Diffusion-Weighted MRI as a Quantitative Imaging Biomarker in Colon Tumors
Abstract
Simple Summary
Abstract
1. Introduction
2. Materials and Methods
2.1. Patients
2.2. Imaging
2.3. Endpoint
2.4. Statistics
2.5. Ethics
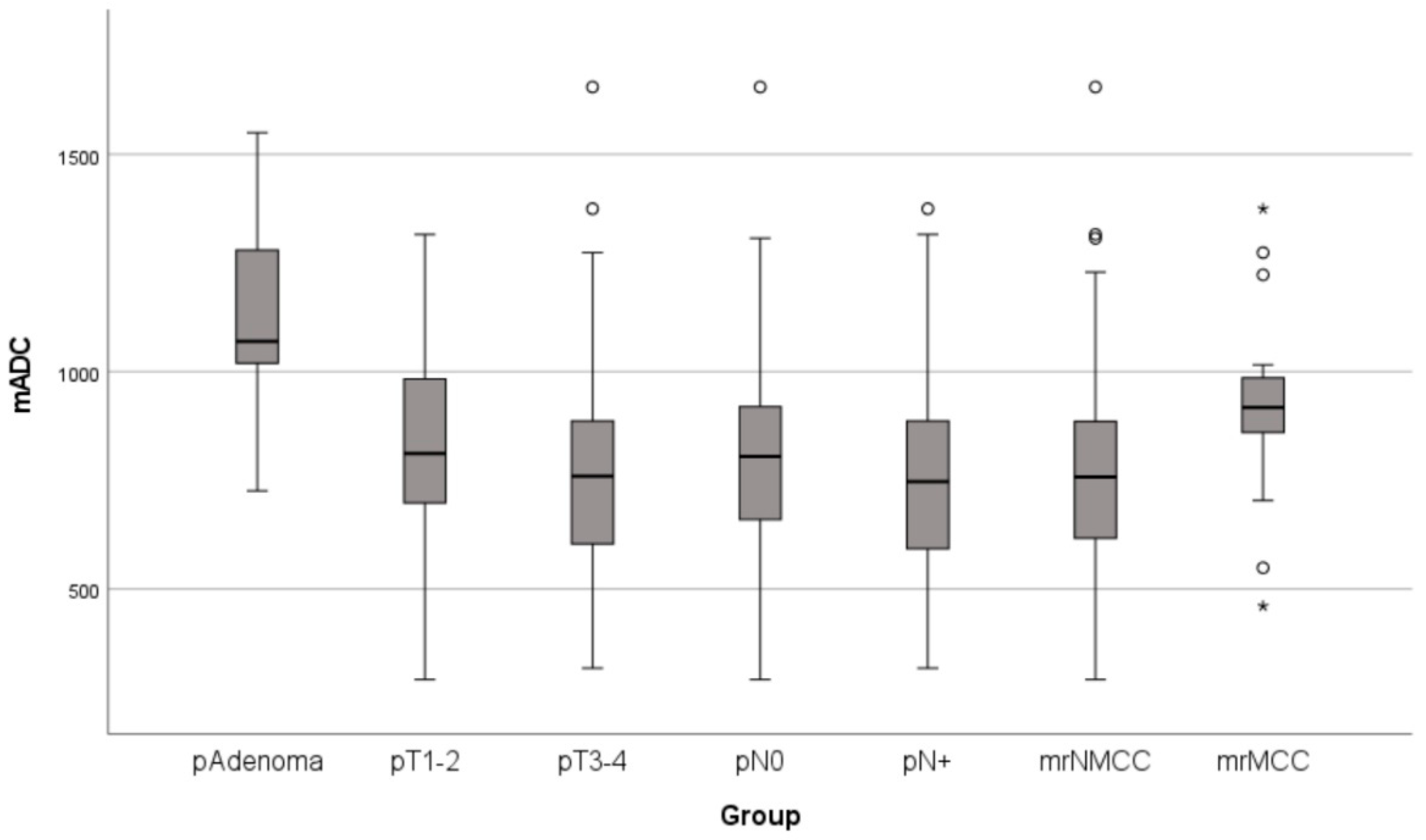
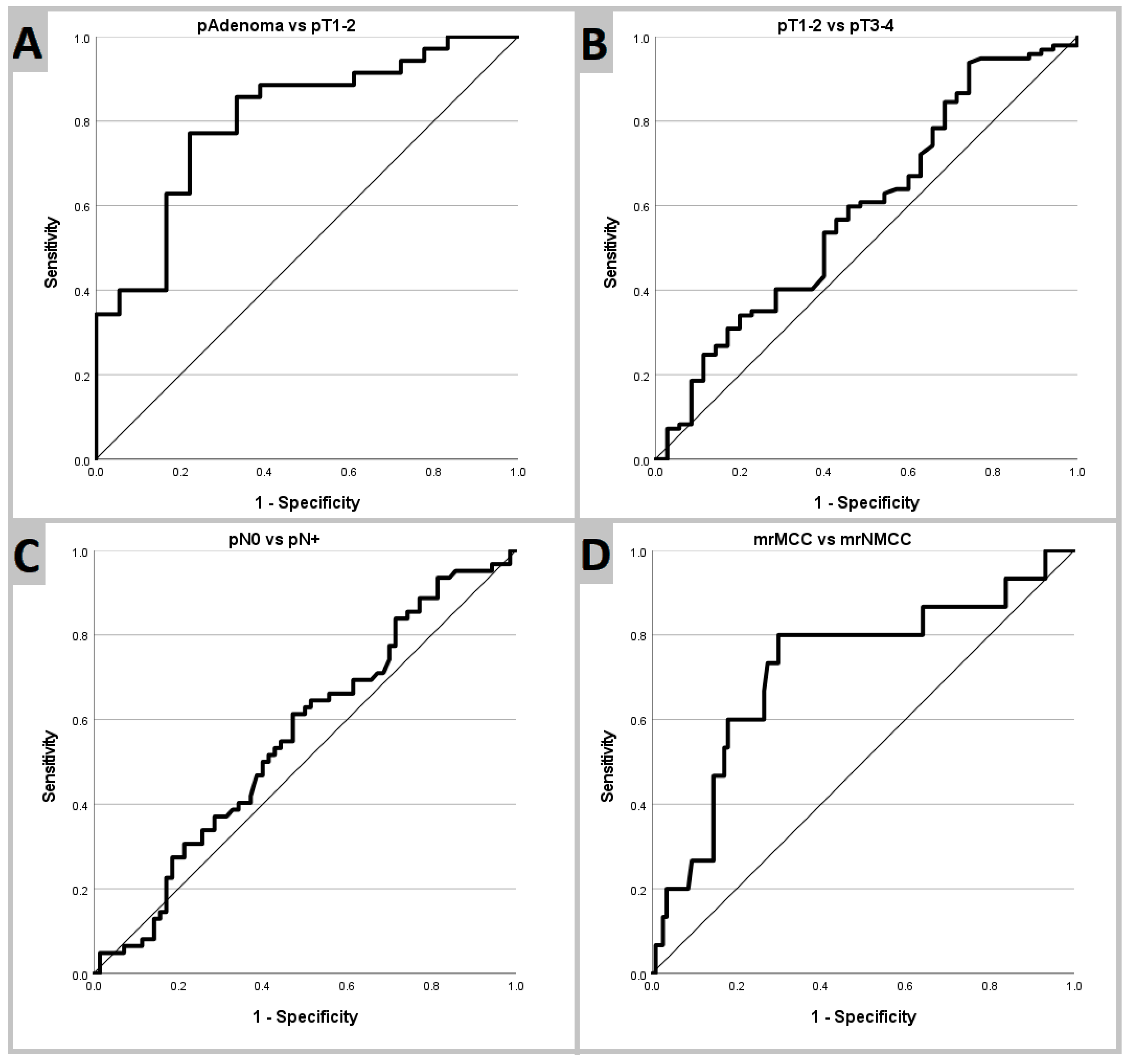
3. Results
4. Discussion
Limitations
5. Conclusions
Author Contributions
Funding
Institutional Review Board Statement
Informed Consent Statement
Data Availability Statement
Acknowledgments
Conflicts of Interest
References
- Tamandl, D.; Mang, T.; Ba-Ssalamah, A. Imaging of colorectal cancer—The clue to individualized treatment. Innov. Surg. Sci. 2018, 3, 3–15. [Google Scholar] [CrossRef] [PubMed]
- Nerad, E.; Lambregts, D.M.J.; Kersten, E.L.J.; Maas, M.; Bakers, F.C.H.; Bosch, H.C.M.v.D.; Grabsch, H.I.; Beets-Tan, R.G.H.; Lahaye, M.J. MRI for local staging of colon cancer: Can MRI become the optimal staging modality for patients with colon cancer? Dis. Colon Rectum 2017, 60, 385–392. [Google Scholar] [CrossRef] [PubMed]
- Rafaelsen, S.R.; Dam, C.; Vagn-Hansen, C.; Møller, J.; Rahr, H.B.; Sjöström, M.; Lindebjerg, J.; Hansen, T.F.; Pedersen, M.R.V. CT and 3 tesla MRI in the TN staging of colon cancer: A prospective, blind study. Curr. Oncol. 2022, 29, 1069–1079. [Google Scholar] [CrossRef] [PubMed]
- Chang, K.J.; Kim, D.H.; Lalani, T.K.; Paroder, V.; Pickhardt, P.J.; Shaish, H.; Bates, D.D.B. Radiologic T staging of colon cancer: Renewed interest for clinical practice. Abdom. Imaging 2023, 48, 2874–2887. [Google Scholar] [CrossRef] [PubMed]
- Beets-Tan, R.G.H.; Lambregts, D.M.J.; Maas, M.; Bipat, S.; Barbaro, B.; Curvo-Semedo, L.; Fenlon, H.M.; Gollub, M.J.; Gourtsoyianni, S.; Halligan, S.; et al. Magnetic resonance imaging for clinical management of rectal cancer: Updated recommendations from the 2016 European Society of Gastrointestinal and Abdominal Radiology (ESGAR) consensus meeting. Eur. Radiol. 2017, 28, 1465–1475. [Google Scholar] [CrossRef]
