Dynamic Optical Coherence Tomography: A Non-Invasive Imaging Tool for the Distinction of Nevi and Melanomas
Abstract
Simple Summary
Abstract
1. Introduction
2. Materials and Methods
2.1. Participants, Study Course, and Data Management
2.2. D-OCT
2.3. Dermoscopy and Histology
2.4. Statistical Analysis
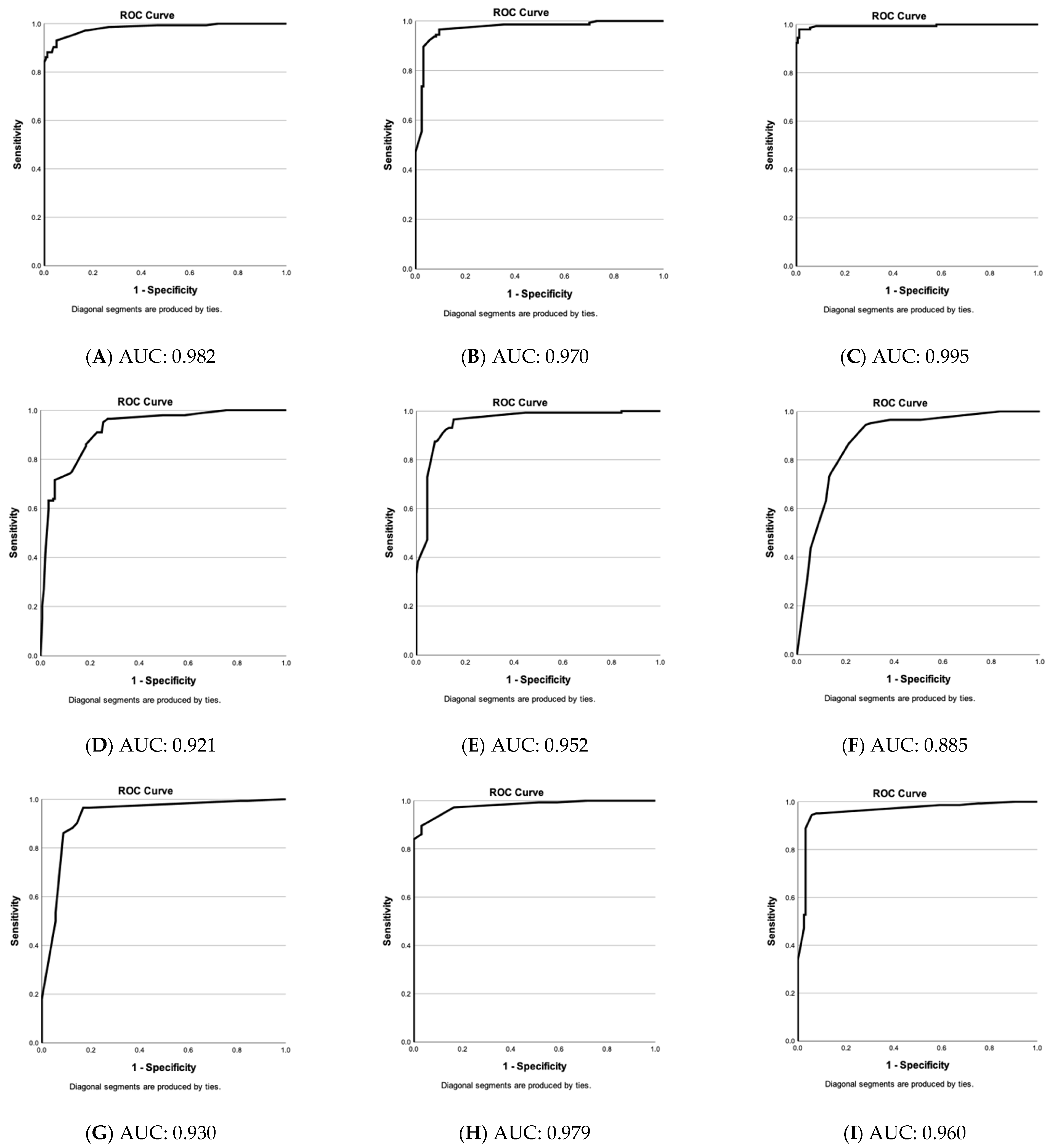
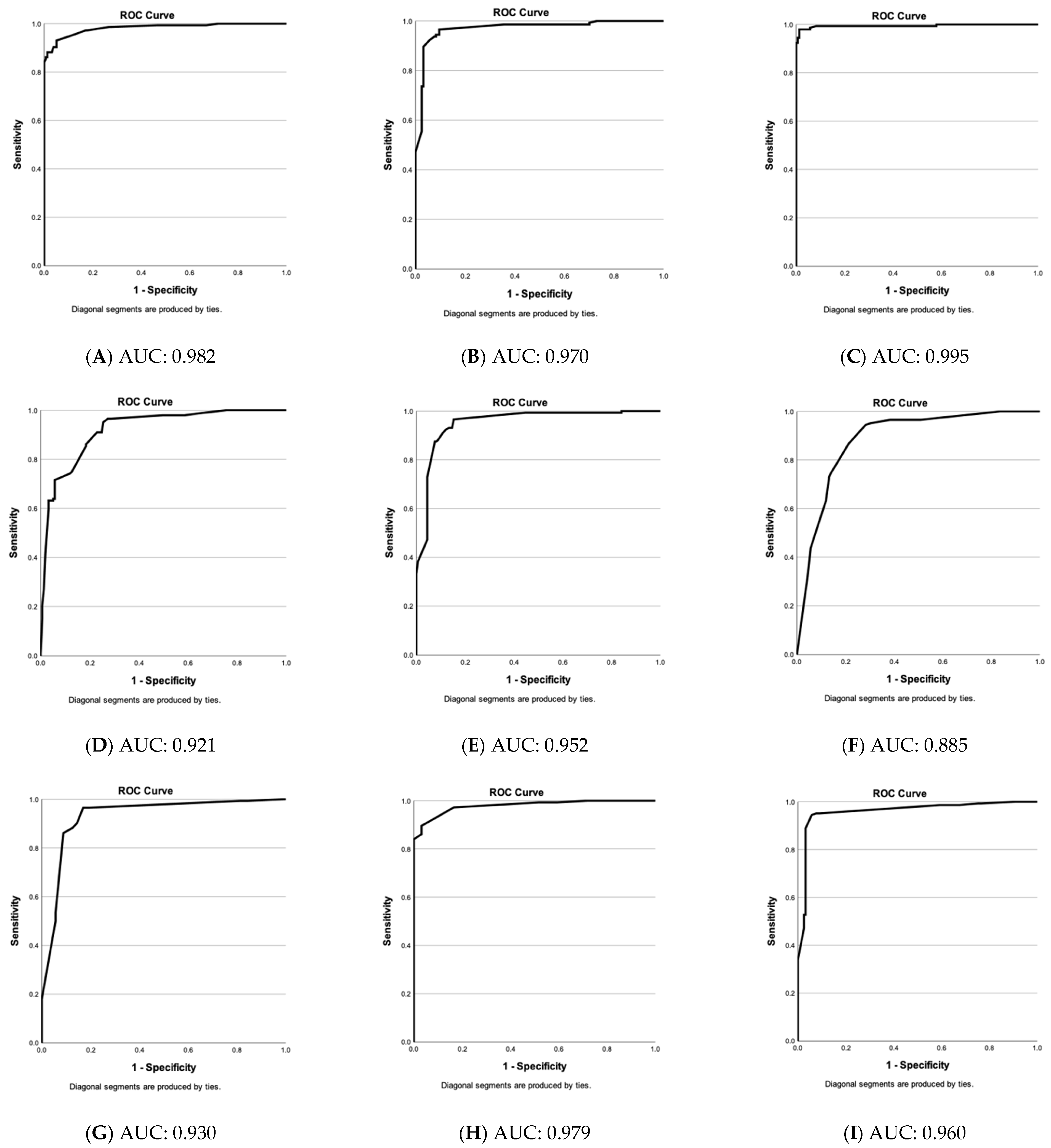
3. Results
3.1. Study Population
3.2. Nevi and Adjacent Skin
3.3. Nevi, Dysplastic Nevi, and Melanomas
3.4. Nevus Subtypes
3.5. Potential Influencing Factors
3.6. Clinical, Dermoscopic, and Histological Evaluation
4. Discussion
5. Conclusions
Author Contributions
Funding
Institutional Review Board Statement
Informed Consent Statement
Data Availability Statement
Acknowledgments
Conflicts of Interest
References
- Leitlinienprogramm Onkologie (Deutsche Krebsgesellschaft, Deutsche Krebshilfe, AWMF): Diagnostik, Therapie und Nachsorge des Melanoms, Langversion 3.3, 2020, AWMF Registernummer: 032/024OL. Available online: http://www.leitlinienprogramm-onkologie.de/leitlinien/melanom/ (accessed on 30 November 2022).
