SerpinB3/4 Expression Is Associated with Poor Prognosis in Patients with Cholangiocarcinoma
Abstract
Simple Summary
Abstract
1. Introduction
2. Materials and Methods
2.1. Patient Analysis
2.2. SerpinB3/4 Quantification with Immunohistochemistry
2.3. Free SerpinB3/4 Determination
2.4. Determination of SerpinB3/4–IgM
2.5. Statistical Analysis
3. Results
3.1. Frequency of SerpinB3/4 Positivity in Human Samples of CCA
3.2. Clinical and Histological Features at Presentation in Relation to the SerpinB3/4 TMA Score
3.3. SerpinB3/4 Score and Prognosis of Cholangiocarcinoma
3.4. Predictors of Overall Survival
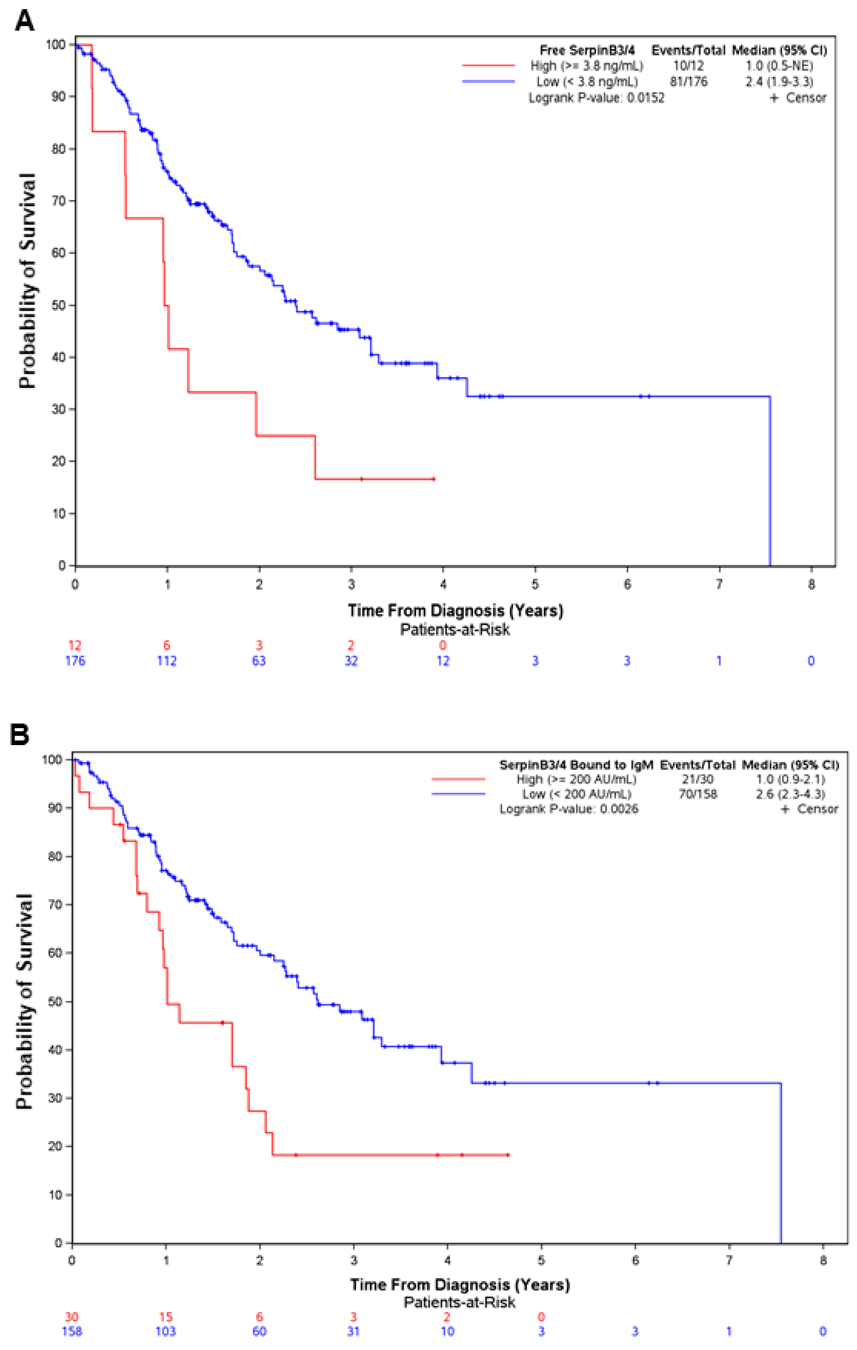
3.5. SerpinB3/4 in Serum and Patient Survival
4. Discussion
5. Conclusions
Supplementary Materials
Author Contributions
Funding
Institutional Review Board Statement
Informed Consent Statement
Data Availability Statement
Acknowledgments
Conflicts of Interest
References
- Bertuccio, P.; Bosetti, C.; Levi, F.; Decarli, A.; Negri, E.; La Vecchia, C. A comparison of trends in mortality from primary liver cancer and intrahepatic cholangiocarcinoma in Europe. Ann. Oncol. 2013, 24, 1667–1674. [Google Scholar] [CrossRef] [PubMed]
- Bridgewater, J.A.; Goodman, K.A.; Kalyan, A.; Mulcahy, M.F. Biliary Tract Cancer: Epidemiology, Radiotherapy, and Molecular Profiling. Am. Soc. Clin. Oncol. Educ. Book 2016, 36, e194–e203. [Google Scholar] [CrossRef] [PubMed]
- Izquierdo-Sanchez, L.; Lamarca, A.; La Casta, A.; Buettner, S.; Utpatel, K.; Klümpen, H.-J.; Adeva, J.; Vogel, A.; Lleo, A.; Fabris, L.; et al. Cholangiocarcinoma landscape in Europe: Diagnostic, prognostic and therapeutic insights from the ENSCCA Registry. J. Hepatol. 2022, 76, 1109–1121. [Google Scholar] [CrossRef] [PubMed]
- Bertuccio, P.; Malvezzi, M.; Carioli, G.; Hashim, D.; Boffetta, P.; El-Serag, H.B.; La Vecchia, C.; Negri, E. Global trends in mortality from intrahepatic and extrahepatic cholangiocarcinoma. J. Hepatol. 2019, 71, 1262–1263. [Google Scholar] [CrossRef]
- Pascale, A.; Rosmorduc, O.; Duclos-Vallée, J.C. New epidemiologic trends in cholangiocarcinoma. Clin. Res. Hepatol. Gastroenterol. 2023, 47, 102223. [Google Scholar] [CrossRef] [PubMed]
- Villard, C.; Friis-Liby, I.; Rorsman, F.; Said, K.; Warnqvist, A.; Cornillet, M.; Kechagias, S.; Nyhlin, N.; Werner, M.; Janczewska, I.; et al. Prospective surveillance for cholangiocarcinoma in unselected individuals with primary sclerosing cholangitis. J. Hepatol. 2023, 78, 604–613. [Google Scholar] [CrossRef] [PubMed]
- Vogel, A.; Bridgewater, J.; Edeline, J.; Kelley, R.K.; Klümpen, H.J.; Malka, D.; Primrose, J.N.; Rimassa, L.; Stenzinger, A.; Valle, J.W.; et al. Biliary Tract Cancer: ESMO Clinical Practice Guideline for Diagnosis, Treatment and Follow-Up. Ann. Oncol. 2023, 34, 127–140. [Google Scholar] [CrossRef] [PubMed]
