Stereotactic Body Radiotherapy versus Surgery for Lung Metastases from Colorectal Cancer: Single-Institution Results
Abstract
:Simple Summary
Abstract
1. Introduction
2. Materials and Methods
2.1. Patients
2.2. Treatment
2.3. Follow-Up
2.4. Study Endpoints
2.4.1. Primary Endpoint
2.4.2. Secondary Endpoints
2.5. Toxicity
2.6. Statistics
3. Results
3.1. Patient and Treatment Characteristics
3.1.1. LP Cohort
3.1.2. FLP Cohort
3.2. Treatment Outcomes and Follow-Up
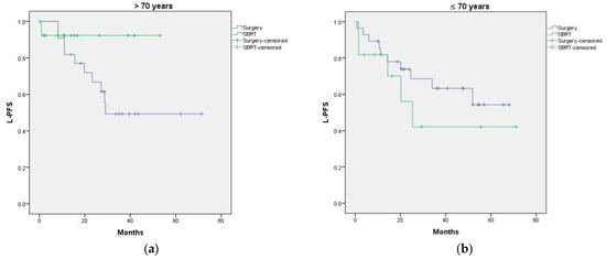
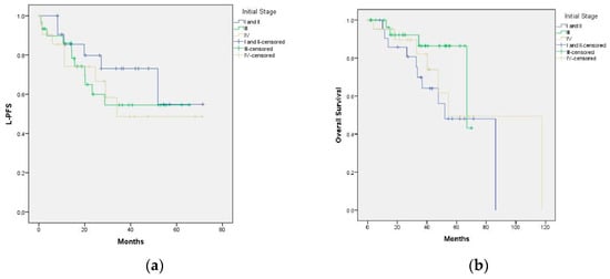
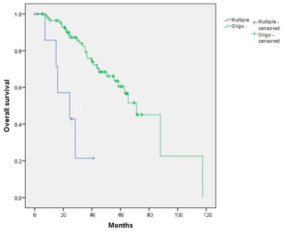
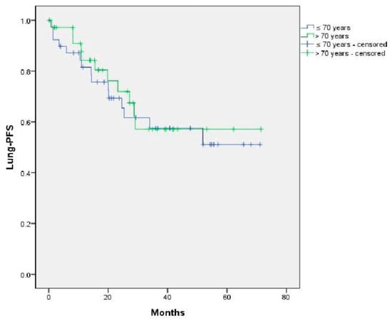
3.2.1. Lung Progression Cohort
3.2.2. FLP Cohort
3.3. Toxicity
4. Discussion
| Study (Year) | Number of Lesions | Median BED10 | LC rates | Median Follow-Up (Months) | Ref |
|---|---|---|---|---|---|
| Qiu et al. (2015) | 65 | ns Total dose: 40–60 Gy in 5–11 fr | 1-year 56.6% | 6.4 | [7] |
| Carvajal et al. (2015) | 13 | 149.6 Gy | 1- and 2-year 92.3% | 9.16 | [14] |
| Jung et al. (2015) | 79 | ns Total dose: 40–60 Gy in 3–4 fr | 1-year 88.7% 3-year 70.6% | 42.8 | [26] |
| ≤48 Gy 60 Gy | 3-year 64.6% 3-year 84% | ||||
| Wegner et al. (2018) | 22 | Range 60–105.6 Gy | 1-year 75% 2-year 65% | 28.5 | [12] |
| <100 Gy ≥100 Gy | 1-year 50% 1-year 87% | ||||
| Li et al. (2019) | 105 | 100 Gy | 14 | [15] | |
| <100 Gy ≥100 Gy | 1-year 96% 1-year 80% | ||||
| Nicosia et al. (2020) | 107 | 105 Gy | 1-year 91.5% 2-year 80% | 28 | [13] |
| Present study | 25 | 122.25 Gy | 1-year 87% 2-year 71% | 36.01 |
5. Conclusions
Author Contributions
Funding
Institutional Review Board Statement
Informed Consent Statement
Data Availability Statement
Conflicts of Interest
Appendix A





References
- Siegel, R.L.; Miller, K.D.; Fuchs, H.; Jemal, A. Cancer Statistics, 2021. CA Cancer J. Clin. 2021, 71, 7–33. [Google Scholar] [CrossRef] [PubMed]
- Yuzuru, N.; Kazushige, H. Oligometastases and Oligo-recurrence: The New Era of Cancer Therapy. Jpn J. Clin. Oncol. 2010, 40, 107–111. [Google Scholar] [CrossRef]
- Ginsberg, R.J.; Rubinstein, L.V. Randomized trial of lobectomy versus limited resection for T1 N0 non-small cell lung cancer. Lung Cancer Study Group. Ann. Thorac Surg. 1995, 60, 615–623. [Google Scholar] [CrossRef] [PubMed]
- Treasure, T. Pulmonary metastasectomy: A common practice based on weak evidence. Ann. R Coll. Surg. Engl. 2007, 89, 744–748. [Google Scholar] [CrossRef] [PubMed]
- Hornbech, K.; Ravn, J.; Steinbrüchel, D.A. Current status of pulmonary metastasectomy. Eur. J. Cardiothorac. Surg. 2011, 39, 955–962. [Google Scholar] [CrossRef]
- Schefter, T.E.; Kavanagh, B.D.; Raben, D.; Kane, M.; Chen, C.; Stuhr, K.; Kelly, K.; Mitchell, J.; Bunn, P.; Gaspar, L. A phase I/II trial of stereotactic body radiation therapy (SBRT) for lung metastases: Initial report of dose escalation and early toxicity. Int. J. Radiat. Oncol. Biol. Phys. 2006, 66, S120–S127. [Google Scholar] [CrossRef]
