Rising Trend in the Prevalence of HPV-Driven Oropharyngeal Squamous Cell Carcinoma during 2000–2022 in Northeastern Italy: Implication for Using p16INK4a as a Surrogate Marker for HPV-Driven Carcinogenesis
Abstract
Simple Summary
Abstract
1. Introduction
2. Materials and Methods
2.1. Study Population
2.2. HPV-DNA Testing
2.3. p16INK4a Immunostaining
2.4. Statistical Analyses
3. Results
4. Discussion
5. Conclusions
Author Contributions
Funding
Institutional Review Board Statement
Informed Consent Statement
Data Availability Statement
Conflicts of Interest
References
- de Martel, C.; Plummer, M.; Vignat, J.; Franceschi, S. Worldwide Burden of Cancer Attributable to HPV by Site, Country and HPV Type. Int. J. Cancer 2017, 141, 664–670. [Google Scholar] [CrossRef] [PubMed]
- Rietbergen, M.M.; Leemans, C.R.; Bloemena, E.; Heideman, D.A.; Braakhuis, B.J.; Hesselink, A.T.; Witte, B.I.; de Jong, R.J.B.; Meijer, C.J.; Snijders, P.J.; et al. Increasing Prevalence Rates of HPV Attributable Oropharyngeal Squamous Cell Carcinomas in the Netherlands as Assessed by a Validated Test Algorithm. Int. J. Cancer. 2013, 132, 1565–1571. [Google Scholar]
- Lohavanichbutr, P.; Houck, J.; Fan, W.; Yueh, B.; Mendez, E.; Futran, N.; Doody, D.R.; Upton, M.P.; Farwell, D.G.; Schwartz, S.M.; et al. Genomewide Gene Expression Profiles of HPV-Positive and HPV-Negative Oropharyngeal Cancer: Potential Implications for Treatment Choices. Arch. Otolaryngol. Neck Surg. 2009, 135, 180–188. [Google Scholar] [CrossRef] [PubMed]
- Tosi, A.; Parisatto, B.; Menegaldo, A.; Spinato, G.; Guido, M.; Del Mistro, A.; Bussani, R.; Zanconati, F.; Tofanelli, M.; Tirelli, G.; et al. The Immune Microenvironment of HPV-Positive and HPV-Negative Oropharyngeal Squamous Cell Carcinoma: A Multiparametric Quantitative and Spatial Analysis Unveils a Rationale to Target Treatment-Naïve Tumors with Immune Checkpoint Inhibitors. J. Exp. Clin. Cancer Res. CR 2022, 41, 279. [Google Scholar] [CrossRef] [PubMed]
- Zhang, M.; Hong, A.M. The Human Papillomavirus Confers Radiosensitivity in Oropharyngeal Cancer Cells by Enhancing DNA Double Strand Break. Oncotarget 2020, 11, 1417–1426. [Google Scholar] [CrossRef] [PubMed]
- Antonioli, M.; Pagni, B.; Vescovo, T.; Ellis, R.; Cosway, B.; Rollo, F.; Bordoni, V.; Agrati, C.; Labus, M.; Covello, R.; et al. HPV Sensitizes OPSCC Cells to Cisplatin-Induced Apoptosis by Inhibiting Autophagy through E7-Mediated Degradation of AMBRA1. Autophagy 2021, 17, 2842–2855. [Google Scholar] [CrossRef]