- Yousaf, A.; Kim, J.U.; Eliahoo, J.; Taylor-Robinson, S.D.; Khan, S.A. Ablative therapy for unresectable intrahepatic cholangiocarcinoma: A systematic review and meta-analysis. J. Clin. Exp. Hepatol. 2019, 9, 740–748. [Google Scholar] [CrossRef]
- Spolverato, G.; Kim, Y.; Alexandrescu, S.; Marwues, H.P.; Lamelas, J.; Aldrighetti, L.; Clark Gamblin, T.; Maithel, S.K.; Pulitano, C.; Bauer, T.W.; et al. Management and Outcomes of Patients with Recurrent Intrahepatic Cholangiocarcinoma Following Previous Curative-Intent Surgical Resection. Ann. Surg. Oncol. 2016, 23, 235–243. [Google Scholar] [CrossRef]
- Cillo, U.; Fondevila, C.; Donadon, M.; Gringeri, E.; Mocchegiani, F.; Schlitt, H.J.; Ijzermans, J.N.M.; Vivarelli, M.; Zieniewicz, K.; Olde Damink, S.W.M.; et al. Surgery for cholangiocarcinoma. Liver Int. 2019, 39 (Suppl. 1), 143–155. [Google Scholar] [CrossRef]
- Marcias, R.I.R.; Korenek, M.; Rodrigues, P.M.; Paiva, N.A.; Casro, R.E.; Urban, S.; Pereira, S.P.; Cadamuro, M.; Rupp, C.; Loosen, S.H.; et al. Diagnostic and prognostic biomarkers in cholangiocarcinoma. Liver Int. 2019, 39 (Suppl. 1), 108–122. [Google Scholar] [CrossRef]
- Valle, J.W.; Kelley, R.K.; Nervi, B.; Oh, D.-Y.; Zhu, A.X. Biliary tract cancer. Lancet 2021, 397, 428–444. [Google Scholar] [CrossRef] [PubMed]
- Pavicevic, S.; Reichelt, S.; Uluk, D.; Lurje, I.; Engelmann, C.; Modest, D.P.; Pelzer, U.; Krenzien, F.; Raschzok, N.; Benzing, C.; et al. Prognostic and Predictive Molecular Markers in Cholangiocarcinoma. Cancers 2022, 14, 1026. [Google Scholar] [CrossRef] [PubMed]
- Rodrigues, P.M.; Vogelm, A.; Arrese, M.; Balderramo, D.C.; Valle, J.W.; Banales, J.M. Next-Generation Biomarkers for Cholangiocarcinoma. Cancers 2021, 13, 3222. [Google Scholar] [CrossRef] [PubMed]
- Foussier, L.; Marzioni, M.; Alfonso, M.B.; Dooley, S.; Gaston, K.; Giannelli, G.; Rodrigues, C.M.P.; Lozano, E.; Mancarella, S.; Segatto, O.; et al. Signalling networks in cholangiocarcinoma: Molecular pathogenesis, targeted therapies and drug resistance. Liver Int. 2019, 39 (Suppl. 1), 43–62. [Google Scholar] [CrossRef] [PubMed]
- O’Rourke, C.J.; Munoz-Garrido, P.; Andersen, J.B. Molecular Targets in Cholangiocarcinoma. Hepatology 2021, 73 (Suppl. 1), 62–74. [Google Scholar] [CrossRef]
- Leuillard, E.; Conboy, C.C.; Gores, J.G.; Rizvi, S. Immunobiology of cholangiocarcinoma. JHEP Rep. 2019, 1, 297–311. [Google Scholar] [CrossRef]
- Wada, Y.; Shimada, M.; Yamamura, K.; Toshima, T.; Bawait, J.K.; Morine, Y.; Ikemoto, T.; Saito, Y.; Baba, H.; Mori, M.; et al. A Transcriptomic Signature for Risk-Stratification and Recurrence Prediction in Intrahepatic Cholangiocarcinoma. Hepatology 2021, 74, 1371–1383. [Google Scholar] [CrossRef]
