Clinical Behavior, Mutational Profile and T-Cell Repertoire of High-Grade Neuroendocrine Tumors of the Head and Neck
Abstract
Simple Summary
Abstract
1. Introduction
2. Materials and Methods
2.1. Patients
2.2. Immunohistochemistry Studies
2.3. Tumor Mutational Load, Mutational Profile and T-Cell Receptor Repertoire Studies
2.4. Statistical Analysis
3. Results
3.1. Baseline Characteristics
3.2. Immunohistochemistry Studies
3.3. Tumor Mutational Profile and Tumor Mutational Burden (TMB)
3.4. Clonal T-Cell Receptor Repertoire
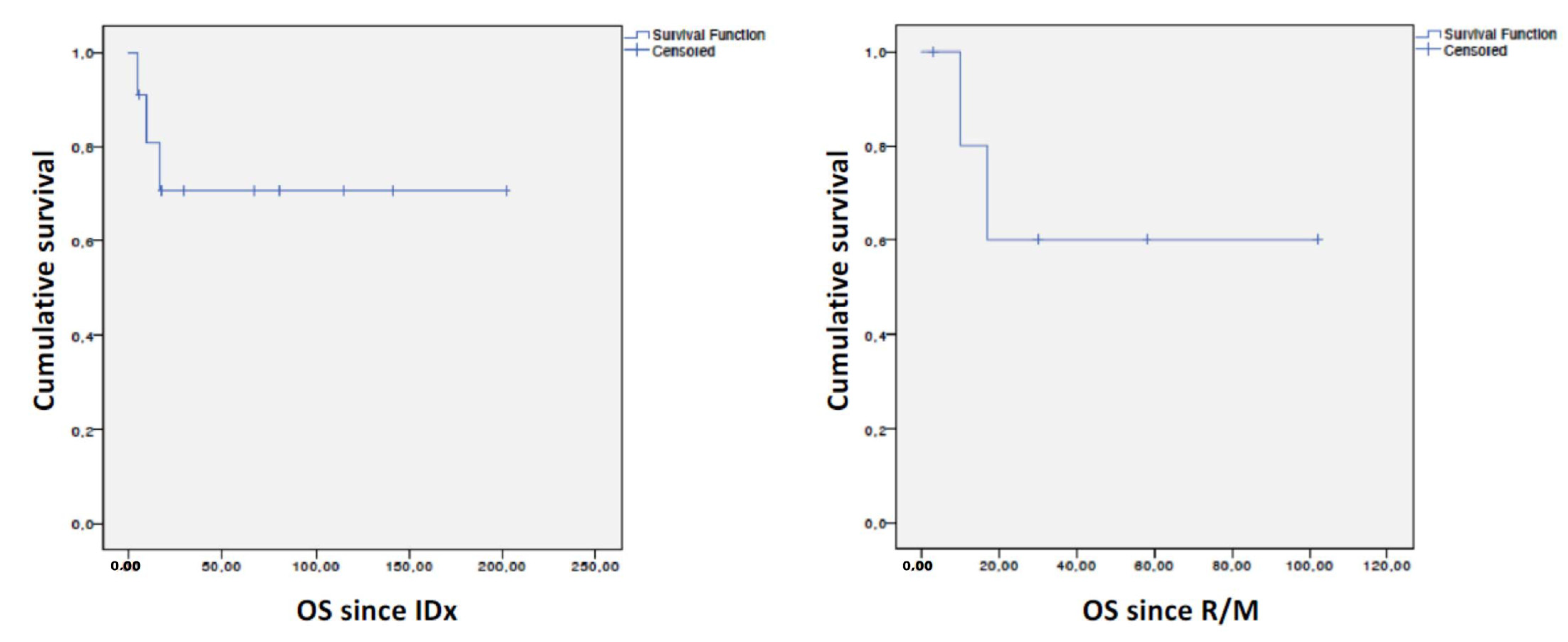
3.5. Survival and Molecular Profile
4. Discussion
5. Conclusions
Supplementary Materials
Author Contributions
Funding
Institutional Review Board Statement
Informed Consent Statement
Data Availability Statement
Acknowledgments
Conflicts of Interest
References
- Alos, L.; Hakim, S.; Larque, A.B.; de la Oliva, J.; Rodriguez-Carunchio, L.; Caballero, M.; Nadal, A.; Marti, C.; Guimera, N.; Fernandez-Figueras, M.T.; et al. p16 overexpression in high-grade neuroendocrine carcinomas of the head and neck: Potential diagnostic pitfall with HPV-related carcinomas. Virchows Arch. 2016, 469, 277–284. [Google Scholar] [CrossRef] [PubMed]
- Prisciandaro, M.; Antista, M.; Raimondi, A.; Corti, F.; Morano, F.; Centonze, G.; Sabella, G.; Mangogna, A.; Randon, G.; Pagani, F.; et al. Biomarker Landscape in Neuroendocrine Tumors With High-Grade Features: Current Knowledge and Future Perspective. Front. Oncol. 2022, 12, 780716. [Google Scholar] [CrossRef] [PubMed]
- Pointer, K.B.; Ko, H.C.; Brower, J.V.; Witek, M.E.; Kimple, R.J.; Lloyd, R.V.; Harari, P.M.; Baschnagel, A.M. Small cell carcinoma of the head and neck: An analysis of the National Cancer Database. Oral. Oncol. 2017, 69, 92–98. [Google Scholar] [CrossRef] [PubMed]
- Issa, K.; Ackall, F.; Jung, S.H.; Li, J.; Jang, D.W.; Rangarajan, S.V.; Hachem, R.A. Survival outcomes in sinonasal carcinoma with neuroendocrine differentiation: A NCDB analysis. Am. J. Otolaryngol. 2021, 42, 102851. [Google Scholar] [CrossRef] [PubMed]
- Hoffman-Censits, J.; Choi, W.; Pal, S.; Trabulsi, E.; Kelly, W.K.; Hahn, N.M.; McConkey, D.; Comperat, E.; Matoso, A.; Cussenot, O.; et al. Urothelial Cancers with Small Cell Variant Histology Have Confirmed High Tumor Mutational Burden, Frequent TP53 and RB Mutations, and a Unique Gene Expression Profile. Eur. Urol. Oncol. 2021, 4, 297–300. [Google Scholar] [CrossRef]
- Frumovitz, M.; Westin, S.N.; Salvo, G.; Zarifa, A.; Xu, M.; Yap, T.A.; Rodon, A.J.; Karp, D.D.; Abonofal, A.; Jazaeri, A.A.; et al. Phase II study of pembrolizumab efficacy and safety in women with recurrent small cell neuroendocrine carcinoma of the lower genital tract. Gynecol. Oncol. 2020, 158, 570–575. [Google Scholar] [CrossRef]
- Zhan, K.Y.; Din, H.A.; Muus, J.S.; Nguyen, S.A.; Lentsch, E.J. Predictors of survival in parotid small cell carcinoma: A study of 344 cases. Laryngoscope 2016, 126, 2036–2040. [Google Scholar] [CrossRef]
- McShane, L.M.; Altman, D.G.; Sauerbrei, W.; Taube, S.E.; Gion, M.; Clark, G.M. REporting recommendations for tumour MARKer prognostic studies (REMARK). Eur. J. Cancer 2005, 41, 1690–1696. [Google Scholar] [CrossRef]
