The Impact of BRAF Mutation Status on Survival Outcomes and Treatment Patterns among Metastatic Colorectal Cancer Patients in Alberta, Canada
Abstract
:Simple Summary
Abstract
1. Introduction
2. Materials and Methods
2.1. Patient Selection and Data Handling
2.2. Statistical Analyses
2.2.1. Patient Population
2.2.2. BRAF Test Characteristics
2.2.3. Treatment Patterns
2.2.4. Survival Analyses
3. Results
3.1. Sample Characteristics and BRAF Testing
3.2. Treatment Patterns
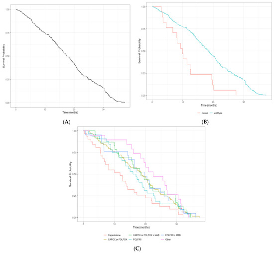
3.3. Survival Analyses
4. Discussion
5. Conclusions
Supplementary Materials
Author Contributions
Funding
Institutional Review Board Statement
Informed Consent Statement
Data Availability Statement
Conflicts of Interest
References
- Brenner, D.R.; Weir, H.K.; Demers, A.A.; Ellison, L.F.; Louzado, C.; Shaw, A.; Turner, D.; Woods, R.R.; Smith, L.M.; the Canadian Cancer Statistics Advisory Committee. Projected estimates of cancer in Canada in 2020. CMAJ 2020, 192, E199–E205. [Google Scholar] [CrossRef] [PubMed]
- Leary, R.J.; Lin, J.C.; Cummins, J.; Boca, S.; Wood, L.D.; Parsons, D.W.; Jones, S.; Sjöblom, T.; Park, B.-H.; Parsons, R. Integrated analysis of homozygous deletions, focal amplifications, and sequence alterations in breast and colorectal cancers. Proc. Natl. Acad. Sci. USA 2008, 105, 16224–16229. [Google Scholar] [CrossRef] [PubMed]
- Lin, J.-K.; Chang, S.-C.; Yang, Y.-C.; Li, A.F.-Y. Loss of heterozygosity and DNA aneuploidy in colorectal adenocarcinoma. Ann. Surg. Oncol. 2003, 10, 1086–1094. [Google Scholar] [CrossRef] [PubMed]
- Sieber, O.; Lamlum, H.; Crabtree, M.; Rowan, A.; Barclay, E.; Lipton, L.; Hodgson, S.; Thomas, H.; Neale, K.; Phillips, R. Whole-gene APC deletions cause classical familial adenomatous polyposis, but not attenuated polyposis or “multiple” colorectal adenomas. Proc. Natl. Acad. Sci. USA 2002, 99, 2954–2958. [Google Scholar] [CrossRef] [PubMed]
- Okugawa, Y.; Grady, W.M.; Goel, A. Epigenetic alterations in colorectal cancer: Emerging biomarkers. Gastroenterology 2015, 149, 1204–1225.e12. [Google Scholar] [CrossRef] [PubMed]
- Bettington, M.; Walker, N.; Clouston, A.; Brown, I.; Leggett, B.; Whitehall, V. The serrated pathway to colorectal carcinoma: Current concepts and challenges. Histopathology 2013, 62, 367–386. [Google Scholar] [CrossRef] [PubMed]
- Burke, C.A.; Snover, D.C. Sessile serrated adenomas and their pit patterns: We must first see the forest through the trees. Am. J. Gastroenterol. 2012, 107, 470–472. [Google Scholar] [CrossRef] [PubMed]
- Jass, J.R. Serrated adenoma of the colorectum and the DNA-methylator phenotype. Nat. Clin. Pract. Oncol. 2005, 2, 398–405. [Google Scholar] [CrossRef]
- O’Brien, M.J. Hyperplastic and serrated polyps of the colorectum. Gastroenterol. Clin. N. Am. 2007, 36, 947–968. [Google Scholar] [CrossRef]
- Snover, D.C. Update on the serrated pathway to colorectal carcinoma. Hum. Pathol. 2011, 42, 1–10. [Google Scholar] [CrossRef]