- Licitra, L.; Perrone, F.; Bossi, P.; Suardi, S.; Mariani, L.; Artusi, R.; Oggionni, M.; Rossini, C.; Cantù, G.; Squadrelli, M.; et al. High-Risk Human Papillomavirus Affects Prognosis in Patients with Surgically Treated Oropharyngeal Squamous Cell Carcinoma. J. Clin. Oncol. 2006, 24, 5630–5636. [Google Scholar] [CrossRef] [PubMed]
- Ang, K.K.; Harris, J.; Wheeler, R.; Weber, R.; Rosenthal, D.I.; Nguyen-Tan, P.F.; Westra, W.H.; Chung, C.H.; Jordan, R.C.; Lu, C.; et al. Human Papillomavirus and Survival of Patients with Oropharyngeal Cancer. N. Engl. J. Med. 2010, 363, 24–35. [Google Scholar] [CrossRef]
- Garset-Zamani, M.; Carlander, A.F.; Jakobsen, K.K.; Friborg, J.; Kiss, K.; Marvig, R.L.; Olsen, C.; Nielsen, F.C.; Andersen, E.; Grønhøj, C.; et al. Impact of Specific High-Risk Human Papillomavirus Genotypes on Survival in Oropharyngeal Cancer. Int. J. Cancer 2022, 150, 1174–1183. [Google Scholar] [CrossRef] [PubMed]
- Holzinger, D.; Schmitt, M.; Dyckhoff, G.; Benner, A.; Pawlita, M.; Bosch, F.X. Viral RNA Patterns and High Viral Load Reliably Define Oropharynx Carcinomas with Active HPV16 Involvement. Cancer Res. 2012, 72, 4993–5003. [Google Scholar] [CrossRef]
- Boscolo-Rizzo, P.; Pawlita, M.; Holzinger, D. From HPV-Positive towards HPV-Driven Oropharyngeal Squamous Cell Carcinomas. Cancer Treat. Rev. 2016, 42, 24–29. [Google Scholar] [CrossRef] [PubMed]
- Huang, S.H.; O’Sullivan, B. Overview of the 8th Edition TNM Classification for Head and Neck Cancer. Curr. Treat. Options Oncol. 2017, 18, 40. [Google Scholar] [CrossRef] [PubMed]
- Strohl, M.P.; Wai, K.C.; Ha, P.K. De-Intensification Strategies in HPV-Related Oropharyngeal Squamous Cell Carcinoma-a Narrative Review. Ann. Transl. Med. 2020, 8, 1601. [Google Scholar] [CrossRef] [PubMed]
- Prigge, E.-S.; Arbyn, M.; von Knebel Doeberitz, M.; Reuschenbach, M. Diagnostic Accuracy of P16INK4a Immunohistochemistry in Oropharyngeal Squamous Cell Carcinomas: A Systematic Review and Meta-Analysis. Int. J. Cancer 2017, 140, 1186–1198. [Google Scholar] [CrossRef] [PubMed]
- EpiCentro Abitudine al Fumo Dati Sorveglianza Passi. Available online: https://www.epicentro.iss.it/passi/dati/fumo (accessed on 12 January 2023).
- EpiCentro Consumo di Alcol—Dati di Popolazione Adulta. Available online: https://www.epicentro.iss.it/passi/dati/alcol (accessed on 12 January 2023).