- Buckholz, A.P.; Brown, R.S. Cholangiocarcinoma: Diagnosis and Management. Clin. Liver Dis. 2020, 24, 421–436. [Google Scholar] [CrossRef]
- Li, J.; Bao, H.; Huang, Z.; Liang, Z.; Lin, N.; Ni, C.; Xu, Y. Non-Coding RNA in Cholangiocarcinoma: An Update. Front. Biosci. 2023, 28, 173. [Google Scholar] [CrossRef]
- Macias, R.I.R.; Cardinale, V.; Kendall, T.J.; Avila, M.A.; Guido, M.; Coulouarn, C.; Braconi, C.; Frampton, A.E.; Bridgewater, J.; Overi, D.; et al. Clinical relevance of biomarkers in cholangiocarcinoma: Critical revision and future directions. Gut 2022, 71, 1669–1683. [Google Scholar] [CrossRef] [PubMed]
- Wannhoff, A.; Gotthardt, D.N. Recent developments in the research on biomarkers of cholangiocarcinoma in primary sclerosing cholangitis. Clin. Res. Hepatol. Gastroenterol. 2019, 43, 236–243. [Google Scholar] [CrossRef] [PubMed]
- Cardinale, V.; Renzi, A.; Carpino, G.; Torrice, A.; Bragazzi, M.C.; Giuliante, F.; DeRose, A.M.; Fraveto, A.; Onori, P.; Napoletano, C.; et al. Profiles of cancer stem cell subpopulations in cholangiocarcinomas. Am. J. Pathol. 2015, 185, 1724–1739. [Google Scholar] [CrossRef] [PubMed]
- Vaquero, J.; Guedj, N.; Clapéron, A.; Nguyen Ho-Bouldoires, T.H.; Paradis, V.; Fouassier, L. Epithelial-mesenchymal transition in cholangiocarcinoma: From clinical evidence to regulatory networks. J. Hepatol. 2017, 66, 424–441. [Google Scholar] [CrossRef] [PubMed]
- Morine, Y.; Imura, S.; Ikemoto, T.; Iwahashi, S.; Saito, Y.; Shimada, M. CD44 Expression Is a Prognostic Factor in Patients with Intrahepatic Cholangiocarcinoma after Surgical Resection. Anticancer Res. 2017, 37, 5701–5705. [Google Scholar] [CrossRef] [PubMed]
- Sugiura, K.; Mishima, T.; Takano, S.; Yoshitomi, H.; Furukawa, K.; Takayashiki, T.; Kuboki, S.; Takada, M.; Miyazaki, M.; Ohtsuka, M. The Expression of Yes-Associated Protein (YAP) Maintains Putative Cancer Stemness and Is Associated with Poor Prognosis in Intrahepatic Cholangiocarcinoma. Am. J. Pathol. 2019, 189, 1863–1877. [Google Scholar] [CrossRef] [PubMed]
- Silverman, G.A.; Bird, P.I.; Carrell, R.W.; Church, F.C.; Coughlin, P.B.; Gettins, P.G.; Irving, J.A.; Lomas, D.A.; Luke, C.J.; Moyer, R.W.; et al. The serpins are an expanding superfamily of structurally similar but functionally diverse proteins. Evolution, mechanism of inhibition, novel functions, and a revised nomenclature. J. Biol. Chem. 2001, 276, 33293–33296. [Google Scholar] [CrossRef]
- Sun, Y.; Sheshadri, N.; Zong, W.X. SERPINB3 and B4: From biochemistry to biology. Semin. Cell Dev. Biol. 2017, 62, 170–177. [Google Scholar] [CrossRef]
- Correnti, M.; Cappon, A.; Pastore, M.; Piombanti, B.; Lori, G.; Oliveira, D.V.P.N.; Munoz-Garrido, P.; Lewinska, M.; Andersen, J.B.; Coulouarn, C.; et al. The protease-inhibitor SerpinB3 as a critical modulator of the stem-like subset in human cholangiocarcinoma. Liver Int. 2022, 42, 233–248. [Google Scholar] [CrossRef]