- Mäkinen, M. Colorectal serrated adenocarcinoma. Histopathology 2007, 50, 131–150. [Google Scholar] [CrossRef] [PubMed]
- O’Connell, B.M.; Crockett, S.D. The clinical impact of serrated colorectal polyps. Clin. Epidemiol. 2017, 9, 113. [Google Scholar] [CrossRef] [PubMed]
- Vakiani, E.; Solit, D.B. KRAS and BRAF: Drug targets and predictive biomarkers. J. Pathol. 2011, 223, 220–230. [Google Scholar] [CrossRef] [PubMed]
- Morris, V.; Overman, M.J.; Jiang, Z.-Q.; Garrett, C.; Agarwal, S.; Eng, C.; Kee, B.; Fogelman, D.; Dasari, A.; Wolff, R. Progression-free survival remains poor over sequential lines of systemic therapy in patients with BRAF-mutated colorectal cancer. Clin. Color. Cancer 2014, 13, 164–171. [Google Scholar] [CrossRef] [PubMed]
- Owsley, J.; Stein, M.K.; Porter, J.; In, G.K.; Salem, M.; O’Day, S.; Elliott, A.; Poorman, K.; Gibney, G.; VanderWalde, A. Prevalence of class I–III BRAF mutations among 114,662 cancer patients in a large genomic database. Exp. Biol. Med. 2021, 246, 31–39. [Google Scholar] [CrossRef]
- Preto, A.; Figueiredo, J.; Velho, S.; Ribeiro, A.; Soares, P.; Oliveira, C.; Seruca, R. BRAF provides proliferation and survival signals in MSI colorectal carcinoma cells displaying BRAFV600E but not KRAS mutations. J. Pathol. 2008, 214, 320–327. [Google Scholar] [CrossRef]
- Fariña-Sarasqueta, A.; Van Lijnschoten, G.; Moerland, E.; Creemers, G.-J.; Lemmens, V.; Rutten, H.; van den Brule, A. The BRAF V600E mutation is an independent prognostic factor for survival in stage II and stage III colon cancer patients. Ann. Oncol. 2010, 21, 2396–2402. [Google Scholar] [CrossRef]
- Garcia-Carbonero, N.; Martinez-Useros, J.; Li, W.; Orta, A.; Perez, N.; Carames, C.; Hernandez, T.; Moreno, I.; Serrano, G.; Garcia-Foncillas, J. KRAS and BRAF mutations as prognostic and predictive biomarkers for standard chemotherapy response in metastatic colorectal cancer: A single institutional study. Cells 2020, 9, 219. [Google Scholar] [CrossRef]
- Kalady, M.F.; DeJulius, K.L.; Sanchez, J.A.; Jarrar, A.; Liu, X.; Manilich, E.; Skacel, M.; Church, J.M. BRAF mutations in colorectal cancer are associated with distinct clinical characteristics and worse prognosis. Dis. Colon Rectum 2012, 55, 128–133. [Google Scholar] [CrossRef]
- Pisapia, P.; Pepe, F.; Iaccarino, A.; Sgariglia, R.; Nacchio, M.; Russo, G.; Gragnano, G.; Malapelle, U.; Troncone, G. BRAF: A Two-Faced Janus. Cells 2020, 9, 2549. [Google Scholar] [CrossRef]
- Malapelle, U.; Rossi, G.; Pisapia, P.; Barberis, M.; Buttitta, F.; Castiglione, F.; Cecere, F.L.; Grimaldi, A.M.; Iaccarino, A.; Marchetti, A.; et al. BRAF as a positive predictive biomarker: Focus on lung cancer and melanoma patients. Crit. Rev. Oncol. Hematol. 2020, 156, 103118. [Google Scholar] [CrossRef] [PubMed]
- Gautschi, O.; Milia, J.; Cabarrou, B.; Bluthgen, M.V.; Besse, B.; Smit, E.F.; Wolf, J.; Peters, S.; Früh, M.; Koeberle, D.; et al. Targeted Therapy for Patients with BRAF-Mutant Lung Cancer: Results from the European EURAF Cohort. J. Thorac. Oncol. 2015, 10, 1451–1457. [Google Scholar] [CrossRef] [PubMed]
