Surgical Implications of Advanced Low-Grade Serous Ovarian Cancer: Analysis of the Database of the Tumeurs Malignes Rares Gynécologiques Network
Abstract
:Simple Summary
Abstract
1. Introduction
2. Material and Methods
2.1. Population
2.2. Statistical Analysis
2.3. Ethical Approval
3. Results
3.1. Primary Objective: Comparison of Surgical Characteristics between Primary and Interval Debulking Surgery
3.2. Secondary Objective: Comparison of Survival
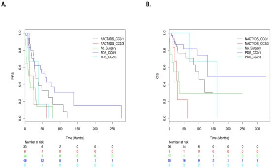
- (1)
- Patients with complete macroscopic resection and patients with minimal residual disease (CC1) had similar survival rates (HR = 0.81, IC95% (0.33–1.97)).
- (2)
- PFS was similar after PDS or NACT-IDS in patients with CC0/CC1 resection (HR = 1.64, IC95% (0.88–3.04); p = 0.12).
- (3)
- Patients with macroscopic residual disease (CC2 and more) had the worst prognosis (HR = 2.31, IC95% (1.3–4.58); p = 0.005). These patients had a similar outcome to that of nonoperated patients (compared to CC0 patients as reference: HR = 3.68, IC95% (1.44–9.39); p = 0.006 and HR = 3.96, IC95% (1.93–8.14); p = 0.0002, for CC2 and more or nonoperated patients, respectively) (Figure 2).
- (1)
- Patients who achieved CC0/CC1 resection had a similar OS after PDS or IDS (HR = 1.92, IC95% (0.78–4.71); p = 0.15).
- (2)
- In the PDS group, the residual disease after surgery had no significant impact on OS (CC2/CC3 versus CC0/CC1 as reference: HR = 1.19, IC95% (0.23–6.08); p = 0.8).
- (3)
- After NACT-IDS, CC2/CC3 patients had a significantly worse prognosis compared to CC0/CC1 patients (HR = 4.98, IC95% (1.59–15.61); p = 0.006).
- (4)
- Survival of NACT-IDS CC2 or more patients was not significantly different from those without any surgery (compared to CC0 patients as reference: HR = 7.65, IC95% (2.42–24.15); p = 0.0005 and HR = 5.51, IC95% (2.02–15.01); p = 0.0008, for CC2 and more or not operated patients respectively) (Figure 2).
4. Discussion
5. Conclusions
Author Contributions
Funding
Institutional Review Board Statement
Informed Consent Statement
Acknowledgments
Conflicts of Interest
Abbreviations
| CCR | Completeness of Cancer Resection |
| HGSOC | high-grade serous ovarian carcinoma |
| IDS | interval debulking surgery |
| LGSOC | low-grade serous ovarian carcinoma |
| NACT | neoadjuvant chemotherapy |
| OS | overall survival |
| PDS | primary debulking surgery |
| PFS | progression-free survival |
References
- Malpica, A.; Deavers, M.T.; Lu, K.; Bodurka, D.C.; Atkinson, E.N.; Gershenson, D.M.; Silva, E.G. Grading ovarian serous carcinoma using a two-tier system. Am. J. Surg. Pathol. 2004, 28, 496–504. [Google Scholar] [CrossRef] [PubMed]
- Kurman, R.J.; Shih, I.-M. The origin and pathogenesis of epithelial ovarian cancer: A proposed unifying theory. Am. J. Surg. Pathol. 2010, 34, 433–443. [Google Scholar] [CrossRef] [PubMed] [Green Version]
- Plaxe, S.C. Epidemiology of low-grade serous ovarian cancer. Am. J. Obstet. Gynecol. 2008, 198, 459.e1–459.e9. [Google Scholar] [CrossRef] [PubMed]
- Grisham, R.N.; Iyer, G.; Garg, K.; Delair, D.; Hyman, D.M.; Zhou, Q.; Iasonos, A.; Berger, M.F.; Dao, F.; Spriggs, D.R.; et al. BRAF mutation is associated with early stage disease and improved outcome in patients with low-grade serous ovarian cancer. Cancer 2013, 119, 548–554. [Google Scholar] [CrossRef] [PubMed]
