Increased Risk of Local Recurrence in Cutaneous Squamous Cell Carcinoma Arising in Sun-Exposed Skin: A Retrospective Cohort Study
Abstract
:Simple Summary
Abstract
1. Introduction
2. Materials and Methods
2.1. Study Population
2.2. Data Collection
2.3. Statistical Analysis
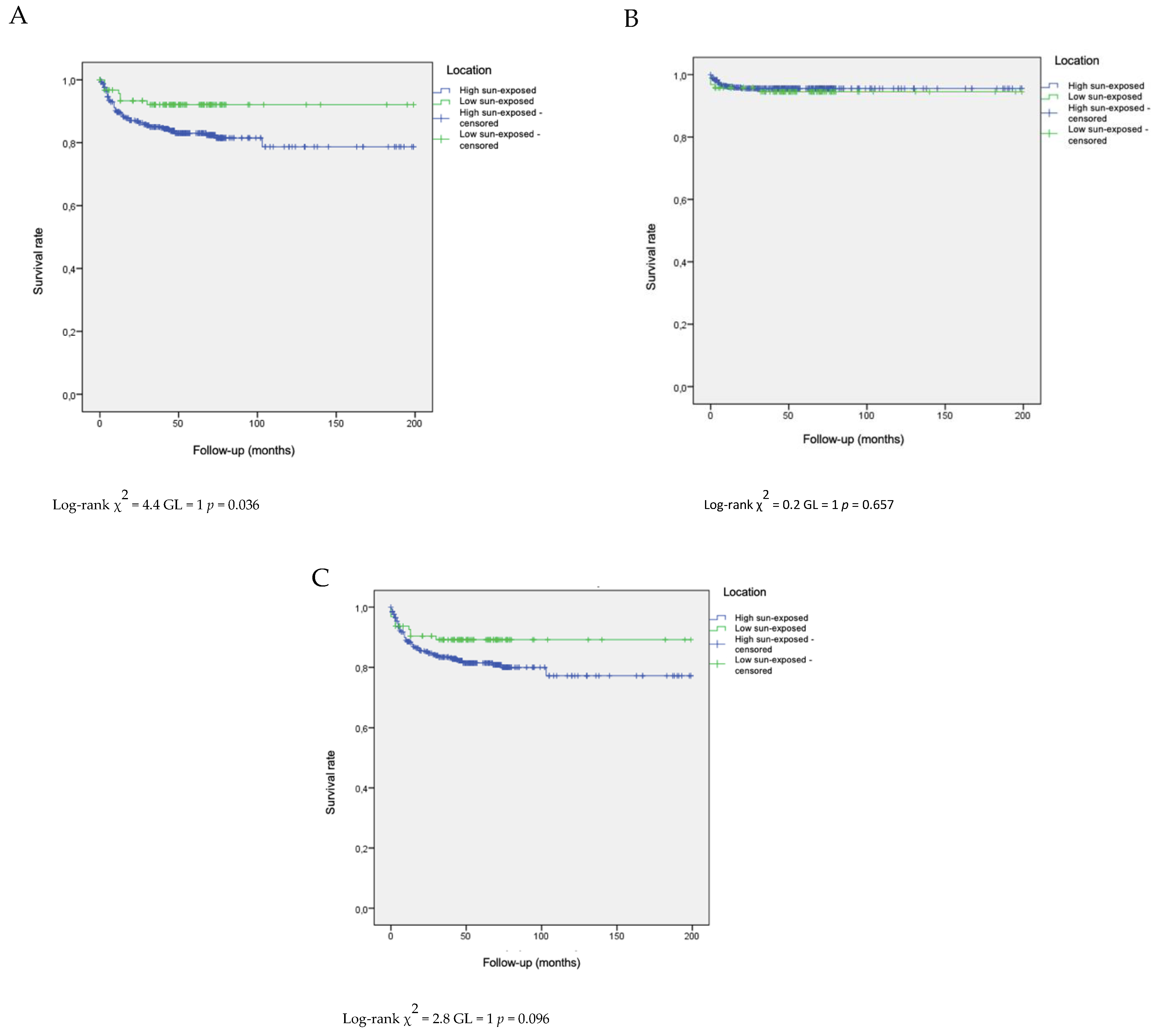
3. Results
4. Discussion
5. Conclusions
Author Contributions
Funding
Institutional Review Board Statement
Informed Consent Statement
Data Availability Statement
Conflicts of Interest
References
- Ramirez, C.C.; Federman, D.G.; Kirsner, R.S. Skin cancer as an occupational disease: The effect of ultraviolet and other forms of radiation. Int. J. Dermatol. 2005, 44, 95–100. [Google Scholar] [CrossRef] [PubMed]
- de Vries, E.; de Poll-Franse, L.V.; Lowman, W.J.; de Gruijl, F.R.; Coebergh, J.W. Predictions of skin cancer incidence in the Netherlands up to 2005. Brit. J. Dermatol. 2005, 152, 481–488. [Google Scholar] [CrossRef] [PubMed]
- Jennings, L.; Schmults, C.D. Management of high-risk cutaneous squamous cell carcinoma. J. Clin. Aesthet. Dermatol. 2010, 3, 39–48. [Google Scholar] [PubMed]
- Salgado, D.; Toll, A.; Alameda, F.; Baro, T.; Martín Ezquerra, G.; Sanmartín, O.; Martorell-Calatayud, A.; Salido, M.; Almenar, S.; Solé, F.; et al. CKS1B amplification is a frequent event in cutaneous squamous cell carcinoma with aggressive clinical behaviours. Genes Chromosomes Cancer 2010, 49, 1054–1061. [Google Scholar] [CrossRef]
- Yoong, C.; De’Ambrosis, B. Cutaneous invasive squamous cell carcinoma: 10-year experience and recommendations for follow up. Australas. J. Dermatol. 2009, 50, 261–265. [Google Scholar] [CrossRef]
- Cañueto, J.; Tejera-Vaquerizo, A.; Redondo, P.; Botella-Estrada, R.; Puig, S.; Sanmartin, O. A review of terms used to define cutaneous squamous cell carcinoma with a poor prognosis. Actas Dermosifiliogr. 2020, 111, 281–290. [Google Scholar] [CrossRef]
- Moore, B.; Weber, R.S.; Prieto, V.; Zhou, X.; Duvic, M.; El-Naggar, A.K.; Holsinger, F.G.; Zhou, X.; Lee, J.J.; Lippman, S.; et al. Lymph node metastases from cutaneous squamous cell carcinoma of the head and neck. Laryngoscope 2006, 115, 1561–1567. [Google Scholar] [CrossRef]
- Corpas, T.D.; Varela, M.M.; Fontestad, N.R.; Prósper, A.F.; Vila, A.M.; Cuevas, E.J. Carcinoma epidermoide cutáneo: Definición de sus características clínico-patológicas y factores de riesgo asociados en un estudio observacional de 118 pacientes. Actas Dermosifilogr. 2015, 106, 806–815. [Google Scholar] [CrossRef]
- Martorell, A.; Sanmartín, O.; Cruz, J.; Guillén, C. Carcinoma epidermoide cutáneo: Definiendo la variante de alto riesgo. Actas Dermosifilogr. 2013, 104, 367–379. [Google Scholar] [CrossRef]