- Vaughn, C.P.; ZoBell, S.D.; Furtado, L.V.; Baker, C.L.; Samowitz, W.S. Frequency of KRAS, BRAF, and NRAS mutations in colorectal cancer. Genes Chromosomes Cancer 2011, 50, 307–312. [Google Scholar] [CrossRef] [PubMed]
- Sha, A.; Abadi, S.; Gill, S. Utilization of capecitabine plus oxaliplatin and 5-fluorouracil/folinic acid plus oxaliplatin in the adjuvant treatment of stage IIB and stage III colon cancer: A multi-centre, retrospective, chart review study. J. Oncol. Pharm. Pract. 2018, 24, 501–506. [Google Scholar] [CrossRef]
- Cremolini, C.; Loupakis, F.; Antoniotti, C.; Lupi, C.; Sensi, E.; Lonardi, S.; Mezi, S.; Tomasello, G.; Ronzoni, M.; Zaniboni, A. FOLFOXIRI plus bevacizumab versus FOLFIRI plus bevacizumab as first-line treatment of patients with metastatic colorectal cancer: Updated overall survival and molecular subgroup analyses of the open-label, phase 3 TRIBE study. Lancet Oncol. 2015, 16, 1306–1315. [Google Scholar] [CrossRef]
- Venook, A.P.; Niedzwiecki, D.; Lenz, H.-J.; Innocenti, F.; Fruth, B.; Meyerhardt, J.A.; Schrag, D.; Greene, C.; O’Neil, B.H.; Atkins, J.N. Effect of first-line chemotherapy combined with cetuximab or bevacizumab on overall survival in patients with KRAS wild-type advanced or metastatic colorectal cancer: A randomized clinical trial. JAMA 2017, 317, 2392–2401. [Google Scholar] [CrossRef]
- Safaee Ardekani, G.; Jafarnejad, S.M.; Tan, L.; Saeedi, A.; Li, G. The Prognostic Value of BRAF Mutation in Colorectal Cancer and Melanoma: A Systematic Review and Meta-Analysis. PLoS ONE 2012, 7, e47054. [Google Scholar] [CrossRef]
- Zlobec, I.; Bihl, M.P.; Schwarb, H.; Terracciano, L.; Lugli, A. Clinicopathological and protein characterization of BRAF- and K-RAS-mutated colorectal cancer and implications for prognosis. Int. J. Cancer 2010, 127, 367–380. [Google Scholar] [CrossRef]
- Shahjehan, F.; Kamatham, S.; Chandrasekharan, C.; Kasi, P.M. Binimetinib, encorafenib and cetuximab (BEACON Trial) combination therapy for patients with BRAF V600E-mutant metastatic colorectal cancer. Drugs Today 2019, 55, 683–693. [Google Scholar] [CrossRef]
- Seligmann, J.F.; Fisher, D.; Smith, C.G.; Richman, S.D.; Elliott, F.; Brown, S.; Adams, R.; Maughan, T.; Quirke, P.; Cheadle, J.; et al. Investigating the poor outcomes of BRAF-mutant advanced colorectal cancer: Analysis from 2530 patients in randomised clinical trials. Ann. Oncol. 2017, 28, 562–568. [Google Scholar] [CrossRef]

| Characteristics | BRAF Status | ||||
|---|---|---|---|---|---|
| Overall | Mutant | Wild Type | Not Tested | p | |
| n = 488 | n = 42 | n = 325 | n = 121 | ||
| Mean Age (SD) | 63.26 (13.64) | 66.69 (16.53) | 61.55 (13.41) | 66.64 (12.37) | <0.001 |
| Sex | |||||
| Male | 296 (60.7) | 23 (54.8) | 203 (62.5) | 70 (57.9) | |
| Female | 192 (39.3) | 19 (45.2) | 122 (37.5) | 51 (42.1) | 0.483 |