- Turato, C.; Buendia, M.A.; Fabre, M.; Redon, M.J.; Branchereau, S.; Quarta, S.; Ruvoletto, M.; Perilongo, G.; Grotzer, M.A.; Gatta, A.; et al. Over-expression of SERPINB3 in hepatoblastoma: A possible insight into the genesis of this tumour? Eur. J. Cancer 2012, 48, 1219–1226. [Google Scholar] [CrossRef]
- Turato, C.; Cannito, S.; Simonato, D.; Villano, G.; Morello, E.; Terrin, L.; Quarta, S.; Biasiolo, A.; Ruvoletto, M.; Martini, A.; et al. SerpinB3 and Yap Interplay Increases Myc Oncogenic Activity. Sci. Rep. 2015, 5, 17701. [Google Scholar] [CrossRef] [PubMed]
- Turato, C.; Vitale, A.; Fasolato, S.; Ruvoletto, M.; Terrin, L.; Quarta, S.; Ramirez Morales, R.; Biasiolo, A.; Zanus, G.; Zali, N.; et al. SERPINB3 is associated with TGF-beta1 and cytoplasmic beta-catenin expression in hepatocellular carcinomas with poor prognosis. Br. J. Cancer 2014, 110, 2708–2715. [Google Scholar] [CrossRef] [PubMed]
- Sheshadri, N.; Catanzaro, J.M.; Bott, A.J.; Sun, Y.; Ullman, E.; Chen, E.I.; Pan, J.-A.; Wu, S.; Crawford, H.C.; Zhang, J.; et al. SCCA1/SERPINB3 Promotes Oncogenesis and Epithelial–Mesenchymal Transition via the Unfolded Protein Response and IL6 Signaling. Cancer Res. 2014, 74, 6318–6329. [Google Scholar] [CrossRef] [PubMed]
- Catanzaro, J.M.; Sheshadri, N.; Pan, J.A.; Sun, Y.; Shi, C.; Li, J.; Powers, R.S.; Crawford, H.C.; Zong, W.X. Oncogenic Ras induces inflammatory cytokine production by upregulating the squamous cell carcinoma antigens SerpinB3/B4. Nat. Commun. 2014, 5, 3729. [Google Scholar] [CrossRef] [PubMed]
- Catanzaro, J.M.; Sheshadri, N.; Zong, W.X. SerpinB3/B4: Mediators of Ras-driven inflammation and oncogenesis. Cell Cycle 2014, 13, 3155–3156. [Google Scholar] [CrossRef] [PubMed][Green Version]
- Beneduce, L.; Castaldi, F.; Marino, M.; Quarta, S.; Ruvoletto, M.; Benvegnù, L.; Calabrese, F.; Gatta, A.; Pontisso, P.; Fassina, G. Squamous cell carcinoma antigen-immunoglobulin M complexes as novel biomarkers for hepatocellular carcinoma. Cancer 2005, 103, 2558–2565. [Google Scholar] [CrossRef]
- Cagnin, M.; Biasiolo, A.; Martini, A.; Ruvoletto, M.; Quarta, S.; Fasolato, S.; Angeli, P.; Fassina, G.; Pontisso, P. Serum Squamous Cell Carcinoma Antigen-Immunoglobulin M complex levels predict survival in patients with cirrhosis. Sci. Rep. 2019, 9, 20126. [Google Scholar] [CrossRef]
- Guarino, M.; Di Costanzo, G.G.; Gallotta, A.; Tortora, R.; Paneghetti, L.; Tuccillo, C.; Fassina, G.; Caporaso, N.; Morisco, F. Circulating SCCA-IgM complex is a useful biomarker to predict the outcome of therapy in hepatocellular carcinoma patients. Scand. J. Clin. Lab. Investig. 2017, 77, 448–453. [Google Scholar] [CrossRef]
