Untailored vs. Gender- and Body-Mass-Index-Tailored Skeletal Muscle Mass Index (SMI) to Assess Sarcopenia in Advanced Head and Neck Squamous Cell Carcinoma (HNSCC)
Abstract
:Simple Summary
Abstract
1. Introduction
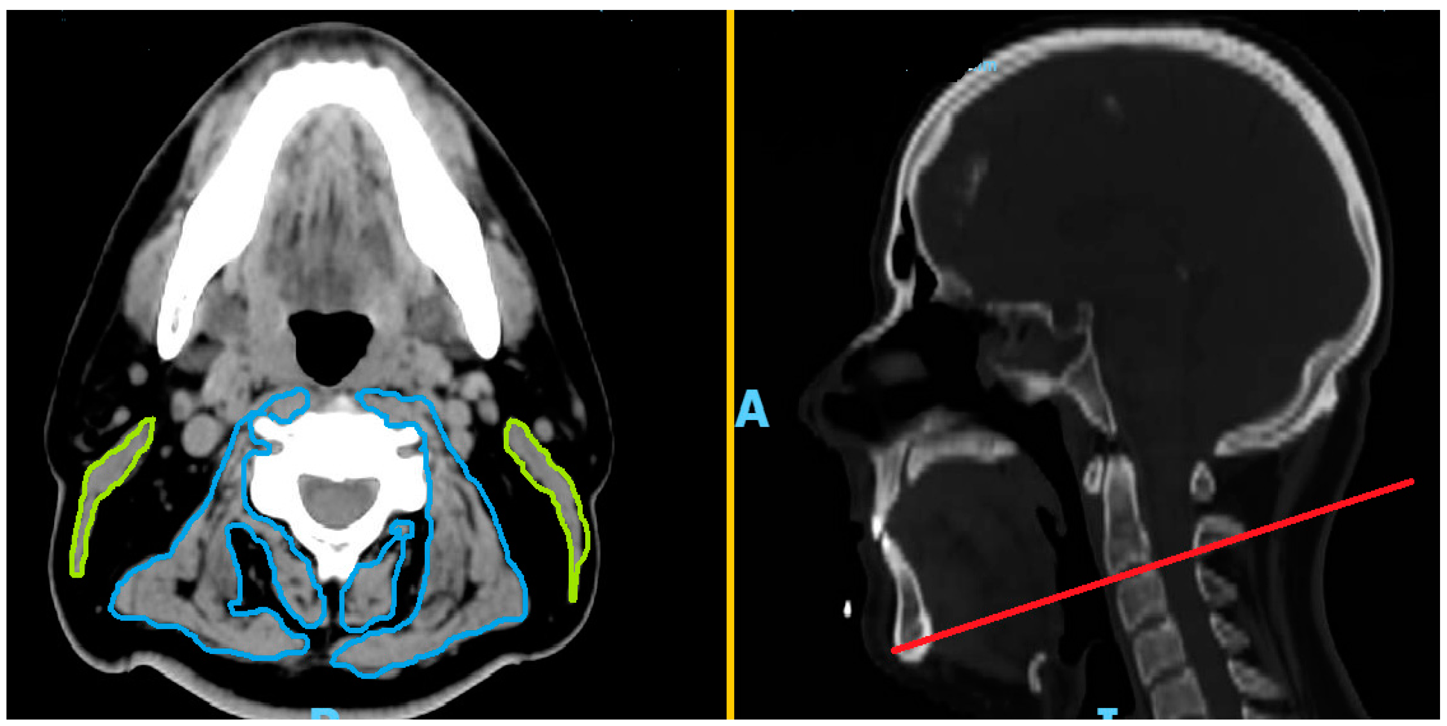
2. Materials and Methods
3. Results
4. Discussion
5. Conclusions
Author Contributions
Funding
Institutional Review Board Statement
Informed Consent Statement
Data Availability Statement
Conflicts of Interest
References
- Sung, H.; Ferlay, J.; Siegel, R.L.; Laversanne, M.; Soerjomataram, I.; Jemal, A.; Bray, F. Global Cancer Statistics 2020: GLOBOCAN Estimates of Incidence and Mortality Worldwide for 36 Cancers in 185 Countries. CA Cancer J. Clin. 2021, 71, 209–249. [Google Scholar] [CrossRef] [PubMed]
- Mody, M.D.; Rocco, J.W.; Yom, S.S.; Haddad, R.I.; Saba, N.F. Head and neck cancer. Lancet 2021, 398, 2289–2299. [Google Scholar] [CrossRef] [PubMed]
- Chow, L.Q.M. Head and Neck Cancer. N. Engl. J. Med. 2020, 382, 60–72. [Google Scholar] [CrossRef] [PubMed]
- Bauer, J.; Morley, J.E.; Schols, A.M.W.J.; Ferrucci, L.; Cruz-Jentoft, A.J.; Dent, E.; Baracos, V.E.; Crawford, J.A.; Doehner, W.; Heymsfield, S.B.; et al. Sarcopenia: A Time for Action. An SCWD Position Paper. J. Cachexia Sarcopenia Muscle 2019, 10, 956–961. [Google Scholar] [CrossRef] [PubMed]
- Nipp, R.D.; Fuchs, G.; El-Jawahri, A.; Mario, J.; Troschel, F.M.; Greer, J.A.; Gallagher, E.R.; Jackson, V.A.; Kambadakone, A.; Hong, T.S.; et al. Sarcopenia Is Associated with Quality of Life and Depression in Patients with Advanced Cancer. Oncologist 2018, 23, 97–104. [Google Scholar] [CrossRef] [PubMed]
- Angulo, J.; El Assar, M.; Rodríguez-Mañas, L. Frailty and sarcopenia as the basis for the phenotypic manifestation of chronic diseases in older adults. Mol. Asp. Med. 2016, 50, 1–32. [Google Scholar] [CrossRef] [PubMed]
- Surov, A.; Wienke, A. Prevalence of sarcopenia in patients with solid tumors: A meta-analysis based on 81,814 patients. JPEN J. Parenter. Enteral Nutr. 2022, 46, 1761–1768. [Google Scholar] [CrossRef]