| Year of Diagnosis (%) | 0.007 | ||||
| 2017 | 228 (46.7) | 11 (26.2) | 168 (51.7) | 49 (40.5) | |
| 2018 | 142 (29.1) | 17 (40.5) | 81 (24.9) | 44 (36.4) | |
| 2019 | 118 (24.2) | 14 (33.3) | 76 (23.4) | 28 (23.1) | |
| Cancer Site (%) | 0.067 | ||||
| Colon | 349 (71.5) | 38 (90.5) | 226 (69.5) | 85 (70.2) | |
| Rectosigmoid | 16 (3.3) | <10 | 10 (3.1) | <10 | |
| Rectum | 123 (25.2) | <10 | 89 (27.4) | <10 | |
| Metastatic Sites (%) | |||||
| Hepatic | 341 (69.9) | 21 (50.0) | 247 (76.0) | 73 (60.3) | <0.001 |
| Pulmonary | 137 (28.1) | <10 | 88 (27.1) | <10 | 0.277 |
| Lymph Nodes | 124 (25.4) | 11 (26.2) | 77 (23.7) | 36 (29.8) | 0.423 |
| Adrenals | 17 (3.5) | <10 | 11 (3.4) | <10 | 0.36 |
| Peritoneum | 129 (26.4) | 21 (50.0) | 79 (24.3) | 29 (24.0) | 0.001 |
| Pleura | <10 | <10 | <10 | <10 | 0.054 |
| Osseous | 24 (4.9) | <10 | 16 (4.9) | <10 | 0.68 |
| Brain | <10 | <10 | <10 | <10 | 0.823 |
| Bone Marrow | <10 | <10 | <10 | <10 | 0.101 |
| Skin | <10 | <10 | <10 | <10 | 0.778 |
| Other | 44 (9.0) | <10 | 23 (7.1) | <10 | 0.1 |
| Treatment Group | Overall | Mutant | Wild Type | Not Tested | p |
|---|---|---|---|---|---|
| n = 488 | n = 42 | n = 325 | n = 121 | ||
| First line (%) | 327 (67.0) | 24 (57.1) | 243 (74.8) | 60 (49.6) | |
| Capecitabine | 75 (22.9) | <10 | 50 (20.6) | <10 | 0.325 |
| CAPOX or FOLFOX | 119 (36.4) | 10 (41.7) | 86 (35.4) | 23 (38.3) | |
| CAPOX or FOLFOX + MAB | 26 (8.0) | <10 | 23 (9.5) | <10 | |
| FOLFIRI | 48 (14.7) | <10 | 39 (16.0) | <10 | |
| FOLFIRI + MAB | 35 (10.7) | <10 | 28 (11.5) | <10 | |
| Other | 24 (7.3) | <10 | 17 (7.0) | <10 | |
| Second line (%) | 194 (39.8) | 15 (35.8) | 163 (50.2) | 16 (13.2) | |
| Capecitabine | <10 | <10 | <10 | <10 | 0.075 |
| CAPOX or FOLFOX | 54 (11.0) | <10 | 40 (12.3) | 10 (8.3) | |
| CAPOX or FOLFOX + MAB | <10 | <10 | <10 | <10 | |
| FOLFIRI | 49 (10.0) | <10 | 44 (13.5) | <10 | |
| FOLFIRI + MAB | 25 (5.1) | <10 | 21 (6.5) | <10 | |
| Other | 39 (8.0) | <10 | 35 (10.8) | <10 |
| Summary (Days) | Line of Therapy | |||
|---|---|---|---|---|
| First Line | Second Line | Third Line | Fourth Line | |
| Minimum | 11 | 3 | 14 | 9 |
| 1st Quartile | 84.5 | 63 | 50.5 | 70.25 |
| Median | 168 | 101.5 | 102.5 | 98 |
| 3rd Quartile | 244.5 | 196 | 190.8 | 152.25 |
| Maximum | 1090 | 915 | 693 | 476 |
| Strata | Median Survival in Months (95% CI) | 1-Year Survival Probability (95% CI) | 2-Year Survival Probability (95% CI) |
|---|---|---|---|
| Overall | 20.01 (15.97–22.21) | 0.66 (0.61–0.72) | 0.38 (0.32–0.44) |
| BRAF status | |||
| Wild type | 20.03 (17.87–22.83) | 0.71 (0.65–0.77) | 0.39 (0.21–0.47) |
| Mutant | 8.21 (6.54–12.62) | 0.30 (0.16–0.56) | 0.16 (0.06–0.43) |
| Not tested | 21.00 (14.49-NA) | 0.64 (0.52–0.79) | 0.44 (0.30–0.62) |
| Treatment group | |||
| Capecitabine | 12.58 (10.02–20.99) | 0.51 (0.41–0.64) | 0.28 (0.19–0.42) |
| CAPOX or FOLFOX | 27.04 (22.21–33.44) | 0.77 (0.69–0.86) | 0.58 (0.48–0.70) |