- Tronnier, M. Melanotische Flecke und melanozytäre Nävi. In Braun Falco’s Dermatologie, Venerologie und Allergologie; Plewig, G., Ruzicka, T., Kaufmann, R., Hertl, M., Eds.; Springer: Berlin/Heidelberg, Germany, 2018; pp. 1851–1868. [Google Scholar]
- Matthews, N.H.; Li, W.-Q.; Qureshi, A.A.; Weinstock, M.A.; Cho, E. Epidemiology of Melanoma. In Cutaneous Melanoma: Etiology and Therapy; Ward, W.H., Farma, J.M., Eds.; Codon Publications: Brisbane, Australia, 2017; pp. 3–22. [Google Scholar]
- Tadiparthi, S.; Panchani, S.; Iqbal, A. Biopsy for Malignant Melanoma—Are We Following the Guidelines? Ann. R. Coll. Surg. Engl. 2008, 90, 322–325. [Google Scholar] [CrossRef] [PubMed]
- Kittler, H. Evolution of the Clinical, Dermoscopic and Pathologic Diagnosis of Melanoma. Dermatol. Pract. Concept. 2021, 11 (Suppl. 1), 2021163S. [Google Scholar] [CrossRef] [PubMed]
- Fink, C.; Haenssle, H.A. Strategies for the noninvasive diagnosis of melanoma. Hautarzt 2016, 67, 519–528. [Google Scholar] [CrossRef] [PubMed]
- Friedman, E.; Dodds, T.J.; Lo, S.N.; Ferguson, P.M.; Beck, M.; Saw, R.P.M.; Stretch, J.R.; Lee, K.K.; Nieweg, O.E.; Spillane, A.J.; et al. Correlation Between Surgical and Histologic Margins in Melanoma Wide Excision Specimens. Ann. Surg. Oncol. 2019, 26, 25–32. [Google Scholar] [CrossRef] [PubMed]
- Holowatz, L.A. Human cutaneous microvascular ageing: Potential insights into underlying physiological mechanisms of endothelial function and dysfunction. J. Physiol. 2008, 586, 3301. [Google Scholar] [CrossRef] [PubMed]
- Themstrup, L.; Welzel, J.; Ciardo, S.; Kaestle, R.; Ulrich, M.; Holmes, J.; Whitehead, R.; Sattler, E.; Kindermann, N.; Pellacani, G.; et al. Validation of Dynamic optical coherence tomography for non-invasive, in vivo microcirculation imaging of the skin. Microvasc. Res. 2016, 107, 97–105. [Google Scholar] [CrossRef]
- Hanahan, D.; Weinberg, R.A. Hallmarks of cancer: The next generation. Cell 2011, 144, 646–674. [Google Scholar] [CrossRef]
- Gaustad, J.-V.; Simonsen, T.G.; Andersen, L.M.K.; Rofstad, E.K. Vascular abnormalities and development of hypoxia in microscopic melanoma xenografts. J. Transl. Med. 2017, 15, 241. [Google Scholar] [CrossRef]
- Lee, J.; Abdeen, A.A.; Hedhli, J.; Wycislo, K.L.; Dobrucki, I.T.; Fan, T.M.; Dobrucki, L.W.; Kilian, K.A. Melanoma topology reveals a stem-like phenotype that promotes angiogenesis. Sci. Adv. 2017, 3, e1701350. [Google Scholar] [CrossRef]
- Huang, R.; Andersen LM, K.; Rofstad, E.K. Metastatic pathway and the microvascular and physicochemical microenvi-ronments of human melanoma xenografts. J. Transl. Med. 2017, 15, 203. [Google Scholar] [CrossRef]
- Desch, A.; Strozyk, E.A.; Bauer, A.T.; Huck, V.; Niemeyer, V.; Wieland, T.; Schneider, S.W. Highly invasive melanoma cells activate the vascular endothelium via an MMP-2/integrin alphavbeta5-induced secretion of VEGF-A. Am. J. Pathol. 2012, 181, 693–705. [Google Scholar] [CrossRef] [PubMed]