- Qiu, H.; Katz, A.W.; Chowdhry, A.K.; Usuki, K.Y.; Singh, D.P.; Metcalfe, S.; Cheruvu, P.; Chen, Y.; Okunieff, P.; Milano, M.; et al. Stereotactic Body Radiotherapy for Lung Metastases from Colorectal Cancer: Prognostic Factors for Disease Control and Survival. Am. J. Clin. Oncol. 2018, 41, 53–58. [Google Scholar] [CrossRef]
- Schlijper, R.C.; Grutters, J.P.; Houben, R.; Dingemans, A.M.; Wildberger, J.E.; Van Raemdonck, D.; Van Cutsem, E.; Haustermans, K.; Lammering, G.; Lambin, P.; et al. What to choose as radical local treatment for lung metastases from colo-rectal cancer: Surgery or radiofrequency ablation? Cancer Treat. Rev. 2014, 40, 60–67. [Google Scholar] [CrossRef]
- Leaman-Alcibar, O.; Cigarral, C.; Déniz, C.; Romero-Palomar, I.; Navarro-Martin, A. Quality of Life After Stereotactic Body Radiation therapy Versus Video-Assisted Thoracic Surgery in Early stage Non-small Cell Lung Cancer. Is there Enough Data to Make a Recommendation? J. Clin. Transl. Res. 2021, 7, 209–220. [Google Scholar]
- Timmerman, R.; Paulus, R.; Galvin, J.; Michalski, J.; Straube, W.; Bradley, J.; Fakiris, A.; Bezjak, A.; Videtic, G.; Johnstone, D.; et al. Stereotactic body radiation therapy for inoperable early stage lung cancer. JAMA 2010, 303, 1070–1076. [Google Scholar] [CrossRef]
- Widder, J.; Klinkenberg, T.J.; Ubbels, J.F.; Wiegman, E.M.; Groen, H.J.; Langendijk, J.A. Pulmonary oligometastases: Metastasectomy or stereotactic ablative radiotherapy? Radiother. Oncol. 2013, 107, 409–413. [Google Scholar] [CrossRef] [PubMed]
- Wegner, R.E.; Ahmed, N.; Hasan, S.; McCormick, J.; Kirichenko, A.V.; Colonias, A. Stereotactic body radiotherapy for lung metastases from colorectal cancer: A single institution experience. Color. Cancer 2018, 7, CRC05. [Google Scholar] [CrossRef]
- Nicosia, L.; Cuccia, F.; Mazzola, R.; Ricchetti, F.; Figlia, V.; Giaj-Levra, N.; Rigo, M.; Tomasini, D.; Pasinetti, N.; Corradini, S.; et al. Disease course of lung oligometastatic colorectal cancer treated with stereotactic body radiotherapy. Strahlenther. Onkol. 2020, 196, 813–820. [Google Scholar] [CrossRef] [PubMed]
- Carvajal, C.; Navarro-Martin, A.; Cacicedo, J.; Ramos, R.; Guedea, F. Stereotactic body radiotherapy for colorectal lung oligometastases: Preliminary single-institution results. J. Buon. 2015, 20, 158–165. [Google Scholar] [PubMed]
- Li, S.; Dong, D.; Geng, J.; Zhu, X.; Shi, C.; Zhang, Y.; Wang, H.; Zhou, S.; Wu, H.; Cai, Y.; et al. Prognostic Factors and Optimal Response Interval for Stereotactic Body Radiotherapy in Patients With Lung Oligometastases or Oligoprogression from Colorectal Cancer. Front. Oncol. 2019, 9, 1080. [Google Scholar] [CrossRef]
- >Evs.nci.nih.gov. Common Terminology Criteria for Adverse Events (CTCAE) Version 4.0. 2010. Available online: https://evs.nci.nih.gov/ftp1/CTCAE/CTCAE_4.03/CTCAE_4.03_2010-06-14_QuickReference_8.5x11.pdf (accessed on 27 May 2021).