- Seymour, M.T.; Morton, D. FOxTROT: An international randomised controlled trial in 1052 patients (pts) evaluating neoadjuvant chemotherapy (NAC) for colon cancer. J. Clin. Oncol. 2019, 37, 3504. [Google Scholar] [CrossRef]
- Body, A.; Prenen, H.; Latham, S.; Lam, M.; Tipping-Smith, S.; Raghunath, A.; Segelov, E. The role of neoadjuvant chemotherapy in locally advanced colon cancer. Cancer Manag. Res. 2021, 13, 2567–2579. [Google Scholar] [CrossRef]
- Yue, Y.; Cheng, M.; Xi, X.; Wang, Q.; Wei, M.; Zheng, B. Can neoadjuvant chemoradiotheraphy with immunotherapy benefit patients with microsatellite stable locally advanced rectal cancer? A pooled and integration analysis. Front. Oncol. 2023, 13, 1280885. [Google Scholar] [CrossRef]
- Peery, A.F.; Cools, K.S.; Strassle, P.D.; McGill, S.K.; Crockett, S.D.; Barker, A.; Koruda, M.; Grimm, I.S. Increasing rates of surgery for patients with nonmalignant colorectal polyps in the United States. Gastroenterology 2018, 154, 1352–1360.e3. [Google Scholar] [CrossRef]
- Cubiella, J.; González, A.; Almazán, R.; Rodríguez-Camacho, E.; Zubizarreta, R.; Lorenzo, I.P.-R. Overtreatment in nonmalignant lesions detected in a colorectal cancer screening program: A retrospective cohort study. BMC Cancer 2021, 21, 869. [Google Scholar] [CrossRef]
- Dattani, M.; Crane, S.; Battersby, N.J.; Di Fabio, F.; Saunders, B.P.; Dolwani, S.; Rutter, M.D.; Moran, B.J.; the SPECC Study Group. Variations in the management of significant polyps and early colorectal cancer: Results from a multicentre observational study of 383 patients. Color. Dis. 2018, 20, 1088–1096. [Google Scholar] [CrossRef]
- Baliyan, V.; Das, C.J.; Sharma, R.; Gupta, A.K. Diffusion weighted imaging: Technique and applications. World J. Radiol. 2016, 8, 785–798. [Google Scholar] [CrossRef]
- Park, M.Y.; Byun, J.Y. Understanding the Mathematics Involved in Calculating Apparent Diffusion Coefficient Maps. Am. J. Roentgenol. 2012, 199, W784. [Google Scholar] [CrossRef]