- Pellizzaro, F.; Soldà, F.; Cardin, R.; Imondi, A.; Sartori, A.; Penzo, B.; Sammarco, A.; Aliberti, C.; Vitale, A.; Cillo, U.; et al. SCCA-IgM in hepatocellular carcinoma patients treated with transarterial chemoembolization: Gender-related differences. Biomark. Med. 2021, 14, 855–867. [Google Scholar] [CrossRef]
- Guido, M.; Roskams, T.; Pontisso, P.; Fassan, M.; Thung, S.N.; Giacomelli, L.; Sergio, A.; Farinati, F.; Cillo, U.; Rugge, M. Squamous cell carcinoma antigen in human liver carcinogenesis. J. Clin. Pathol. 2019, 61, 445–447. [Google Scholar] [CrossRef]
- Sia, D.; Hoshida, Y.; Villanueva, A.; Roayaie, S.; Ferrer, J.; Tabak, B.; Tabak, B.; Peix, J.; Sole, M.; Tovar, V.; et al. Integrative molecular analysis of intrahepatic cholangiocarcinoma reveals 2 classes that have different outcomes. Gastroenterology 2013, 144, 829–840. [Google Scholar] [CrossRef] [PubMed]
- Montal, R.; Sia, D.; Montironi, C.; Leow, W.Q.; Esteban-Fabrò, R.; Pinyol, R.; Torres-Martin, M.; Bassaganyas, L.; Moeini, A.; Peix, J.; et al. Molecular classification and therapeutic targets in extrahepatic cholangiocarcinoma. J. Hepatol. 2021, 73, 315–327. [Google Scholar] [CrossRef] [PubMed]
- Hoshida, Y.; Nijman, S.M.; Kobayashi, M.; Chan, J.A.; Brunet, J.P.; Chiang, D.Y.; Villanueva, A.; Newell, P.; Ikeda, K.; Hashimoto, M.; et al. Integrative transcriptome analysis reveals common molecular subclasses of human hepatocellular carcinoma. Cancer Res. 2009, 69, 7385–7392. [Google Scholar] [CrossRef] [PubMed]
- Terrin, L.; Agostini, M.; Ruvoletto, M.; Martini, A.; Pucciarelli, S.; Bedin, C.; Nitti, D.; Pontisso, P. SerpinB3 upregulates the Cyclooxygenase-2/β-Catenin positive loop in colorectal cancer. Oncotarget 2017, 8, 15732–15743. [Google Scholar] [CrossRef] [PubMed]
- Turato, C.; Scarpa, M.; Kotsafti, A.; Cappon, A.; Quarta, S.; Biasiolo, A.; Cavallin, F.; Trevellin, E.; Guzzardo, V.; Fassan, M. Squamous cell carcinoma antigen 1 is associated to poor prognosis in esophageal cancer through immune surveillance impairment and reduced chemosensitivity. Cancer Sci. 2019, 110, 1552–1563. [Google Scholar] [CrossRef] [PubMed]
- Miao, Y.R.; Liu, C.J.; Ho, H.; Yang, M.; Guo, A.-Y. Biological pathway-derived TMB robustly predicts the outcome of immune checkpoint plockade therapy. Cells 2022, 11, 2802. [Google Scholar] [CrossRef] [PubMed]
- Lauko, A.; Volovetz, J.; Turaga, S.M.; Bayik, D.; Silver, D.J.; Mitchell, K.; Mulkearns-Hubert, E.E.; Watson, D.C.; Desai, K.; Midha, M.; et al. SerpinB3 drives cancer stem cell survival in glioblastoma. Cell Rep. 2022, 40, 111348. [Google Scholar] [CrossRef]
- Collie-Duguid, E.S.; Sweeney, K.; Stewart, K.N.; Miller, I.D.; Smyth, E.; Heys, S.D. SerpinB3, a new prognostic tool in breast cancer patients treated with neoadjuvant chemotherapy. Breast Cancer Res. Treat. 2011, 132, 807–818. [Google Scholar] [CrossRef]