- Eisenhauer, E.A.; Therasse, P.; Bogaerts, J.; Schwartz, L.H.; Sargent, D.; Ford, R.; Dancey, J.; Arbuck, S.; Gwyther, S.; Mooney, M.; et al. New response evaluation criteria in solid tumours: Revised RECIST guideline (version 1.1). Eur. J. Cancer 2009, 45, 228–247. [Google Scholar] [CrossRef]
- de Ruiter, E.J.; Mulder, F.J.; Koomen, B.M.; Speel, E.J.; van den Hout, M.F.C.M.; de Roest, R.H.; Bloemena, E.; Devriese, L.A.; Willems, S.M. Comparison of three PD-L1 immunohistochemical assays in head and neck squamous cell carcinoma (HNSCC). Mod. Pathol. 2021, 34, 1125–1132. [Google Scholar] [CrossRef]
- Casarrubios, M.; Cruz-Bermúdez, A.; Nadal, E.; Insa, A.; del Rosario García Campelo, M.; Lázaro, M.; Dómine, M.; Majem, M.; Rodríguez-Abreu, D.; Martínez-Martí, A.; et al. Pretreatment Tissue TCR Repertoire Evenness Is Associated with Complete Pathologic Response in Patients with NSCLC Receiving Neoadjuvant Chemoimmunotherapy. Clin. Cancer Res. 2021, 27, 5878–5890. [Google Scholar] [CrossRef] [PubMed]
- Ferlito, A. Diagnosis and treatment of small cell carcinoma of the larynx: A critical review. Ann. Otol. Rhinol. Laryngol. 1986, 95 Pt 1, 590–600. [Google Scholar] [CrossRef] [PubMed]
- Kao, H.L.; Chang, W.C.; Li, W.Y.; Li, A.C.H.; Li, A.F.Y. Head and neck large cell neuroendocrine carcinoma should be separated from atypical carcinoid on the basis of different clinical features, overall survival, and pathogenesis. Am. J. Surg. Pathol. 2012, 36, 185–192. [Google Scholar] [CrossRef] [PubMed]
- Servato, J.P.S.; Da Silva, S.J.; De Faria, P.R.; Cardoso, S.V.; Loyola, A.M. Small cell carcinoma of the salivary gland: A systematic literature review and two case reports. Int. J. Oral. Maxillofac. Surg. 2013, 42, 89–98. [Google Scholar] [CrossRef]
- Wakasaki, T.; Yasumatsu, R.; Masuda, M.; Matsuo, M.; Tamae, A.; Kubo, K.; Kogo, R.; Uchi, R.; Taura, M.; Nakagawa, T. Small Cell Carcinoma in the Head and Neck. Ann. Otol. Rhinol. Laryngol. 2019, 128, 1006–1012. [Google Scholar] [CrossRef] [PubMed]
- Strojan, P.; Šifrer, R.; Ferlito, A.; Grašič-Kuhar, C.; Lanišnik, B.; Plavc, G.; Zidar, N. Neuroendocrine Carcinoma of the Larynx and Pharynx: A Clinical and Histopathological Study. Cancers 2021, 13, 4813. [Google Scholar] [CrossRef]
- Ohmoto, A.; Sato, Y.; Asaka, R.; Fukuda, N.; Wang, X.; Urasaki, T.; Hayashi, N.; Sato, Y.; Nakano, K.; Yunokawa, M.; et al. Clinicopathological and genomic features in patients with head and neck neuroendocrine carcinoma. Mod. Pathol. 2021, 34, 1979–1989. [Google Scholar] [CrossRef]
- Peng, Y.P.; Liu, Q.D.; Lin, Y.J.; Peng, S.L.; Wang, R.; Xu, X.W.; Wei, W.; Zhong, G.-H.; Zhou, Y.-L.; Zhang, Y.-Q.; et al. Pathological and genomic phenotype of second neuroendocrine carcinoma during long-term follow-up after radical radiotherapy for nasopharyngeal carcinoma. Radiat. Oncol. 2021, 16, 198. [Google Scholar] [CrossRef]
- Barker, J.L.; Glisson, B.S.; Garden, A.S.; El-Naggar, A.K.; Morrison, W.H.; Ang, K.K.; Clifford Chao, K.S.; Clayman, G.; Rosenthal, D.I. Management of nonsinonasal neuroendocrine carcinomas of the head and neck. Cancer 2003, 98, 2322–2328. [Google Scholar] [CrossRef]
- Rosenthal, D.I.; Barker, J.L.; El-Naggar, A.K.; Glisson, B.S.; Kies, M.S.; Diaz, E.M.; Clayman, G.L.; Demonte, F.; Selek, U.; Morrison, W.H.; et al. Sinonasal malignancies with neuroendocrine differentiation: Patterns of failure according to histologic phenotype. Cancer 2004, 101, 2567–2573. [Google Scholar] [CrossRef]
