Location Has Prognostic Impact on the Outcome of Colorectal Mucinous Adenocarcinomas
Abstract
:Simple Summary
Abstract
1. Introduction
2. Materials and Methods
2.1. Patient Selection
2.2. Statistical Analysis
3. Results
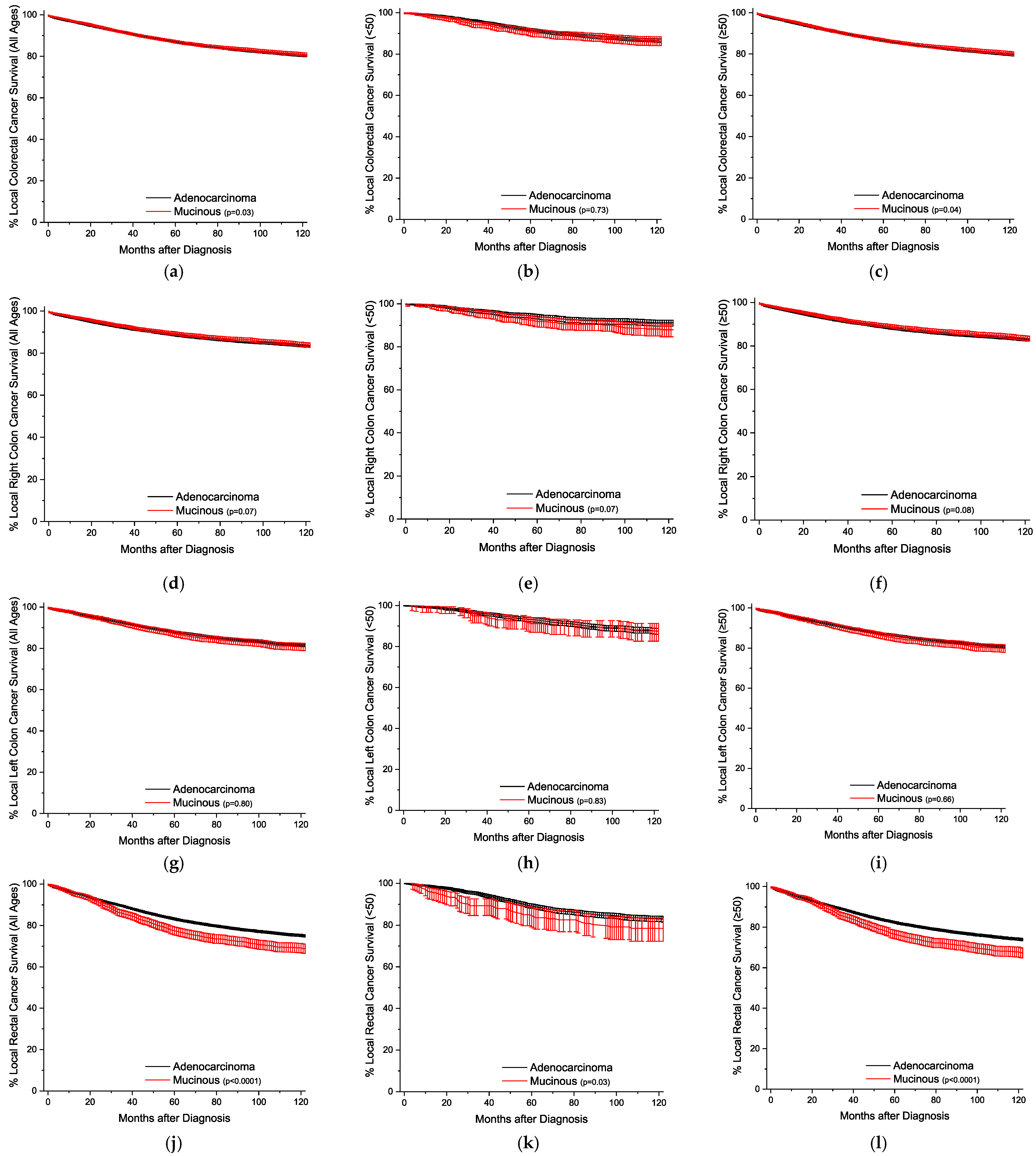
3.1. Frequency, Adjusted Mortality, and Survival Trends for Colorectal Mucinous Adenocarcinomas
3.2. Frequency, Adjusted Mortality, and Survival Trends for Gastric Mucinous Adenocarcinomas
4. Discussion
5. Conclusions
Supplementary Materials
Author Contributions
Funding
Institutional Review Board Statement
Informed Consent Statement
Data Availability Statement
Conflicts of Interest
References
- Digestive System Tumours, Who Classification of tumours Series, 5th ed.; International Agency for Research on Cancer: Lyon, France, 2019.