- Fiorentino, F.; Treasure, T. Pulmonary metastasectomy: A call for better data collection, presentation and analysis. Future Oncol. 2015, 11 (Suppl. 2), 19–23. [Google Scholar] [CrossRef] [PubMed]
- Agolli, L.; Bracci, S.; Nicosia, L.; Valeriani, M.; De Sanctis, V.; Osti, M.F. Lung Metastases Treated With Stereotactic Ablative Radiation Therapy in Oligometastatic Colorectal Cancer Patients: Outcomes and Prognostic Factors After Long-Term Follow-Up. Clin. Color. Cancer 2017, 16, 58–64. [Google Scholar] [CrossRef]
- Onishi, H.; Matsumoto, Y.; Miyakawa, A.; Yamashita, H.; Nomiya, T.; Nijbe, Y.; Nakata, K.; Kuriyama, K.; Tomiyama, T.; Marino, K.; et al. Japanese multi-institutional study of stereotactic body radiation therapy for totally 380 patients with lung metastases. Int. J. Radiat. Oncol. Biol. Phys. 2014, 90, S46–S47. [Google Scholar] [CrossRef]
- Mole, R.H. Whole body irradiation—Radiobiology or medicine? Brit. J. Radiol. 1953, 26, 234–241. [Google Scholar] [CrossRef]
- Marciscano, A.E.; Walker, J.M.; McGee, H.M.; Kim, M.M.; Kunos, C.A.; Monjazeb, A.M.; Shiao, S.L.; Tran, P.T.; Ahmed, M.M. Incorporating Radiation Oncology into Immunotherapy: Proceedings from the ASTRO-SITC-NCI immunotherapy workshop. J. Immunother. Cancer 2018, 6, 6. [Google Scholar] [CrossRef]
- Demaria, S.; Ng, B.; Devitt, M.L.; Babb, J.S.; Kawashima, N.; Liebes, L.; Formenti, S.C. Ionizing radiation inhibition of distant untreated tumors (abscopal effect) is immune mediated. Int. J. Radiat. Oncol. Biol. Phys. 2004, 58, 862–870. [Google Scholar] [CrossRef] [PubMed]
- Filippi, A.R.; Guerrera, F.; Badellino, S.; Ceccarelli, M.; Castiglione, A.; Guarneri, A.; Spadi, R.; Racca, P.; Ciccone, G.; Ricardi, U.; et al. Exploratory Analysis on Overall Survival after Either Surgery or Stereotactic Radiotherapy for Lung Oligometastases from Colorectal Cancer. Clin. Oncol. 2016, 28, 505–512. [Google Scholar] [CrossRef] [PubMed]
- Nelson, D.B.; Tayob, N.; Nguyen, Q.N.; Erasmus, J.; Mitchell, K.G.; Hofstetter, W.L.; Sepesi, B.; Antonoff, M.B.; Mehran, R.J. Local failure after stereotactic body radiation therapy or wedge resection for colorectal pulmonary metastases. J. Thorac. Cardiovasc. Surg. 2019, 158, 1234–1241.e16. [Google Scholar] [CrossRef] [PubMed]
- Londero, F.; Grossi, W.; Morelli, A.; Parise, O.; Masullo, G.; Tetta, C.; Livi, U.; Maessen, J.G.; Gelsomino, S. Surgery versus stereotactic radiotherapy for treatment of pulmonary metastases. A systematic review of literature. Future Sci. OA 2020, 6, FSO471. [Google Scholar] [CrossRef]
- Jung, J.; Song, S.Y.; Kim, J.H.; Yu, C.S.; Kim, J.C.; Kim, T.W.; Jeong, S.Y.; Kim, S.S.; Choi, E.K. Clinical efficacy of stereotactic ablative radiotherapy for lung metastases arising from colorectal cancer. Radiat. Oncol. 2015, 10, 238. [Google Scholar] [CrossRef]



| N = 100 | |
|---|---|
| Sex | |
| Male | 69 |
| Female | 31 |
| Age at CRC diagnosis (years) | 68 (27–85) |
| >70 | 40 |
| Initial stage | |
| I | 4 |
| II | 27 |
| III | 38 |
| IV | 30 |
| NS | 1 |
| Tumor mutations | |
| KRAS | |
| Mut | 19 |
| NS | 31 |
| WT | 15 |
| NRAS | |
| Mut | 3 |
| NS | 85 |
| WT | 12 |
| BRAF | |
| NS | 83 |
| WT | 17 |
| MSI | |
| No | 9 |
| Yes | 4 |
| NS | 87 |
| Primary tumor surgery | |
| No | 1 |
| Yes | 99 |
| Primary tumor location | |
| Right colon | 16 |
| Left colon | 35 |
| High rectum | 21 |
| Middle rectum | 15 |
| Low rectum | 13 |
