Racial/Ethnic Disparities in Prostate Cancer 5-Year Survival: The Role of Health-Care Access and Disease Severity
Abstract
Simple Summary
Abstract
1. Introduction
2. Methods
2.1. Data Sources and Study Population
2.2. Outcome Definition
2.3. Race/Ethnicity and Risk Factors
2.4. Socioeconomic Status (SES)
2.5. Statistical Analysis
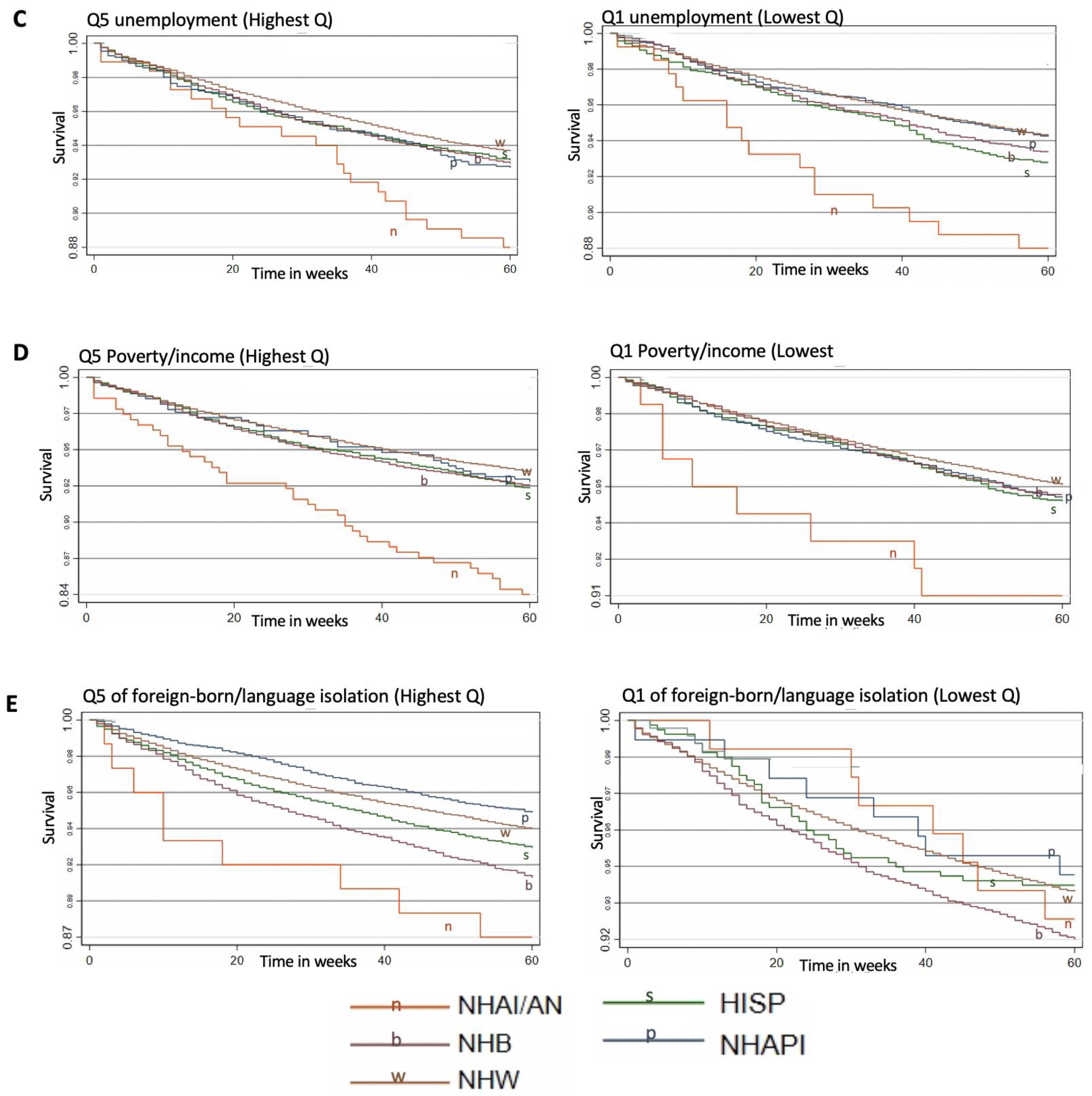
3. Results
4. Discussion
Strengths and Limitations
5. Conclusions
Author Contributions
Funding
Institutional Review Board Statement
Informed Consent Statement
Data Availability Statement
Conflicts of Interest
References
- American Cancer Society. Cancer Facts and Figures 2021; American Cancer Society: Atlanta, GA, USA, 2021; Available online: https://www.cancer.org/con-tent/dam/cancer-org/research/cancer-facts-and-statistics/annual-can-cer-facts-and-figures/2021/cancer-facts-and-figures-2021.pdfTaggedEnd (accessed on 17 February 2021).