| CAPOX or FOLFOX + MAB | 20.70 (15.41–32.13) | 0.71 (0.55–0.92) | 0.33 (18–0.60) |
| FOLFIRI | 14.55 (11.43–22.70) | 0.62 (0.49–0.79) | 0.22 (0.12–0.42) |
| FOLFIRI + MAB | 23.82 (21.19–34.27) | 0.90 (0.80–1.00) | 0.46 (0.30–0.70) |
| Other | 10.15 (5.42–18.33) | 0.36 (0.20–0.65) | 0.16 (0.06–0.44) |
| Strata | Median Survival in Months (95% CI) | 1-Year Survival Probability (95% CI) | 2-Year Survival Probability (95% CI) |
|---|---|---|---|
| Overall | 21.19 (17.90–24.44) | 0.69 (0.64–0.74) | 0.43 (0.37–0.50) |
| BRAF status | |||
| Wild type | 22.08 (18.79–24.61) | 0.72 (0.66–0.79) | 0.43 (0.36–0.51) |
| Mutant | 10.05 (6.54–14.39) | 0.36 (0.20–0.63) | 0.19 (0.07–0.48) |
| Not tested | 31.24 (17.84–NA) | 0.69 (0.57–0.83) | 0.57 (0.43–0.74) |
| Treatment group | |||
| Capecitabine | 13.99 (10.12–22.10) | 0.54 (0.44–0.68) | 0.33 (0.23–0.48) |
| CAPOX or FOLFOX | 29.04 (26.97–38.44) | 0.80 (0.72–0.89) | 0.65 (0.55–0.77) |
| CAPOX or FOLFOX + MAB | 20.94 (15.41–NA) | 0.74 (0.59–0.94) | 0.40 (0.24–0.68) |
| FOLFIRI | 15.05 (12.42–22.70) | 0.64 (0.51–0.80) | 0.23 (0.12–0.43) |
| FOLFIRI + MAB | 24.44 (21.19–NA) | 0.90 (0.80–1.00) | 0.52 (0.35–0.76) |
| Other | 10.45 (5.42–NA) | 0.40 (0.23–0.70) | 0.23 (0.10–0.53) |
Disclaimer/Publisher’s Note: The statements, opinions and data contained in all publications are solely those of the individual author(s) and contributor(s) and not of MDPI and/or the editor(s). MDPI and/or the editor(s) disclaim responsibility for any injury to people or property resulting from any ideas, methods, instructions or products referred to in the content. |
© 2023 by the authors. Licensee MDPI, Basel, Switzerland. This article is an open access article distributed under the terms and conditions of the Creative Commons Attribution (CC BY) license (https://creativecommons.org/licenses/by/4.0/).
Share and Cite
Sutherland, R.L.; Boyne, D.J.; Brenner, D.R.; Cheung, W.Y. The Impact of BRAF Mutation Status on Survival Outcomes and Treatment Patterns among Metastatic Colorectal Cancer Patients in Alberta, Canada. Cancers 2023, 15, 5748. https://doi.org/10.3390/cancers15245748
Sutherland RL, Boyne DJ, Brenner DR, Cheung WY. The Impact of BRAF Mutation Status on Survival Outcomes and Treatment Patterns among Metastatic Colorectal Cancer Patients in Alberta, Canada. Cancers. 2023; 15(24):5748. https://doi.org/10.3390/cancers15245748
Chicago/Turabian StyleSutherland, R. Liam, Devon J. Boyne, Darren R. Brenner, and Winson Y. Cheung. 2023. "The Impact of BRAF Mutation Status on Survival Outcomes and Treatment Patterns among Metastatic Colorectal Cancer Patients in Alberta, Canada" Cancers 15, no. 24: 5748. https://doi.org/10.3390/cancers15245748
APA StyleSutherland, R. L., Boyne, D. J., Brenner, D. R., & Cheung, W. Y. (2023). The Impact of BRAF Mutation Status on Survival Outcomes and Treatment Patterns among Metastatic Colorectal Cancer Patients in Alberta, Canada. Cancers, 15(24), 5748. https://doi.org/10.3390/cancers15245748