- Hatoum, G.F.; Patton, B.; Takita, C.; Abdel-Wahab, M.; LaFave, K.; Weed, D.; Reis, I.M. Small cell carcinoma of the head and neck: The university of Miami experience. Int. J. Radiat. Oncol. Biol. Phys. 2009, 74, 477–481. [Google Scholar] [CrossRef] [PubMed]
- Thompson, E.D.; Stelow, E.B.; Mills, S.E.; Westra, W.H.; Bishop, J.A. Large Cell Neuroendocrine Carcinoma of the Head and Neck: A Clinicopathologic Series of 10 Cases With an Emphasis on HPV Status. Am. J. Surg. Pathol. 2016, 40, 471–478. [Google Scholar] [CrossRef] [PubMed]
- Miguel-Luken, M.J.; Chaves-Conde, M.; Carnero, A. A genetic view of laryngeal cancer heterogeneity. Cell Cycle 2016, 15, 1202–1212. [Google Scholar] [CrossRef]
- Saraniti, C.; Speciale, R.; Santangelo, M.; Massaro, N.; Maniaci, A.; Gallina, S.; Serra, A.; Cocuzza, S. Functional outcomes after supracricoid modified partial laryngectomy. J. Biol. Regul. Homeost. Agents 2019, 33, 1903–1907. [Google Scholar] [PubMed]
- Horn, L.; Mansfield, A.S.; Szczęsna, A.; Havel, L.; Krzakowski, M.; Hochmair, M.J.; Huemer, F.; Losonczy, G.; Johnson, M.L.; Nishio, M.; et al. First-Line Atezolizumab plus Chemotherapy in Extensive-Stage Small-Cell Lung Cancer. N. Engl. J. Med. 2018, 379, 2220–2229. [Google Scholar] [CrossRef] [PubMed]
- Liu, S.V.; Reck, M.; Mansfield, A.S.; Mok, T.; Scherpereel, A.; Reinmuth, N.; Garassino, M.C.; De Castro Carpeno, J.; Califano, R.; Nishio, M.; et al. Updated Overall Survival and PD-L1 Subgroup Analysis of Patients With Extensive-Stage Small-Cell Lung Cancer Treated With Atezolizumab, Carboplatin, and Etoposide (IMpower133). J. Clin. Oncol. 2021, 39, 619–630. [Google Scholar] [CrossRef]
- Rudin, C.M.; Awad, M.M.; Navarro, A.; Gottfried, M.; Peters, S.; Csoszi, T.; Cheema, P.K.; Rodriguez-Abreu, D.; Wollner, M.; Yang, J.C.-H.; et al. Pembrolizumab or Placebo Plus Etoposide and Platinum as First-Line Therapy for Extensive-Stage Small-Cell Lung Cancer: Randomized, Double-Blind, Phase III KEYNOTE-604 Study. J. Clin. Oncol. 2020, 38, 2369–2379. [Google Scholar] [CrossRef]
- Ready, N.E.; Ott, P.A.; Hellmann, M.D.; Zugazagoitia, J.; Hann, C.L.; de Braud, F.; Antonia, S.J.; Ascierto, P.A.; Moreno, V.; Atmaca, A.; et al. Nivolumab Monotherapy and Nivolumab Plus Ipilimumab in Recurrent Small Cell Lung Cancer: Results From the CheckMate 032 Randomized Cohort. J. Thorac. Oncol. 2020, 15, 426–435. [Google Scholar] [CrossRef]
- Paz-Ares, L.; Chen, Y.; Reinmuth, N.; Hotta, K.; Trukhin, D.; Statsenko, G.; Hochmair, M.J.; Özgüroglu, M.; Garassino, M.C.; Voitko, O.; et al. Durvalumab, with or without tremelimumab, plus platinum-etoposide in first-line treatment of extensive-stage small-cell lung cancer: 3-year overall survival update from CASPIAN. ESMO Open 2022, 7, 100408. [Google Scholar] [CrossRef]
- Leal, T.; Wang, Y.; Dowlati, A.; Lewis, D.A.; Chen, Y.; Mohindra, A.R.; Razaq, M.; Ahuja, H.G.; Liu, J.; King, D.M.; et al. Randomized phase II clinical trial of cisplatin/carboplatin and etoposide (CE) alone or in combination with nivolumab as frontline therapy for extensive-stage small cell lung cancer (ES-SCLC): ECOG-ACRIN EA5161. J. Clin. Oncol. 2020, 38 (Suppl. 15), 9000. [Google Scholar] [CrossRef]