- Schoenfeld, J.; Jinushi, M.; Nakazaki, Y.; Wiener, D.; Park, J.; Soiffer, R.; Neuberg, D.; Mihm, M.; Hodi, F.S.; Dranoff, G. Active Immunotherapy Induces Antibody Responses That Target Tumor Angiogenesis. Cancer Res. 2010, 70, 10150–10160. [Google Scholar] [CrossRef] [PubMed]
- Weis, S.M.; Cheresh, D.A. Tumor angiogenesis: Molecular pathways and therapeutic targets. Nat. Med. 2011, 17, 1359–1370. [Google Scholar] [CrossRef] [PubMed]
- Tanaka, Y. Impact of near-infrared radiation in dermatology. World J. Dermatol. 2012, 1, 30–37. [Google Scholar] [CrossRef]
- Welzel, J.; Schuh, S.; De Carvalho, N.; Themstrup, L.; Ulrich, M.; Jemec, G.; Holmes, J.; Pellacani, G. Dynamic optical coherence tomography shows characteristic alterations of blood vessels in malignant melanoma. J. Eur. Acad. Dermatol. Venereol. 2021, 35, 1087–1093. [Google Scholar] [CrossRef]
- Maier, T.; Braun-Falco, M.; Laubender, R.P.; Ruzicka, T.; Berking, C. Actinic keratosis in the en-face and slice imaging mode of high-definition optical coherence tomography and comparison with histology. Br. J. Dermatol. 2013, 168, 120–128. [Google Scholar] [CrossRef]
- Maier, T.; Braun-Falco, M.; Hinz, T.; Schmid-Wendtner, M.; Ruzicka, T.; Berking, C. Morphology of basal cell carcinoma in high definition optical coherence tomography: Enface and slice imaging mode, and comparison with histology. J. Eur. Acad. Dermatol. Venereol. 2013, 27, e97–e104. [Google Scholar] [CrossRef]
- Coleman, A.J.; Richardson, T.J.; Orchard, G.; Uddin, A.; Choi, M.J.; Lacy, K.E. Histological correlates of optical coherence tomography in non-melanoma skin cancer. Ski. Res. Technol. 2013, 19, e10–e19. [Google Scholar] [CrossRef]
- Schuh, S.; Holmes, J.; Ulrich, M.; Themstrup, L.; Jemec, G.B.E.; De Carvalho, N.; Pellacani, G.; Welzel, J. Imaging Blood Vessel Morphology in Skin: Dynamic Optical Coherence Tomography as a Novel Potential Diagnostic Tool in Dermatology. Dermatol. Ther. 2017, 7, 187–202. [Google Scholar] [CrossRef]
- Gambichler, T.; Plura, I.; Schmid-Wendtner, M.; Valavanis, K.; Kulichova, D.; Stücker, M.; Pljakic, A.; Berking, C.; Maier, T. High-definition optical coherence tomography of melanocytic skin lesions. J. Biophotonics 2015, 8, 681–686. [Google Scholar] [CrossRef]
- MBoone, A.; Norrenberg, S.; Jemec, G.B.; del Marmol, V. High-definition optical coherence tomography imaging of melanocytic lesions: A pilot study. Arch Dermatol. Res. 2014, 306, 11–26. [Google Scholar]
- Mariampillai, A.; Standish, B.A.; Moriyama, E.H.; Khurana, M.; Munce, N.R.; Leung, M.K.K.; Jiang, J.; Cable, A.; Wilson, B.C.; Vitkin, A.; et al. Speckle variance detection of microvasculature using swept-source optical coherence tomography. Opt. Lett. 2008, 33, 1530–1532. [Google Scholar] [CrossRef] [PubMed]
