WT1 Trio Peptide-Based Cancer Vaccine for Rare Cancers Expressing Shared Target WT1
Abstract
Simple Summary
Abstract
1. Introduction
2. Materials and Methods
2.1. Peptides
2.2. Treatment
2.3. Evaluation of the Safety and Clinical Efficacy
2.4. Collection of Samples for Immune Monitoring
2.5. DTH Skin Test
2.6. Enzyme-Linked Immunosorbent Assay (ELISA)
2.7. Enzyme-Linked Immunospot (ELISPOT) Assay
2.8. Statistical Analysis
3. Results
3.1. Patient Characteristics
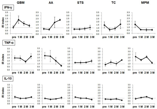
3.2. Immunological Responses
3.3. Safety
3.4. Clinical efficacy
3.4.1. Malignant Glioma
3.4.2. STS
3.4.3. MPM
3.4.4. TC
3.4.5. Others
3.5. Association between Immune-Related Factors before the Vaccination Start and Prognosis
4. Discussion
5. Conclusions
Supplementary Materials
Author Contributions
Funding
Institutional Review Board Statement
Informed Consent Statement
Data Availability Statement
Acknowledgments
Conflicts of Interest
References
- Greenlee, R.T.; Goodman, M.T.; Lynch, C.F.; Platz, C.E.; Havener, L.A.; Howe, H.L. The occurrence of rare cancers in U.S. adults, 1995–2004. Public Health Rep. 2010, 125, 28–43. [Google Scholar] [CrossRef] [PubMed]
- Boyd, N.; Dancey, J.E.; Gilks, C.B.; Huntsman, D.G. Rare cancers: A sea of opportunity. Lancet Oncol. 2016, 17, e52–e61. [Google Scholar] [CrossRef] [PubMed]
- Casali, P.G.; Trama, A. Rationale of the rare cancer list: A consensus paper from the Joint Action on Rare Cancers (JARC) of the European Union (EU). ESMO Open 2020, 5, e000666. [Google Scholar] [CrossRef]
- Matsuda, T.; Won, Y.J.; Chiang, R.C.; Lim, J.; Saika, K.; Fukui, K.; Lee, W.C.; Botta, L.; Bernasconi, A.; Trama, A. Rare cancers are not rare in Asia as well: The rare cancer burden in East Asia. Cancer Epidemiol. 2020, 67, 101702. [Google Scholar] [CrossRef]
- Call, K.M.; Glaser, T.M.; Ito, C.Y.; Buckler, A.J.; Pelletier, J.; Haber, D.A.; Rose, E.A.; Kral, A.; Yeger, H.; Lewis, W.H. Isolation and characterization of a zinc finger polypeptide gene at the human chromosome 11 Wilms’ tumor locus. Cell 1990, 60, 509–520. [Google Scholar] [CrossRef] [PubMed]
- Ito, K.; Oji, Y.; Tatsumi, N.; Shimizu, S.; Kanai, Y.; Nakazawa, T.; Asada, M.; Jomgeow, T.; Aoyagi, S.; Nakano, Y.; et al. Antiapoptotic function of 17AA(+)WT1 (Wilms’ tumor gene) isoforms on the intrinsic apoptosis pathway. Oncogene 2006, 25, 4217–4229. [Google Scholar] [CrossRef] [PubMed]
- Jomgeow, T.; Oji, Y.; Tsuji, N.; Ikeda, Y.; Ito, K.; Tsuda, A.; Nakazawa, T.; Tatsumi, N.; Sakaguchi, N.; Takashima, S.; et al. Wilms’ tumor gene WT1 17AA(−)/KTS(−) isoform induces morphological changes and promotes cell migration and invasion in vitro. Cancer Sci. 2006, 97, 259–270. [Google Scholar] [CrossRef]
- Oji, Y.; Tatsumi, N.; Kobayashi, J.; Fukuda, M.; Ueda, T.; Nakano, E.; Saito, C.; Shibata, S.; Sumikawa, M.; Fukushima, H.; et al. Wilms’ tumor gene WT1 promotes homologous recombination-mediated DNA damage repair. Mol. Carcinog. 2015, 54, 1758–1771. [Google Scholar] [CrossRef]