- Zavala, V.A.; Bracci, P.M.; Carethers, J.M.; Carvajal-Carmona, L.; Coggins, N.B.; Cruz-Correa, M.R.; Davis, M.; de Smith, A.J.; Dutil, J.; Figueiredo, J.C.; et al. Cancer health disparities in racial/ethnic minorities in the United States. Br. J. Cancer 2021, 124, 315–332. [Google Scholar] [CrossRef] [PubMed]
- Siegel, R.L.; Miller, K.D.; Jemal, A. Cancer statistics, 2020. CA Cancer J. Clin. 2020, 70, 7–30. [Google Scholar] [CrossRef] [PubMed]
- DeSantis, C.E.; Miller, K.D.; Sauer, A.G.; Jemal, A.; Siegel, R.L.; Msph, A.G.S.; Dvm, A.J. Cancer statistics for African Americans, 2019. CA A Cancer J. Clin. 2019, 69, 211–233. [Google Scholar] [CrossRef] [PubMed]
- Chornokur, G.; Dalton, K.; Borysova, M.E.; Kumar, N.B. Disparities at presentation, diagnosis, treatment, and survival in African American men, affected by prostate cancer. Prostate 2011, 71, 985–997. [Google Scholar] [CrossRef]
- Tyson, M.D., 2nd; Castle, E.P. Racial disparities in survival for patients with clinically localized prostate cancer adjusted for treatment effects. Mayo Clin. Proc. 2014, 89, 300–307. [Google Scholar] [CrossRef]
- Coughlin, S.S. A review of social determinants of prostate cancer risk, stage, and survival. Prostate Int. 2020, 8, 49–54. [Google Scholar] [CrossRef]
- Freeman, V.L.; Ricardo, A.C.; Campbell, R.T.; Barrett, R.E.; Warnecke, R.B. Association of census tract-level socioeconomic status with disparities in prostate cancer–specific survival. Cancer Epidemiol. Biomark. Prev. 2011, 20, 2150–2159. [Google Scholar] [CrossRef]
- Gomez, S.L.; Shariff-Marco, S.; DeRouen, M.; Keegan, T.H.M.; Yen, I.H.; Mujahid, M.; Satariano, W.A.; Glaser, S.L. The impact of neighborhood social and built environment factors across the cancer continuum: Current research, methodological considerations, and future directions. Cancer 2015, 121, 2314–2330. [Google Scholar] [CrossRef]
- Pinheiro, P.S.; Sherman, R.L.; Trapido, E.J.; Fleming, L.E.; Huang, Y.; Gomez-Marin, O.; Lee, D. Cancer incidence in first generation U.S. hispanics: Cubans, mexicans, puerto ricans, and new latinos. Cancer Epidemiol. Biomark. Prev. 2009, 18, 2162–2169. [Google Scholar] [CrossRef]
- Ho, G.Y.F.; Figueroa-Vallés, N.R.; De La Torre-Feliciano, T.; Tucker, K.L.; Tortolero-Luna, G.; Rivera, W.T.; Jiménez-Velázquez, I.Z.; Ortiz-Martínez, A.P.; Rohan, T.E. Cancer disparities between mainland and island Puerto Ricans. Rev. Panam. De Salud Publica 2009, 25, 394–400. [Google Scholar] [CrossRef]
- Clouston, S.A.; Link, B.G. A Retrospective on Fundamental Cause Theory: State of the Literature and Goals for the Future. Annu. Rev. Sociol. 2021, 47, 131–156. [Google Scholar] [CrossRef] [PubMed]
- Jemal, A.; Cokkinides, V.; Singh, G.K.; Cardinez, C.; Ward, E.; Dvm, A.J.; Cokkinides, M.V.; Singh, G.K.; Msph, C.C.; Ghafoor, A.; et al. Cancer disparities by race/ethnicity and socioeconomic status. CA A Cancer J. Clin. 2004, 54, 78–93. [Google Scholar] [CrossRef]
- Mahal, B.A.; Aizer, A.A.; Ziehr, D.R.; Hyatt, A.S.; Lago-Hernandez, C.; Chen, Y.-W.; Choueiri, T.K.; Hu, J.C.; Sweeney, C.J.; Beard, C.J.; et al. The association between insurance status and prostate cancer outcomes: Implications for the Affordable Care Act. Prostate Cancer Prostatic Dis. 2014, 17, 273–279. [Google Scholar] [CrossRef] [PubMed]
- Washington, C.; Deville, C. Health disparities and inequities in the utilization of diagnostic imaging for prostate cancer. Abdom. Radiol. 2020, 45, 4090–4096. [Google Scholar] [CrossRef] [PubMed]
- El Khoury, C.J.; Ros, P.R. A Systematic Review for Health Disparities and Inequities in Multiparametric Magnetic Resonance Imaging for Prostate Cancer Diagnosis. Acad. Radiol. 2021, 28, 953–962. [Google Scholar] [CrossRef]
- Ajayi, A.; Hwang, W.-T.; Vapiwala, N.; Rosen, M.; Chapman, C.H.; Both, S.; Shah, M.; Wang, X.; Agawu, A.; Gabriel, P.; et al. Disparities in staging prostate magnetic resonance imaging utilization for nonmetastatic prostate cancer patients undergoing definitive radiation therapy. Adv. Radiat. Oncol. 2016, 1, 325–332. [Google Scholar] [CrossRef]
- Orom, H.; Biddle, C.; Underwood, W., III; Homish, G.G.; Olsson, C.A. Racial or Ethnic and Socioeconomic Disparities in Prostate Cancer Survivors’ Prostate-specific Quality of Life. Urology 2018, 112, 132–137. [Google Scholar] [CrossRef]
- Dess, R.T.; Hartman, H.E.; Mahal, B.A.; Soni, P.D.; Jackson, W.C.; Cooperberg, M.R.; Amling, C.L.; Aronson, W.J.; Kane, C.J.; Terris, M.K.; et al. Association of Black Race With Prostate Cancer–Specific and Other-Cause Mortality. JAMA Oncol. 2019, 5, 975–983. [Google Scholar] [CrossRef]
- Kish, J.K.; Yu, M.; Percy-Laurry, A.; Altekruse, S.F. Racial and ethnic disparities in cancer survival by neighborhood socioeconomic status in surveillance, epidemiology, and end results (SEER) registries. J. Natl. Cancer Inst. Monogr. 2014, 2014, 236–243. [Google Scholar] [CrossRef]
- DeRouen, M.C.; Yang, J.; Jain, J.; Weden, M.M.; Gomez, S.L.; Shariff-Marco, S. Disparities in Prostate Cancer Survival According to Neighborhood Archetypes, A Population-Based Study. Urology 2021, 163, 138–147. [Google Scholar] [CrossRef]
- DeRouen, M.C.; Schupp, C.W.; Koo, J.; Yang, J.; Hertz, A.; Shariff-Marco, S.; Cockburn, M.; Nelson, D.O.; Ingles, S.A.; John, E.M.; et al. Impact of individual and neighborhood factors on disparities in prostate cancer survival. Cancer Epidemiol. 2018, 53, 1–11. [Google Scholar] [CrossRef] [PubMed]
- Oliver, M.N.; Smith, E.; Siadaty, M.; Hauck, F.R.; Pickle, L.W. Spatial Analysis of Prostate Cancer Incidence and Race in Virginia, 1990–1999. Am. J. Prev. Med. 2006, 30, S67–S76. [Google Scholar] [CrossRef] [PubMed]
- Thornton, L.E.; Pearce, J.R.; Kavanagh, A.M. Using Geographic Information Systems (GIS) to assess the role of the built environment in influencing obesity: A glossary. Int. J. Behav. Nutr. Phys. Act. 2011, 8, 71. [Google Scholar] [CrossRef]
- Krieger, N.; Chen, J.T.; Waterman, P.D.; Soobader, M.-J.; Subramanian, S.V.; Carson, R. Geocoding and monitoring of us socioeconomic inequalities in mortality and cancer incidence: Does the choice of area-based measure and geographic level matter? The public health disparities geocoding project. Am. J. Epidemiol. 2002, 156, 471–482. [Google Scholar] [CrossRef]
- SEER. Available online: https://seer.cancer.gov/registries/characteristics.html (accessed on 5 December 2021).