- Pamoukdjian, F.; Bouillet, T.; Lévy, V.; Soussan, M.; Zelek, L.; Paillaud, E. Prevalence and predictive value of pre-therapeutic sarcopenia in cancer patients: A systematic review. Clin. Nutr. 2018, 37, 1101–1113. [Google Scholar] [CrossRef]
- Morelli, C.; Formica, V.; Patrikidou, A.; Rofei, M.; Shiu, K.K.; Riondino, S.; Argirò, R.; Floris, R.; Ferlosio, A.; Orlandi, A.; et al. Nutritional index for immune-checkpoint inhibitor in patients with metastatic gastro-esophageal junction/gastric cancer. J. Gastrointest. Oncol. 2022, 13, 2072–2081. [Google Scholar] [CrossRef]
- Gouez, M.; Delrieu, L.; Bouleuc, C.; Girard, N.; Raynard, B.; Marchal, T. Association between Nutritional Status and Treatment Response and Survival in Patients Treated with Immunotherapy for Lung Cancer: A Retrospective French Study. Cancers 2022, 14, 3439. [Google Scholar] [CrossRef]
- Li, S.; Wang, T.; Tong, G.; Li, X.; You, D.; Cong, M. Prognostic Impact of Sarcopenia on Clinical Outcomes in Malignancies Treated With Immune Checkpoint Inhibitors: A Systematic Review and Meta-Analysis. Front. Oncol. 2021, 11, 726257. [Google Scholar] [CrossRef] [PubMed]
- Baumgartner, R.N.; Koehler, K.M.; Gallagher, D.; Romero, L.; Heymsfield, S.B.; Ross, R.R.; Garry, P.J.; Lindeman, R.D. Epidemiology of sarcopenia among the elderly in New Mexico. Am. J. Epidemiol. 1998, 147, 755–763. [Google Scholar] [CrossRef] [PubMed]
- Shen, W.; Punyanitya, M.; Wang, Z.; Gallagher, D.; St-Onge, M.P.; Albu, J.; Heymsfield, S.B.; Heshka, S. Total body skeletal muscle and adipose tissue volumes: Estimation from a single abdominal cross-sectional image. J. Appl. Physiol. (1985) 2004, 97, 2333–2338. [Google Scholar] [CrossRef] [PubMed]
- Mourtzakis, M.; Prado, C.M.; Lieffers, J.R.; Reiman, T.; McCargar, L.J.; Baracos, V.E. A practical and precise approach to quantification of body composition in cancer patients using computed tomography images acquired during routine care. Appl. Physiol. Nutr. Metab. 2008, 33, 997–1006. [Google Scholar] [CrossRef]