- Del Mistro, A.; Frayle, H.; Menegaldo, A.; Favaretto, N.; Gori, S.; Nicolai, P.; Spinato, G.; Romeo, S.; Tirelli, G.; da Mosto, M.C.; et al. Age-Independent Increasing Prevalence of Human Papillomavirus-Driven Oropharyngeal Carcinomas in North-East Italy. Sci. Rep. 2020, 10, 9320. [Google Scholar] [CrossRef]
- Nobre, R.J.; De Almeida, L.P.; Martins, T.C. Complete Genotyping of Mucosal Human Papillomavirus Using a Restriction Fragment Length Polymorphism Analysis and an Original Typing Algorithm. J. Clin. Virol. 2008, 42, 13–21. [Google Scholar] [CrossRef] [PubMed]
- Altman, D.G.; Bland, J.M. Diagnostic Tests 2: Predictive Values. BMJ 1994, 309, 102. [Google Scholar] [CrossRef]
- Kim, S.-H.; Koo, B.-S.; Kang, S.; Park, K.; Kim, H.; Lee, K.R.; Lee, M.J.; Kim, J.M.; Choi, E.C.; Cho, N.H. HPV Integration Begins in the Tonsillar Crypt and Leads to the Alteration of P16, EGFR and c-Myc during Tumor Formation. Int. J. Cancer 2007, 120, 1418–1425. [Google Scholar] [CrossRef]
- Castellsagué, X.; Alemany, L.; Quer, M.; Halec, G.; Quirós, B.; Tous, S.; Clavero, O.; Alòs, L.; Biegner, T.; Szafarowski, T.; et al. HPV Involvement in Head and Neck Cancers: Comprehensive Assessment of Biomarkers in 3680 Patients. J. Natl. Cancer Inst. 2016, 108, djv403. [Google Scholar] [CrossRef]
- Chaturvedi, A.K.; Engels, E.A.; Pfeiffer, R.M.; Hernandez, B.Y.; Xiao, W.; Kim, E.; Jiang, B.; Goodman, M.T.; Sibug-Saber, M.; Cozen, W.; et al. Human Papillomavirus and Rising Oropharyngeal Cancer Incidence in the United States. J. Clin. Oncol. 2011, 29, 4294–4301. [Google Scholar] [CrossRef]
- Bosetti, C.; Traini, E.; Alam, T.; Allen, C.A.; Carreras, G.; Compton, K.; Fitzmaurice, C.; Force, L.M.; Gallus, S.; Gorini, G.; et al. National burden of cancer in Italy, 1990–2017: A systematic analysis for the global burden of disease study 2017. Sci. Rep. 2020, 10, 22099. [Google Scholar] [CrossRef] [PubMed]
- Crotty, T.J.; Keane, E.; Cousins, G.; Brennan, S.; Kinsella, J.; Moran, T. Sexual Behaviour and Human Papillomavirus-Positive Oral Cavity and Oropharyngeal Cancer: An Irish Perspective. Cureus 2020, 12, e11410. [Google Scholar] [CrossRef]
- Zambelli, E.; Mainardi, A.; Hajek, A. Sexuality and power in contemporary Italy: Subjectivities between gender norms, agency and social transformation. Mod. Italy 2018, 23, 129–138. [Google Scholar] [CrossRef]
- Liu, G.; Hariri, S.; Bradley, H.; Gottlieb, S.L.; Leichliter, J.S.; Markowitz, L.E. Trends and patterns of sexual behaviors among adolescents and adults aged 14 to 59 years, United States. Sex. Transm. Dis. 2015, 42, 20–26. [Google Scholar] [CrossRef] [PubMed]
- Boscolo-Rizzo, P.; Zorzi, M.; Del Mistro, A.; Da Mosto, M.C.; Tirelli, G.; Buzzoni, C.; Rugge, M.; Polesel, J.; Guzzinati, S. AIRTUM Working Group The Evolution of the Epidemiological Landscape of Head and Neck Cancer in Italy: Is There Evidence for an Increase in the Incidence of Potentially HPV-Related Carcinomas? PLoS ONE 2018, 13, e0192621. [Google Scholar] [CrossRef] [PubMed]