- Tyson, M.; Andrews, P.; Etzioni, D.; Ferrigni, R.; Humphreys, M.; Swanson, S.; Castle, E. 171 marital status and prostate cancer outcomes. J. Urol. 2012, 187, e71–e72. [Google Scholar] [CrossRef]
- Gomez, S.L.; Hurley, S.; Canchola, A.J.; Keegan, T.H.M.; Cheng, I.; Murphy, J.D.; Clarke, C.A.; Glaser, S.L.; Martínez, M.E. Effects of marital status and economic resources on survival after cancer: A population-based study. Cancer 2016, 122, 1618–1625. [Google Scholar] [CrossRef]
- Singh, G.K.; Siahpush, M. Increasing inequalities in all-cause and cardiovascular mortality among US adults aged 25–64 years by area socioeconomic status, 1969–1998. Leuk. Res. 2002, 31, 600–613. [Google Scholar] [CrossRef]
- Census.gov. Available online: https://www.census.gov/topics/population/foreign-born/data/tables/acs-tables.html (accessed on 5 December 2021).
- Hashim, D.; Weiderpass, E. Cancer Survival and Survivorship. In Encyclopedia of Cancer, 3rd ed.; Academic Press: Cambridge, MA, USA, 2017; pp. 250–259. ISBN 9780128124857. [Google Scholar] [CrossRef]
- Song, Y.; Skinner, J.; Bynum, J.; Sutherland, J.; Wennberg, J.E.; Fisher, E.S. Regional variations in diagnostic practices. N. Engl. J. Med. 2010, 363, 45–53. [Google Scholar] [CrossRef] [PubMed]
- Kim, J.H. Multicollinearity and misleading statistical results. Korean J. Anesthesiol. 2019, 72, 558–569. [Google Scholar] [CrossRef]
- Dasgupta, P.; Baade, P.D.; Aitken, J.F.; Ralph, N.; Chambers, S.K.; Dunn, J. Geographical Variations in Prostate Cancer Outcomes: A Systematic Review of International Evidence. Front. Oncol. 2019, 9, 238. [Google Scholar] [CrossRef]
- Braveman, P.A.; Cubbin, C.; Egerter, S.; Williams, D.R.; Pamuk, E. Socioeconomic disparities in health in the United States: What the patterns tell us. Am. J. Public Health 2010, 100 (Suppl. S1), S186–S196. [Google Scholar] [CrossRef] [PubMed]
- Farmer, M.M.; Ferraro, K.F. Are racial disparities in health conditional on socioeconomic status? Soc. Sci. Med. 2005, 60, 191–204. [Google Scholar] [CrossRef] [PubMed]
- Schoendorf, K.C.; Hogue, C.J.; Kleinman, J.C.; Rowley, D. Mortality among infants of black as compared with white college-educated parents. N. Engl. J. Med. 1992, 326, 1522–1526. [Google Scholar] [CrossRef] [PubMed]
- Niu, X.; Roche, L.M.; Pawlish, K.S.; Henry, K.A. Cancer survival disparities by health insurance status. Cancer Med. 2013, 2, 403–411. [Google Scholar] [CrossRef] [PubMed]
- Chang, C.-M.; Su, Y.-C.; Lai, N.-S.; Huang, K.-Y.; Chien, S.-H.; Chang, Y.-H.; Lian, W.-C.; Hsu, T.-W.; Lee, C.-C. The combined effect of individual and neighborhood socioeconomic status on cancer survival rates. PLoS ONE 2012, 7, e44325. [Google Scholar] [CrossRef]
- Nierengarten, M.B. Health literacy may determine treatment choice for favorable-risk prostate cancer: Results from a new trial show that men with low health literacy are less likely to choose active surveillance for prostate cancer after genomic testing. Cancer 2021, 127, 2825–2826. [Google Scholar] [CrossRef]
- Markides, K.S.; Eschbach, K. Aging, Migration, and Mortality: Current Status of Research on the Hispanic Paradox. J. Gerontol. Ser. B 2005, 60, S68–S75. [Google Scholar] [CrossRef]
- Fenelon, A.; Blue, L. Widening life expectancy advantage of hispanics in the United States: 1990–2010. J. Immigr. Minor. Health 2014, 17, 1130–1137. [Google Scholar] [CrossRef][Green Version]
- Goldman, N. Will the Latino Mortality Advantage Endure? Res. Aging 2016, 38, 263–282. [Google Scholar] [CrossRef]
- Ruiz, J.M.; Steffen, P.; Smith, T.B. Hispanic mortality paradox: A systematic review and meta-analysis of the longitudinal literature. Am. J. Public Health 2013, 103, e52–e60. [Google Scholar] [CrossRef]
- Du, X.L.; Lin, C.C.; Johnson, N.J.; Altekruse, S. Effects of individual-level socioeconomic factors on racial disparities in cancer treatment and survival: Findings from the National Longitudinal Mortality Study, 1979–2003. Cancer 2011, 117, 3242–3251. [Google Scholar] [CrossRef] [PubMed]
- Moyer, V.A.; Force USPSTF. PSA guidelines. Screening for prostate cancer: U.S. Preventive Services Task Force recommenda-tion statement. Ann. Intern. Med. 2012, 157, 120–134. [Google Scholar] [CrossRef] [PubMed]
- Ruiz-Rodríguez, I.; Hombrados-Mendieta, I.; Melguizo-Garín, A.; Martos-Méndez, M.J. The Importance of Social Support, Optimism and Resilience on the Quality of Life of Cancer Patients. Front. Psychol. 2022, 13, 833176. [Google Scholar] [CrossRef] [PubMed]
- Taylor, S.E.; Repetti, R.L.; Seeman, T. Health psychology: What is an unhealthy environment and how does it get under the skin? Annu. Rev. Psychol. 1997, 48, 411–447. [Google Scholar] [CrossRef]
- Neighborhood Poverty, United States, National Equity Atlas. 2020. Available online: https://nationalequityatlas.org/indicators/Neighborhood_poverty (accessed on 12 May 2023).