- Wong, A.; Zhu, D.; Kraus, D.; Tham, T. Radiologically Defined Sarcopenia Affects Survival in Head and Neck Cancer: A Meta-Analysis. Laryngoscope 2021, 131, 333–341. [Google Scholar] [CrossRef]
- Wendrich, A.W.; Swartz, J.E.; Bril, S.I.; Wegner, I.; de Graeff, A.; Smid, E.J.; de Bree, R.; Pothen, A.J. Low skeletal muscle mass is a predictive factor for chemotherapy dose-limiting toxicity in patients with locally advanced head and neck cancer. Oral Oncol. 2017, 71, 26–33. [Google Scholar] [CrossRef]
- Yoon, J.K.; Jang, J.Y.; An, Y.S.; Lee, S.J. Skeletal muscle mass at C3 may not be a strong predictor for skeletal muscle mass at L3 in sarcopenic patients with head and neck cancer. PLoS ONE 2021, 16, e0254844. [Google Scholar] [CrossRef]
- Prado, C.M.; Baracos, V.E.; McCargar, L.J.; Mourtzakis, M.; Mulder, K.E.; Reiman, T.; Butts, C.A.; Scarfe, A.G.; Sawyer, M.B. Body composition as an independent determinant of 5-fluorouracil-based chemotherapy toxicity. Clin. Cancer Res. 2007, 13, 3264–3268. [Google Scholar] [CrossRef]
- Prado, C.M.; Lieffers, J.R.; McCargar, L.J.; Reiman, T.; Sawyer, M.B.; Martin, L.; Baracos, V.E. Prevalence and clinical implications of sarcopenic obesity in patients with solid tumours of the respiratory and gastrointestinal tracts: A population-based study. Lancet Oncol. 2008, 9, 629–635. [Google Scholar] [CrossRef]
- Charlson, M.E.; Pompei, P.; Ales, K.L.; MacKenzie, C.R. A new method of classifying prognostic comorbidity in longitudinal studies: Development and validation. J. Chronic Dis. 1987, 40, 373–383. [Google Scholar] [CrossRef]
- Hacker, U.T.; Hasenclever, D.; Baber, R.; Linder, N.; Busse, H.; Obermannova, R.; Zdrazilova-Dubska, L.; Valik, D.; Lordick, F. Modified Glasgow prognostic score (mGPS) is correlated with sarcopenia and dominates the prognostic role of baseline body composition parameters in advanced gastric and esophagogastric junction cancer patients undergoing first-line treatment from the phase III EXPAND trial. Ann. Oncol. 2022, 33, 685–692. [Google Scholar]
- Obesity: Preventing and managing the global epidemic. Report of a WHO consultation. World Health Organ. Tech. Rep. Ser. 2000, 894, 1–253.