- Zhang, S.; Li, S.; Cheng, Y. Efficacy and safety of PD-1/PD-L1 inhibitor plus chemotherapy versus chemotherapy alone as first-line treatment for extensive-stage small cell lung cancer: A systematic review and meta-analysis. Thorac. Cancer 2020, 11, 3536–3546. [Google Scholar] [CrossRef]
- Sathiyapalan, A.; Febbraro, M.; Pond, G.R.; Ellis, P.M. Chemo-Immunotherapy in First Line Extensive Stage Small Cell Lung Cancer (ES-SCLC): A Systematic Review and Meta-Analysis. Curr. Oncol. 2022, 29, 9046–9065. [Google Scholar] [CrossRef] [PubMed]
- Vijayvergia, N.; Dasari, A.; Deng, M.; Litwin, S.; Al-Toubah, T.; Alpaugh, R.K.; Dotan, E.; Hall, M.J.; Ross, N.M.; Runyen, M.M.; et al. Pembrolizumab monotherapy in patients with previously treated metastatic high-grade neuroendocrine neoplasms: Joint analysis of two prospective, non-randomised trials. Br. J. Cancer 2020, 122, 1309–1314. [Google Scholar] [CrossRef] [PubMed]
- Hellmann, M.D.; Callahan, M.K.; Awad, M.M.; Calvo, E.; Ascierto, P.A.; Atmaca, A.; Rizvi, N.A.; Hirsch, F.R.; Selvaggi, G.; Szustakowski, J.D.; et al. Tumor Mutational Burden and Efficacy of Nivolumab Monotherapy and in Combination with Ipilimumab in Small-Cell Lung Cancer. Cancer Cell 2018, 33, 853–861.e4. [Google Scholar] [CrossRef] [PubMed]
- Forde, P.M.; Chaft, J.E.; Smith, K.N.; Anagnostou, V.; Cottrell, T.R.; Hellmann, M.D.; Zahurak, M.; Yang, S.C.; Jones, D.R.; Broderick, S.; et al. Neoadjuvant PD-1 Blockade in Resectable Lung Cancer. N. Engl. J. Med. 2018, 378, 1976–1986. [Google Scholar] [CrossRef]
- McGrail, D.J.; Pilié, P.G.; Rashid, N.U.; Voorwerk, L.; Slagter, M.; Kok, M.; Jonasch, E.; Khasraw, M.; Heimberger, A.B.; Lim, B.; et al. High tumor mutation burden fails to predict immune checkpoint blockade response across all cancer types. Ann. Oncol. 2021, 32, 661–672. [Google Scholar] [CrossRef]
- Valero, C.; Lee, M.; Hoen, D.; Zehir, A.; Berger, M.F.; Seshan, V.E.; Chan, T.A.; Morris, L.G.T. Response Rates to Anti-PD-1 Immunotherapy in Microsatellite-Stable Solid Tumors With 10 or More Mutations per Megabase. JAMA Oncol. 2021, 7, 739–743. [Google Scholar] [CrossRef]
- Marcus, L.; Fashoyin-Aje, L.A.; Donoghue, M.; Yuan, M.; Rodriguez, L.; Gallagher, P.S.; Phillip, R.; Ghosh, S.; Theoret, M.R.; Beaver, J.A.; et al. FDA Approval Summary: Pembrolizumab for the Treatment of Tumor Mutational Burden-High Solid Tumors. Clin. Cancer Res. 2021, 27, 4685–4689. [Google Scholar] [CrossRef]
- Chowell, D.; Morris, L.G.T.; Grigg, C.M.; Weber, J.K.; Samstein, R.M.; Makarov, V.; Kuo, F.; Kendall, S.M.; Requena, D.; Riaz, N.; et al. Patient HLA class I genotype influences cancer response to checkpoint blockade immunotherapy. Science 2018, 359, 582–587. [Google Scholar] [CrossRef]
- Shao, C.; Li, G.; Huang, L.; Pruitt, S.; Castellanos, E.; Frampton, G.; Carson, K.R.; Snow, T.; Singal, G.; Fabrizio, D.; et al. Prevalence of High Tumor Mutational Burden and Association With Survival in Patients With Less Common Solid Tumors. JAMA Netw. Open 2020, 3, e2025109. [Google Scholar] [CrossRef]
- Mandal, R.; Samstein, R.M.; Lee, K.W.; Havel, J.J.; Wang, H.; Krishna, C.; Sabio, E.Y.; Makarov, V.; Kuo, F.; Blecua, P.; et al. Genetic diversity of tumors with mismatch repair deficiency influences anti-PD-1 immunotherapy response. Science 2019, 364, 485–491. [Google Scholar] [CrossRef] [PubMed]