- Adakai, M.; Sandoval-Rosario, M.; Xu, F.; Aseret-Manygoats, T.; Allison, M.; Greenlund, K.J.; Barbour, K.E. Health Disparities Among American Indians/Alaska Natives—Arizona, 2017. MMWR. Morb. Mortal. Wkly. Rep. 2018, 67, 1314–1318. [Google Scholar] [CrossRef]
- Meliker, J.R.; Goovaerts, P.; Jacquez, G.M.; AvRuskin, G.A.; Copeland, G. Breast and prostate cancer survival in Michigan: Can geographic analyses assist in understanding racial disparities? Cancer 2009, 115, 2212–2221. [Google Scholar] [CrossRef] [PubMed]


| Overall (239,613) | Non-Hispanic White Populations (167,076) | Non-Hispanic Black Populations (34,654) | Hispanic Populations (20,865) | Non-Hispanic Asian Pacific Islander Populations (10,987) | Non-Hispanic American Indian/Alaska Native Populations (798) | p-Value | |
|---|---|---|---|---|---|---|---|
| Mean Age at Diagnosis ± SD | 65.40 ± 9.4 | 66.4 ± 9.4 | 63.6 ± 9.4 | 66.1 ± 9.6 | 68.1 ± 9.3 | 66.3 ± 9.2 | <0.001 |
| 5-Year PCa Survival | 0.94 | 0.94 | 0.93 | 0.93 | 0.94 | 0.88 | <0.001 |
| Year Of Diagnosis | |||||||
| 2007 (%) | 50,641 (21.13) | 36,084 (21.60) | 6978 (20.14) | 4188 (20.07) | 2334 (21.24) | 148 (18.55) | <0.001 |
| 2008 (%) | 47,879 (19.98) | 33,581 (20.10) | 6884 (19.86) | 4230 (20.27) | 2145 (19.52) | 158 (19.80) | |
| 2009 (%) | 48,485 (20.23) | 33,491 (20.05) | 7130 (20.57) | 4445 (21.30) | 2225 (20.25) | 160 (20.05) | |
| 2010 (%) | 46,690 (19.49) | 32,152 (19.24) | 6876 (19.84) | 4098 (19.64) | 2150 (19.57) | 174 (21.80) | |
| 2011 (%) | 45,918 (19.16) | 31,768 (19.01) | 6786 (19.58) | 3904 (18.71) | 2133 (19.41) | 158 (19.80) | |
| Marital Status | |||||||
| Divorced/Separated (%) | 17,243 (7.20) | 11,007 (6.59) | 4089 (11.8) | 1472 (7.06) | 396 (3.6) | 110 (13.79) | <0.001 |
| Married (%) | 157,828 (65.87) | 115,628 (69.21) | 18,481 (53.33) | 13,425 (64.34) | 8152 (74.20) | 446 (55.89) | |
| Single (%) | 22,925 (9.57) | 13,574 (8.12) | 6313 (18.21) | 1973 (9.45) | 694 (6.32) | 69 (8.65) | |
| Widowed (%) | 9286 (3.88) | 6429 (3.85) | 1512 (4.36) | 846 (4.01) | 406 (3.70) | 35 (4.39) | |
| Unknown/Missing (%) | 32,331 (13.49) | 20,438 (12.23) | 4259 (12.29) | 3159 (15.14) | 1339 (12.19) | 138 (17.29) | |
| Insurance Status | |||||||
| Any Medicaid (%) | 10,204 (4.26) | 3637 (2.18) | 2504 (7.23) | 2510 (12.03) | 1300 (11.83) | 121 (15.16) | <0.001 |
| Insured (%) | 202,120 (84.35) | 146,063 (87.42) | 28151 (81.23) | 15719 (75.34) | 8663 (78.85) | 602 (75.44) | |
| Uninsured (%) | 3215 (1.34) | 1562 (0.93) | 963 (2.78) | 511 (2.45) | 139 (1.27) | 12 (1.50) | |
| Unknown/Missing (%) | 24,080 (10.06) | 15814 (9.47) | 3036 (8.76) | 2125 (10.18) | 885 (8.05) | 63 (7.89) | |
| Stage | |||||||
| Localized (%) | 191,882 (80.08) | 191,882 (80.08) | 28,263 (81.56) | 15,887 (76.14) | 8477 (77.15) | 598 (74.94) | <0.001 |
| Regional (%) | 29,868 (12.46) | 29,868 (12.47) | 3675 (10.60) | 2690 (12.89) | 1544 (14.05) | 95 (11.90) | |
| Distant (%) | 9554 (3.99) | 9554 (3.99) | 1778 (5.13) | 1049 (5.03) | 508 (4.62) | 62 (7.77) | |
| Unknown/Unstaged (%) | 8309 (3.47) | 8309 (3.47) | 938 (2.71) | 1239 (5.94) | 458 (4.17) | 43 (5.39) | |
| Gleason Score | |||||||
| GS 6 (%) | 56,158 (23.44) | 40,209 (24.07) | 7441 (20.9) | 4929 (23.62) | 2252 (20.50) | 156 (19.55) | <0.001 |
| GS 7 (%) | 52,076 (21.73) | 36,802 (22.03) | 7852 (22.66) | 4187 (20.07) | 2391 (21.76) | 153 (19.17) | |
| GS 8 (%) | 9600 (4.01) | 6352 (3.80) | 1552 (4.48) | 919 (4.40) | 622 (5.66) | 39 (4.89) | |
| GS 9 (%) | 7516 (3.14) | 5141 (3.08) | 1104 (3.19) | 676 (3.24) | 504 (4.59) | 27 (3.38) | |
| GS 10 (%) | 913 (0.38) | 623 (0.37) | 134 (0.39) | 112 (0.49) | 49 (0.45) | 1 (0.13) | |