- Olsen, J.; Holmes, J.; Jemec, G.B.E. Advances in optical coherence tomography in dermatology—A review. J. Biomed. Opt. 2018, 23, 040901. [Google Scholar] [CrossRef] [PubMed]
- De Carvalho, N.; Welzel, J.; Schuh, S.; Themstrup, L.; Ulrich, M.; Jemec, G.B.E.; Holmes, J.; Kaleci, S.; Chester, J.; Bigi, L.; et al. The vascular morphology of melanoma is related to Breslow index: An in vivo study with dynamic optical coherence tomography. Exp. Dermatol. 2018, 27, 1280–1286. [Google Scholar] [CrossRef]
- de Carvalho, N.; Ciardo, S.; Cesinaro, A.M.; Jemec, G.; Ulrich, M.; Welzel, J.; Holmes, J.; Pellacani, G. In vivo micro-angiography by means of speckle-variance optical coherence tomography (SV-OCT) is able to detect microscopic vascular changes in naevus to melanoma transition. J. Eur. Acad. Dermatol. Venereol. 2016, 30, 67–68. [Google Scholar] [CrossRef]
- 64th WMA General Assembly (2018) Declaration of Helsinki—Ethical Principles for Medical Research Involving Human Subjects. Fortaleza: World Medical Association. Available online: https://www.wma.net/policies-post/wma-declaration-of-helsinki-ethical-principles-for-medical-research-involving-human-subjects/ (accessed on 30 November 2022).
- European Parliament and Council of the European Union. Regulation (EU) 2016/679 of the European Parliament and of the Council of 27 April 2016 on the Protection of Natural Persons with Regard to the Processing of Personal Data and on the Free Movement of Such Data, and Repealing Directive 95/46/EC (General Data Protection Regulation), L119/1; Official Journal of the European Union: Brussels, Belgium, 2016. [Google Scholar]
- DermoScan GmbH. VivoSight-Scanner. Available online: https://de.vivosight.com/forschungs-anwender/vivosight-scanner/ (accessed on 30 November 2022).
- Manfredi, M.; Grana, C.; Pellacani, G. Skin Surface Reconstruction and 3D Vessels Segmentation in Speckle Variance Optical Coherence Tomography. In Proceedings of the VISIGRAPP 2016, Rome, Italy, 27–29 February 2016. [Google Scholar]
- Ulrich, M.; Themstrup, L.; de Carvalho, N.; Ciardo, S.; Holmes, J.; Whitehead, R.; Welzel, J.; Jemec, G.B.E.; Pellacani, G. Dynamic optical coherence tomography of skin blood vessels—Proposed terminology and practical guidelines. J. Eur. Acad. Dermatol. Venereol. 2018, 32, 152–155. [Google Scholar] [CrossRef]
- Erdmann, F.; Lortet-Tieulent, J.; Schüz, J.; Zeeb, H.; Greinert, R.; Breitbart, E.W.; Bray, F. International trends in the incidence of malignant melanoma 1953–2008—Are recent generations at higher or lower risk? Int. J. Cancer 2013, 132, 385–400. [Google Scholar] [CrossRef]
- Leitlinienprogramm Onkologie (Deutsche Krebsgesellschaft, Deutsche Krebshilfe, AWMF): S3-Leitlinie Prävention von Hautkrebs, Langversion 2.1, 2021, AWMF Registernummer: 032/052OL. Available online: https://www.leitlinienprogramm-onkologie.de/leitlinien/hautkrebs-praevention/ (accessed on 30 November 2022).