- Corfield, A.P.; Carroll, D.; Myerscough, N.; Probert, C.S. Mucins in the gastrointestinal tract in health and disease. Front. Biosci. 2001, 6, d1321–d1357. [Google Scholar] [CrossRef] [PubMed]
- Kufe, D.W. Mucins in cancer: Function, prognosis and therapy. Nat. Rev. Cancer 2009, 9, 874–885. [Google Scholar] [CrossRef] [PubMed]
- Hollingsworth, M.A.; Swanson, B.J. Mucins in cancer: Protection and control of the cell surface. Nat. Rev. Cancer 2004, 4, 45–60. [Google Scholar] [CrossRef] [PubMed]
- Lee, N.K.; Kim, S.; Kim, H.S.; Jeon, T.Y.; Kim, G.H.; Kim, D.U.; Park, D.Y.; Kim, T.U.; Kang, D.H. Spectrum of mucin-producing neoplastic conditions of the abdomen and pelvis: Cross-sectional imaging evaluation. World J. Gastroenterol. 2011, 17, 4757–4771. [Google Scholar] [CrossRef] [PubMed]
- Benesch, M.G.K.; Mathieson, A. Epidemiology of signet ring cell adenocarcinomas. Cancers 2020, 12, 1544. [Google Scholar] [CrossRef] [PubMed]
- Benesch, M.G.K.; Mathieson, A. Epidemiology of mucinous adenocarcinomas. Cancers 2020, 12, 3193. [Google Scholar] [CrossRef]
- Benesch, M.G.; Nelson, E.D.; O’brien, S.B. Malignant transformation of long-standing ileal crohn’s disease likely favors signet ring cell adenocarcinoma histology. World J. Oncol. 2023, 14, 447–456. [Google Scholar] [CrossRef] [PubMed]
- Benesch, M.G.K.; Mathieson, A.; O’brien, S.B.L. Effects of tumor localization, age, and stage on the outcomes of gastric and colorectal signet ring cell adenocarcinomas. Cancers 2023, 15, 714. [Google Scholar] [CrossRef]
- Leopoldo, S.; Lorena, B.; Cinzia, A.; Gabriella, D.C.; Angela Luciana, B.; Renato, C.; Antonio, M.; Carlo, S.; Cristina, P.; Stefano, C.; et al. Two subtypes of mucinous adenocarcinoma of the colorectum: Clinicopathological and genetic features. Ann. Surg. Oncol. 2008, 15, 1429–1439. [Google Scholar] [CrossRef]
- Ahnen, D.J.; Wade, S.W.; Jones, W.F.; Sifri, R.; Silveiras, J.M.; Greenamyer, J.; Guiffre, S.; Axilbund, J.; Spiegel, A.; You, Y.N. The Increasing Incidence of Young-Onset Colorectal Cancer: A Call to Action. Mayo Clin. Proc. 2014, 89, 216–224. [Google Scholar] [CrossRef]
- Luo, C.; Cen, S.; Ding, G.; Wu, W. Mucinous colorectal adenocarcinoma: Clinical pathology and treatment options. Cancer Commun. 2019, 39, 1–13. [Google Scholar] [CrossRef] [PubMed]
- Baraibar, I.; Ros, J.; Saoudi, N.; Salvà, F.; García, A.; Castells, M.; Tabernero, J.; Élez, E. Sex and gender perspectives in colorectal cancer. ESMO Open 2023, 8, 101204. [Google Scholar] [CrossRef] [PubMed]
- Salem, M.E.; Weinberg, B.A.; Xiu, J.; El-Deiry, W.S.; Hwang, J.J.; Gatalica, Z.; Philip, P.A.; Shields, A.F.; Lenz, H.-J.; Marshall, J.L. Comparative molecular analyses of left-sided colon, right-sided colon, and rectal cancers. Oncotarget 2017, 8, 86356–86368. [Google Scholar] [CrossRef]