| Not Done (%) | 1126 (0.47) | 726 (0.43) | 175 (0.5) | 132 (0.63) | 70 (0.64) | 10 (1.25) | |
| Unknown (%) | 113,350 (47.30) | 77,223 (46.22) | 16,396 (47.31) | 9920 (47.54) | 5099 (46.41) | 412 (51.63) | |
| Surgery | |||||||
| Yes (%) | 100,558 (41.97) | 74,054 (44.32) | 12,385 (35.74) | 8636 (41.39) | 4409 (40.13) | 280 (35.09) | <0.001 |
| No (%) | 136,794 (57.09) | 91,512 (54.77) | 22,034 (63.58) | 12,094 (57.96) | 6425 (58.48) | 515 (64.54) | |
| Unknown (%) | 2267 (0.95) | 1510 (0.90) | 235 (0.68) | 135 (0.65) | 153 (1.39) | 3 (0.38) | |
| Less Than High School Education | |||||||
| Q1 (%) (Lowest “Less Than High School” Quintile) | 49,326 (20.59) | 41,067 (24.59) | 4379 (12.64) | 1339 (6.42) | 1443 (13.14) | 214 (26.82) | <0.001 |
| Q2 (%) | 48,547 (20.26) | 37,373 (22.38) | 5272 (15.21) | 2247 (10.78) | 2734 (24.89) | 110 (13.78) | |
| Q3 (%) | 48,134 (20.09) | 31,903 (19.10) | 7680 (22.16) | 4333 (20.78) | 3098 (28.20) | 165 (20.68) | |
| Q4 (%) | 47,575 (19.85) | 30,224 (18.10) | 10,544 (30.43) | 4434 (21.27) | 1178 (10.72) | 140 (17.54) | |
| Q5 (%) (Highest “Less Than High School” Quintile) | 45,944 (19.17) | 26,451 (15.84) | 6777 (19.56) | 8495 (40.75) | 2531 (23.04) | 169 (21.18) | |
| At Least Bachelor-Level Education | |||||||
| Q1 (%) (Lowest “At Least Bachelor-level” Quintile) | 52,040 (21.72) | 37,318 (22.34) | 7785 (22.47) | 5025 (24.10) | 786 (7.16) | 275 (34.46) | <0.001 |
| Q2 (%) | 43,561 (18.18) | 31,416 (18.81) | 8012 (23.12) | 2152 (10.32) | 1154 (10.51) | 230 (28.82) | |
| Q3 (%) | 47,261 (19.72) | 29,430 (17.62) | 5483 (15.82) | 6625 (31.78) | 3996 (36.38) | 124 (15.54) | |
| Q4 (%) | 49,600 (20.70) | 35,640 (21.34) | 6313 (18.22) | 4326 (20.75) | 1934 (17.61) | 92 (11.53) | |
| Q5 (%) (Highest “At Least Bachelor-level” Quintile) | 47,064 (19.64) | 33,214 (19.89) | 7059 (20.37) | 2720 (13.05) | 3114 (28.35) | 77 (9.65) | |
| Unemployment | |||||||
| Q1 (%) (Lowest “Unemployment” Quintile) | 49,084 (20.48) | 39,367 (23.57) | 3728 (10.76) | 2181 (10.46) | 2907 (26.47) | 137 (17.17) | <0.001 |
| Q2 (%) | 50,958 (21.27) | 38,200 (22.87) | 4953 (14.29) | 3754 (18.01) | 2683 (24.43) | 216 (27.07) | |
| Q3 (%) | 46,533 (19.42) | 34,281 (20.53) | 6225 (17.96) | 3193 (15.32) | 1874 (17.06) | 110 (13.78) | |
| Q4 (%) | 47,391 (19.78) | 27,132 (16.24) | 9461 (27.3) | 6767 (32.46) | 2445 (22.26) | 157 (19.67) | |
| Q5 (%) (Highest “Unemployment” Quintile) | 45,560 (19.01) | 28,038 (16.79) | 10,285 (29.68) | 4953 (23.76) | 1075 (9.79) | 178 (22.31) | |
| Foreign-Born/Language-Isolated | |||||||
| Q1 (%) (Lowest “Foreign-Born/Language-Isolated” Quintile) | 48,022 (20.04) | 37666 (22.55) | 9148 (26.40) | 607 (2.91) | 144 (1.31) | 98 (12.28) | <0.001 |
| Q2 (%) | 49,454 (20.64) | 38637 (23.13) | 7329 (21.15) | 1672 (8.02) | 708 (6.45) | 291 (36.47) | |
| Q3 (%) | 48,130 (20.09) | 33885 (20.29) | 7332 (21.16) | 2856 (13.70) | 3099 (28.21) | 204 (25.56) | |
| Q4 (%) | 47,392 (19.78) | 31473 (18.84) | 5066 (14.62) | 7166 (34.37) | 2126 (19.36) | 134 (16.79) | |
| Q5 (%) (Highest “Foreign-Born/Language-Isolated” Quintile) | 46,528 (19.42) | 25357 (15.18) | 5777 (16.67) | 8547 (41.00) | 4907 (44.67) | 71 (8.90) | |
| Poverty/Income | |||||||
| Q1 (%) (Lowest “Poverty/Income” Quintile) | 48,402 (20.20) | 36551 (21.88) | 3508 (10.12) | 3147 (15.09) | 4110 (37.42) | 79 (9.90) | <0.001 |
| Q2 (%) | 48,853 (20.39) | 36349 (21.76) | 5554 (16.03) | 2924 (14.03) | 2514 (22.89) | 206 (25.81) | |
| Q3 (%) | 46,533 (19.42) | 35697 (21.37) | 4541 (13.10) | 3693 (17.71) | 1461 (13.30) | 153 (19.17) | |