- Lim, W.; Kim, M.A.; Jeong, W.; Ahn, S.E.; Kim, J.; Kim, Y.B.; Kim, M.A.; Kim, M.K.; Chung, H.H.; Song, Y.S.; et al. SERPINB3 in the chicken model of ovarian cancer: A prognostic factor for platinum resistance and survival in patients with epithelial ovarian cancer. PLoS ONE 2012, 7, e49869. [Google Scholar] [CrossRef][Green Version]
- Ohara, Y.; Tang, W.; Liu, H.; Yang, S.; Dorsey, T.H.; Cawley, H.; Moreno, P.; Chari, R.; Guest, M.R.; Azizian, A.; et al. SERPINB3-MYC axis induces the basal-like/squamous subtype and enhances disease progression in pancreatic cancer. Cell Rep. 2023, 42, 113434. [Google Scholar] [CrossRef]
- Narimatsu, H.; Iwasaki, H.; Nakayama, F.; Ikehara, Y.; Kudo, T.; Nishihara, S.; Sugano, K.; Okura, H.; Fujita, S.; Hirohashi, S. Lewis and secretor gene dosages affect CA19-9 and DU-PAN-2 serum levels in normal individuals and colorectal cancer patients. Cancer Res. 1998, 58, 512–518. [Google Scholar] [PubMed]
- Parra-Robert, M.; Santos, V.M.; Canis, S.M.; Pla, X.F.; Fradera, J.M.A.; Porto, R.M. Relationship between CA 19.9 and the Lewis Phenotype: Options to Improve Diagnostic Efficiency. Anticancer Res. 2018, 38, 5883–5888. [Google Scholar] [CrossRef] [PubMed]
- Rizzato, M.; Brignola, S.; Munari, G.; Gatti, M.; Dadduzio, V.; Borga, C.; Bergamo, F.; Pellino, A.; Angerilli, V.; Mescoli, C.; et al. Prognostic impact of FGFR2/3 alterations in patients with biliary tract cancers receiving systemic chemotherapy: The BITCOIN study. Eur. J. Cancer 2022, 166, 165–175. [Google Scholar] [CrossRef] [PubMed]
- Lapitz, A.; Azkargorta, M.; Milkiewicz, P.; Olaizola, P.; Zhuravleva, E.; Grimsrud, M.M.; Schramm, C.; Arbelaiz, A.; O’Rourke, C.J.; La Casta, A.; et al. Liquid biopsy-based protein biomarkers for risk prediction, early diagnosis, and prognostication of cholangiocarcinoma. J. Hepatol. 2023, 79, 93–108. [Google Scholar] [CrossRef]




| Total Number of Patients | 187 |
|---|---|
| SEX | |
| Female | 29.9% |
| Male | 70.1% |
| AGE | |
| Mean (SD) | 58.8 (13.2) |
| Median | 61.0 |
| Q1, Q3 | 49.0, 69.0 |
| Range | (22.0–87.0) |
| CCA CLASSIFICATION | |
| Extrahepatic | 64.0% |
| Intrahepatic | 36.0% |
| ALP | |
| Mean (SD) | 397.7 (376.6) |
| Median | 302.0 |
| Q1, Q3 | 130.0, 524.0 |
| Range | (62.0–2154.0) |
| BILIRUBIN | |
| Mean (SD) | 4.5 (6.1) |
| Median | 1.8 |
| Q1, Q3 | 0.7, 5.8 |
| Range | (0.2–32.3) |
| CA19-9 | |
| Mean (SD) | 4332.5 (22,423.5) |
| Median | 125.0 |
| Q1, Q3 | 30.0, 441.0 |
| Range | (1.0–21,1100.0) |
| CEA | |
| Mean (SD) | 523.0 (3212.7) |
| Median | 2.5 |
| Q1, Q3 | 1.3, 6.6 |
| Range | (0.3–26,630.0) |
| TNM STAGE | |
| I | 22.8% |
| II | 16.5% |
| III | 27.8% |
| IV | 32.9% |
| TUMOR GRADE | |
| I | 9.6% |
| II | 55.7% |