- Han, Y.; Song, C.; Zhang, T.; Zhou, Q.; Zhang, X.; Wang, J.; Xu, B.; Zhang, X.; Liu, X.; Ying, X. Wilms’ tumor 1 (WT1) promotes ovarian cancer progression by regulating E-cadherin and ERK1/2 signaling. Cell Cycle 2020, 19, 2662–2675. [Google Scholar] [CrossRef]
- Dietachmayr, M.; Rathakrishnan, A.; Karpiuk, O.; von Zweydorf, F.; Engleitner, T.; Fernández-Sáiz, V.; Bassermann, F. Antagonistic activities of CDC14B and CDK1 on USP9X regulate WT1-dependent mitotic transcription and survival. Nat. Commun. 2020, 11, 1268. [Google Scholar] [CrossRef]
- Inoue, K.; Tamaki, H.; Ogawa, H.; Oka, Y.; Soma, T.; Tatekawa, T.; Oji, Y.; Tsuboi, A.; Kim, E.H.; Kawakami, M.; et al. Wilms’ tumor gene (WT1) competes with differentiation-inducing signal in hematopoietic progenitor cells. Blood 1998, 91, 2969–2976. [Google Scholar] [CrossRef] [PubMed]
- Oji, Y.; Miyoshi, S.; Maeda, H.; Hayashi, S.; Tamaki, H.; Nakatsuka, S.; Yao, M.; Takahashi, E.; Nakano, Y.; Hirabayashi, H.; et al. Overexpression of the Wilms’ tumor gene WT1 in de novo lung cancers. Int. J. Cancer 2002, 100, 297–303. [Google Scholar] [CrossRef] [PubMed]
- Oji, Y.; Yamamoto, H.; Nomura, M.; Nakano, Y.; Ikeba, A.; Nakatsuka, S.; Abeno, S.; Kiyotoh, E.; Jomgeow, T.; Sekimoto, M.; et al. Overexpression of the Wilms’ tumor gene WT1 in colorectal adenocarcinoma. Cancer Sci. 2003, 94, 712–717. [Google Scholar] [CrossRef] [PubMed]
- Oji, Y.; Nakamori, S.; Fujikawa, M.; Nakatsuka, S.; Yokota, A.; Tatsumi, N.; Abeno, S.; Ikeba, A.; Takashima, S.; Tsujie, M.; et al. Overexpression of the Wilms’ tumor gene WT1 in pancreatic ductal adenocarcinoma. Cancer Sci. 2004, 95, 583–587. [Google Scholar] [CrossRef] [PubMed]
- Oji, Y.; Suzuki, T.; Nakano, Y.; Maruno, M.; Nakatsuka, S.; Jomgeow, T.; Abeno, S.; Tatsumi, N.; Yokota, A.; Aoyagi, S.; et al. Overexpression of the Wilms’ tumor gene WT1 in primary astrocytic tumors. Cancer Sci. 2004, 95, 822–827. [Google Scholar] [CrossRef]
- Ueda, T.; Oji, Y.; Naka, N.; Nakano, Y.; Takahashi, E.; Koga, S.; Asada, M.; Ikeba, A.; Nakatsuka, S.; Abeno, S.; et al. Overexpression of the Wilms’ tumor gene WT1 in human bone and soft-tissue sarcomas. Cancer Sci. 2003, 94, 271–276. [Google Scholar] [CrossRef]
- Oka, Y.; Elisseeva, O.A.; Tsuboi, A.; Ogawa, H.; Tamaki, H.; Li, H.; Oji, Y.; Kim, E.H.; Soma, T.; Asada, M.; et al. Human cytotoxic T lymphocyte responses specific for peptides of the wild-type Wilms’ tumor gene (WT1) product. Immunogenetics 2000, 51, 99–107. [Google Scholar] [CrossRef]
- Ohminami, H.; Yasukawa, M.; Fujita, S. HLA class I-restricted lysis of leukemia cells by a CD8+ cytotoxic T-lymphocyte clone specific for WT1 peptide. Blood 2000, 95, 286–293. [Google Scholar] [CrossRef]
- Gao, L.; Bellantuono, I.; Elsässer, A.; Marley, S.B.; Gordon, M.Y.; Goldman, J.M.; Stauss, H.J. Selective elimination of leukemic CD34+ progenitor cells by cytotoxic T lymphocytes specific for WT1. Blood 2000, 95, 2198–2203. [Google Scholar] [CrossRef]