| Q4 (%) | 48,737 (20.34) | 27589 (16.52) | 9124 (26.33) | 7980 (38.28) | 2500 (22.76) | 98 (12.28) | |
| Q5 (%) (Highest “Poverty/Income” Quintile) | 47,001 (19.61) | 30832 (18.47) | 11925 (34.42) | 3104 (14.80) | 399 (3.63) | 262 (32.84) | |
| County Description | |||||||
| Metropolitan (%) | 208,764 (89.14) | 145,609 (87.18) | 32,045 (93.52) | 19,961 (95.75) | 10,631 (96.79) | 518 (73.58) | <0.001 |
| Non-Metropolitan (%) | 25,442 (15.86) | 21,409 (12.82) | 2607 (6.48) | 887 (4.25) | 353 (3.21) | 186 (26.42) | |
| County Region | |||||||
| Midwest (%) | 23,057 (9.84) | 18,348 (10.98) | 4224 (12.19) | 269 (1.29) | 186 (1.69) | 30 (3.76) | <0.001 |
| Northeast (%) | 41,093 (17.53) | 31, 384 (18.78) | 5657 (16.32) | 3095 (14.83) | 922 (8.39) | 35 (4.39) | |
| South (%) | 53,301 (22.74) | 36,999 (22.15) | 15,139 (43.69) | 818 (3.92) | 303 (2.76) | 42 (5.26) | |
| West (%) | 116,929 (49.89) | 80,345 (48.09) | 9634 (27.80) | 16,683 (79.96) | 9576 (87.16) | 691 (86.59) |
| Mortality | Distant Stage | Gleason Scores > 7 | Received Surgical Intervention | Undocumented Gleason Score | ||||||||||||||||
|---|---|---|---|---|---|---|---|---|---|---|---|---|---|---|---|---|---|---|---|---|
| Versus Q1 | Q2 | Q3 | Q4 | Q5 | Q2 | Q3 | Q4 | Q5 | Q2 | Q3 | Q4 | Q5 | Q2 | Q3 | Q4 | Q5 | Q2 | Q3 | Q4 | Q5 |
| Overall | ||||||||||||||||||||
| Less than High School education | 1.10 | 1.23 | 1.27 | 1.33 | 1.01 | 1.19 | 1.13 | 1.29 | 1.04 | 1.11 | 1.10 | 1.07 | 1.07 | 0.83 | 1.06 | 1.03 | 1.05 | 0.98 | 1.01 | 1.01 |
| At least Bachelors-level education | 0.86 | 0.90 | 0.87 | 0.78 | 0.95 | 1.06 | 0.98 | 0.92 | 1.01 | 0.99 | 1.03 | 0.92 | 0.98 | 1.30 | 1.06 | 0.83 | 0.98 | 0.97 | 1.04 | 0.97 |
| Unemployment | 0.98 | 1.08 | 1.12 | 1.15 | 0.97 | 1.05 | 1.11 | 1.07 | 1.03 | 1.06 | 1.01 | 1.08 | 0.94 | 0.81 | 0.88 | 0.80 | 1.03 | 0.99 | 0.99 | 1.02 |
| Poverty/income | 1.17 | 1.23 | 1.31 | 1.38 | 1.13 | 1.09 | 1.24 | 1.19 | 1.03 | 1.04 | 0.99 | 1.07 | 1.05 | 1.16 | 1.11 | 0.98 | 0.99 | 0.97 | 0.92 | 0.98 |
| Foreign-born/Language-isolated | 0.90 | 0.94 | 0.98 | 0.99 | 0.95 | 1.06 | 1.10 | 1.21 | 0.97 | 0.97 | 1.01 | 1.02 | 1.06 | 0.78 | 0.93 | 0.90 | 1.09 | 1.05 | 1.09 | 1.03 |
| Non-Hispanic White population | ||||||||||||||||||||
| Less than High School education | 1.12 | 1.17 | 1.18 | 1.31 | 0.98 | 1.12 | 1.00 | 1.11 | 1.00 | 1.04 | 1.05 | 0.99 | 1.08 | 0.89 | 1.18 | 1.14 | 1.03 | 0.96 | 0.99 | 1.01 |
| At least Bachelors-level education | 0.85 | 0.90 | 0.88 | 0.75 | 0.96 | 1.05 | 1.05 | 0.94 | 1.01 | 0.97 | 1.06 | 0.90 | 0.98 | 1.35 | 1.04 | 0.83 | 0.99 | 0.99 | 1.05 | 0.98 |
| Unemployment | 0.96 | 1.04 | 0.98 | 1.06 | 0.94 | 0.97 | 0.90 | 0.94 | 1.04 | 1.07 | 0.96 | 1.05 | 0.97 | 0.84 | 1.01 | 0.87 | 1.02 | 0.99 | 1.01 | 1.03 |
| Poverty/income | 1.14 | 1.18 | 1.19 | 1.20 | 1.10 | 1.05 | 1.04 | 0.98 | 1.04 | 1.06 | 0.96 | 1.04 | 1.09 | 1.23 | 1.31 | 1.10 | 1.00 | 0.98 | 0.95 | 1.00 |
| Foreign-born/Language-isolated | 0.96 | 0.98 | 1.07 | 1.05 | 0.99 | 1.11 | 1.15 | 1.21 | 0.99 | 0.98 | 1.01 | 1.00 | 0.99 | 0.75 | 0.89 | 0.95 | 1.08 | 1.04 | 1.04 | 1.02 |
| Non-Hispanic Black population | ||||||||||||||||||||
| Less than High School education | 0.98 | 1.15 | 1.17 | 1.23 | 0.97 | 1.11 | 1.14 | 1.22 | 1.06 | 1.13 | 1.09 | 1.20 | 1.40 | 1.05 | 1.29 | 1.47 | 1.09 | 1.01 | 1.02 | 0.99 |
| At least Bachelors-level education | 0.88 | 1.05 | 0.86 | 0.95 | 1.08 | 1.22 | 0.93 | 1.11 | 1.03 | 1.07 | 1.00 | 0.89 | 1.05 | 1.26 | 0.98 | 0.75 | 0.92 | 0.96 | 1.03 | 0.89 |
| Unemployment | 1.08 | 1.16 | 1.20 | 1.16 | 1.12 | 1.25 | 1.25 | 1.22 | 0.94 | 1.03 | 1.00 | 1.03 | 1.07 | 0.82 | 0.91 | 0.86 | 1.04 | 1.01 | 0.96 | 0.96 |