- Inamura, K.; Yamauchi, M.; Nishihara, R.; A Kim, S.; Mima, K.; Sukawa, Y.; Li, T.; Yasunari, M.; Zhang, X.; Wu, K.; et al. Prognostic significance and molecular features of signet-ring cell and mucinous components in colorectal carcinoma. Ann. Surg. Oncol. 2015, 22, 1226–1235. [Google Scholar] [CrossRef] [PubMed]
- Ye, M.; Ru, G.; Yuan, H.; Qian, L.; He, X.; Li, S. Concordance between microsatellite instability and mismatch repair protein expression in colorectal cancer and their clinicopathological characteristics: A retrospective analysis of 502 cases. Front. Oncol. 2023, 13, 1178772. [Google Scholar] [CrossRef] [PubMed]
- Bouras, E.; Papandreou, C.; Tzoulaki, I.; Tsilidis, K.K. Endogenous sex steroid hormones and colorectal cancer risk: A systematic review and meta-analysis. Discov. Oncol. 2021, 12, 8. [Google Scholar] [CrossRef]
- De Silva, S.; Tennekoon, K.H.; Karunanayake, E.H. Interaction of gut microbiome and host micrornas with the occurrence of colorectal and breast cancer and their impact on patient immunity. OncoTargets Ther. 2021, 14, 5115–5129. [Google Scholar] [CrossRef]
- Clark, G.R.; Steele, R.J.; Fraser, C.G. Strategies to minimise the current disadvantages experienced by women in faecal immunochemical test-based colorectal cancer screening. Clin. Chem. Lab. Med. 2022, 60, 1496–1505. [Google Scholar] [CrossRef]
- Liu, X.; Huang, L.; Liu, M.; Wang, Z. The molecular associations of signet-ring cell carcinoma in colorectum: Meta-analysis and system review. Medicina 2022, 58, 836. [Google Scholar] [CrossRef]
- Remo, A.; Fassan, M.; Vanoli, A.; Bonetti, L.R.; Barresi, V.; Tatangelo, F.; Gafà, R.; Giordano, G.; Pancione, M.; Grillo, F.; et al. Morphology and molecular features of rare colorectal carcinoma histotypes. Cancers 2019, 11, 1036. [Google Scholar] [CrossRef]
- Benson, A.B.; Venook, A.P.; Al-Hawary, M.M.; Azad, N.; Chen, Y.J.; Ciombor, K.K.; Cohen, S.; Cooper, H.S.; Deming, D.; Garrido-Laguna, I.; et al. Rectal cancer, version 2.2022, nccn clinical practice guidelines in oncology. J. Natl. Compr. Canc. Netw. 2022, 20, 1139–1167. [Google Scholar] [CrossRef]
- Jiang, J.; Tang, X.-W.; Huang, S.; Hu, N.; Chen, Y.; Luo, B.; Ren, W.-S.; Peng, Y.; Yang, W.-X.; Lü, M.-H. Epidemiologic characteristics and risk factors associated with overall survival for patients with mucinous colorectal cancer: A population-based study. World J. Gastrointest. Oncol. 2023, 15, 1461–1474. [Google Scholar] [CrossRef] [PubMed]
- Saraiva, M.R.; Rosa, I.; Claro, I. Early-onset colorectal cancer: A review of current knowledge. World J. Gastroenterol. 2023, 29, 1289–1303. [Google Scholar] [CrossRef] [PubMed]