- Swartz, J.E.; Pothen, A.J.; Wegner, I.; Smid, E.J.; Swart, K.M.; de Bree, R.; Leenen, L.P.; Grolman, W. Feasibility of using head and neck CT imaging to assess skeletal muscle mass in head and neck cancer patients. Oral Oncol. 2016, 62, 28–33. [Google Scholar] [CrossRef] [PubMed]
- Schulgen, G.; Lausen, B.; Olsen, J.H.; Schumacher, M. Outcome-oriented cutpoints in analysis of quantitative exposures. Am. J. Epidemiol. 1995, 141, 792. [Google Scholar] [CrossRef] [PubMed]
- Takenaka, Y.; Takemoto, N.; Oya, R.; Inohara, H. Prognostic impact of sarcopenia in patients with head and neck cancer treated with surgery or radiation: A meta-analysis. PLoS ONE 2021, 16, e0259288. [Google Scholar] [CrossRef] [PubMed]
- Findlay, M.; White, K.; Stapleton, N.; Bauer, J. Is sarcopenia a predictor of prognosis for patients undergoing radiotherapy for head and neck cancer? A meta-analysis. Clin. Nutr. 2021, 40, 1711–1718. [Google Scholar] [CrossRef]
- Bozzetti, F. Forcing the vicious circle: Sarcopenia increases toxicity, decreases response to chemotherapy and worsens with chemotherapy. Ann. Oncol. 2017, 28, 2107–2118. [Google Scholar] [CrossRef]
- Martin, L.; Birdsell, L.; Macdonald, N.; Reiman, T.; Clandinin, M.T.; McCargar, L.J.; Murphy, R.; Ghosh, S.; Sawyer, M.B.; Baracos, V.E. Cancer cachexia in the age of obesity: Skeletal muscle depletion is a powerful prognostic factor, independent of body mass index. J. Clin. Oncol. 2013, 31, 1539–1547. [Google Scholar] [CrossRef]
- Kazemi-Bajestani, S.M.; Mazurak, V.C.; Baracos, V. Computed tomography-defined muscle and fat wasting are associated with cancer clinical outcomes. Semin. Cell Dev. Biol. 2016, 54, 2–10. [Google Scholar] [CrossRef]
- Machiels, J.P.; René Leemans, C.; Golusinski, W.; Grau, C.; Licitra, L.; Gregoire, V.; EHNS Executive Board. Squamous cell carcinoma of the oral cavity, larynx, oropharynx and hypopharynx: EHNS-ESMO-ESTRO Clinical Practice Guidelines for diagnosis, treatment and follow-up. Ann. Oncol. 2020, 31, 1462–1475. [Google Scholar] [CrossRef]
- Grossberg, A.J.; Chamchod, S.; Fuller, C.D.; Mohamed, A.S.; Heukelom, J.; Eichelberger, H.; Kantor, M.E.; Hutcheson, K.A.; Gunn, G.B.; Garden, A.S.; et al. Association of Body Composition With Survival and Locoregional Control of Radiotherapy-Treated Head and Neck Squamous Cell Carcinoma. JAMA Oncol. 2016, 2, 782–789. [Google Scholar] [CrossRef] [PubMed]
- Zwart, A.T.; van der Hoorn, A.; van Ooijen, P.M.A.; Steenbakkers, R.J.H.M.; de Bock, G.H.; Halmos, G.B. CT-measured skeletal muscle mass used to assess frailty in patients with head and neck cancer. J. Cachexia Sarcopenia Muscle 2019, 10, 1060–1069. [Google Scholar] [CrossRef]