- Bosetti, C.; Carioli, G.; Santucci, C.; Bertuccio, P.; Gallus, S.; Garavello, W.; Negri, E.; La Vecchia, C. Global Trends in Oral and Pharyngeal Cancer Incidence and Mortality. Int. J. Cancer 2020, 147, 1040–1049. [Google Scholar] [CrossRef]
- Gorphe, P.; Blanchard, P.; Garcia, G.C.T.E.; Classe, M.; Even, C.; Temam, S.; Breuskin, I. 2011–2021 Rising Prevalence of HPV Infection among Oropharyngeal Carcinoma in France. BMC Cancer 2022, 22, 1000. [Google Scholar] [CrossRef] [PubMed]
- Wang, C.-P.; Chen, T.-C.; Hsu, W.-L.; Hsiao, J.-R.; Chen, P.-R.; Chen, M.-K.; Hua, C.-H.; Tsai, M.-H.; Ko, J.-Y.; Lou, P.-J.; et al. Rising Incidence of HPV Positive Oropharyngeal Cancer in Taiwan between 1999 and 2014 Where Betel Nut Chewing Is Common. BMC Cancer 2022, 22, 296. [Google Scholar] [CrossRef]
- Argirion, I.; Zarins, K.R.; McHugh, J.; Cantley, R.L.; Teeramatwanich, W.; Laohasiriwong, S.; Kasemsiri, P.; Naruikon, J.; Srimanta, P.; Chinn, S.B.; et al. Increasing Prevalence of HPV in Oropharyngeal Carcinoma Suggests Adaptation of P16 Screening in Southeast Asia. J. Clin. Virol. 2020, 132, 104637. [Google Scholar] [CrossRef]
- Donà, M.G.; Rollo, F.; Pichi, B.; Spriano, G.; Moretto, S.; Covello, R.; Pellini, R.; Benevolo, M. Evolving Profile of HPV-Driven Oropharyngeal Squamous Cell Carcinoma in a National Cancer Institute in Italy: A 10-Year Retrospective Study. Microorganisms 2020, 8, 1498. [Google Scholar] [CrossRef]
- Zamani, M.; Grønhøj, C.; Jensen, D.H.; Carlander, A.F.; Agander, T.; Kiss, K.; Olsen, C.; Baandrup, L.; Nielsen, F.C.; Andersen, E.; et al. The Current Epidemic of HPV-Associated Oropharyngeal Cancer: An 18-Year Danish Population-Based Study with 2,169 Patients. Eur. J. Cancer Oxf. Engl. 2020, 134, 52–59. [Google Scholar] [CrossRef] [PubMed]
- Haeggblom, L.; Attoff, T.; Yu, J.; Holzhauser, S.; Vlastos, A.; Mirzae, L.; Ährlund-Richter, A.; Munck-Wikland, E.; Marklund, L.; Hammarstedt-Nordenvall, L.; et al. Changes in Incidence and Prevalence of Human Papillomavirus in Tonsillar and Base of Tongue Cancer during 2000-2016 in the Stockholm Region and Sweden. Head Neck 2019, 41, 1583–1590. [Google Scholar] [CrossRef] [PubMed]
- Rubió-Casadevall, J.; Ciurana, E.; Puigdemont, M.; Sanvisens, A.; Marruecos, J.; Miró, J.; Urban, A.; Palhua, R.-L.; Martín-Romero, F.; Ortiz-Duran, M.R.; et al. Population-Based Analysis of Trends in Incidence and Survival of Human Papilloma Virus-Related Oropharyngeal Cancer in a Low-Burden Region of Southern Europe. Int. J. Environ. Res. Public. Health 2022, 19, 4802. [Google Scholar] [CrossRef] [PubMed]
- Chaturvedi, A.K.; Graubard, B.I.; Broutian, T.; Pickard, R.K.L.; Tong, Z.-Y.; Xiao, W.; Kahle, L.; Gillison, M.L. NHANES 2009-2012 Findings: Association of Sexual Behaviors with Higher Prevalence of Oral Oncogenic Human Papillomavirus Infections in U.S. Men. Cancer Res. 2015, 75, 2468–2477. [Google Scholar] [CrossRef]
- Bussu, F.; Muresu, N.; Crescio, C.; Gallus, R.; Rizzo, D.; Cossu, A.; Sechi, I.; Fedeli, M.; Cossu, A.; Delogu, G.; et al. Low Prevalence of HPV Related Oropharyngeal Carcinogenesis in Northern Sardinia. Cancers 2022, 14, 4205. [Google Scholar] [CrossRef]