- Hieggelke, L.; Heydt, C.; Castiglione, R.; Rehker, J.; Merkelbach-Bruse, S.; Riobello, C.; Llorente, J.L.; Hermsen, M.A.; Buettner, R. Mismatch repair deficiency and somatic mutations in human sinonasal tumors. Cancers 2021, 13, 6081. [Google Scholar] [CrossRef] [PubMed]
- Oronsky, B.; Abrouk, N.; Caroen, S.; Lybeck, M.; Guo, X.; Wang, X.; Yu, Z.; Reid, T. A 2022 Update on Extensive Stage Small-Cell Lung Cancer (SCLC). J. Cancer 2022, 13, 2945–2953. [Google Scholar] [CrossRef] [PubMed]
- Jurmeister, P.; Glöb, S.; Roller, R.; Leitheiser, M.; Schmid, S.; Mochmann, L.H.; Payá Capilla, E.; Fritz, R.; Dittmayer, C.; Friedich, C.; et al. DNA methylation-based classification of sinonasal tumors. Nat. Commun. 2022, 13, 7148. [Google Scholar] [CrossRef] [PubMed]




| Characteristics | Patients (n = 11) |
|---|---|
| Age in years at IDx, median (Min–Max) (n = 11) | 61 (30–87) |
| Age in years at R/M, median (Min–Max) (n = 7) | 68 (50–87) |
| Sex, n (%) | |
| Male | 6 (54.5%) |
| Female | 5 (45.5%) |
| Ethnicity, n (%) | |
| Caucasian | 10 (91%) |
| Afro-Caribbean | 1 (9%) |
| Smoking history, n (%) | 9 (82%) |
| Primary tumor, n (%) | |
| Sinonasal | 3 (27%) |
| Parotid gland | 3 (27%) |
| Submaxillary gland | 1 (9%) |
| Larynx | 3 (27%) |
| Base of tongue | 1 (9%) |
| Stage at initial diagnosis (AJCC), n (%) | |
| II | 1 (9%) |
| IVA | 3 (27.3%) |
| IVB | 4 (36.4%) |
| IVC | 3 (27.3%) |
| Histology, n (%) | |
| Small cell | 7 (64%) |
| Mixed small/large cells | 4 (36%) |
| Poorly/undifferentiated | 10 (91%) |
| Ki67, median (Min–Max) | 90 (40–100) |
| Patient No. | Age, Stage and Treatment at IDx | Immunohistochemical Features | Molecular Profile | Age and Treatment at R/M Disease | PFS and OS Since IDx | PFS and OS Since R/M Disease/PFS and OS Since Start of IO |
|---|---|---|---|---|---|---|
| #1 | 71 y/Laryngeal small-cell stage II NEC/Smoker, heavy drinker/CBDCA (AUC5) + VP16 × 3 → RT + 3wkCDDP (100 mg/m2) × 2 | CKAE1-AE3 (+), CK5/6 (−), Chromogranin (−), Synaptophysin (+), CD56 (+). Ki67 = 90% PD-L1 (TPS): 5% | TCR (pre-Nivo): 211 clones | 72 y/CBDCA (AUC5) + VP16 × 6 → PD → Topotecan × 8 → SD → W&S (4 years) → PD → Nivo 240 mg q2wk × 6 m → PR → Nivo 480 mg q4wk × 30 m → PD → Nivo BPD (ongoing) | PFS: 9 m OS: 115 m | PFS R/M: 6 m OS R/M: 103 m PFS IO: 24 m OS IO: 35 m |
| #2 | 59 y/Submandibular gland poorly differentiated stage IVA NEC/Non-smoker /CBDCA (AUC5) + VP16 × 3 → PR → SX → RT + Cetuximab → PD → SX (partial resection) | CKAE1-AE3 (+), CK5/6 (−), Chromogranin (-), Synaptophysin (+), CD56 (−). Ki67 NA. PD-L1 (TPS): 0 | TMB (pre-Nivo): 6.72 mut/Mb TMB (post-Nivo): 5.02 mut/Mb TCR (pre-Nivo): 59 clones TCR (post-Nivo): 1446 clones | 60 y/CAP × 3 → PD → DI × 2 → PD → CBDCA (AUC5) + VP16 × 2 → PD → Nivo 240 mg q2wk × 2 m → PR → Nivo 240 mg q2wk × 8 m → PD → SX (oligomtx) → Nivo 240 mg q2wk × 19 m → Nivo 480 mg q4wk × 18 m → PD → Nivo BPD (ongoing) | PFS: 14 m OS: 71 m | PFS R/M: 3 m OS R/M: 54 m PFS IO: 10 m OS IO: 49 m |
| #3 | 71 y/Minor salivary gland base of tongue small-cell stage IVC NEC/Smoker /CBDCA (AUC5) + VP16 × 4 → PR → CBDCA (AUC5) + VP16 × 4 → Pembro 200 mg/q3wk × 5 → PD → Stretozocin 1 g + Capecitabine 800 mg/m2/bid q3wk × 3 → PR → Stretozocin + Capecitabine × 1 → PD | CKAE1-AE3 (+), CK5/6 (−), Chromogranin (−), Synaptophysin (+), CD56 (+). Ki67 = 95% | Mut: TP53 TMB: 6.71 mut/Mb | (See 2nd column) | PFS: 6 m OS: 18 m | PFS R/M: 6 m OS R/M: 18 m PFS IO: 3 m OS IO: 8 m |