- Jung, A.R.; Roh, J.L.; Kim, J.S.; Kim, S.B.; Choi, S.H.; Nam, S.Y.; Kim, S.Y. Prognostic value of body composition on recurrence and survival of advanced-stage head and neck cancer. Eur. J. Cancer 2019, 116, 98–106. [Google Scholar] [CrossRef] [PubMed]
- Willemsen, A.C.H.; Hoeben, A.; Lalisang, R.I.; Van Helvoort, A.; Wesseling, F.W.R.; Hoebers, F.; Baijens, L.W.J.; Schols, A.M.W.J. Disease-induced and treatment-induced alterations in body composition in locally advanced head and neck squamous cell carcinoma. J. Cachexia Sarcopenia Muscle 2020, 11, 145–159. [Google Scholar] [CrossRef] [PubMed]
- Thureau, S.; Lebret, L.; Lequesne, J.; Cabourg, M.; Dandoy, S.; Gouley, C.; Lefebvre, L.; Mallet, R.; Mihailescu, S.D.; Moldovan, C.; et al. Prospective Evaluation of Sarcopenia in Head and Neck Cancer Patients Treated with Radiotherapy or Radiochemotherapy. Cancers 2021, 13, 753. [Google Scholar] [CrossRef]
- Richey, L.M.; George, J.R.; Couch, M.E.; Kanapkey, B.K.; Yin, X.; Cannon, T.; Stewart, P.W.; Weissler, M.C.; Shores, C.G. Defining cancer cachexia in head and neck squamous cell carcinoma. Clin. Cancer Res. 2007, 13, 6561–6567. [Google Scholar] [CrossRef]
- Caan, B.J.; Cespedes Feliciano, E.M.; Prado, C.M.; Alexeeff, S.; Kroenke, C.H.; Bradshaw, P.; Quesenberry, C.P.; Weltzien, E.K.; Castillo, A.L.; Olobatuyi, T.A.; et al. Association of Muscle and Adiposity Measured by Computed Tomography With Survival in Patients With Nonmetastatic Breast Cancer. JAMA Oncol. 2018, 4, 798–804. [Google Scholar] [CrossRef] [PubMed]
- Wang, K.; Yu, X.H.; Tang, Y.J.; Tang, Y.L.; Liang, X.H. Obesity: An emerging driver of head and neck cancer. Life Sci. 2019, 233, 116687. [Google Scholar] [CrossRef]
- Findlay, M.; White, K.; Brown, C.; Bauer, J.D. Nutritional status and skeletal muscle status in patients with head and neck cancer: Impact on outcomes. J. Cachexia Sarcopenia Muscle 2021, 12, 2187–2198. [Google Scholar] [CrossRef]
- Costa, A.R.; Lança de Oliveira, M.; Cruz, I.; Gonçalves, I.; Cascalheira, J.F.; Santos, C.R.A. The Sex Bias of Cancer. Trends Endocrinol. Metab. 2020, 31, 785–799. [Google Scholar] [CrossRef]
- Haupt, S.; Caramia, F.; Klein, S.L.; Rubin, J.B.; Haupt, Y. Sex disparities matter in cancer development and therapy. Nat. Rev. Cancer. 2021, 21, 393–407. [Google Scholar] [CrossRef] [PubMed]
- Haizlip, K.M.; Harrison, B.C.; Leinwand, L.A. Sex-based differences in skeletal muscle kinetics and fiber-type composition. Physiology 2015, 30, 30–39. [Google Scholar] [CrossRef] [PubMed]
- Park, C.H.; Lee, E.J.; Kim, H.L.; Lee, Y.T.; Yoon, K.J.; Kim, H.N. Sex-specific associations between gut microbiota and skeletal muscle mass in a population-based study. J. Cachexia Sarcopenia Muscle 2022, 13, 2908–2919. [Google Scholar] [CrossRef]