- Glazer, A.M.; Rigel, D.S.; Winkelmann, R.R.; Farberg, A.S. Clinical diagnosis of skin cancer: Enhancing inspection and early recognition. Dermatol. Clin. 2017, 35, 409–416. [Google Scholar] [CrossRef]
- Katalinic, A.; Waldmann, A.; Weinstock, M.A.; Geller, A.C.; Eisemann, N.; Greinert, R.; Volkmer, B.; Breitbart, E. Does skin cancer screening save lives: An observational study comparing trends in melanoma mortality in regions with and without screening. Cancer 2012, 118, 5395–5402. [Google Scholar] [CrossRef]
- Boone, M.A.; Norrenberg, S.; Jemec, G.B.; del Marmol, V. Imaging of basal cell carcinoma by high-definition optical coherence tomography: Histomorphological correlation. A pilot study. Br. J. Dermatol. 2012, 167, 856–864. [Google Scholar] [CrossRef]
- Themstrup, L.; Ciardo, S.; Manfredi, M.; Ulrich, M.; Pellacani, G.; Welzel, J.; Jemec, G. In vivo, micro-morphological vascular changes induced by topical brimonidine studied by Dynamic optical coherence tomography. J. Eur. Acad. Dermatol. Venereol. 2016, 30, 974–979. [Google Scholar] [CrossRef] [PubMed]
- Ulrich, M.; Themstrup, L.; de Carvalho, N.; Manfredi, M.; Grana, C.; Ciardo, S.; Kästle, R.; Holmes, J.; Whitehead, R.; Jemec, G.B.; et al. Dynamic Optical Coherence Tomography in Dermatology. Dermatology 2016, 232, 298–311. [Google Scholar] [CrossRef] [PubMed]
- Themstrup, L.; Banzhaf, C.; Mogensen, M.; Jemec, G. Optical coherence tomography imaging of non-melanoma skin cancer undergoing photodynamic therapy reveals subclinical residual lesions. Photodiagnosis Photodyn. Ther. 2014, 11, 7–12. [Google Scholar] [CrossRef] [PubMed]
- Markowitz, O.; Schwartz, M.; Feldman, E.; Bienenfeld, A.; Bieber, A.K.; Ellis, J.; Alapati, U.; Lebwohl, M.; Siegel, D.M. Evalu-ation of optical coherence tomography as a means of identifying earlier stage basal cell carcinomas while reducing the use of diagnostic biopsy. J. Clin. Aesthet. Dermatol. 2015, 8, 14–20. [Google Scholar]
- Schuh, S.; Berger, M.; Brunnmeier, G.; Welzel, J. Dynamische OCT—Was verraten uns die Gefäße? Aktuelle Derm. 2020, 46, 158–170. [Google Scholar] [CrossRef]
- von Braunmuhl, T.; Welzel, J. Noninvasive diagnostic imaging in dermatology. Hautarzt 2015, 66, 492. [Google Scholar]
- Alawi, S.A.; Kuck, M.; Wahrlich, C.; Batz, S.; McKenzie, G.; Fluhr, J.W.; Lademann, J.; Ulrich, M. Optical coherence tomog-raphy for presurgical margin assessment of non-melanoma skin cancer—A practical approach. Exp. Dermatol. 2013, 22, 547–551. [Google Scholar] [CrossRef]
- De Carvalho, N.; Schuh, S.; Kindermann, N.; Kästle, R.; Holmes, J.; Welzel, J. Optical coherence tomography for margin defintion of basal cell carcinoma before micrographic surgery—Recommendations regarding the marking and scanning technique. Skin Res. Technol. 2017, 24, 145–151. [Google Scholar] [CrossRef]
- Wang, K.X.; Meekings, A.; Fluhr, J.W.; McKenzie, G.; Lee, D.A.; Fisher, J.; Markowitz, O.; Siegel, D.M. Optical Coherence Tomography–Based Optimization of Mohs Micrographic Surgery of Basal Cell Carcinoma: A Pilot Study. Dermatol. Surg. 2013, 39, 627–633. [Google Scholar] [CrossRef]