- Oka, Y.; Tsuboi, A.; Taguchi, T.; Osaki, T.; Kyo, T.; Nakajima, H.; Elisseeva, O.A.; Oji, Y.; Kawakami, M.; Ikegame, K.; et al. Induction of WT1 (Wilms’ tumor gene)-specific cytotoxic T lymphocytes by WT1 peptide vaccine and the resultant cancer regression. Proc. Natl. Acad. Sci. USA 2004, 101, 13885–13890. [Google Scholar] [CrossRef]
- Izumoto, S.; Tsuboi, A.; Oka, Y.; Suzuki, T.; Hashiba, T.; Kagawa, N.; Hashimoto, N.; Maruno, M.; Elisseeva, O.A.; Shirakata, T.; et al. Phase II clinical trial of Wilms tumor 1 peptide vaccination for patients with recurrent glioblastoma multiforme. J. Neurosurg. 2008, 108, 963–971. [Google Scholar] [CrossRef] [PubMed]
- Hashii, Y.; Sato-Miyashita, E.; Matsumura, R.; Kusuki, S.; Yoshida, H.; Ohta, H.; Hosen, N.; Tsuboi, A.; Oji, Y.; Oka, Y.; et al. WT1 peptide vaccination following allogeneic stem cell transplantation in pediatric leukemic patients with high risk for relapse: Successful maintenance of durable remission. Leukemia 2012, 26, 530–532. [Google Scholar] [CrossRef]
- Oji, Y.; Inoue, M.; Takeda, Y.; Hosen, N.; Shintani, Y.; Kawakami, M.; Harada, T.; Murakami, Y.; Iwai, M.; Fukuda, M.; et al. WT1 peptide-based immunotherapy for advanced thymic epithelial malignancies. Int. J. Cancer 2018, 142, 2375–2382. [Google Scholar] [CrossRef] [PubMed]
- Hanada, S.; Tsuruta, T.; Haraguchi, K.; Okamoto, M.; Sugiyama, H.; Koido, S. Long-term survival of pancreatic cancer patients treated with multimodal therapy combined with WT1-targeted dendritic cell vaccines. Hum. Vaccines Immunother. 2019, 15, 397–406. [Google Scholar] [CrossRef] [PubMed]
- Anguille, S.; Van de Velde, A.L.; Smits, E.L.; Van Tendeloo, V.F.; Juliusson, G.; Cools, N.; Nijs, G.; Stein, B.; Lion, E.; Van Driessche, A.; et al. Dendritic cell vaccination as postremission treatment to prevent or delay relapse in acute myeloid leukemia. Blood 2017, 130, 1713–1721. [Google Scholar] [CrossRef]
- Ochi, T.; Fujiwara, H.; Okamoto, S.; An, J.; Nagai, K.; Shirakata, T.; Mineno, J.; Kuzushima, K.; Shiku, H.; Yasukawa, M. Novel adoptive T-cell immunotherapy using a WT1-specific TCR vector encoding silencers for endogenous TCRs shows marked antileukemia reactivity and safety. Blood 2011, 118, 1495–1503. [Google Scholar] [CrossRef]
- Chapuis, A.G.; Egan, D.N.; Bar, M.; Schmitt, T.M.; McAfee, M.S.; Paulson, K.G.; Voillet, V.; Gottardo, R.; Ragnarsson, G.B.; Bleakley, M.; et al. T cell receptor gene therapy targeting WT1 prevents acute myeloid leukemia relapse post-transplant. Nat. Med. 2019, 25, 1064–1072. [Google Scholar] [CrossRef]
- Nishida, S.; Ishikawa, T.; Egawa, S.; Koido, S.; Yanagimoto, H.; Ishii, J.; Kanno, Y.; Kokura, S.; Yasuda, H.; Oba, M.S.; et al. Combination gemcitabine and WT1 peptide vaccination improves progression-free survival in advanced pancreatic ductal adenocarcinoma: A Phase II randomized study. Cancer Immunol. Res. 2018, 6, 320–331. [Google Scholar] [CrossRef]