- Gonzalez, A.; Etchichury, D.; Creydt, M.P.; Rivero, M.; Arizmendi, C.S. Prognostic factors for local recurrence and lymph node metastasis in cutaneous squamous cell carcinoma of the head and neck treated with Mohs surgery. Br. J. Dermatol. 2014, 171, 59–60. [Google Scholar]
- Thompson, A.K.; Kelley, B.F.; Prokop, L.P.; Murad, H.; Baum, C.L. Risk Factors for Cutaneous Squamous Cell Carcinoma Recurrence, Metastasis, and Disease-Specific Death. A Systematic Review and Meta-analysis. JAMA. 2016, 152, 419–428. [Google Scholar]
- Amin, M.B.; Edge, S.B.; Greene, F.L.; Byrd, D.R.; Brookland, R.K.; Washington, M.K.; Gershenwald, J.E.; Compton, C.C.; Hess, K.R.; Sullivan, D.C.; et al. AJCC Cancer Staging Manual, 8th ed.; Springer: New York, NY, USA, 2017. [Google Scholar]
- Goto, H.; Sugita, K.; Yamamoto, O. Expression of Programmed Death-Ligand 1 in Cutaneous Squamous Cell Carcinoma arising in sun-exposed and nonsun-exposed skin. Indian J. Dermatol. 2020, 65, 506–509. [Google Scholar] [CrossRef]
- Brantsch, K.D.; Meisner, C.; Schönfisch, B.; Trilling, B.; Wehner-Caroli, J.; Röcken, M.; Breuninger, H. Analysis of risk factors determining prognosis of cutaneous squamous-cell carcinoma: A prospective study. Lancet Oncol. 2008, 9, 713–720. [Google Scholar] [CrossRef] [PubMed]
- Dormand, E.L.; Ridha, H.; Vesely, M.J. Long-term outcome of squamous cell carcinoma of the upper and lower limbs. J. Plast. Reconstr. Aesthet. Surg. 2010, 63, 1705–1711. [Google Scholar] [CrossRef] [PubMed]
- Carter, J.B.; Johnson, M.M.; Chua, T.L.; Karia, P.S.; Schmults, C.D. Outcomes of Primary Cutaneous Squamous Cell Carcinoma with Perineural Invasion. JAMA Dermatol. 2013, 149, 35–44. [Google Scholar] [CrossRef] [PubMed]
- Schmults, C.D.; Karia, P.S.; Carter, J.B.; Han, J.; Qureshi, A.A. Factors Predictive of Recurrence and Death from Cutaneous Squamous Cell Carcinoma. JAMA Dermatol. 2013, 149, 541–547. [Google Scholar] [CrossRef] [PubMed]
- Lin, C.; Tripcony, L.; Keller, J.; Pulsen, M.; Martin, J.; Jackson, J.; Dickie, G. Perineural infiltration of cutaneous squamous cell carcinoma and basal cell carcinoma without clinical features. Int. J. Radiat. Oncol. Biol. Phys. 2012, 82, 334–340. [Google Scholar] [CrossRef]
- Stratigos, A.J.; Garbe, C.; Dessinioti, C.; Lebbe, C.; van Akkooi, A.; Bataille, V.; Bastholt, L.; Dreno, B.; Dummer, R.; Fargnoli, M.C.; et al. European interdisciplinary guideline on invasive squamous cell carcinoma of the skin: Part 2. Treatment. Eur. J. Cancer 2020, 128, 83–102. [Google Scholar] [CrossRef]