| III | 31.1% |
| IV | 3.6% |
| Total (N = 123) | Score 0/1+ (N = 108) | Score 2+/3+ (N = 15) | p-Value | |
|---|---|---|---|---|
| Sex | 0.7843 1 | |||
| Female | 56 (45.6%) | 50 (46.3%) | 6 (40.0%) | |
| Male | 67 (54.4%) | 58 (53.7%) | 9 (60.0%) | |
| Age | 0.0897 2 | |||
| Median (IQR) | 64.0 (55, 71) | 63.0 (54, 69) | 67.0 (60, 75) | |
| TB (mg/dL) | 0.8836 2 | |||
| Median (IQR) | 0.6 (0.5, 0.9) | 0.7 (0.5, 0.9) | 0.6 (0.5, 1.6) | |
| ALB (gr/dL) | 0.7523 2 | |||
| Median (IQR) | 4.2 (3.7, 4.4) | 4.2 (3.7, 4.4) | 4.2 (3.6, 4.4) | |
| ALT (U/L) | 0.4651 2 | |||
| Median (IQR) | 4.4 (2.5, 8.1) | 4.5 (2.5, 8.0) | 3.3 (2.0, 9.2) | |
| PT (s) | 0.0442 2 | |||
| Median (IQR) | 9.6 (9.1, 10.5) | 9.6 (9.2, 10.7) | 9.2 (7.9, 9.8) | |
| CEA (μg/L) | 0.8958 2 | |||
| Median (IQR) | 1.6 (0.9, 2.6) | 1.6 (0.9, 2.6) | 1.4 (1.4, 2.9) | |
| CA19-9 (kU/L) | 0.0064 2 | |||
| Median (IQR) | 68 (18, 289) | 50 (17, 239) | 311 (159, 1112) | |
| CCA Classification | 0.8736 1 | |||
| Intrahepatic | 74.3% | 74.5% | 73.3% | |
| Perihilar | 21.2% | 20.4% | 26.7% | |
| Distal | 4.4% | 5.1% | 0.0% | |
| Tumor Size (cm) | 0.9457 2 | |||
| Median (IQR) | 5.0 (3.3, 8.0) | 5.0 (3.2, 8.0) | 5.2 (3.5, 8.5) | |
| TMN Stage | 0.0318 1 | |||
| I/II | 60 (63.8%) | 55 (68.8%) | 5 (35.7%) | |
| III/IV | 34 (36.2%) | 25 (31.3%) | 9 (64.3%) | |
| Tumor Grade | 1.0000 1 | |||
| I/II | 21 (17.5%) | 19 (18.1%) | 2 (13.3%) | |
| III/IV | 99 (82.5%) | 86 (81.9%) | 13 (86.7%) | |
| Vascular Invasion | 0.0909 1 | |||
| None | 86.6% | 88.5% | 73.3% | |
| Micro | 8.4% | 7.7% | 13.3% | |
| Macro | 5.0% | 3.8% | 13.3% |
| Variable | Level | HR (95% CI) | p-Value (vs. Reference) | p-Value |
|---|---|---|---|---|
| Sex (Ref = Male) | Female | 0.66 (0.44, 0.99) | 0.044 | 0.044 |
| Age | 1.01 (0.99, 1.03) | 0.170 | 0.170 | |
| Tumor Grade (Ref = I/II) | III/IV | 1.30 (0.75, 2.279) | 0.345 | 0.345 |
| Vascular Invasion (Ref = None) | Micro | 1.71 (0.78, 3.75) | 0.180 | 0.187 |
| Vascular Invasion (Ref = None) | Macro | 1.80 (0.77, 4.22) | 0.171 | 0.187 |
| AFP | 0.99 (0.94, 1.04) | 0.755 | 0.755 | |
| TB | 1.05 (0.97, 1.13) | 0.208 | 0.208 | |
| ALB | 0.89 (0.76, 1.03) | 0.140 | 0.140 | |
| ALT | 0.98 (0.95, 1.02) | 0.497 | 0.497 | |
| PT | 1.00 (0.93, 1.06) | 0.997 | 0.997 | |
| CCA Classification (Ref = Intrahepatic) | Perihilar | 1.18 (0.72, 1.92) | 0.512 | 0.630 |
| CCA Classification (Ref = Intrahepatic) | Distal | 1.43 (0.57, 3.61) | 0.438 | 0.630 |
| Tumor Size (cm) | 1.02 (0.97, 1.08) | 0.313 | 0.313 | |
| Tumor Stage (Ref = I/II) | III/IV | 1.47 (0.91, 2.37) | 0.113 | 0.113 |
| Factor | Level | HR (95% CI) | p-Value |
|---|---|---|---|
| SerpinB3/4 Score | 2+/3+ vs. 0/1+ | 3.23 (1.59, 6.55) | 0.001 |
| Age | Unit = 5 | 1.01 (0.90, 1.13) | 0.920 |