| #4 | 56 y/Nasoethmoidal small-cell stage IVC NEC/Smoker, heavy drinker/CBDCA (AUC5) + VP16 × 4 → PD → Stretozocin + Doxorubicin q3wk × 5 → PR → PD | CKAE1-AE3 (+), Chromogranin (+), Synaptophysin (+), NSE (+), CD99 (−). Ki67 = 50% | Mut: CDKN2A, TP53 TMB: 15.94 mut/Mb | (See 2nd column) | - | PFS R/M: 3 m OS R/M: 14 m |
| #5 | 68 y/Laryngeal mixed small- and large-cell stage IVC NEC/Smoker /CBDCA (AUC5) + VP16 × 3 → RT + 3wkCDDP (100 mg/m2) × 3 → CR (ongoing) | CKAE1-AE3 (+), Chromogranin (−), Synaptophysin (+), Ki67 = 100% | Mut: RB1, TP53 TMB: 11.83 mut/Mb TCR: 4025 clones | (See 2nd column) | - | PFS R/M: 27 m OS R/M: 27 m |
| #6 | 86 y/Parotid small-cell stage IVB NEC/Non-smoker, non-drinker/CBDCA (AUC4) + VP16 × 3 → RT | CKAE1-AE3 (+), Chromogranin (−), Synaptophysin (+), CD56 (+). Ki67 = 90% | Mut: PIK3CA, HNF1A TMB: 0.86 mut/Mb | - | PFS: 10 m OS: 10 m | PFS R/M 1 m OS R/M: 1 m (lost to FU afterward) |
| #7 | 56 y/Nasoethmoidal large-cell stage IVB NEC/Smoker /CBDCA (AUC5) + VP16 × 3 → PR → SX → RT → CR (ongoing) | CKAE1-AE3 (+), Chromogranin (+), Synaptophysin (+), CD99 (+). Ki67 NA | Mut: ARID1A, SMARCB1 TMB: 5.05 mut/Mb TCR: 224 clones | - | PFS: 28 m OS: 28 m | - |
| #8 | 30 y/Parotid small-cell stage IVA NEC/Smoker, non-drinker/3wkCDDP + VP16 × 2 → CBDCA (AUC5) + VP16 × 1 → RT + CBDCA (AUC5) × 3 → CR (ongoing) | CKAE1-AE3 (+), Chromogranin NA, Synaptophysin NA, CD56 NA, Ki67 NA | - | - | PFS: 78 m OS: 78 m | - |
| #9 | 50 y/Submaxillary gland small-cell stage IVA NEC/Smoker, non-drinker/CBDCA (AUC5) + VP16 × 3 → RT + CBDCA (AUC5) × 3 → CR (ongoing) | Cytokeratin (+), Chromogranin (−), Synaptophysin (+), NSE (+), CD56 NA, Ki67 NA | Mut: MYC, HNF1A TMB: 5.06 mut/Mb TCR: 103 clones | - | PFS: 204 m OS: 204 m | - |
| #10 | 60 y/Sinonasal NEC stage IVB/Smoker/SX → RT + 3wkCDDP (100 mg/m2) × 3 → CR (ongoing) | CKAE1-AE3 (+), Chromogranin (+), Synaptophysin (+), NSE (+), CD99 (+). Ki67 = 90% | - | - | PFS: 132 m OS: 132 m | - |
| #11 | 78 y/Sinonasal NEC stage IVB/Smoker/CBDCA (AUC5) + VP16 × 3 → RT + wkCBDCA (AUC2) × 7 → PR | Chromogranin (+), Synaptophysin (−), Ki67 = 90% | - | - | PFS: 5 m OS: 5 m | - |
| Somatic Pathogenic Mutations | TMB (Mut/Mb) | No. of Clones | Shannon Diversity | Evenness | ||
|---|---|---|---|---|---|---|
| Patient #1 | - | - | - | 211 | 5935 | 0.769 |
| Patient #2 | - | Pre-Nivo | 6.72 | 59 | 4186 | 0.712 |
| Post-Nivo | 5.02 | 1446 | 5508 | 0.525 | ||
| Patient #3 | TP53 | - | 6.71 | - | - | - |
| Patient #4 | CDKN2A, TP53 | - | 15.94 | - | - | - |
| Patient #5 | RB1, TP53 | - | 13.41 | 4025 | 10,684 | 0.892 |
| Patient #6 | PIK3CA, HNF1A | - | 0.84 | - | - | - |
| Patient #7 | ARID1A, SMARCB1 | - | 5.02 | 224 | 6556 | 0.839 |
| Patient #9 | MYC, HNF1A | - | 3.35 | 103 | 6029 | 0.902 |
| Association | Correlation | ||||
|---|---|---|---|---|---|
| OS Since IDx | OS Since R/M | OS Since IDx | OS Since R/M | ||
| TP53 status (Mut vs. WT) | p = 0.221 | p = 0.157 | TCR | r = 0.800 (p = 0.104) | r = 0.800 (p = 0.200) |
| TMB (≥6 vs. <6 muts/Mb) | p = 0.695 | p = 0.515 | TMB | r = 0.224 (p = 0.629) | r = 0.837 (p = 0.077) |
| Mut No. (≥2 vs. <2) | p = 0.450 | p = 0.083 | - | - | - |