- Reyes-Hernández, D.O.; Morán-Torres, A.; Jimenez-Lima, R.; Cano-Valdez, A.M.; Cortés-González, C.C.; Castro-Muñoz, L.J.; Olmedo-Nieva, L.; Maldonado-Frías, S.; Pazos-Salazar, N.G.; de Jesús Marín-Aquíno, J.; et al. HPV Prevalence and Predictive Biomarkers for Oropharyngeal Squamous Cell Carcinoma in Mexican Patients. Pathogens 2022, 11, 1527. [Google Scholar] [CrossRef]
- Tagliabue, M.; Mena, M.; Maffini, F.; Gheit, T.; Quirós Blasco, B.; Holzinger, D.; Tous, S.; Scelsi, D.; Riva, D.; Grosso, E.; et al. Role of Human Papillomavirus Infection in Head and Neck Cancer in Italy: The HPV-AHEAD Study. Cancers 2020, 12, 3567. [Google Scholar] [CrossRef]
- Cook, R.L.; Thompson, E.L.; Kelso, N.E.; Friary, J.; Hosford, J.; Barkley, P.; Dodd, V.J.; Abrahamsen, M.; Ajinkya, S.; Obesso, P.D.; et al. Sexual Behaviors and Other Risk Factors for Oral Human Papillomavirus Infections in Young Women. Sex. Transm. Dis. 2014, 41, 486–492. [Google Scholar] [CrossRef]
- Lesseur, C.; Diergaarde, B.; Olshan, A.F.; Wünsch-Filho, V.; Ness, A.R.; Liu, G.; Lacko, M.; Eluf-Neto, J.; Franceschi, S.; Lagiou, P.; et al. Genome-Wide Association Analyses Identify New Susceptibility Loci for Oral Cavity and Pharyngeal Cancer. Nat. Genet. 2016, 48, 1544–1550. [Google Scholar] [CrossRef]
- Ghittoni, R.; Accardi, R.; Chiocca, S.; Tommasino, M. Role of Human Papillomaviruses in Carcinogenesis. Ecancermedicalscience 2015, 9, 526. [Google Scholar] [CrossRef]
- Ainouze, M.; Rochefort, P.; Parroche, P.; Roblot, G.; Tout, I.; Briat, F.; Zannetti, C.; Marotel, M.; Goutagny, N.; Auron, P.; et al. Human Papillomavirus Type 16 Antagonizes IRF6 Regulation of IL-1β. PLoS Pathog. 2018, 14, e1007158. [Google Scholar] [CrossRef] [PubMed]
- Smith, J.S.; Lindsay, L.; Hoots, B.; Keys, J.; Franceschi, S.; Winer, R.; Clifford, G.M. Human Papillomavirus Type Distribution in Invasive Cervical Cancer and High-Grade Cervical Lesions: A Meta-Analysis Update. Int. J. Cancer 2007, 121, 621–632. [Google Scholar] [CrossRef] [PubMed]
- Chatfield-Reed, K.; Gui, S.; O’Neill, W.Q.; Teknos, T.N.; Pan, Q. HPV33+ HNSCC Is Associated with Poor Prognosis and Has Unique Genomic and Immunologic Landscapes. Oral Oncol. 2020, 100, 104488. [Google Scholar] [CrossRef] [PubMed]
- Windon, M.J.; D’Souza, G.; Rettig, E.M.; Westra, W.H.; van Zante, A.; Wang, S.J.; Ryan, W.R.; Mydlarz, W.K.; Ha, P.K.; Miles, B.A.; et al. Increasing Prevalence of Human Papillomavirus–Positive Oropharyngeal Cancers among Older Adults. Cancer 2018, 124, 2993–2999. [Google Scholar] [CrossRef] [PubMed]
- Combes, J.-D.; Chen, A.A.; Franceschi, S. Prevalence of Human Papillomavirus in Cancer of the Oropharynx by Gender. Cancer Epidemiol. Biomark. Prev. Publ. Am. Assoc. Cancer Res. Cosponsored Am. Soc. Prev. Oncol. 2014, 23, 2954–2958. [Google Scholar] [CrossRef] [PubMed]
- Italy: Smoking Status of Individuals by Gender 2021. Available online: https://www.statista.com/statistics/477071/individuals-who-ever-smoked-by-smoking-status-italy/ (accessed on 31 December 2022).