- Tom, C.M.; Mankarious, M.M.; Jeganathan, N.A.; Deutsch, M.; Koltun, W.A.; Berg, A.S.; Scow, J.S. Characteristics and outcomes of right- versus left-sided early-onset colorectal cancer. Dis. Colon Rectum 2023, 66, 498–510. [Google Scholar] [CrossRef] [PubMed]
- Kocián, P.; Svobodová, I.; Krejčí, D.; Blaha, M.; Gürlich, R.; Dušek, L.; Hoch, J.; Whitley, A. Is colorectal cancer a more aggressive disease in young patients? A population-based study from the Czech Republic. Cancer Epidemiol. 2019, 63, 101621. [Google Scholar] [CrossRef] [PubMed]
- Yeo, H.; Betel, D.; Abelson, J.S.; Zheng, X.E.; Yantiss, R.; Shah, M.A. Early-onset colorectal cancer is distinct from traditional colorectal cancer. Clin. Color. Cancer 2017, 16, 293–299.e6. [Google Scholar] [CrossRef] [PubMed]
- Katsidzira, L.; Chokunonga, E.; Gangaidzo, I.T.; Rusakaniko, S.; Borok, M.; Matsena-Zingoni, Z.; Thomson, S.; Ramesar, R.; Matenga, J.A. The incidence and histo-pathological characteristics of colorectal cancer in a population based cancer registry in Zimbabwe. Cancer Epidemiol. 2016, 44, 96–100. [Google Scholar] [CrossRef]
- Siegel, E.M.; Ulrich, C.M.; Shibata, D. Risk stratification for early-onset colorectal cancer screening: Are we ready for implementation? Cancer Prev. Res. 2023, 16, 479–481. [Google Scholar] [CrossRef]
- Duggan, M.A.; Anderson, W.F.; Altekruse, S.; Penberthy, L.; Sherman, M.E. The surveillance, epidemiology, and end results (seer) program and pathology: Toward strengthening the critical relationship. Am. J. Surg. Pathol. 2016, 40, e94–e102. [Google Scholar] [CrossRef]
- Zuberi, S.A.; Burdine, L.; Dong, J.; Feuerstein, J.D. Representation of racial minorities in the United States colonoscopy surveillance interval guidelines. J. Clin. Gastroenterol. 2023. [Google Scholar] [CrossRef]





| Colorectal Location | Adenocarcinoma | Mucinous |
|---|---|---|
| All Sites | 393,879 (100) | 50,776 (100) |
| Right Colon | 131,482 (33.4) | 27,412 (54.0) |
| Appendix | 1761 (0.4) | 3266 (6.4) |
| Cecum | 62,888 (16.0) | 12,079 (23.8) |
| Ascending Colon | 51,752 (13.1) | 9416 (18.5) |
| Hepatic Flexure | 15,081 (3.8) | 2651 (5.2) |
| Transverse Colon | 26,492 (6.7) | 4093 (8.1) |
| Left | 116,632 (29.6) | 10,426 (20.5) |
| Splenic Flexure | 10,985 (2.8) | 1450 (2.9) |
| Descending Colon | 18,161 (4.6) | 2019 (4.0) |
| Sigmoid Colon | 87,486 (22.2) | 6957 (13.7) |
| Rectal | 119,273 (30.3) | 8845 (17.4) |
| Rectosigmoid | 37,657 (9.6) | 2797 (5.5) |
| Rectum | 81,616 (20.7) | 6048 (11.9) |
| Colorectal Location | Adenocarcinoma | Mucinous | ||||||
|---|---|---|---|---|---|---|---|---|
| Sex | Male | Female | Male | Female | ||||
| Age (Years) | <50 | ≥50 | <50 | ≥50 | <50 | ≥50 | <50 | ≥50 |
| All Sites | ||||||||