- Schmults, C.D.; Blitzblau, R.; Aasi, S.Z.; Alam, M.; Amini, A.; Baumann, B.C.; Bordeaux, J.; Chen, P.; Chin, R.; Contreras, C.; et al. NCCN Guidelines Squamous Cell Skin Cancer. Version 1. 2023. NCCN Clinical Practice Guidelines in Oncology (NCCN Guidelines®). Available online: https://www.nccn.org (accessed on 6 April 2023).
- Brougham, N.; Tan, S.T. The Incidence and Risk Factors of Metastasis for Cutaneous Squamous Cell Carcinoma—Implications on the T-Classification System. J. Surg. Oncol. 2014, 110, 876–882. [Google Scholar] [CrossRef]
- Almahroos, M.; Kurban, A.K. Ultraviolet carcinogénesis in nonmelanoma skin cáncer. Part I: Incidence rates in relation to geographic locations and inmigrant populations. SKINmed Dermatol. Clin. 2004, 3, 29–35. [Google Scholar]
- Caudill, J.; Thomas, J.E.; Burkhart, C.G. The risk of metastases from squamous cell carcinoma of the skin. Int. J. Dermatol. 2023, 62, 483–486. [Google Scholar] [CrossRef]
- Farah, M.; Milton, D.R.; Gross, N.D.; Nagarajan, P.; Gu, J.; Curry, J.L.; Ivan, D.; Torres-Cabala, C.A.; Myers, J.N.; Prieto, V.G.; et al. Histopathologic features predictive of metastasis and survival in 230 patients with cutaneous squamous cell carcinoma of the head and neck and non-head and neck locations: A single-center retrospective study. J. Eur. Acad. Dermatol. Venereol. 2022, 36, 1246–1255. [Google Scholar] [CrossRef] [PubMed]
- Zakhem, G.A.; Pulavarty, A.N.; Carucci, J.; Stevenson, M.L. Association of Patient Risk Factors, Tumor Characteristics, and Treatment Modality with Poor Outcomes in Primary Cutaneous Squamous Cell Carcinoma: A Systematic Review and Meta-analysis. JAMA Dermatol. 2023, 159, 160–171. [Google Scholar] [CrossRef] [PubMed]
- Karia, P.S.; Jambusaria-Pahlajani, A.; Harrington, D.P.; Murphy, G.R.; Qureshi, A.A.; Schmults, C.D. Evaluation of American Joint Committee on Cancer, International Union Against Cancer, and Brigham and Women’s Hospital tumor staging for cutaneous squamous cell carcinoma. J. Clin. Oncol. 2014, 32, 327–334. [Google Scholar] [CrossRef] [PubMed]
- Brinkman, J.N.; Hajder, E.; van der Holt, B.; Den Blakker, M.A.; Hovius, S.E.; Mureau, M.A. The effect of differentation grade of cutaneous squamous cell carcinoma on excision margins, local recurrence, metástasis, and patient survival: A retrospective follow-up study. Ann. Plast. Surg. 2015, 75, 323–326. [Google Scholar] [CrossRef] [PubMed]
- Rudolph, R.; Zelac, D.E. Squamous cell carcinoma of the skin. Plast. Reconstr. Surg. 2004, 114, 82–94. [Google Scholar] [CrossRef]