| Author (Year) | N (Incidence among HNCs) | H&N Site | Pathology and Molecular Profile | Treatment | PFS/DFS | OS |
|---|---|---|---|---|---|---|
| Ferlito (1986) [12] | 14 (Retrospective series 1966–1984) | Larynx | - | SX: 6/14 RT: 12/14 CT: 8/14 | - | - |
| Barker (2003) [19] | 23 (Retrospective series 1984–2001) | Larynx: 13/23 OP: 3/23 OC: 1/23 HP: 2/23 NP: 2/23 SG: 2/23 | - | RT: 14/23 SX +/− RT: 9/23 CT: 14/23 | 2 y-DFS: 41% 5 y-DFS: 25% | 2 y-OS: 53% 5 y-OS: 33% CT associated with better OS and DMFS |
| Rosenthal (2004) [20] | 72 (Retrospective series 1982–2002) | NC and PNS: 72/72 -ENB: 31/72 -SNUC: 16/72 -NEC: 18/72 -SCNEC: 7/72 | - | ENB: -CT: 5/31 (16%) -Local Tx only (RT or SX): 26/31 (84%) Non-ENB: -CT: 27/45 (60%) -RT: 15/45 (33%) | - | ENB: 5 y-OS: 93.1% Non-ENB: 5 y-OS (SNUC): 62.5% 5 y-OS (NEC): 64.2% 5 y-OS (SCNEC): 28.6% |
| Hatoum (2009) [21] | 12 (Retrospective series 1987–2007) | NP: 2/12 NC and PNS: 2/12 SG: 4/12 OP: 3/12 Larynx: 1/12 | SCNEC: 12/12 | CRT: 7/12 SX/CRT: 2/12 CT: 1/12 RT: 2/12 | - | 1 y-OS: 71% 2 y-OS: 44% |
| Kao (2012) [13] | 23 → 14 SC/LC | OP: 2/23 Larynx: 9/23 NC and PNS: 11/23 SG: 1/23 | LCNEC/SCNEC: 13/14 were P53(+) WD/MD TNEs: 9/9 were P53(−) | - | - | LCNEC/SCNEC: 25.5 m |
| Servato (2013) [14] | 44 (Retrospective review + 2 case reports < 9 | All SG NECs (Parotid 35, submaxillary 9) | Chro (+): 29/44 Syn (+): 19/44 CD56 (+): 7/44 NSE (+): 36/44 | SX: 38/44 RT: 28/44 CT: 13/44 No: 1/44 | - | 2 y-OS: 56.4% 5 y-OS: 36.6% |
| Alos (2016) [1] | 19 | OP: 1/19 Larynx: 7/19 NC and PNS: 5/19 SG: 6/19 | CKAE1/AE3 (+): 19/19 Chro (+): 15/19 Syn (+): 17/19 CD56 (+): 18/19 Ki67 (+): 19/19 HPV DNA (+): 0/19 | SX: 17/19 RT: 13/19 CT: 5/19 | - | Stage I/II longer OS than III/IV No differences in OS between URT vs. SG |
| Zhan (2016) [7] | 344 (Retrospective review NCDB 1998–2012) | Parotid gland SCNEC | - | SX: 61.9% RT: 64.8% CT: 55.5% | - | 5 y-OS: 37% 10 y-OS: 20% Tumor size and distant metastases were prognostic factors for OS |
| Thomson (2016) [22] | 10 | OP: 4/10 Larynx: 3/10 NC and PNS: 3/10 | Chro (+): 3/10 Syn (+): 9/10 CD56 (+): 5/8 HPV DNA: 3/7 | SX: 5/8 RT: 6/8 CT: 7/8 BSC: 1/8 | - | - |
| Pointer (2017) [3] | 1042 (Retrospective review NCDB) | OC: 9% OP: 12% Larynx: 35% HP: 4% NP: 10% NC and PNS: 30% | - | - | - | OC: 20.8 m OP: 23.7 m Larynx/HP: 17.9 m NP: 15.1 m NC and PNS: 36.4 m No difference in OS depending on TX for stage I-II No difference in OS in stage III_IVA/B between SX + CRT vs. CRT alone |
| Wakasaki (2019) [15] | 21 | Larynx: 6/21 NC and PNS: 5/21 HP: 3/21 OP: 2/21 NP: 2/21 OC: 1/21 UP: 1/21 SG: 1/21 | - | SX: 9/21 RT: 5/21 CRT: 7/21 CT: 6/21 | - | 1 y-OS: 56% 3 y-OS: 37% |
| Issa (2021) [4] | 415 | NC: 52.5% | - | RT: 30% CRT: 27.2% SX/CRT: 11.6% | - | Trimodal and bimodal TX better OS vs. unimodal TX CRT or SX/CRT increased OS |
| Strojan (2021) [16] | 20 | OP: 2/20 Larynx: 12/20 HP: 3/20 NP: 3/20 | WD TNE: 1/20 MD TNE: 4/20 PD SC/LC: 15/20 CKAE1/AE3 (+): 19/19 Chro (+): 6/20 Syn (+): 3/20 CD56 (+): 17/17 Ki67 (+): 20/20 HPV DNA (+): 2/20 CPS (PDL1) > 1: 2/19 | SX/RT/CT: 1/20 SX/RT: 4/20 SX/CT: NA RT/CT: 8/20 SX: 5/20 CT: NA BSC: NA | - | 2 y-OS: 64% 5 y-OS: 34% |