- Caudell, J.J.; Gillison, M.L.; Maghami, E.; Spencer, S.; Pfister, D.G.; Adkins, D.; Birkeland, A.C.; Brizel, D.M.; Busse, P.M.; Cmelak, A.J.; et al. NCCN Guidelines® Insights: Head and Neck Cancers, Version 1.2022. J. Natl. Compr. Cancer Netw. 2022, 20, 224–234. [Google Scholar] [CrossRef]
- Nielsen, K.J.; Jakobsen, K.K.; Jensen, J.S.; Grønhøj, C.; Von Buchwald, C. The Effect of Prophylactic HPV Vaccines on Oral and Oropharyngeal HPV Infection—A Systematic Review. Viruses 2021, 13, 1339. [Google Scholar] [CrossRef]


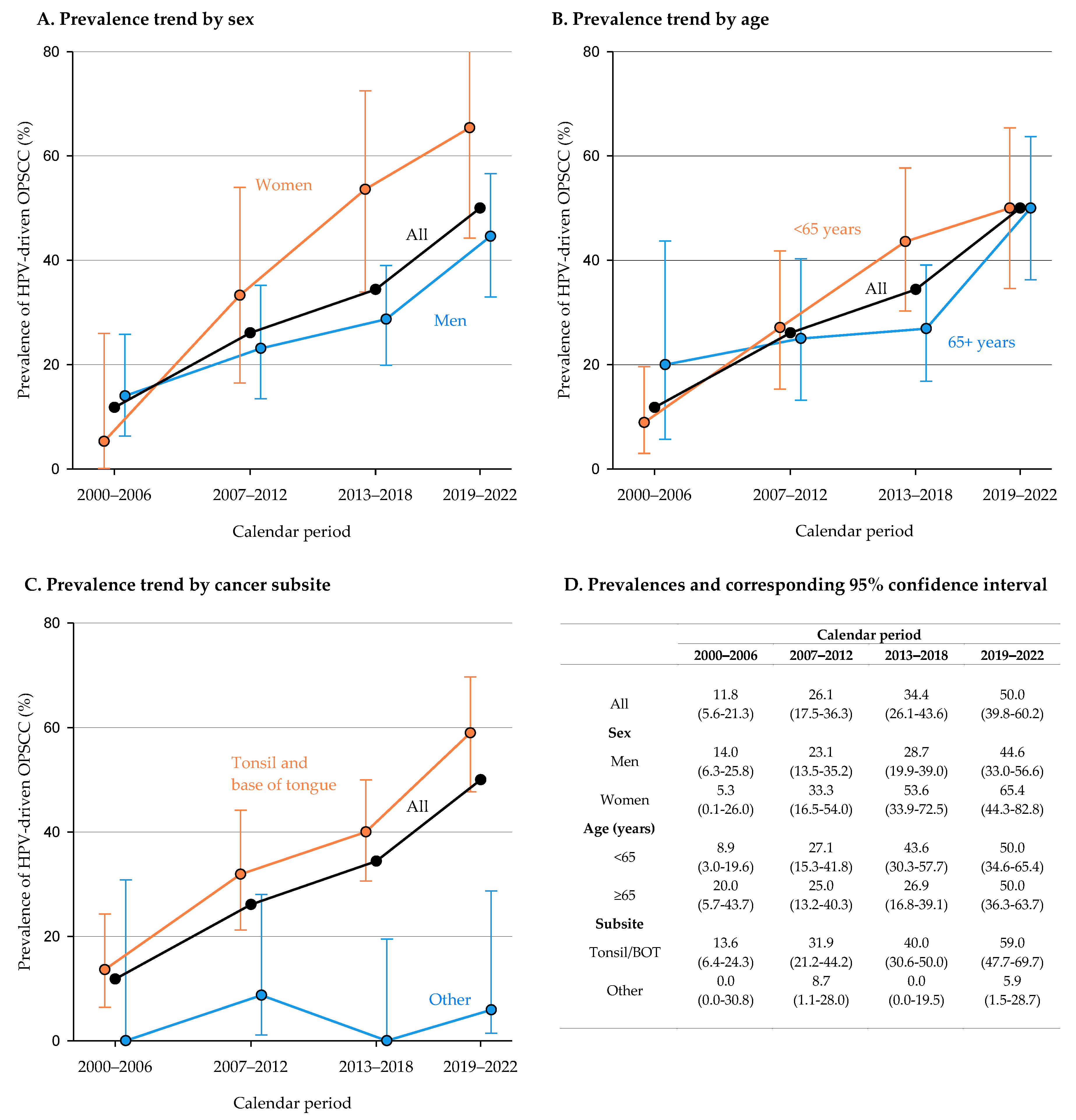
| All | HPV-Driven 1 OPSCC | Fisher’s Exact Test | ||||
|---|---|---|---|---|---|---|
| No. | % | No | % | (95% CI) | ||
| All patients | 390 | 125 | 32.1 | (27.4–36.9) | ||
| Age, median (IQR), year | 64 | (57–71) | 64 | (57–71) | ||
| Sex | ||||||
| Female | 100 | 25.6 | 42 | 42.0 | (32.2–52.3) | p = 0.018 |
| Male | 290 | 74.4 | 83 | 28.6 | (23.5–34.2) | |
| Subsite | ||||||
| Tonsil | 228 | 58.5 | 89 | 39.0 | (32.7–45.7) | p < 0.001 |
| Base of tongue | 95 | 24.4 | 33 | 34.7 | (25.3–45.2) | |
| Posterior pharyngeal wall | 25 | 6.4 | 1 | 4.0 | (0.1–20.4) | |
| Soft palate | 42 | 10.8 | 2 | 4.8 | (0.6–16.2) | |
| Overall stage (UICC/AJCC 8th) | ||||||
| I | 62 | 15.9 | 33 | 53.2 | (40.1–66.0) | p < 0.001 |
| II | 76 | 19.5 | 52 | 68.4 | (56.7–78.6) | |
| III | 70 | 18.0 | 34 | 48.6 | (36.4–60.8) | |
| IV | 177 | 45.4 | 5 | 2.8 | (0.9–6.5) | |
| Unknown | 5 | 1.3 | 1 | 20.0 | (0.5–71.6) | |
| Calendar period | ||||||
| 2000–2006 | 76 | 19.5 | 9 | 11.8 | (5.6–21.3) | p < 0.001 |
| 2007–2012 | 92 | 23.6 | 24 | 26.1 | (17.5–36.3) | |
| 2013–2018 | 122 | 31.3 | 42 | 34.4 | (26.1–43.6) | |