- Choe, H.J.; Cho, B.L.; Park, Y.S.; Roh, E.; Kim, H.J.; Lee, S.G.; Kim, B.J.; Kim, M.; Won, C.W.; Park, K.S.; et al. Gender differences in risk factors for the 2 year development of sarcopenia in community-dwelling older adults. J. Cachexia Sarcopenia Muscle 2022, 13, 1908–1918. [Google Scholar] [CrossRef] [PubMed]
- van Rijn-Dekker, M.I.; van den Bosch, L.; van den Hoek, J.G.M.; Bijl, H.P.; van Aken, E.S.M.; van der Hoorn, A.; Oosting, S.F.; Halmos, G.B.; Witjes, M.J.H.; van der Laan, H.P.; et al. Impact of sarcopenia on survival and late toxicity in head and neck cancer patients treated with radiotherapy. Radiother. Oncol. 2020, 147, 103–110. [Google Scholar] [CrossRef] [PubMed]
- Zwart, A.T.; Pörtzgen, W.; van Rijn-Dekker, I.; Sidorenkov, G.A.; Dierckx, R.A.J.O.; Steenbakkers, R.J.H.M.; Wegner, I.; van der Hoorn, A.; de Bock, G.H.; Halmos, G.B. Sex-Specific Cut-Off Values for Low Skeletal Muscle Mass to Identify Patients at Risk for Treatment-Related Adverse Events in Head and Neck Cancer. J. Clin. Med. 2022, 11, 4650. [Google Scholar] [CrossRef]
- Karavolia, E.; van Rijn-Dekker, M.I.; Van den Bosch, L.; van den Hoek, J.G.M.; Oldehinkel, E.; Meijer, T.W.H.; Halmos, G.B.; Witjes, M.J.H.; Oosting, S.F.; van der Hoorn, A.; et al. Impact of sarcopenia on acute radiation-induced toxicity in head and neck cancer patients. Radiother. Oncol. 2022, 170, 122–128. [Google Scholar] [CrossRef]
- Nelke, C.; Dziewas, R.; Minnerup, J.; Meuth, S.G.; Ruck, T. Skeletal muscle as potential central link between sarcopenia and immune senescence. EBioMedicine 2019, 49, 381–388. [Google Scholar] [CrossRef]
- Cruz-Jentoft, A.J.; Landi, F.; Schneider, S.M.; Zúñiga, C.; Arai, H.; Boirie, Y.; Chen, L.K.; Fielding, R.A.; Martin, F.C.; Michel, J.P.; et al. Prevalence of and interventions for sarcopenia in ageing adults: A systematic review. Report of the International Sarcopenia Initiative (EWGSOP and IWGS). Age Ageing 2014, 43, 748–759. [Google Scholar] [CrossRef]
- Ye, Z.; Saraf, A.; Ravipati, Y.; Hoebers, F.; Catalano, P.J.; Zha, Y.; Zapaishchykova, A.; Likitlersuang, J.; Guthier, C.; Tishler, R.B.; et al. Development and Validation of an Automated Image-Based Deep Learning Platform for Sarcopenia Assessment in Head and Neck Cancer. JAMA Netw. Open 2023, 6, e2328280. [Google Scholar] [CrossRef]
- Silvestris, N.; Argentiero, A.; Natalicchio, A.; D’Oronzo, S.; Beretta, G.D.; Acquati, S.; Adinolfi, V.; Di Bartolo, P.; Danesi, R.; Faggiano, A.; et al. Antineoplastic dosing in overweight and obese cancer patients: An Associazione Italiana Oncologia Medica (AIOM)/Associazione Medici Diabetologi (AMD)/Società Italiana Endocrinologia (SIE)/Società Italiana Farmacologia (SIF) multidisciplinary consensus position paper. ESMO Open 2021, 6, 100153. [Google Scholar] [PubMed]
