs. III) | 6.534 (4.325–8.743) | <0.001 |
| (II vs. III) | 2.632 (1.521–3.743) | 0.041 |
| GPA score (0–2.5 vs. 3.0–4.0) | 4.274 (2.008–6.541) | 0.008 |
| Extent of resection (MCR vs GTR) | 1.338 (0.726–1.949) | 0.334 |
| Active adjuvant treatment (Yes vs. No) | 8.968 (5.273–12.663) | <0.001 |
| Alteration of cell cycle regulatory gene (absence vs. presence) | 3.816 (1.947–5.685) | 0.026 |
| Alteration of tumorigenesis-associated gene (absence vs. presence) | 2.037 (0.938–3.136) | 0.062 |
| Alteration of proliferation-associated gene (absence vs. presence) | 2.681 (1.543–3.819) | 0.042 |
Disclaimer/Publisher’s Note: The statements, opinions and data contained in all publications are solely those of the individual author(s) and contributor(s) and not of MDPI and/or the editor(s). MDPI and/or the editor(s) disclaim responsibility for any injury to people or property resulting from any ideas, methods, instructions or products referred to in the content. |
© 2023 by the authors. Licensee MDPI, Basel, Switzerland. This article is an open access article distributed under the terms and conditions of the Creative Commons Attribution (CC BY) license (https://creativecommons.org/licenses/by/4.0/).
Share and Cite
Jeong, H.Y.; Suh, W.J.; Kim, S.H.; Nam, T.M.; Jang, J.H.; Kim, K.H.; Kim, S.H.; Kim, Y.Z. Clinical Application of the Association between Genetic Alteration and Intraoperative Fluorescence Activity of 5-Aminolevulinic Acid during the Resection of Brain Metastasis of Lung Adenocarcinoma. Cancers 2024, 16, 88. https://doi.org/10.3390/cancers16010088
Jeong HY, Suh WJ, Kim SH, Nam TM, Jang JH, Kim KH, Kim SH, Kim YZ. Clinical Application of the Association between Genetic Alteration and Intraoperative Fluorescence Activity of 5-Aminolevulinic Acid during the Resection of Brain Metastasis of Lung Adenocarcinoma. Cancers. 2024; 16(1):88. https://doi.org/10.3390/cancers16010088
Chicago/Turabian StyleJeong, Hyeon Yeong, Won Jun Suh, Seung Hwan Kim, Taek Min Nam, Ji Hwan Jang, Kyu Hong Kim, Seok Hyun Kim, and Young Zoon Kim. 2024. "Clinical Application of the Association between Genetic Alteration and Intraoperative Fluorescence Activity of 5-Aminolevulinic Acid during the Resection of Brain Metastasis of Lung Adenocarcinoma" Cancers 16, no. 1: 88. https://doi.org/10.3390/cancers16010088
APA StyleJeong, H. Y., Suh, W. J., Kim, S. H., Nam, T. M., Jang, J. H., Kim, K. H., Kim, S. H., & Kim, Y. Z. (2024). Clinical Application of the Association between Genetic Alteration and Intraoperative Fluorescence Activity of 5-Aminolevulinic Acid during the Resection of Brain Metastasis of Lung Adenocarcinoma. Cancers, 16(1), 88. https://doi.org/10.3390/cancers16010088