- García-Figueiras, R.; Baleato-González, S.; Padhani, A.R.; Luna-Alcalá, A.; Marhuenda, A.; Vilanova, J.C.; Osorio-Vázquez, I.; Martínez-De-Alegría, A.; Gomez-Caamaño, A. Advanced imaging techniques in evaluation of colorectal cancer. RadioGraphics 2018, 38, 740–765. [Google Scholar] [CrossRef]
- Sabry, M.S.; Rady, A.E.E.; Niazi, G.E.M.; Ali, S.A. Role of diffusion-weighted MRI in diagnosis and post therapeutic follow-up of colorectal cancer. Egypt. J. Radiol. Nucl. Med. 2021, 52, 180. [Google Scholar] [CrossRef]
- Schurink, N.W.; Lambregts, D.M.; Beets-Tan, R.G. Diffusion-weighted imaging in rectal cancer: Current applications and future perspectives. Br. J. Radiol. 2019, 92, 20180655. [Google Scholar] [CrossRef]
- Grosu, S.; Schäfer, A.-O.; Baumann, T.; Manegold, P.; Langer, M.; Gerstmair, A. Differentiating locally recurrent rectal cancer from scar tissue: Value of diffusion-weighted MRI. Eur. J. Radiol. 2016, 85, 1265–1270. [Google Scholar] [CrossRef]
- Tomizawa, M.; Shinozaki, F.; Fugo, K.; Tanaka, S.; Sunaoshi, T.; Kano, D.; Sugiyama, E.; Shite, M.; Haga, R.; Fukamizu, Y.; et al. Diffusion-weighted whole-body imaging with background body signal suppression/T2 image fusion for the diagnosis of colorectal polyp and cancer. Exp. Ther. Med. 2017, 13, 3509–3515. [Google Scholar] [CrossRef][Green Version]
- Kang, K.A.; Kim, Y.K.; Kim, E.; Jeong, W.K.; Choi, D.; Lee, W.J.; Jung, S.-H.; Baek, S.-Y. T2-Weighted Liver MRI Using the MultiVane Technique at 3T: Comparison with Conventional T2-Weighted MRI. Korean J. Radiol. 2015, 16, 1038–1046. [Google Scholar] [CrossRef]
- Amin, M.B.; Edge, S.B.; Greene, F.L.; Byrd, D.R.; Brookland, R.K.; Washington, M.K.; Gershenwald, J.E.; Compton, C.C.; Hess, K.R.; Sullivan, D.C.; et al. AJCC Cancer Staging Manual; Springer International Publishing: Cham, Switzerland, 2017. [Google Scholar] [CrossRef]
- Loft, M.K.; Pedersen, M.R.V.; Lindebjerg, J.; Rahr, H.B.; Rafaelsen, S.R. Endorectal ultrasound shear-wave elastography of complex rectal adenoma and early rectal cancer. Diagnostics 2022, 12, 2166. [Google Scholar] [CrossRef]