- Renzi, C.; Caggiati, A.; Mannooranparampil, T.J.; Passarelli, F.; Pennasilico, G.M.; Ceccoci, S.; Potenza, C.; Pasquini, P. Sentinel lymph node biopsy for high risk cutaneous squamous cell carcinoma: Case series and review of the literatura. Eur. J. Surg. Oncol. 2007, 33, 364–369. [Google Scholar] [CrossRef]
- Vittinghoff, E.; McCulloch, C.E. Relaxing the rule of ten events per variable in logistic and Cox regression. Am. J. Epidemiol. 2007, 165, 710–718. [Google Scholar] [CrossRef]
- Jambusaria, A.; Hess, S.D.; Katz, K.A.; Berg, D.; Schmults, C.D. Uncertainty in the perioperative management of high-risk cutaneous squamous cell carcinoma among Mohs surgeons. Arch. Dermatol. 2010, 146, 1225–1231. [Google Scholar] [CrossRef]
- Nuño, A.; Vicente, F.J.; Pinedo, F. Carcinoma epidermoide cutáneo de alto riesgo. Actas Dermosifilogr. 2012, 103, 567–578. [Google Scholar] [CrossRef]
- Lomas, A.; Leonardi-Bee, J.; Bath-Hextall, F. A systematic review of worldwide incidence of nonmelanoma skin cancer. Br. J. Dermatol. 2012, 166, 1069–1080. [Google Scholar] [CrossRef] [PubMed]
- Egashira, S.; Jinnin, M.; Ajino, M.; Shimozono, N.; Okamoto, S.; Tasaki, Y.; Hirano, A.; Ide, M.; Jajihara, I.; Aoi, J.; et al. Chronic sun exposure-related fusion oncogenes EGFR-PPARGC1A in cutaneous squamous cell carcinoma. Sci. Rep. 2017, 7, 12654. [Google Scholar] [CrossRef]
- Leiter, U.; Keim, U.; Garbe, C. Epidemiology of skin cancer: Update 2019. In Sunlight, Vitamin D and Skin Cancer, 3rd ed.; Reichrath, J., Ed.; Springer: Cham, Switzerland, 2020; pp. 123–139. [Google Scholar]
- Que, S.K.T.; Zwald, F.O.; Schmults, C.D. Cutaneous squamous cell carcinoma Incidence, risk factors, diagnosis, and staging. J. Am. Acad. Dermatol. 2018, 78, 237–247. [Google Scholar] [CrossRef] [PubMed]
- Fahy, E.J.; Sugrue, C.M.; Jones, D.; Regan, P.; Hussey, A.; Potter, S.; Kerin, M.; McInerney, N.M.; Kelly, J. A retrospective cohort study of cutaneous squamous cell carcinoma of the scalp: Features of disease and influence of sociodemographic factors on outcomes. Ir. J. Med. Sci. 2022, 191, 1217–1222. [Google Scholar] [CrossRef] [PubMed]

| Characteristics of Patients | cSCC in Highly Sun-Exposed Areas | cSCC in Less Sun-Exposed Areas | p Value |
|---|---|---|---|
| N (%) o Mean (DS) | N (%) o Mean (DS) | ||
| No. of patients | |||
| 463 | 95 | - | |
| Sex | |||
| Male | 346 (74.7%) | 41 (43.2%) | <0.001 |
| Female | 117 (25.3%) | 54 (56.8%) | |
| Age (years) | |||
| 78.7 (10.1) | 76.9 (12.8) | NS | |
| Type of community | |||
| Urban | 198 (43%) | 40 (42.1%) | NS |
| Rural | 263 (57%) | 55 (57.9%) | |
| Fitzpatrick skin phototype | |||
| I | 16 (18.8%) | 1 (6.7%) | |