- Li, L.; Mac-Mary, S.; Sainthillier, J.-M.; Nouveau, S.; de Lacharriere, O.; Humbert, P. Age-Related Changes of the Cutaneous Microcirculation in vivo. Gerontology 2006, 52, 142–153. [Google Scholar] [CrossRef]
- Bentov, I.; Reed, M.J. The effect of aging on the cutaneous microvasculature. Microvasc. Res. 2015, 100, 25–31. [Google Scholar] [CrossRef] [PubMed]
- Chung, J.H.; Eun, H.C. Angiogenesis in skin aging and photoaging. J. Dermatol. 2007, 34, 593–600. [Google Scholar] [CrossRef]
- Leveque, J.L.; Corcuff, P.; de Rigal, J.; Agache, P. In Vivo Studies of the Evolution of Physical Properties of the Human Skin with Age. Int. J. Dermatol. 1984, 23, 322–329. [Google Scholar] [CrossRef] [PubMed]
- Waller, J.M.; Maibach, H.I. Age and skin structure and function, a quantitative approach (I): Blood flow, pH, thickness, and ultrasound echogenicity. Ski. Res. Technol. 2005, 11, 221–235. [Google Scholar] [CrossRef] [PubMed]
- Waller, J.M.; Maibach, H.I. Age and skin structure and function, a quantitative approach (II): Protein, glycosaminoglycan, water, and lipid content and structure. Ski. Res. Technol. 2006, 12, 145–154. [Google Scholar] [CrossRef]
- A Pasyk, K.; Thomas, S.V.; A Hassett, C.; Cherry, G.W.; Faller, R. Regional differences in capillary density of the normal human dermis. Plast. Reconstr. Surg. 1989, 83, 935–945. [Google Scholar] [CrossRef]
- Mehta, H.H.; Nikam, V.V.; Jaiswal, C.R.; Mehta, H.B. A cross-sectional study of variations in the biophysical parameters of skin among healthy volunteers. Indian J. Dermatol. Venereol. Leprol. 2018, 84, 521. [Google Scholar] [CrossRef]
- Akdeniz, M.; Tomova-Simitchieva, T.; Dobos, G.; Blume-Peytavi, U.; Kottner, J. Does dietary fluid intake affect skin hydration in healthy humans? A systematic literature review. Ski. Res. Technol. 2018, 24, 459–465. [Google Scholar] [CrossRef]
- Hodges, G.J.; Sharp, L.; Clements, R.E.; Goldspink, D.F.; George, K.P.; Cable, N.T. Influence of age, sex, and aerobic capacity on forearm and skin blood flow and vascular conductance. Eur. J. Appl. Physiol. 2010, 109, 1009–1015. [Google Scholar] [CrossRef]
- Tsuchida, Y. The effect of aging and arteriosclerosis on human skin blood flow. J. Dermatol. Sci. 1993, 5, 175–181. [Google Scholar] [CrossRef]
- Welzel, J. Optical coherence tomography in dermatology: A review. Ski. Res. Technol. 2001, 7, 1–9. [Google Scholar] [CrossRef] [PubMed]
- Mogensen, M.; Morsy, H.A.; Thrane, L.; Jemec, G.B. Morphology and Epidermal Thickness of Normal Skin Imaged by Optical Coherence Tomography. Dermatology 2008, 217, 14–20. [Google Scholar] [CrossRef] [PubMed]
- Holmes, J.; Von Braunmühl, T.; Berking, C.; Sattler, E.; Ulrich, M.; Reinhold, U.; Kurzen, H.; Dirschka, T.; Kellner, C.; Schuh, S.; et al. Optical coherence tomography of basal cell carcinoma: Influence of location, subtype, observer variability and image quality on diagnostic performance. Br. J. Dermatol. 2018, 178, 1102–1110. [Google Scholar] [CrossRef] [PubMed]
- Kellner, C.; Reinhold, U. Modern diagnostic procedures in dermatological oncology. Pathology 2015, 36, 11–15. [Google Scholar] [CrossRef]







| Binary Logistic Regression: 300 µm | Binary Logistic Regression: 500 µm | ||||||||