- Li, P.; Song, G.; Wu, R.; Li, H.; Zhang, R.; Zuo, P.; Li, A. Multiparametric MRI-based machine learning models for preoperatively predicting rectal adenoma with canceration. Magn. Reson. Mater. Phys. Biol. Med. 2021, 34, 707–716. [Google Scholar] [CrossRef]
- Jia, Y.; Song, G.; Wu, R.; Hong, Y.; Dou, W.; Li, A. Intravoxel incoherent motion DWI with different mathematical models in predicting rectal adenoma with and without canceration. Eur. J. Radiol. 2022, 155, 110496. [Google Scholar] [CrossRef]
- Arponent, O.; Sudah, M.; Masarwah, A.; Taina, M.; Rautiainen, S.; Könönen, M.; Sironen, R.; Kosma, V.-M.; Sutela, A.; Hakumäki, J.; et al. Diffusion-Weighted imaging in 3.0 Tesla breast MRI: Diagnostic performance and tumor charac-terization using small subregions vs. whole tumor regions of interest. PLoS ONE 2015, 10, e0138702. [Google Scholar] [CrossRef]
- Nerad, E.; Pizzi, A.D.; Lambregts, D.M.J.; Maas, M.; Wadhwani, S.; Bakers, F.C.H.; Bosch, H.C.M.v.D.; Beets-Tan, R.G.H.; Lahaye, M.J. The Apparent Diffusion Coefficient (ADC) is a useful biomarker in predicting metastatic colon cancer using the ADC-value of the primary tumor. PLoS ONE 2019, 14, e0211830. [Google Scholar] [CrossRef]
- Er, H.Ç.; Erden, A. Mean ADC values discriminate rectal mucinous carcinomafrom rectal nonmucinous adenocarcinoma. Turk. J. Med. Sci. 2017, 47, 1520–1525. [Google Scholar] [CrossRef]
- Grimm, P.; Loft, M.K.; Dam, C.; Pedersen, M.R.V.; Timm, S.; Rafaelsen, S.R. Intra- and Interobserver Variability in Magnetic Resonance Imaging Measurements in Rectal Cancer Patients. Cancers 2021, 13, 5120. [Google Scholar] [CrossRef]
- Chlorogiannis, D.D.; Verras, G.-I.; Tzelepi, V.; Chlorogiannis, A.; Apostolos, A.; Kotis, K.; Anagnostopoulos, C.-N.; Antzoulas, A.; Vailas, M.; Schizas, D.; et al. Tissue classification and diagnosis of colorectal cancer histopathology images using deep learning algorithms. Is the time ripe for clinical practice implementation? Gastroenterol. Rev. 2023, 18, 353–367. [Google Scholar] [CrossRef]