- Karasawa, T.; Steyger, P.S. An integrated view of cisplatin-induced nephrotoxicity and ototoxicity. Toxicol. Lett. 2015, 237, 219–227. [Google Scholar] [CrossRef] [PubMed]
- Chargi, N.; Molenaar-Kuijsten, L.; Huiskamp, L.F.J.; Devriese, L.A.; de Bree, R.; Huitema, A.D.R. The association of cisplatin pharmacokinetics and skeletal muscle mass in patients with head and neck cancer: The prospective PLATISMA study. Eur. J. Cancer 2022, 160, 92–99. [Google Scholar] [CrossRef] [PubMed]
- Wilson, D.; Jackson, T.; Sapey, E.; Lord, J.M. Frailty and sarcopenia: The potential role of an aged immune system. Ageing Res. Rev. 2017, 36, 1–10. [Google Scholar] [CrossRef]
- Bilen, M.A.; Martini, D.J.; Liu, Y.; Shabto, J.M.; Brown, J.T.; Williams, M.; Khan, A.I.; Speak, A.; Lewis, C.; Collins, H.; et al. Combined Effect of Sarcopenia and Systemic Inflammation on Survival in Patients with Advanced Stage Cancer Treated with Immunotherapy. Oncologist 2020, 25, e528–e535. [Google Scholar] [CrossRef]



| Variable * | Locally Advanced Disease | Metastatic Disease |
|---|---|---|
| No. of patients [%] | No. of patients [%] | |
| Gender | ||
| male | 59 [81.94] | 32 [74.41] |
| females | 13 [18.06] | 11 [25.59] |
| Median age (range) in years | 66 (40–86) | 64 (35–83) |
| Body Mass Index | ||
| <25 Kg/m2 | 43 [59.72] | 24 [55.81] |
| ≥25 Kg/m2 | 29 [40.28] | 19 [44.19] |
| Tumor stage | ||
| III | 72 [100] | - |
| IV | - | 43 [100] |
| Tumor site | ||
| Oropharyngeal HPV-positive | 18 [25.00] | 9 [20.93] |
| Oropharyngeal HPV-negative | 16 [22.22] | 10 [23.25] |
| Non-oropharyngeal | 38 [52.78] | 24 [55.82] |
| Smoking habits | ||
| former/current | 63 [87.50] | 33 [76.75] |
| never | 9 [12.50] | 10 [23.25] |
| Alcohol consumption | ||
| yes | 53 [73.61] | 14 [32.56] |
| no | 19 [26.39] | 29 [67.44] |
| Charlson Comorbidity Score | ||
| <9 | 57 [79.17] | 30 [69.77] |
| ≥9 | 15 [20.83] | 13 [30.23] |
| Treatment | 36 [83.75] | |
| Cisplatin-5FU-Cetuximab first-line | - | 7 [16.28] |
| Cisplatin-5FU-Pembrolizumab first-line | - | - |
| Cisplatin-based CRT | 72 [100] | |
| mGPS | ||
| 0 | 19 [26.39] | 12 [27.91] |
| 1–2 | 53 [73.61] | 31 [72.09] |
| KPS | ||
| 100–90 | 53 [73.61] | 26 [60.46] |
| ≤80 | 19 [26.39] | 17 [39.54] |
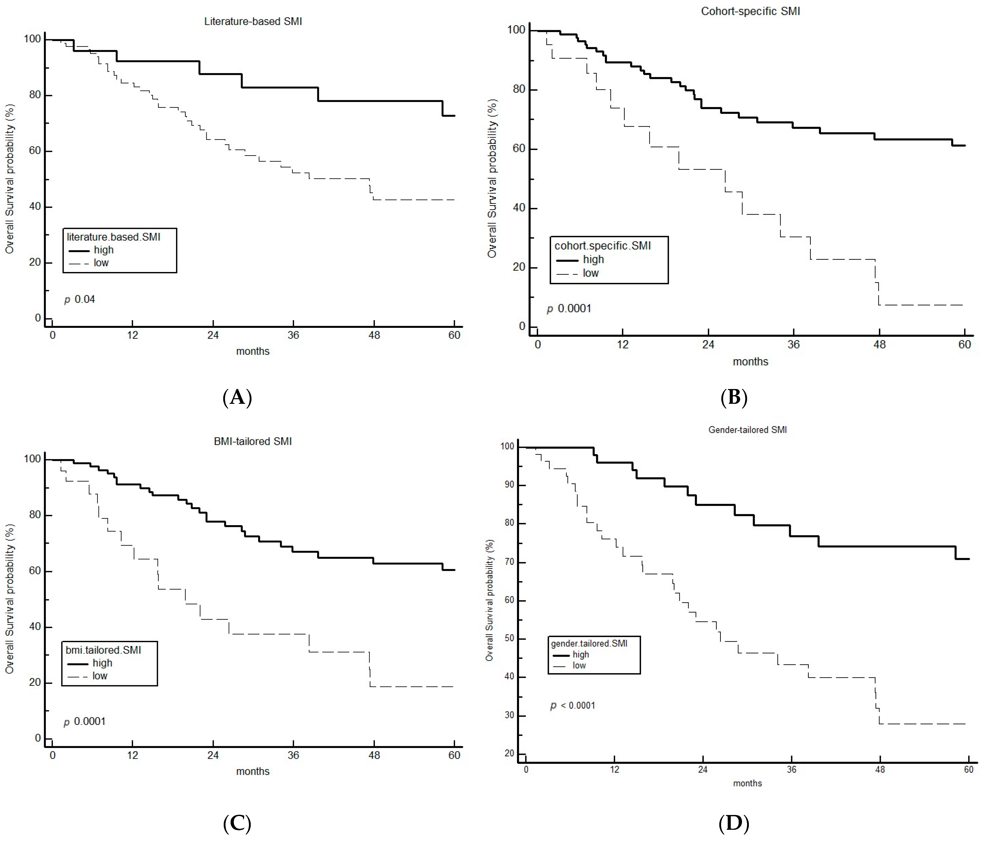
| SMI | p Value | 24-Month-OS (%) | Univariate HR (95%CI) |
|---|---|---|---|
| Literature-based-SMI low vs. high | 0.04 | 64 vs. 88 | 1.96 (1.03 to 3.74) |
| Cohort-specific-SMI low vs. high | 0.0001 | 53 vs. 74 | 6.61 (2.65 to 16.50) |
| BMI-tailored SMI low vs. high | 0.0001 | 43 vs. 78 | 5.52 (2.40 to 12.73) |
| Gender-tailored SMI low vs. high | <0.0001 | 55 vs. 85 | 3.96 (2.12 to7.38) |