|---|---|---|---|---|---|---|---|---|---|
| Significance | 95% confidence interval | Significance | 95% confidence interval | ||||||
| Lower | Upper | Lower | Upper | ||||||
| 1_blob300(1) | 0.035 | 0.054 | 0.902 | 1_blob500(1) | <0.001 | 0.004 | 0.036 | ||
| 1_coil300(1) | 0.760 | 0.355 | 4.129 | 1_coil500(1) | 0.058 | 0.044 | 1.052 | ||
| 1_line300(1) | 0.003 | 3.186 | 262.411 | 1_line500(1) | <0.001 | 6.877 | 367.370 | ||
| 1_serpiginous300(1) | 0.031 | 0.106 | 0.900 | 1_serpiginous500(1) | 0.021 | 0.076 | 0.808 | ||
| 1_density300(1) | 0.141 | 1_density500(1) | 0.172 | ||||||
| 1_density300(2) | 0.066 | 0.029 | 1.121 | 1_density500(2) | 0.549 | 0.139 | 41.258 | ||
| 1_density300(3) | 0.290 | 0.042 | 2.570 | 1_density500(3) | 0.915 | 0.048 | 15.243 | ||
| 1_diameter300(1) | 1.000 | 1_diameter500(1) | <0.001 | ||||||
| 1_diameter300(2) | 0.995 | 0.000 | . | 1_diameter500(2) | 0.009 | 0.004 | 0.459 | ||
| 1_diameter300(3) | 0996 | 0.000 | . | 1_diameter500(3) | <0.001 | 0.000 | 0.018 | ||
| Constant | 0.995 | Constant | 0.004 | ||||||
| Classification Table a | Classification Table a | ||||||||
| Predicted | Predicted | ||||||||
| Study | Percentage Correct | Study | Percentage Correct | ||||||
| Observed | Melanoma | Nevus | Observed | Melanoma | Nevus | ||||
| Study | Melanoma | 152 | 5 | 96.8 | Study | Melanoma | 150 | 7 | 95.5 |
| Nevus | 17 | 127 | 88.2 | Nevus | 13 | 131 | 91.0 | ||
| Overall Percentage | 92.7 | Overall Percentage | 92.7 | ||||||
Disclaimer/Publisher’s Note: The statements, opinions and data contained in all publications are solely those of the individual author(s) and contributor(s) and not of MDPI and/or the editor(s). MDPI and/or the editor(s) disclaim responsibility for any injury to people or property resulting from any ideas, methods, instructions or products referred to in the content. |
© 2022 by the authors. Licensee MDPI, Basel, Switzerland. This article is an open access article distributed under the terms and conditions of the Creative Commons Attribution (CC BY) license (https://creativecommons.org/licenses/by/4.0/).
Share and Cite
Perwein, M.K.E.; Welzel, J.; De Carvalho, N.; Pellacani, G.; Schuh, S. Dynamic Optical Coherence Tomography: A Non-Invasive Imaging Tool for the Distinction of Nevi and Melanomas. Cancers 2023, 15, 20. https://doi.org/10.3390/cancers15010020
Perwein MKE, Welzel J, De Carvalho N, Pellacani G, Schuh S. Dynamic Optical Coherence Tomography: A Non-Invasive Imaging Tool for the Distinction of Nevi and Melanomas. Cancers. 2023; 15(1):20. https://doi.org/10.3390/cancers15010020
Chicago/Turabian StylePerwein, Maria Katharina Elisabeth, Julia Welzel, Nathalie De Carvalho, Giovanni Pellacani, and Sandra Schuh. 2023. "Dynamic Optical Coherence Tomography: A Non-Invasive Imaging Tool for the Distinction of Nevi and Melanomas" Cancers 15, no. 1: 20. https://doi.org/10.3390/cancers15010020
APA StylePerwein, M. K. E., Welzel, J., De Carvalho, N., Pellacani, G., & Schuh, S. (2023). Dynamic Optical Coherence Tomography: A Non-Invasive Imaging Tool for the Distinction of Nevi and Melanomas. Cancers, 15(1), 20. https://doi.org/10.3390/cancers15010020