- Bousis, D.; Verras, G.-I.; Bouchagier, K.; Antzoulas, A.; Panagiotopoulos, I.; Katinioti, A.; Kehagias, D.; Kaplanis, C.; Kotis, K.; Anagnostopoulos, C.-N.; et al. The role of deep learning id diagnosing colon cancer. Gastroenterol. Rev. 2023, 18, 266–273. [Google Scholar] [CrossRef]





| Voxel Size (mm) | Field of View (mm) | Matrix | NEX | TE/TR (ms) | Scan Time (min:s) | |
|---|---|---|---|---|---|---|
| T2 Coronal | 1.2 × 1.2 × 5 | 440 × 440 × 221 | 368 × 368 | 1 | 132/2725 | 2:30 |
| T2 Sagittal | 1.2 × 1.2 × 6 | 440 × 440 × 221 | 368 × 368 | 1 | 132/2725 | 1:50 |
| DWI (b0-b800) | 3 × 3 × 5 | 450 × 359 × 179 | 152 × 117 | 1 | 80/1658 | 2:30 |
| T2 Angulated | 0.8 × 0.8 × 3 | 325 × 325 × 104 | 408 × 408 | 1 | 120/4564 | 2:53 |
| DWI (b0-b1000) Angulated | 2.6 × 2.6 × 4 | 190 × 116 × 104 | 72 × 48 | 1 | 86/4640 | 2:50 |
| Tumor Location & Characteristics | Coecum | Ascendens | Transversum | Descendens | Sigmoid | Total | Mean mADC [SD] | Mean Tumor Size in cm [Range] |
|---|---|---|---|---|---|---|---|---|
| pAdenoma | 4 | 3 | 4 | 2 | 5 | 18 | 1110 [243] | 3.3 [1.4–10.0] |
| pT1–pT2 | 5 | 7 | 4 | 3 | 16 | 35 | 828 [243] | 2.1 [0.8–5.5] |
| pT3–pT4 | 16 | 32 | 10 | 10 | 29 | 97 | 763 [218] | 5.1 [0.6–19.0] |
| pN0 | 11 | 18 | 10 | 7 | 24 | 70 | 801 [236] | 4.0 [0.8–19.0] |
| pN+ | 10 | 21 | 4 | 6 | 21 | 62 | 757 [206] | 4.2 [0.6–18.0] |
| mrNMCC | 16 | 33 | 13 | 13 | 42 | 117 | 762 [214] | 3.9 [0.6–18] |
| mrMCC | 5 | 6 | 1 | 0 | 3 | 15 | 925 [245] | 5.6 [3.5–19] |
| n | Mean mADC [SD] (10−6 mm2/s) | Mean Difference [95% CI] * (10−6 mm2/s) | p Value * | |
|---|---|---|---|---|
| mrNMCC | 117 | 762 [214] | ||
| mrMCC | 15 | 925 [245] | 163 [46–282] | 0.007 |
| pAdenoma | 18 | 1110 [243] | 185 [10–358] | 0.039 |
| pT1–pT2 | 35 | 828 [232] | −282 [−419–−144] | <0.001 |