| N (%) | 22,579 [11.1] | 181,541 [88.9] | 19,470 [10.3] | 170,289 [89.7] | 3607 [14.8] | 20,814 [85.2] | 2657 (10.1) | 23,698 [89.9] |
| (100) | (100) | (100) | (100) | (100) | (100) | (100) | (100) | |
| Stage | ||||||||
| In Situ | 101 (0.4) | 1292 (0.7) | 95 (0.5) | 1091 (0.6) | 4 (0.1) | 9 (0.1) | 2 (0.1) | 14 (0.1) |
| Localized | 5263 (23.3) | 58,867 (32.4) | 4618 (23.7) | 55,919 (32.8) | 765 (21.2) | 6046 (29.0) | 523 (19.7) | 7204 (30.4) |
| Regional | 10,294 (45.6) | 75,339 (41.5) | 8895 (45.7) | 72,384 (42.5) | 1724 (47.8) | 9624 (46.2) | 1132 (42.6) | 10,925 (46.1) |
| Distant | 6410 (28.4) | 39,790 (21.9) | 5545 (28.5) | 34,201 (20.1) | 1057 (29.3) | 4826 (23.2) | 951 (35.8) | 5207 (22.0) |
| Unstaged | 511 (2.3) | 6253 (3.4) | 317 (1.6) | 6694 (3.9) | 57 (1.6) | 309 (1.5) | 49 (1.8) | 348 (1.5) |
| Incidence | 4.43 (4.38–4.49) | 104.8 (104.4–105.3) | 3.80 (3.75–3.85) | 75.0 (74.7–75.3) | 0.65 (0.63–0.67) | 11.5 (11.4–11.7) | 0.48 (0.46–0.50) | 10.0 (9.9–10.2) |
| Right | ||||||||
| N (%) | 4780 (21.2) | 54,707 (30.1) | 4171 (21.4) | 67,824 (39.8) | 1665 (46.2) | 10,302 (49.5) | 1253 (47.2) | 14,192 (59.9) |
| Stage | ||||||||
| In Situ | 23 (0.5) | 401 (0.7) | 19 (0.5) | 417 (0.6) | 4 (0.2) | 5 (0.1) | 2 (0.2) | 8 (0.1) |
| Localized | 1188 (24.9) | 18,183 (33.2) | 1010 (24.2) | 23,069 (34.0) | 374 (22.5) | 3174 (30.8) | 280 (22.3) | 4571 (32.2) |
| Regional | 2206 (46.2) | 22,580 (41.3) | 1787 (42.8) | 28,555 (42.1) | 734 (44.1) | 4565 (44.3) | 432 (34.5) | 6388 (45.0) |
| Distant | 1310 (27.4) | 12,093 (22.1) | 1308 (31.4) | 13,618 (20.1) | 525 (31.5) | 2437 (23.7) | 513 (40.9) | 3063 (21.6) |
| Unstaged | 53 (1.1) | 1450 (2.7) | 47 (1.1) | 2165 (3.2) | 28 (1.7) | 121 (1.2) | 26 (2.1) | 162 (1.1) |
| Incidence | 0.92 (0.90–0.95) | 34.0 (33.7–34.2) | 0.80 (0.78–0.82) | 30.8 (30.6–31.0) | 0.30 (0.29–0.32) | 5.93 (5.82–6.04) | 0.24 (0.22–0.25) | 6.06 (5.97–6.16) |
| Transverse | ||||||||
| N (%) | 1188 (5.3) | 11,318 (6.2) | 1062 (5.5) | 12,924 (7.6) | 275 (7.6) | 1522 (7.3) | 201 (7.6) | 2095 (8.8) |
| Stage | ||||||||
| In Situ | 2 (0.2) | 64 (0.6) | 6 (0.6) | 64 (0.5) | 0 (0.0) | 1 (0.1) | 0 (0.0) | 0 (0.0) |
| Localized | 285 (24.0) | 3750 (33.1) | 244 (23.0) | 4224 (32.7) | 59 (21.5) | 471 (30.9) | 41 (20.4) | 636 (30.4) |
| Regional | 588 (49.5) | 4983 (44.0) | 475 (44.7) | 5899 (45.6) | 134 (48.7) | 748 (49.1) | 98 (48.8) | 1041 (49.7) |
| Distant | 297 (25.0) | 2242 (19.8) | 327 (30.8) | 2360 (18.3) | 82 (29.8) | 291 (19.1) | 62 (30.8) | 394 (18.8) |
| Unstaged | 16 (1.3) | 279 (2.5) | 10 (0.9) | 10 (0.9) | 0 (0.0) | 11 (0.7) | 0 (0.0) | 24 (1.1) |
| Incidence | 0.24 (0.23–0.25) | 7.48 (7.36–7.60) | 0.21 (0.20–0.22) | 6.13 (6.03–6.22) | 0.052 (0.046–0.058) | 0.95 (0.91–1.00) | 0.035 (0.031–0.041) | 0.97 (0.93–1.01) |