| Neoadjuvant therapy | |
| Yes | 37 |
| No | 63 |
| Chemotherapy | |
| Fluorouracil | 13 |
| Capecitabine | 3 |
| FOLFOX | 6 |
| FOLFOX-Fluorouracil | 3 |
| FOLFOX-Anti-EGFR | 1 |
| XELOX | 1 |
| NS | 10 |
| Radiotherapy | |
| 25 Gy | 4 |
| 50 Gy + boost | 14 |
| Other | 13 |
| Adjuvant therapy | |
| No | 28 |
| Yes | 72 |
| Chemotherapy | |
| Fluorouracil | 3 |
| Capecitabine | 10 |
| FOLFOX4 | 10 |
| FOLFOX6 | 35 |
| XELOX | 10 |
| Other | 4 |
| Surgery (n = 50) | SBRT (n = 25) | p | |
|---|---|---|---|
| Sex | 0.304 | ||
| Female | 16 (32%) | 10 (40%) | - |
| Male | 34 (68%) | 15 (60%) | - |
| Initial stage | 0.085 | ||
| I and II | 20 (40.8%) | 2 (8%) | - |
| III | 17 (34%) | 13 (52%) | - |
| IV | 13 (26%) | 9 (36%) | - |
| NS | 0 | 1 (1%) | - |
| Chronicity | 0.313 | ||
| Metachronous | 46 (92%) | 20 (80%) | - |
| Synchronous | 4 (8%) | 5 (20%) | - |
| M1 location | 0.00 | ||
| RLL | 11 (22%) | 3 (12%) | - |
| LLL | 11 (22%) | 5 (20%) | - |
| Lingula | 2 (4%) | 0 | - |
| RML | 5 (10%) | 2 (8%) | - |
| RUL | 12 (24%) | 9 (36%) | - |
| LUL | 9 (18%) | 6 (24%) | - |
| Age at M1 diagnosis (years) | 75 (29–84) | 75 (39–85) | 0.184 |
| >70 | 22 (44%) | 14 (56%) | 0.606 |
| M1 size (mm) | 14.60 (1.1–65) | 13.00 (6–40) | 0.185 |
| Time to first thoracic progression (months) | 27.75 (0–99.38) | 27.11 (0–100.34) | 0.042 |
Disclaimer/Publisher’s Note: The statements, opinions and data contained in all publications are solely those of the individual author(s) and contributor(s) and not of MDPI and/or the editor(s). MDPI and/or the editor(s) disclaim responsibility for any injury to people or property resulting from any ideas, methods, instructions or products referred to in the content. |
© 2023 by the authors. Licensee MDPI, Basel, Switzerland. This article is an open access article distributed under the terms and conditions of the Creative Commons Attribution (CC BY) license (https://creativecommons.org/licenses/by/4.0/).
Share and Cite
Garcia-Exposito, N.; Ramos, R.; Navarro-Perez, V.; Molina, K.; Arnaiz, M.D.; Padrones, S.; Ruffinelli, J.C.; Santos, C.; Guedea, F.; Navarro-Martin, A. Stereotactic Body Radiotherapy versus Surgery for Lung Metastases from Colorectal Cancer: Single-Institution Results. Cancers 2023, 15, 1195. https://doi.org/10.3390/cancers15041195
Garcia-Exposito N, Ramos R, Navarro-Perez V, Molina K, Arnaiz MD, Padrones S, Ruffinelli JC, Santos C, Guedea F, Navarro-Martin A. Stereotactic Body Radiotherapy versus Surgery for Lung Metastases from Colorectal Cancer: Single-Institution Results. Cancers. 2023; 15(4):1195. https://doi.org/10.3390/cancers15041195
Chicago/Turabian StyleGarcia-Exposito, Nagore, Ricard Ramos, Valentin Navarro-Perez, Kevin Molina, Maria Dolores Arnaiz, Susana Padrones, Jose Carlos Ruffinelli, Cristina Santos, Ferran Guedea, and Arturo Navarro-Martin. 2023. "Stereotactic Body Radiotherapy versus Surgery for Lung Metastases from Colorectal Cancer: Single-Institution Results" Cancers 15, no. 4: 1195. https://doi.org/10.3390/cancers15041195
APA StyleGarcia-Exposito, N., Ramos, R., Navarro-Perez, V., Molina, K., Arnaiz, M. D., Padrones, S., Ruffinelli, J. C., Santos, C., Guedea, F., & Navarro-Martin, A. (2023). Stereotactic Body Radiotherapy versus Surgery for Lung Metastases from Colorectal Cancer: Single-Institution Results. Cancers, 15(4), 1195. https://doi.org/10.3390/cancers15041195