| pT3–pT4 | 97 | 763 [218] | −65 [−151–22] | 0.142 |
| pN0 | 70 | 801 [236] | ||
| pN+ | 62 | 757 [206] | −44 [−121–33] | 0.261 |
| AUC [95% CI] | Optimal mADC Cutoff (10−6 mm2/s) | Sensitivity | Specificity | Accuracy | |
|---|---|---|---|---|---|
| pAdenoma vs. pT1–pT2 | 0.80 [0.68–0.93] | 1018 | 77% | 78% | 77% |
| pT1–pT2 vs. pT3–pT4 | 0.59 [0.47–0.70] | 811 | 61% | 51% | 58% |
| pN0 vs. pN+ | 0.56 [0.46–0.66] | 802 | 61% | 53% | 57% |
| mrNMCC vs. mrMCC | 0.72 [0.57–0.87] | 836 | 80% | 70% | 71% |
Disclaimer/Publisher’s Note: The statements, opinions and data contained in all publications are solely those of the individual author(s) and contributor(s) and not of MDPI and/or the editor(s). MDPI and/or the editor(s) disclaim responsibility for any injury to people or property resulting from any ideas, methods, instructions or products referred to in the content. |
© 2023 by the authors. Licensee MDPI, Basel, Switzerland. This article is an open access article distributed under the terms and conditions of the Creative Commons Attribution (CC BY) license (https://creativecommons.org/licenses/by/4.0/).
Share and Cite
Otto, P.O.; Loft, M.K.; Rafaelsen, S.R.; Pedersen, M.R.V. Diffusion-Weighted MRI as a Quantitative Imaging Biomarker in Colon Tumors. Cancers 2024, 16, 144. https://doi.org/10.3390/cancers16010144
Otto PO, Loft MK, Rafaelsen SR, Pedersen MRV. Diffusion-Weighted MRI as a Quantitative Imaging Biomarker in Colon Tumors. Cancers. 2024; 16(1):144. https://doi.org/10.3390/cancers16010144
Chicago/Turabian StyleOtto, Peter Obel, Martina Kastrup Loft, Søren Rafael Rafaelsen, and Malene Roland Vils Pedersen. 2024. "Diffusion-Weighted MRI as a Quantitative Imaging Biomarker in Colon Tumors" Cancers 16, no. 1: 144. https://doi.org/10.3390/cancers16010144
APA StyleOtto, P. O., Loft, M. K., Rafaelsen, S. R., & Pedersen, M. R. V. (2024). Diffusion-Weighted MRI as a Quantitative Imaging Biomarker in Colon Tumors. Cancers, 16(1), 144. https://doi.org/10.3390/cancers16010144