| Ohmoto (2021) [17] | 27 | OC: 4% OP: 19% Larynx: 7% HP: 11% NC and PNS: 48% SG: 11% | SCNEC: 10/24 LCNEC: 14/24 Mutations (n = 14): TP53: 6/14 RB1: 3/14 NOTCH1: 2/14 PIK3CA: 1/14 FAT1: 1/14 CDKN2A: 1/14 SMARC4: 1/14 HIST3H3: 1/14 PREX2: 1/14 Fusions (n = 14): FGFR3-TACC3: 1/14 SEC11C-MYC: 1/14 TMB (n = 14): 7.1 mut/Mb (range, 3.9–17.2). | SX/RT/CT: 15% SX/RT: 7% SX/CT: 4% RT/CT: 22% SX: 15% CT: 11% BSC: 7% | 3-y RFS (n = 17 LAD): 27% | 3-y OS (n = 27): 39% 3-y OS (n = 17 LAD): 53% |
| Peng (2021) [18] | 5 with 2nd primary HNC after NPC | OC: 1/5 NC and PNS: 4/5 | Chro (+): 5/5 Syn (+): 5/5 CD56 (+): 5/5 EBER (+): 0/5 Mutations (n=2/5): TP53, NOTCH2, PTEN, RB1, POLG, KMTWC, U2AF1, EPPK1, ELAC2, DAXX, COL22A1, ABL1 | SX: 4/5 RT: 3/5 CT: 5/5 | PFS: 3–6 m | OS: 3–9 m |
| Current series | 11 (Retrospective series 2005–2022) | NC and PNS: 3/11 SG: 4/11 OP: 1/11 Larynx: 3/11 | SCNEC: 7/11 MCNEC: 4/11 PD-L1 (TPS): 0 and 5% in 2 pts tested. Mutations (n = 7): RB1, TP53, CDKN2A, PIK3CA, ARID1A, SMARCB1, HNF1 TMB (n = 5): 6.72 Muts/Mb (Min-max: 0.84–15.94). | RT: 30% CRT: 27.2% SX/CRT: 11.6% | - | OS (IDx) (n = 11): NR OS (R/M) (n = 6): NR |
Disclaimer/Publisher’s Note: The statements, opinions and data contained in all publications are solely those of the individual author(s) and contributor(s) and not of MDPI and/or the editor(s). MDPI and/or the editor(s) disclaim responsibility for any injury to people or property resulting from any ideas, methods, instructions or products referred to in the content. |
© 2023 by the authors. Licensee MDPI, Basel, Switzerland. This article is an open access article distributed under the terms and conditions of the Creative Commons Attribution (CC BY) license (https://creativecommons.org/licenses/by/4.0/).
Share and Cite
Cabezas-Camarero, S.; García-Barberán, V.; Benítez-Fuentes, J.D.; Sotelo, M.J.; Plaza, J.C.; Encinas-Bascones, A.; De-la-Sen, Ó.; Falahat, F.; Gimeno-Hernández, J.; Gómez-Serrano, M.; et al. Clinical Behavior, Mutational Profile and T-Cell Repertoire of High-Grade Neuroendocrine Tumors of the Head and Neck. Cancers 2023, 15, 2431. https://doi.org/10.3390/cancers15092431
Cabezas-Camarero S, García-Barberán V, Benítez-Fuentes JD, Sotelo MJ, Plaza JC, Encinas-Bascones A, De-la-Sen Ó, Falahat F, Gimeno-Hernández J, Gómez-Serrano M, et al. Clinical Behavior, Mutational Profile and T-Cell Repertoire of High-Grade Neuroendocrine Tumors of the Head and Neck. Cancers. 2023; 15(9):2431. https://doi.org/10.3390/cancers15092431
Chicago/Turabian StyleCabezas-Camarero, Santiago, Vanesa García-Barberán, Javier David Benítez-Fuentes, Miguel J. Sotelo, José Carlos Plaza, Alejandro Encinas-Bascones, Óscar De-la-Sen, Farzin Falahat, Jesús Gimeno-Hernández, Manuel Gómez-Serrano, and et al. 2023. "Clinical Behavior, Mutational Profile and T-Cell Repertoire of High-Grade Neuroendocrine Tumors of the Head and Neck" Cancers 15, no. 9: 2431. https://doi.org/10.3390/cancers15092431
APA StyleCabezas-Camarero, S., García-Barberán, V., Benítez-Fuentes, J. D., Sotelo, M. J., Plaza, J. C., Encinas-Bascones, A., De-la-Sen, Ó., Falahat, F., Gimeno-Hernández, J., Gómez-Serrano, M., Puebla-Díaz, F., De-Pedro-Marina, M., Iglesias-Moreno, M., & Pérez-Segura, P. (2023). Clinical Behavior, Mutational Profile and T-Cell Repertoire of High-Grade Neuroendocrine Tumors of the Head and Neck. Cancers, 15(9), 2431. https://doi.org/10.3390/cancers15092431