| Left | ||||||||
| N (%) | 6760 (29.9) | 55,415 (30.5) | 7205 (37.0) | 47,252 (27.7) | 763 (21.2) | 4692 (22.5) | 653 (24.6) | 4318 (18.2) |
| Stage | ||||||||
| In Situ | 39 (0.6) | 453 (0.8) | 36 (0.5) | 325 (0.7) | 0 (0.0) | 3 (0.1) | 0 (0.0) | 2 (0.1) |
| Localized | 1437 (21.3) | 17,279 (31.2) | 1593 (22.1) | 14,719 (31.2) | 169 (22.1) | 1298 (27.7) | 118 (18.1) | 1207 (28.0) |
| Regional | 2922 (43.2) | 22,701 (41.0) | 3250 (45.1) | 20,191 (42.7) | 331 (43.4) | 2045 (43.6) | 293 (44.9) | 1942 (45.0) |
| Distant | 2262 (33.5) | 13,432 (24.2) | 2261 (31.4) | 10,464 (22.1) | 257 (33.7) | 1303 (27.8) | 233 (35.7) | 1108 (25.7) |
| Unstaged | 100 (1.5) | 1550 (2.8) | 65 (0.9) | 1553 (3.3) | 6 (0.8) | 43 (0.9) | 9 (1.4) | 59 (1.4) |
| Incidence | 1.33 (1.30–1.36) | 30.4 (30.2–30.6) | 1.41 (1.38–1.44) | 19.9 (19.7–20.0) | 0.14 (0.13–0.15) | 2.50 (2.43–2.57) | 0.11 (0.10–0.12) | 1.76 (1.71–1.82) |
| Rectal | ||||||||
| N (%) | 9851 (43.6) | 60,101 (33.1) | 7032 (36.1) | 42,289 (24.8) | 904 (25.1) | 4298 (20.6) | 550 (20.7) | 3093 (13.1) |
| Stage | ||||||||
| In Situ | 37 (0.4) | 374 (0.6) | 34 (0.5) | 285 (0.7) | 0 (0.0) | 0 (0.0) | 0 (0.0) | 4 (0.1) |
| Localized | 2353 (23.9) | 19,655 (32.7) | 1771 (25.2) | 13,907 (32.9) | 163 (18.0) | 1103 (25.7) | 84 (15.3) | 790 (25.5) |
| Regional | 4578 (46.5) | 25,075 (41.7) | 3383 (48.1) | 17,739 (41.9) | 525 (58.1) | 2266 (52.7) | 309 (56.2) | 1554 (50.2) |
| Distant | 2541 (25.8) | 12,023 (20.0) | 1649 (23.4) | 7759 (18.3) | 193 (21.3) | 795 (18.5) | 143 (26.0) | 642 (20.8) |
| Unstaged | 342 (3.5) | 2974 (4.9) | 195 (2.8) | 2599 (6.1) | 23 (2.5) | 134 (3.1) | 14 (2.5) | 103 (3.3) |
| Incidence | 1.94 (1.90–1.98) | 32.9 (32.7–33.2) | 1.39 (1.36–1.42) | 18.2 (18.1–18.4) | 0.16 (0.15–0.17) | 2.16 (2.09–2.22) | 0.10 (0.09–0.11) | 1.25 (1.21–1.30) |
| Colorectal Location | Mucinous vs. Adenocarcinoma (All Ages) | Mucinous vs. Adenocarcinoma (Age < 50) | Mucinous vs. Adenocarcinoma (Age ≥ 50) | |||
|---|---|---|---|---|---|---|
| HR (95% CI) | Univariate | Multivariable | Univariate | Multivariable | Univariate | Multivariable |
| All Sites | 1.04 (1.03–1.05) | 1.02 (1.01–1.04) | 1.13 (1.08–1.18) | 1.05 (1.00–1.09) | 1.03 (1.02–1.05) | 1.01 (0.99–1.03) |
| Transverse Colon | 1.03 (0.98–1.09) | 1.04 (0.98–1.10) | 1.16 (0.99–1.36) | 1.12 (0.95–1.32) | 1.02 (0.96–1.08) | 1.02 (0.96–1.09) |
| Right Colon | 0.94 (0.92–0.96) | 0.89 (0.87–0.91) | 0.97 (0.90–1.04) | 0.82 (0.76–0.88) | 0.94 (0.92–0.96) | 0.90 (0.88–0.92) |
| Appendix | 0.84 (0.77–0.93) | 0.64 (0.57–0.71) | 0.83 (0.68–1.01) | 0.58 (0.46–0.74) | 0.86 (0.77–0.96) | 0.65 (0.57–0.73) |