- Oji, Y.; Hashimoto, N.; Tsuboi, A.; Murakami, Y.; Iwai, M.; Kagawa, N.; Chiba, Y.; Izumoto, S.; Elisseeva, O.; Ichinohasama, R.; et al. Association of WT1 IgG antibody against WT1 peptide with prolonged survival in glioblastoma multiforme patients vaccinated with WT1 peptide. Int. J. Cancer. 2016, 139, 1391–1401. [Google Scholar] [CrossRef]
- Nishida, S.; Morimoto, S.; Oji, Y.; Morita, S.; Shirakata, T.; Enomoto, T.; Tsuboi, A.; Ueda, Y.; Yoshino, K.; Shouq, A.; et al. Cellular and humoral immune responses induced by an HLA class I-restricted peptide cancer vaccine targeting WT1 are associated with favorable clinical outcomes in advanced ovarian cancer. J. Immunother. 2022, 45, 56–66. [Google Scholar] [CrossRef]
- Fujiki, F.; Oka, Y.; Tsuboi, A.; Kawakami, M.; Kawakatsu, M.; Nakajima, H.; Elisseeva, O.A.; Harada, Y.; Ito, K.; Li, Z.; et al. Identification and characterization of a WT1 (Wilms tumor Gene) protein-derived HLA-DRB1*0405-restricted 16-mer helper peptide that promotes the induction and activation of WT1-specific cytotoxic T lymphocytes. J. Immunother. 2007, 30, 282–293. [Google Scholar] [CrossRef] [PubMed]
- Nakata, J.; Nakajima, H.; Hayashibara, H.; Imafuku, K.; Morimoto, S.; Fujiki, F.; Motooka, D.; Okuzaki, D.; Hasegawa, K.; Hosen, N.; et al. Extremely strong infiltration of WT1-specific CTLs into mouse tumor by the combination vaccine with WT1-specific CTL and helper peptides. Oncotarget 2018, 9, 36029–36038. [Google Scholar] [CrossRef] [PubMed]
- Tsuboi, A.; Hashimoto, N.; Fujiki, F.; Morimoto, S.; Kagawa, N.; Nakajima, H.; Hosen, N.; Nishida, S.; Nakata, J.; Morita, S.; et al. A phase I clinical study of a cocktail vaccine of Wilms’ tumor 1 (WT1) HLA class I and II peptides for recurrent malignant glioma. Cancer Immunol. Immunother. 2019, 68, 331–340. [Google Scholar] [CrossRef] [PubMed]
- Fujiki, F.; Tsuboi, A.; Morimoto, S.; Hashimoto, N.; Inatome, M.; Nakajima, H.; Nakata, J.; Nishida, S.; Hasegawa, K.; Hosen, N.; et al. Identification of two distinct populations of WT1-specific cytotoxic T lymphocytes in co-vaccination of WT1 killer and helper peptides. Cancer Immunol. Immunother. 2021, 70, 253–263. [Google Scholar] [CrossRef]
- Mittra, A.; Moscow, J.A. Future approaches to precision oncology-based clinical trials. Cancer J. 2019, 25, 300–304. [Google Scholar] [CrossRef]
- Eisenhauer, E.A.; Therasse, P.; Bogaerts, J.; Schwartz, L.H.; Sargent, D.; Ford, R.; Dancey, J.; Arbuck, S.; Gwyther, S.; Mooney, M.; et al. New response evaluation criteria in solid tumours: Revised RECIST guideline (Version 1.1). Eur. J. Cancer 2009, 45, 228–247. [Google Scholar] [CrossRef]
- NCI Common Terminology Criteria for Adverse Events (CTCAE) Version 4.0. Published: 2009 (v.4.03, 2010). Available online: https://www.eortc.be/services/doc/ctc/ctcae_4.03_2010-06-14_quickreference_5x7.pdf (accessed on 29 November 2022).