| Poverty/income | 1.27 | 1.24 | 1.37 | 1.34 | 1.18 | 1.09 | 1.33 | 1.28 | 1.06 | 1.06 | 1.05 | 1.10 | 1.01 | 1.06 | 1.05 | 1.13 | 1.09 | 1.05 | 0.86 | 0.95 |
| Foreign-born/Language-isolated | 0.92 | 0.98 | 0.98 | 1.18 | 1.03 | 1.08 | 1.00 | 1.31 | 0.98 | 0.84 | 0.90 | 0.95 | 1.14 | 0.68 | 0.98 | 0.94 | 1.10 | 0.97 | 1.13 | 0.94 |
| Hispanic population | ||||||||||||||||||||
| Less than High School education | 1.52 | 1.38 | 1.55 | 1.51 | 1.43 | 1.34 | 1.41 | 1.58 | 1.46 | 1.59 | 1.62 | 1.35 | 0.91 | 0.79 | 1.13 | 0.99 | 1.05 | 0.92 | 0.93 | 0.93 |
| At least Bachelors-level education | 0.89 | 1.20 | 1.10 | 0.88 | 0.72 | 1.19 | 1.21 | 0.83 | 0.90 | 0.93 | 1.03 | 1.04 | 0.73 | 1.11 | 0.91 | 0.71 | 1.11 | 0.88 | 0.96 | 1.06 |
| Unemployment | 0.84 | 0.92 | 1.05 | 0.91 | 1.02 | 1.31 | 1.29 | 1.09 | 1.22 | 1.20 | 1.12 | 1.21 | 0.97 | 0.80 | 0.91 | 0.94 | 1.03 | 0.94 | 0.91 | 0.98 |
| Poverty/income | 1.95 | 1.10 | 1.21 | 1.19 | 1.11 | 1.03 | 1.15 | 1.10 | 1.07 | 1.12 | 0.96 | 1.18 | 1.23 | 1.13 | 1.21 | 1.09 | 0.90 | 0.87 | 0.84 | 0.97 |
| Foreign-born/Language-isolated | 1.23 | 1.20 | 1.14 | 1.24 | 0.95 | 0.88 | 1.07 | 1.16 | 0.95 | 1.00 | 1.06 | 0.97 | 1.12 | 0.89 | 0.96 | 0.93 | 1.13 | 1.21 | 1.23 | 1.14 |
| Non-Hispanic Asian Pacific Islander population | ||||||||||||||||||||
| Less than High School education | 0.88 | 1.03 | 1.29 | 1.11 | 0.74 | 0.77 | 0.79 | 0.98 | 0.82 | 0.83 | 0.81 | 0.80 | 1.15 | 0.84 | 1.40 | 1.29 | 1.20 | 1.13 | 1.22 | 1.06 |
| At least Bachelors-level education | 0.82 | 0.61 | 0.76 | 0.59 | 1.02 | 0.80 | 0.72 | 0.67 | 0.96 | 0.97 | 0.94 | 0.98 | 0.84 | 1.47 | 1.30 | 0.78 | 0.95 | 0.80 | 0.83 | 0.81 |
| Unemployment | 1.16 | 1.13 | 1.06 | 1.74 | 1.08 | 0.88 | 1.15 | 1.25 | 1.04 | 0.81 | 0.88 | 0.86 | 0.76 | 0.86 | 1.06 | 0.86 | 0.99 | 0.94 | 0.89 | 1.18 |
| Poverty/income | 1.23 | 1.49 | 1.16 | 1.74 | 1.09 | 1.15 | 1.19 | 1.48 | 0.96 | 0.85 | 0.95 | 0.55 | 1.00 | 1.07 | 1.30 | 0.87 | 0.98 | 1.03 | 0.91 | 1.25 |
| Foreign-born/Language-isolated | 0.76 | 0.95 | 1.24 | 0.95 | 0.74 | 1.08 | 1.18 | 0.99 | 0.79 | 0.93 | 0.99 | 0.90 | 0.90 | 0.94 | 0.88 | 0.83 | 1.00 | 0.96 | 0.96 | 0.88 |
| Non-Hispanic American Indian/Alaska Native population | ||||||||||||||||||||
| Less than High School education | 0.65 | 1.57 | 1.11 | 1.68 | 0.29 | 0.64 | 1.24 | 1.12 | 1.80 | 1.55 | 1.28 | 1.03 | 0.59 | 0.58 | 0.77 | 0.77 | 1.23 | 1.05 | 1.63 | 1.57 |
| At least Bachelors-level education | 1.1 | 0.90 | 0.80 | 0.55 | 0.79 | 0.60 | 0.74 | 0.40 | 1.42 | 0.73 | 0.97 | 0.87 | 0.72 | 0.86 | 0.78 | 0.40 | 0.95 | 1.05 | 0.69 | 0.61 |
| Unemployment | 0.59 | 0.80 | 2.24 | 1.34 | 0.41 | 0.45 | 1.35 | 0.52 | 1.28 | 1.99 | 1.71 | 2.30 | 0.82 | 0.95 | 0.89 | 1.03 | 0.65 | 0.61 | 1.09 | 0.64 |
| Poverty/income | 0.78 | 1.11 | 1.28 | 1.43 | 1.09 | 0.72 | 0.75 | 2.01 | 0.77 | 1.70 | 0.39 | 1.22 | 1.04 | 1.16 | 0.89 | 1.13 | 1.37 | 2.10 | 2.19 | 1.97 |
| Foreign-born/Language-isolated | 1.49 | 2.00 | 1.49 | 2.20 | 1.96 | 1.82 | 1.32 | 1.43 | 1.61 | 0.83 | 1.39 | 0.97 | 0.67 | 0.49 | 0.68 | 0.44 | 1.21 | 1.21 | 1.13 | 1.35 |
| Model 1 | Model 2 | Model 3 | ||||||||||
|---|---|---|---|---|---|---|---|---|---|---|---|---|
| aHR | p-Value | Upper 99%CI | Lower 99%CI | aHR | p-Value | Upper 99%CI | Lower 99%CI | aHR | p-Value | Upper 99%CI | Lower 99%CI | |
| Race/ethnicity (ref = Non-Hispanic White population) | ||||||||||||
| Non-Hispanic Black population | 1.64 | <0.001 | 1.54 | 1.74 | 1.22 | <0.001 | 1.14 | 1.30 | 1.19 | <0.001 | 1.12 | 1.27 |
| Hispanics | 1.11 | <0.001 | 1.03 | 1.20 | 0.89 | <0.001 | 0.83 | 0.96 | 0.90 | <0.001 | 0.83 | 0.97 |