| Sex | Female vs. Male | 0.72 (0.43, 1.21) | 0.211 |
| Albumin | Unit = 1 | 0.95 (0.78, 1.16) | 0.615 |
| Vascular Invasion | Micro vs. None Macro vs. None | 1.76 (0.74, 4.20) 4.55 (1.29, 16.04) | 0.201 0.018 |
| Tumor Stage | Stage III/IV vs. Stage I/II | 1.58 (0.94, 2.69) | 0.086 |
| CA19-9 Non-Elevated (N = 30) | CA19-9 Elevated (N = 76) | Total (N = 106) | p-Value | |
|---|---|---|---|---|
| Free SerpinB3/4 (ng/mL) | 0.4384 1 | |||
| N | 30 | 76 | 106 | |
| Mean (SD) | 1.2 (1.0) | 1.1 (1.1) | 1.1 (1.1) | |
| Median | 0.9 | 0.7 | 0.7 | |
| Q1, Q3 | 0.6, 1.7 | 0.5, 1.8 | 0.5, 1.8 | |
| Range | (0.0–4.7) | (0.0–5.4) | (0.0–5.4) | |
| SerpinB3/4–IgM (AU/mL) | 0.2588 1 | |||
| N | 30 | 76 | 106 | |
| Mean (SD) | 98.1 (108.4) | 150.0 (231.5) | 135.3 (205.1) | |
| Median | 73.9 | 76.2 | 75.9 | |
| Q1, Q3 | 52.2, 93.6 | 50.5, 136.4 | 50.5, 125.2 | |
| Range | (30.1–544.5) | (29.6–1482.2) | (29.6–1482.2) |
Disclaimer/Publisher’s Note: The statements, opinions and data contained in all publications are solely those of the individual author(s) and contributor(s) and not of MDPI and/or the editor(s). MDPI and/or the editor(s) disclaim responsibility for any injury to people or property resulting from any ideas, methods, instructions or products referred to in the content. |
© 2024 by the authors. Licensee MDPI, Basel, Switzerland. This article is an open access article distributed under the terms and conditions of the Creative Commons Attribution (CC BY) license (https://creativecommons.org/licenses/by/4.0/).
Share and Cite
Martini, A.; Prasai, K.; Zemla, T.J.; Ahmed, F.Y.; Elnagar, M.B.; Giama, N.H.; Guzzardo, V.; Biasiolo, A.; Fassan, M.; Yin, J.; et al. SerpinB3/4 Expression Is Associated with Poor Prognosis in Patients with Cholangiocarcinoma. Cancers 2024, 16, 225. https://doi.org/10.3390/cancers16010225
Martini A, Prasai K, Zemla TJ, Ahmed FY, Elnagar MB, Giama NH, Guzzardo V, Biasiolo A, Fassan M, Yin J, et al. SerpinB3/4 Expression Is Associated with Poor Prognosis in Patients with Cholangiocarcinoma. Cancers. 2024; 16(1):225. https://doi.org/10.3390/cancers16010225
Chicago/Turabian StyleMartini, Andrea, Kritika Prasai, Tyler J. Zemla, Fowsiyo Y. Ahmed, Mamoun B. Elnagar, Nasra H. Giama, Vincenza Guzzardo, Alessandra Biasiolo, Matteo Fassan, Jun Yin, and et al. 2024. "SerpinB3/4 Expression Is Associated with Poor Prognosis in Patients with Cholangiocarcinoma" Cancers 16, no. 1: 225. https://doi.org/10.3390/cancers16010225
APA StyleMartini, A., Prasai, K., Zemla, T. J., Ahmed, F. Y., Elnagar, M. B., Giama, N. H., Guzzardo, V., Biasiolo, A., Fassan, M., Yin, J., Pontisso, P., & Roberts, L. R. (2024). SerpinB3/4 Expression Is Associated with Poor Prognosis in Patients with Cholangiocarcinoma. Cancers, 16(1), 225. https://doi.org/10.3390/cancers16010225