- Alzaaqi, S.; Naka, N.; Hamada, K.; Hosen, N.; Kanegae, M.; Outani, H.; Adachi, M.; Imanishi, R.; Morii, E.; Iwai, M.; et al. WT1 epitope-specific IgG and IgM antibodies for immune-monitoring in patients with advanced sarcoma treated with a WT1 peptide cancer vaccine. Oncol. Lett. 2022, 23, 65. [Google Scholar] [CrossRef]
- Hayashi, S.; Imanishi, R.; Adachi, M.; Ikejima, S.; Nakata, J.; Morimoto, S.; Fujiki, F.; Nishida, S.; Tsuboi, A.; Hosen, N.; et al. Reader-free ELISPOT assay for immuno-monitoring in peptide-based cancer vaccine immunotherapy. Biomed. Rep. 2020, 12, 244–250. [Google Scholar] [CrossRef]
- Crotty, S. Follicular helper CD4 T cells (TFH). Annu. Rev. Immunol. 2011, 29, 621–663. [Google Scholar] [CrossRef]
- De Chaisemartin, L.; Goc, J.; Damotte, D.; Validire, P.; Magdeleinat, P.; Alifano, M.; Cremer, I.; Fridman, W.H.; Sautès-Fridman, C.; Dieu-Nosjean, M.C. Characterization of chemokines and adhesion molecules associated with T cell presence in tertiary lymphoid structures in human lung cancer. Cancer Res. 2011, 71, 6391–6399. [Google Scholar] [CrossRef]
- Germain, C.; Gnjatic, S.; Tamzalit, F.; Knockaert, S.; Remark, R.; Goc, J.; Lepelley, A.; Becht, E.; Katsahian, S.; Bizouard, G.; et al. Presence of B cells in tertiary lymphoid structures is associated with a protective immunity in patients with lung cancer. Am. J. Respir. Crit. Care Med. 2014, 189, 832–844. [Google Scholar] [CrossRef] [PubMed]
- Gu-Trantien, C.; Loi, S.; Garaud, S.; Equeter, C.; Libin, M.; de Wind, A.; Ravoet, M.; Le Buanec, H.; Sibille, C.; Manfouo-Foutsop, G.; et al. CD4+ follicular helper T cell infiltration predicts breast cancer survival. J. Clin. Investig. 2013, 123, 2873–2892. [Google Scholar] [CrossRef] [PubMed]
- Lee, H.J.; Kim, J.Y.; Park, I.A.; Song, I.H.; Yu, J.H.; Ahn, J.H.; Gong, G. Prognostic significance of tumor-infiltrating lymphocytes and the tertiary lymphoid structures in HER2-positive breast cancer treated with adjuvant trastuzumab. Am. J. Clin. Pathol. 2015, 144, 278–288. [Google Scholar] [CrossRef] [PubMed]
- Chen, L.; Oke, T.; Siegel, N.; Cojocaru, G.; Tam, A.J.; Blosser, R.L.; Swailes, J.; Ligon, J.A.; Lebid, A.; Morris, C.; et al. The immunosuppressive niche of soft-tissue sarcomas is sustained by tumor-associated macrophages and characterized by intratumoral tertiary lymphoid structures. Clin. Cancer Res. 2020, 26, 4018–4030. [Google Scholar] [CrossRef]
- Cabrita, R.; Lauss, M.; Sanna, A.; Donia, M.; Skaarup Larsen, M.; Mitra, S.; Johansson, I.; Phung, B.; Harbst, K.; Vallon-Christersson, J.; et al. Tertiary lymphoid structures improve immunotherapy and survival in melanoma. Nature 2020, 577, 561–565. [Google Scholar] [CrossRef]
- Petitprez, F.; de Reyniès, A.; Keung, E.Z.; Chen, T.W.; Sun, C.M.; Calderaro, J.; Jeng, Y.M.; Hsiao, L.P.; Lacroix, L.; Bougoüin, A.; et al. B cells are associated with survival and immunotherapy response in sarcoma. Nature 2020, 577, 556–560. [Google Scholar] [CrossRef]