| II | 35 (41.2%) | 7 (46.7%) | NS |
| III | 34 (40%) | 7 (46.7%) | |
| Previous skin cancer | |||
| No | 207 (44.7%) | 57 (60%) | |
| CCNM | 249 (53.8%) | 36 (37.9%) | NS |
| Melanoma | 5 (1.1%) | 1 (1.1%) | |
| CCNM + melanoma | 2 (0.4%) | 1 (1.1%) | |
| Immunosuppression | |||
| No | 390 (84.2%) | 75 (78.9%) | |
| Pharmacological | 60 (13%) | 14 (14.7%) | NS |
| No-pharmacological immunosuppression | 13 (2.8%) | 6 (6.3%) |
| SCC Characteristics | cSCC in Highly Sun-Exposed Areas | cSCC in Less Sun-Exposed Areas | p Value |
|---|---|---|---|
| N (%) o Mean (DS) | N (%) o Mean (DS) | ||
| SCC localization | |||
| Head and neck | 463 (100%) | - | |
| Upper limbs | - | 47 (50%) | |
| Lower limbs | - | 28 (29.8%) | |
| Trunk | - | 19 (20.2%) | |
| High-risk tumors | |||
| 463 (100%) | 65 (68.7%) | ||
| Duration of evolution (months) | |||
| 7.2 (8.3) | 6 (6.7) | NS | |
| SCC major diameter (cm) | |||
| 1.7 (1.2) | 2 (1.6) | NS | |
| SCC minor diameter (cm) | |||
| 1.4 (1) | 1.7 (1.4) | NS | |
| Depth (mm) | |||
| 5.7 (4.7) | 5.8 (4.7) | NS | |
| Degree of differentiation | |||
| Poor differentiated | 69 (15.1%) | 5 (5.6%) | |
| Moderate differentiated | 201 (43.9%) | 42 (46.7%) | NS |
| Well differentiated | 188 (41%) | 43 (47.8%) | |
| Diagnosis of PNI | |||
| No | 423 (91.3%) | 87 (95.6%) | |
| Incidental | 23 (4.9%) | 2 (2.2%) | NS |
| Clinically relevant | 17 (3.7%) | 2 (2.2%) | |
| Lymphovascular involvement | |||
| No | 444 (97.6%) | 95 (100%) | NS |
| Yes | 11 (2.4%) | - | |
| Deep of invasion | |||
| No | 390 (86.1%) | 80 (86%) | |
| Fascia | 47 (10.4%) | 11 (11.8%) | |
| Muscle | 10 (2.2%) | 2 (2.2%) | NS |
| Cartilage | 3 (0.7%) | - | |
| Bone | 3 (0.7%) | - | |
| Metastasis | |||
| No | 444 (95.9%) | 90 (94.7%) | NS |
| Yes | 19 (4.1%) | 5 (5.3%) | |
| Local recurrence | |||
| No | 390 (84.2%) | 88 (92.6%) | 0.03 |
| Yes | 73 (15.8%) | 7 (7.4%) | |
| Surgical margins | |||
| Negative | 340 (74.9%) | 82 (89.1%) | 0.002 |
| Positive | 114 (24.6%) | 10 (10.5%) | |
| Lateral margin positive | 59 (12.7%) | 4 (4.2%) | |
| Deep margin positive | 55 (11.8%) | 6 (6.3%) | |
| Surgical reintervention after positive margins | |||
| No | 22/114 (19.3%) | 5/10 (50%) | 0.024 |
| Yes | 92/114 (80.7%) | 5/10 (50%) | |
| Final R0 status | |||
| 394 (85.1%) | 86 (90.5%) | NS | |
| Adjuvant radiotherapy | |||
| No | 431 (93.1%) | 89 (93.7%) | NS |
| Yes | 32 (6.9%) | 6 (6.3%) | |
| Follow-up (months) | 38 (5.7) | 35 (6.4) | NS |
| 6 Months | 12 Months | 24 Months | |
|---|---|---|---|
Local recurrence or metastasis
| 7.5% | 10.8% | 13.9% |
| 7.8% | 11.5% | 14.8% | |