| 2019–2022 | 100 | 25.6 | 50 | 50.0 | (39.8–60.2) | |
| HPV type | ||||||
| HPV16 | 114 | 91.2 | (84.8–95.5) | |||
| HPV33 | 6 | 4.8 | (1.8–10.2) | |||
| HPV18 | 2 | 1.6 | (0.2–5.7) | |||
| HPV58 | 2 | 1.6 | (0.2–5.7) | |||
| HPV35+ HPV 59 | 1 | 0.8 | (0.0–4.4) | |||
| Univariate Model 1 | Multivariable Model 2 | |||
|---|---|---|---|---|
| OR | (95% CI) | OR | (95% CI) | |
| Age, year (Reference: <55) | ||||
| 55–64 | 0.93 | (0.51–1.71) | ||
| 65–74 | 0.96 | (0.53–1.75) | ||
| ≥75 | 1.13 | (0.54–2.35) | ||
| Sex (Reference: Woman) | ||||
| Man | 0.55 | (0.35–0.89) | 0.51 | (0.30–0.87) |
| Subsite (Reference: Tonsil) | ||||
| Base of tongue | 0.83 | (0.51–1.37) | 0.82 | (0.48–1.40) |
| PPW/Soft palate | 0.07 | (0.02–0.24) | 0.06 | (0.02–0.21) |
| Calendar period (Reference: 2000–2006) | ||||
| 2007–2012 | 2.63 | (1.14–6.07) | 3.29 | (1.39–7.80) |
| 2013–2018 | 3.91 | (1.77–8.60) | 4.48 | (1.98–10.13) |
| 2019–2022 | 7.44 | (3.35–16.54) | 9.37 | (4.08–21.52) |
Disclaimer/Publisher’s Note: The statements, opinions and data contained in all publications are solely those of the individual author(s) and contributor(s) and not of MDPI and/or the editor(s). MDPI and/or the editor(s) disclaim responsibility for any injury to people or property resulting from any ideas, methods, instructions or products referred to in the content. |
© 2023 by the authors. Licensee MDPI, Basel, Switzerland. This article is an open access article distributed under the terms and conditions of the Creative Commons Attribution (CC BY) license (https://creativecommons.org/licenses/by/4.0/).
Share and Cite