| Prognostic Factor | HR | 95% CI | p Value |
|---|---|---|---|
| Gender-tailored SMI (low vs. high) | 3.62 | 1.78 to 7.37 | 0.0004 |
| HPV status (positive vs. negative) | 0.22 | 0.09 to 0.52 | 0.0006 |
| KPS (≤80 vs. 100–90) | 0.87 | 0.46 to 1.67 | 0.68 |
| mGPS (0 vs. 1–2) | 0.54 | 0.25 to 1.17 | 0.12 |
| smoking habit (current or former vs. never) | 1.30 | 0.59 to 2.83 | 0.51 |
| Line of treatment (CRT vs. first-line treatment) | 4.79 | 2.47 to 9.29 | <0.0001 |
Disclaimer/Publisher’s Note: The statements, opinions and data contained in all publications are solely those of the individual author(s) and contributor(s) and not of MDPI and/or the editor(s). MDPI and/or the editor(s) disclaim responsibility for any injury to people or property resulting from any ideas, methods, instructions or products referred to in the content. |
© 2023 by the authors. Licensee MDPI, Basel, Switzerland. This article is an open access article distributed under the terms and conditions of the Creative Commons Attribution (CC BY) license (https://creativecommons.org/licenses/by/4.0/).
Share and Cite
Morelli, C.; Formica, V.; Bossi, P.; Rofei, M.; Guerriero, S.; Riondino, S.; Argirò, R.; Pucci, N.; Cenci, T.; Savino, L.; et al. Untailored vs. Gender- and Body-Mass-Index-Tailored Skeletal Muscle Mass Index (SMI) to Assess Sarcopenia in Advanced Head and Neck Squamous Cell Carcinoma (HNSCC). Cancers 2023, 15, 4716. https://doi.org/10.3390/cancers15194716
Morelli C, Formica V, Bossi P, Rofei M, Guerriero S, Riondino S, Argirò R, Pucci N, Cenci T, Savino L, et al. Untailored vs. Gender- and Body-Mass-Index-Tailored Skeletal Muscle Mass Index (SMI) to Assess Sarcopenia in Advanced Head and Neck Squamous Cell Carcinoma (HNSCC). Cancers. 2023; 15(19):4716. https://doi.org/10.3390/cancers15194716
Chicago/Turabian StyleMorelli, Cristina, Vincenzo Formica, Paolo Bossi, Michela Rofei, Simona Guerriero, Silvia Riondino, Renato Argirò, Noemi Pucci, Tonia Cenci, Luca Savino, and et al. 2023. "Untailored vs. Gender- and Body-Mass-Index-Tailored Skeletal Muscle Mass Index (SMI) to Assess Sarcopenia in Advanced Head and Neck Squamous Cell Carcinoma (HNSCC)" Cancers 15, no. 19: 4716. https://doi.org/10.3390/cancers15194716
APA StyleMorelli, C., Formica, V., Bossi, P., Rofei, M., Guerriero, S., Riondino, S., Argirò, R., Pucci, N., Cenci, T., Savino, L., Rinaldi, C. G., Garaci, F., Orlandi, A., D’Angelillo, R. M., Arkenau, H.-T., & Roselli, M. (2023). Untailored vs. Gender- and Body-Mass-Index-Tailored Skeletal Muscle Mass Index (SMI) to Assess Sarcopenia in Advanced Head and Neck Squamous Cell Carcinoma (HNSCC). Cancers, 15(19), 4716. https://doi.org/10.3390/cancers15194716