| Cecum | 0.92 (0.89–0.95) | 0.94 (0.91–0.97) | 0.97 (0.86–1.08) | 0.98 (0.87–1.10) | 0.91 (0.88–0.95) | 0.93 (0.90–0.97) |
| Ascending Colon | 0.95 (0.91–0.99) | 1.03 (0.99–1.08) | 1.07 (0.94–1.23) | 1.19 (1.04–1.37) | 0.94 (0.90–0.98) | 1.02 (0.98–1.06) |
| Hepatic Flexure | 0.91 (0.85–0.98) | 1.04 (0.96–1.12) | 0.72 (0.56–0.92) | 0.93 (0.72–1.20) | 0.94 (0.87–1.01) | 1.04 (0.96–1.12) |
| Left | 1.20 (1.16–1.23) | 1.16 (1.12–1.20) | 1.25 (1.15–1.36) | 1.26 (1.15–1.37) | 1.19 (1.15–1.23) | 1.13 (1.09–1.17) |
| Splenic Flexure | 1.04 (0.95–1.14) | 1.02 (0.94–1.12) | 1.00 (0.78–1.29) | 1.02 (0.78–1.32) | 1.05 (0.96–1.16) | 1.02 (0.92–1.12) |
| Descending Colon | 1.04 (0.96–1.12) | 1.08 (0.99–1.17) | 1.09 (0.91–1.32) | 1.25 (1.04–1.51) | 1.03 (0.95–1.13) | 1.04 (0.95–1.13) |
| Sigmoid Colon | 1.27 (1.22–1.32) | 1.21 (1.16–1.25) | 1.40 (1.26–1.55) | 1.31 (1.18–1.45) | 1.26 (1.20–1.31) | 1.18 (1.13–1.23) |
| Rectal | 1.23 (1.19–1.27) | 1.28 (1.24–1.32) | 1.32 (1.22–1.44) | 1.32 (1.22–1.44) | 1.22 (1.18–1.26) | 1.26 (1.22–1.31) |
| Rectosigmoid | 1.29 (1.21–1.36) | 1.24 (1.17–1.31) | 1.35 (1.16–1.56) | 1.11 (0.95–1.30) | 1.28 (1.20–1.36) | 1.25 (1.17–1.33) |
| Rectum | 1.21 (1.16–1.25) | 1.29 (1.24–1.34) | 1.32 (1.20–1.45) | 1.40 (1.27–1.54) | 1.19 (1.14–1.25) | 1.26 (1.21–1.32) |
Disclaimer/Publisher’s Note: The statements, opinions and data contained in all publications are solely those of the individual author(s) and contributor(s) and not of MDPI and/or the editor(s). MDPI and/or the editor(s) disclaim responsibility for any injury to people or property resulting from any ideas, methods, instructions or products referred to in the content. |
© 2023 by the authors. Licensee MDPI, Basel, Switzerland. This article is an open access article distributed under the terms and conditions of the Creative Commons Attribution (CC BY) license (https://creativecommons.org/licenses/by/4.0/).
Share and Cite
Benesch, M.G.K.; Nelson, E.D.; O’Brien, S.B.L. Location Has Prognostic Impact on the Outcome of Colorectal Mucinous Adenocarcinomas. Cancers 2024, 16, 147. https://doi.org/10.3390/cancers16010147
Benesch MGK, Nelson ED, O’Brien SBL. Location Has Prognostic Impact on the Outcome of Colorectal Mucinous Adenocarcinomas. Cancers. 2024; 16(1):147. https://doi.org/10.3390/cancers16010147
Chicago/Turabian StyleBenesch, Matthew G. K., Erek D. Nelson, and Shalana B. L. O’Brien. 2024. "Location Has Prognostic Impact on the Outcome of Colorectal Mucinous Adenocarcinomas" Cancers 16, no. 1: 147. https://doi.org/10.3390/cancers16010147
APA StyleBenesch, M. G. K., Nelson, E. D., & O’Brien, S. B. L. (2024). Location Has Prognostic Impact on the Outcome of Colorectal Mucinous Adenocarcinomas. Cancers, 16(1), 147. https://doi.org/10.3390/cancers16010147