| Non-Hispanic Asian Pacific Islander population | 0.79 | <0.001 | 0.70 | 0.88 | 0.66 | <0.001 | 0.59 | 0.74 | 0.67 | <0.001 | 0.60 | 0.75 |
| Non-Hispanic American Indian/Alaska Native population | 1.88 | <0.001 | 1.42 | 2.48 | 1.35 | 0.006 | 1.02 | 1.79 | 1.33 | 0.007 | 0.99 | 1.76 |
| Individual-level characteristics | ||||||||||||
| Stage at diagnosis (ref = local) | ||||||||||||
| Regional | 2.74 | <0.001 | 2.50 | 2.98 | 2.74 | <0.001 | 2.51 | 2.99 | ||||
| Distant | 24.78 | <0.001 | 23.44 | 26.18 | 24.74 | <0.001 | 23.42 | 26.14 | ||||
| Gleason Score (ref = GS6) | ||||||||||||
| GS7 | 1.96 | <0.001 | 1.71 | 2.25 | 1.96 | <0.001 | 1.71 | 2.24 | ||||
| GS8 | 4.27 | <0.001 | 3.73 | 4.91 | 4.27 | <0.001 | 3.73 | 4.91 | ||||
| GS9 | 6.92 | <0.001 | 6.07 | 7.86 | 6.90 | <0.001 | 6.06 | 7.86 | ||||
| GS10 | 10.56 | <0.001 | 8.94 | 12.48 | 10.47 | <0.001 | 8.86 | 12.36 | ||||
| Not carried out/unknown | 6.89 | <0.001 | 4.11 | 5.27 | 6.89 | <0.001 | 4.11 | 5.27 | ||||
| Surgery (ref = no) | ||||||||||||
| Yes | 0.54 | <0.001 | 0.50 | 0.58 | 0.54 | <0.001 | 0.50 | 0.58 | ||||
| Year of diagnosis | ||||||||||||
| 2011 vs. 2007 | 0.91 | <0.001 | 0.90 | 0.93 | 0.91 | <0.001 | 0.90 | 0.93 | ||||
| Insurance status at diagnosis (vs. no insurance) | ||||||||||||
| Any Medicaid | 0.68 | <0.001 | 0.59 | 0.79 | 0.68 | <0.001 | 0.59 | 0.79 | ||||
| Insured | 0.44 | <0.001 | 0.38 | 0.50 | 0.44 | <0.001 | 0.39 | 0.50 | ||||
| County-level characteristics | ||||||||||||
| County-level SES (Q5 vs. Q1) | ||||||||||||
| Less than high school | 0.97 | 0.633 | 0.88 | 1.15 | ||||||||
| At least bachelor-level | 0.82 | 0.001 | 0.70 | 0.95 | ||||||||
| Unemployment | 0.96 | 0.273 | 0.87 | 1.06 | ||||||||
| Poverty/Income | 1.10 | 0.091 | 0.95 | 1.27 | ||||||||
| Foreign-born/Language-isolated | 1.14 | 0.043 | 0.96 | 1.36 | ||||||||
| County metro/non-metro | ||||||||||||
| Non-metropolitan (vs. metro) | 1.03 | 0.459 | 0.94 | 1.16 | ||||||||
| County region (vs. West) | ||||||||||||
| Midwest | 1.00 | 0.982 | 0.89 | 1.13 | ||||||||
| Northeast | 0.89 | <0.001 | 0.82 | 0.97 | ||||||||
| South | 1.10 | 0.013 | 0.97 | 1.21 | ||||||||
Disclaimer/Publisher’s Note: The statements, opinions and data contained in all publications are solely those of the individual author(s) and contributor(s) and not of MDPI and/or the editor(s). MDPI and/or the editor(s) disclaim responsibility for any injury to people or property resulting from any ideas, methods, instructions or products referred to in the content. |
© 2023 by the authors. Licensee MDPI, Basel, Switzerland. This article is an open access article distributed under the terms and conditions of the Creative Commons Attribution (CC BY) license (https://creativecommons.org/licenses/by/4.0/).
Share and Cite
El Khoury, C.J.; Clouston, S.A.P. Racial/Ethnic Disparities in Prostate Cancer 5-Year Survival: The Role of Health-Care Access and Disease Severity. Cancers 2023, 15, 4284. https://doi.org/10.3390/cancers15174284
El Khoury CJ, Clouston SAP. Racial/Ethnic Disparities in Prostate Cancer 5-Year Survival: The Role of Health-Care Access and Disease Severity. Cancers. 2023; 15(17):4284. https://doi.org/10.3390/cancers15174284
Chicago/Turabian StyleEl Khoury, Christiane J., and Sean A. P. Clouston. 2023. "Racial/Ethnic Disparities in Prostate Cancer 5-Year Survival: The Role of Health-Care Access and Disease Severity" Cancers 15, no. 17: 4284. https://doi.org/10.3390/cancers15174284
APA StyleEl Khoury, C. J., & Clouston, S. A. P. (2023). Racial/Ethnic Disparities in Prostate Cancer 5-Year Survival: The Role of Health-Care Access and Disease Severity. Cancers, 15(17), 4284. https://doi.org/10.3390/cancers15174284