- Zhang, L.; Bridle, B.W.; Chen, L.; Pol, J.; Spaner, D.; Boudreau, J.E.; Rosen, A.; Bassett, J.D.; Lichty, B.D.; Bramson, J.L.; et al. Delivery of viral-vectored vaccines by B cells represents a novel strategy to accelerate CD8+ T-cell recall responses. Blood 2013, 121, 2432–2439. [Google Scholar] [CrossRef]
- Becker, H.J.; Kondo, E.; Shimabukuro-Vornhagen, A.; Theurich, S.; von Bergwelt-Baildon, M.S. Processing and MHC class II presentation of exogenous soluble antigen involving a proteasome-dependent cytosolic pathway in CD40-activated B cells. Eur. J. Haematol. 2016, 97, 166–174. [Google Scholar] [CrossRef]
- Borst, J.; Ahrends, T.; Bąbała, N.; Melief, C.J.M.; Kastenmüller, W. CD4+ T cell help in cancer immunology and immunotherapy. Nat. Rev. Immunol. 2018, 18, 635–647. [Google Scholar] [CrossRef]
- Mannino, M.H.; Zhu, Z.; Xiao, H.; Bai, Q.; Wakefield, M.R.; Fang, Y. The paradoxical role of IL-10 in immunity and cancer. Cancer Lett. 2015, 367, 103–107. [Google Scholar] [CrossRef]



| Disease | Pt no. | Age (Median) | Sex | HLA-A | Steroid | NSAID | |||
|---|---|---|---|---|---|---|---|---|---|
| M | F | 24:02 | 02:01 | Both | |||||
| Glioblastoma multiforme (GBM) | 15 | 26–75 (45) | 8 | 7 | 9 | 4 | 2 | 5 | 1 |
| Anaplastic astrocytoma (AA) | 8 | 28–72 (57) | 7 | 1 | 7 | 0 | 1 | 3 | 0 |
| Soft-tissue (STS) | 9 | 18–81 (61) | 4 | 5 | 5 | 4 | 0 | 0 | 3 |
| Thymic cancer (TC) | 5 | 43–78 (58) | 3 | 2 | 3 | 2 | 0 | 0 | 3 |
| Malignant pleural mesothelioma (MPM) | 6 | 53–76 (72) | 5 | 1 | 3 | 1 | 2 | 0 | 4 |
| Others | |||||||||
| Total | 47 | 18–81 (55) | 30 | 17 | 28 | 14 | 5 | 8 | 13 |
| All AE | TRAE | |||
|---|---|---|---|---|
| Any Grade | Grade ≥ 3 | Any Grade | Grade ≥ 3 | |
| Death within 30 days from vaccination | 2 | 2 | 0 | 0 |
| Myasthenia gravislike symptoms | 1 | 1 | 1 | 1 |
| Vaccination site skin reaction | 30 | 0 | 30 | 0 |
| Pneumonitis | 1 | 0 | 1 | 0 |
| Anemia | 28 | 0 | 0 | 0 |
| Increased hemoglobin | 4 | 0 | 0 | 0 |
| Thrombocytopenia | 4 | 0 | 0 | 0 |
| Leukopenia | 6 | 0 | 0 | 0 |
| Lymphocytopenia | 36 | 9 | 0 | 0 |
| Increased ALT | 13 | 0 | 0 | 0 |
| Increased ALP | 15 | 0 | 0 | 0 |
| Increased bilirubin | 3 | 0 | 0 | 0 |
| Increased creatinine | 6 | 0 | 0 | 0 |
| Hyponatremia | 14 | 1 | 0 | 0 |
| Hypernatremia | 2 | 0 | 0 | 0 |
| Hypokalemia | 5 | 0 | 0 | 0 |
| Hyperkalemia | 7 | 0 | 0 | 0 |
| Hypoalbuminemia | 18 | 0 | 0 | 0 |
| Dehydration | 1 | 0 | 0 | 0 |
| Infectious mononucleosis | 1 | 0 | 0 | 0 |
| Dorsal cellulitis | 1 | 0 | 0 | 0 |
| Bacterial pneumonia | 1 | 1 | 0 | 0 |
| Pt no. | RO | Rad-TMZ | Carm. Wafer | Bev | ICI | Chemo One | Other | |
|---|---|---|---|---|---|---|---|---|
| GBM | 14 | 14 | 14 | 6 | 6 | 2 | 1 | 1 |
| AA | 8 | 7 | 7 | 1 | 5 | 0 | 1 | 2 |
| Pt no. | RO | Rad | Chemo One | Chemo ≥ 2 | ICI | Other | ||
| STS | 8 | 7 | 5 | 2 | 4 | 0 | 1 | |
| TC | 5 | 2 | 3 | 1 | 4 | 0 | 0 | |
| MPM | 6 | 0 | 0 | 0 | 6 | 1 | 1 | |
| Others | 4 | 3 | 3 | 2 | 1 | 1 | 1 | |
| Immune Factors before Vaccination | Group | Pt no. | Protocol Treatment | Tumor Response | ||||
|---|---|---|---|---|---|---|---|---|
| COMPL | DROP | p Value | SD | PD | p Value | |||
| N/L ratio | high (≥3) | 15 | 7 | 8 | 0.867 | 4 | 11 | 0.448 |