Boscolo-Rizzo, P.; Polesel, J.; Del Mistro, A.; Fratta, E.; Lazzarin, C.; Menegaldo, A.; Lupato, V.; Fanetti, G.; Zanconati, F.; Guido, M.; et al. Rising Trend in the Prevalence of HPV-Driven Oropharyngeal Squamous Cell Carcinoma during 2000–2022 in Northeastern Italy: Implication for Using p16INK4a as a Surrogate Marker for HPV-Driven Carcinogenesis. Cancers 2023, 15, 2643. https://doi.org/10.3390/cancers15092643
Boscolo-Rizzo P, Polesel J, Del Mistro A, Fratta E, Lazzarin C, Menegaldo A, Lupato V, Fanetti G, Zanconati F, Guido M, et al. Rising Trend in the Prevalence of HPV-Driven Oropharyngeal Squamous Cell Carcinoma during 2000–2022 in Northeastern Italy: Implication for Using p16INK4a as a Surrogate Marker for HPV-Driven Carcinogenesis. Cancers. 2023; 15(9):2643. https://doi.org/10.3390/cancers15092643
Chicago/Turabian StyleBoscolo-Rizzo, Paolo, Jerry Polesel, Annarosa Del Mistro, Elisabetta Fratta, Chiara Lazzarin, Anna Menegaldo, Valentina Lupato, Giuseppe Fanetti, Fabrizio Zanconati, Maria Guido, and et al. 2023. "Rising Trend in the Prevalence of HPV-Driven Oropharyngeal Squamous Cell Carcinoma during 2000–2022 in Northeastern Italy: Implication for Using p16INK4a as a Surrogate Marker for HPV-Driven Carcinogenesis" Cancers 15, no. 9: 2643. https://doi.org/10.3390/cancers15092643
APA StyleBoscolo-Rizzo, P., Polesel, J., Del Mistro, A., Fratta, E., Lazzarin, C., Menegaldo, A., Lupato, V., Fanetti, G., Zanconati, F., Guido, M., Giacomarra, V., Emanuelli, E., Tofanelli, M., & Tirelli, G. (2023). Rising Trend in the Prevalence of HPV-Driven Oropharyngeal Squamous Cell Carcinoma during 2000–2022 in Northeastern Italy: Implication for Using p16INK4a as a Surrogate Marker for HPV-Driven Carcinogenesis. Cancers, 15(9), 2643. https://doi.org/10.3390/cancers15092643