| 6.3% | 7.4% | 9.6% | |
Local recurrence
| 6% | 9.3% | 12.1% |
| 6.6% | 10.3% | 13.2% | |
| 3.3% | 4.4% | 6.7% | |
Metastasis
| 3.3% | 3.9% | 4.4% |
| 3.2% | 3.9% | 4.4% | |
| 4.2% | 4.2% | 4.2% |
| Variables | RR | CI 95% | p Value |
|---|---|---|---|
| Sex | 0.5 | (0.1–1.7) | NS |
| Age (years) | 1 | (1–1.1) | NS |
| Phototype | 4.1 | (0.5–36) | NS |
| Previous skin cancer | 1.3 | (0.5–3.5) | NS |
| Immunosuppression | 0.8 | (0.2–2.7) | NS |
| SCC larger diameter (cm) | 1.2 | (0.9–1.6) | NS |
| SCC minor diameter (cm) | 1.2 | (0.9–1.7) | NS |
| SCC depth (mm) | 1.1 | (1–1.2) | 0.012 |
| Degree of differentiation | 0.4 | (0.1–1) | NS |
| Perineural invasion | 2.8 | (0.3–22.4) | NS |
| Surgical margins | 2.5 | (1.2–5.1) | 0.011 |
Disclaimer/Publisher’s Note: The statements, opinions and data contained in all publications are solely those of the individual author(s) and contributor(s) and not of MDPI and/or the editor(s). MDPI and/or the editor(s) disclaim responsibility for any injury to people or property resulting from any ideas, methods, instructions or products referred to in the content. |
© 2023 by the authors. Licensee MDPI, Basel, Switzerland. This article is an open access article distributed under the terms and conditions of the Creative Commons Attribution (CC BY) license (https://creativecommons.org/licenses/by/4.0/).
Share and Cite
Morelló-Vicente, A.; Espejo-Marín, M.; Oteiza-Rius, I.; Antoñanzas, J.; Vélez, A.; Salido-Vallejo, R. Increased Risk of Local Recurrence in Cutaneous Squamous Cell Carcinoma Arising in Sun-Exposed Skin: A Retrospective Cohort Study. Cancers 2023, 15, 5037. https://doi.org/10.3390/cancers15205037
Morelló-Vicente A, Espejo-Marín M, Oteiza-Rius I, Antoñanzas J, Vélez A, Salido-Vallejo R. Increased Risk of Local Recurrence in Cutaneous Squamous Cell Carcinoma Arising in Sun-Exposed Skin: A Retrospective Cohort Study. Cancers. 2023; 15(20):5037. https://doi.org/10.3390/cancers15205037
Chicago/Turabian StyleMorelló-Vicente, Ana, Marta Espejo-Marín, Inés Oteiza-Rius, Javier Antoñanzas, Antonio Vélez, and Rafael Salido-Vallejo. 2023. "Increased Risk of Local Recurrence in Cutaneous Squamous Cell Carcinoma Arising in Sun-Exposed Skin: A Retrospective Cohort Study" Cancers 15, no. 20: 5037. https://doi.org/10.3390/cancers15205037
APA StyleMorelló-Vicente, A., Espejo-Marín, M., Oteiza-Rius, I., Antoñanzas, J., Vélez, A., & Salido-Vallejo, R. (2023). Increased Risk of Local Recurrence in Cutaneous Squamous Cell Carcinoma Arising in Sun-Exposed Skin: A Retrospective Cohort Study. Cancers, 15(20), 5037. https://doi.org/10.3390/cancers15205037