| low | 7 | 3 | 4 | 3 | 4 | |||
| spon. IFN-γ | high (≥400 spots) | 7 | 2 | 5 | 0.217 | 2 | 5 | 0.525 |
| low | 14 | 8 | 6 | 6 | 8 | |||
| spon. TNF-α | high (≥140 spots) | 15 | 5 | 10 | 0.038 * | 5 | 10 | 0.477 |
| low | 6 | 5 | 1 | 3 | 3 | |||
| spon. IL-10 | high (≥200 spots) | 7 | 1 | 6 | 0.031 * | 1 | 6 | 0.112 |
| low | 14 | 9 | 5 | 7 | 7 | |||
| WT1-332 IFN-γ | pos (IR index > 1.0) | 8 | 3 | 5 | 0.466 | 2 | 6 | 0.332 |
| neg | 13 | 7 | 6 | 6 | 7 | |||
| WT1-332 TNF-α | pos (IR index > 1.0) | 8 | 4 | 4 | 0.864 | 4 | 4 | 0.378 |
| neg | 13 | 6 | 7 | 4 | 9 | |||
| WT1-332 IL-10 | pos (IR index > 1.0) | 12 | 4 | 8 | 0.130 | 3 | 9 | 0.154 |
| neg | 9 | 6 | 3 | 5 | 4 | |||
| WT1-332 IL-10 | high (IR index > 1.15) | 7 | 0 | 7 | 0.002 ** | 0 | 7 | 0.011 * |
| low | 14 | 10 | 4 | 8 | 6 | |||
| WT1-235 IFN-γ | pos (IR index > 1.0) | 7 | 2 | 6 | 0.627 | 2 | 5 | 0.682 |
| neg | 10 | 4 | 5 | 2 | 8 | |||
| WT1-235 TNF-α | pos (IR index > 1.0) | 15 | 5 | 10 | n.d. | 4 | 11 | n.d. |
| neg | 2 | 1 | 1 | 0 | 2 | |||
| WT1-235 IL-10 | pos (IR index > 1.0) | 10 | 4 | 6 | 0.627 | 2 | 8 | 0.682 |
| neg | 7 | 2 | 5 | 2 | 5 | |||
Disclaimer/Publisher’s Note: The statements, opinions and data contained in all publications are solely those of the individual author(s) and contributor(s) and not of MDPI and/or the editor(s). MDPI and/or the editor(s) disclaim responsibility for any injury to people or property resulting from any ideas, methods, instructions or products referred to in the content. |
© 2023 by the authors. Licensee MDPI, Basel, Switzerland. This article is an open access article distributed under the terms and conditions of the Creative Commons Attribution (CC BY) license (https://creativecommons.org/licenses/by/4.0/).
Share and Cite
Oji, Y.; Kagawa, N.; Arita, H.; Naka, N.; Hamada, K.-i.; Outani, H.; Shintani, Y.; Takeda, Y.; Morii, E.; Shimazu, K.; et al. WT1 Trio Peptide-Based Cancer Vaccine for Rare Cancers Expressing Shared Target WT1. Cancers 2023, 15, 393. https://doi.org/10.3390/cancers15020393
Oji Y, Kagawa N, Arita H, Naka N, Hamada K-i, Outani H, Shintani Y, Takeda Y, Morii E, Shimazu K, et al. WT1 Trio Peptide-Based Cancer Vaccine for Rare Cancers Expressing Shared Target WT1. Cancers. 2023; 15(2):393. https://doi.org/10.3390/cancers15020393
Chicago/Turabian StyleOji, Yusuke, Naoki Kagawa, Hideyuki Arita, Norifumi Naka, Ken-ichiro Hamada, Hidetatsu Outani, Yasushi Shintani, Yoshito Takeda, Eiichi Morii, Kenzo Shimazu, and et al. 2023. "WT1 Trio Peptide-Based Cancer Vaccine for Rare Cancers Expressing Shared Target WT1" Cancers 15, no. 2: 393. https://doi.org/10.3390/cancers15020393
APA StyleOji, Y., Kagawa, N., Arita, H., Naka, N., Hamada, K.-i., Outani, H., Shintani, Y., Takeda, Y., Morii, E., Shimazu, K., Suzuki, M., Nishida, S., Nakata, J., Tsuboi, A., Iwai, M., Hayashi, S., Imanishi, R., Ikejima, S., Kanegae, M., ... Sugiyama, H. (2023). WT1 Trio Peptide-Based Cancer Vaccine for Rare Cancers Expressing Shared Target WT1. Cancers, 15(2), 393. https://doi.org/10.3390/cancers15020393