- Della Pepa, C.; Tonini, G.; Santini, D.; Losito, S.; Pisano, C.; Di Napoli, M.; Cecere, S.C.; Gargiulo, P.; Pignata, S. Low Grade Serous Ovarian Carcinoma: From the molecular characterization to the best therapeutic strategy. Cancer Treat. Rev. 2015, 41, 136–143. [Google Scholar] [CrossRef]
- Fader, A.N.; Java, J.; Ueda, S.; Bristow, R.E.; Armstrong, D.K.; Bookman, M.A.; Gershenson, D.M. Survival in women with grade 1 serous ovarian carcinoma. Obstet. Gynecol. 2013, 122, 225–232. [Google Scholar] [CrossRef] [Green Version]
- Chang, S.-J.; Hodeib, M.; Chang, J.; Bristow, R.E. Survival impact of complete cytoreduction to no gross residual disease for advanced-stage ovarian cancer: A meta-analysis. Gynecol. Oncol. 2013, 130, 493–498. [Google Scholar] [CrossRef]
- Du Bois, A.; Reuss, A.; Pujade-Lauraine, E.; Harter, P.; Ray-Coquard, I.; Pfisterer, J. Role of surgical outcome as prognostic factor in advanced epithelial ovarian cancer: A combined exploratory analysis of 3 prospectively randomized phase 3 multicenter trials: By the Arbeitsgemeinschaft Gynaekologische Onkologie Studiengruppe Ovarialkarzinom (AGO-OVAR) and the Groupe d’Investigateurs Nationaux Pour les Etudes des Cancers de l’Ovaire (GINECO). Cancer 2009, 115, 1234–1244. [Google Scholar]
- Wright, A.A.; Bohlke, K.; Armstrong, D.K.; Bookman, M.A.; Cliby, W.A.; Coleman, R.L.; Dizon, D.S.; Kash, J.J.; Meyer, L.A.; Moore, K.N.; et al. Neoadjuvant Chemotherapy for Newly Diagnosed, Advanced Ovarian Cancer: Society of Gynecologic Oncology and American Society of Clinical Oncology Clinical Practice Guideline. J. Clin. Oncol. 2016, 34, 3460–3473. [Google Scholar] [CrossRef]
- Schmeler, K.M.; Sun, C.C.; Bodurka, D.C.; Deavers, M.T.; Malpica, A.; Coleman, R.L.; Ramirez, P.T.; Gershenson, D.M. Neoadjuvant chemotherapy for low-grade serous carcinoma of the ovary or peritoneum. Gynecol. Oncol. 2008, 108, 510–514. [Google Scholar] [CrossRef]
- Grabowski, J.P.; Harter, P.; Heitz, F.; Pujade-Lauraine, E.; Reuss, A.; Kristensen, G.; Ray-Coquard, I.; Heitz, J.; Traut, A.; Pfisterer, J.; et al. Operability and chemotherapy responsiveness in advanced low-grade serous ovarian cancer. An analysis of the AGO Study Group metadatabase. Gynecol. Oncol. 2016, 140, 457–462. [Google Scholar] [CrossRef] [PubMed]
- Chiannilkulchai, N.; Pautier, P.; Genestie, C.; Bats, A.S.; Vacher-Lavenu, M.C.; Devouassoux-Shisheboran, M.; Treilleux, I.; Floquet, A.; Croce, S.; Ferron, G.; et al. Networking for ovarian rare tumors: A significant breakthrough improving disease management. Ann. Oncol. 2017, 28, 1274–1279. [Google Scholar] [CrossRef] [PubMed]
- Sugarbaker, P.H. Peritonectomy procedures. Ann. Surg. 1995, 221, 29–42. [Google Scholar] [CrossRef] [PubMed]
- Pomel, C.; Dauplat, J. Management of malignant epithelial tumors of the ovary. J. Chir. 2004, 141, 277–284. [Google Scholar] [CrossRef]
- Aletti, G.D.; Dowdy, S.C.; Podratz, K.C.; Cliby, W.A. Relationship among surgical complexity, short-term morbidity, and overall survival in primary surgery for advanced ovarian cancer. Am. J. Obstet. Gynecol. 2007, 197, 676.e1–676.e7. [Google Scholar] [CrossRef] [PubMed]
- Colevas, A.D.; Setser, A. The NCI Common Terminology Criteria for Adverse Events (CTCAE) v 3.0 is the new standard for oncology clinical trials. J. Clin. Oncol. 2004, 22, 6098. [Google Scholar] [CrossRef]
- Zapardiel, I.; Morrow, C.P. New terminology for cytoreduction in advanced ovarian cancer. Lancet Oncol. 2011, 12, 214. [Google Scholar] [CrossRef]
- Gershenson, D.M.; Bodurka, D.C.; Lu, K.H.; Nathan, L.C.; Milojevic, L.; Wong, K.K.; Malpica, A.; Sun, C.C. Impact of Age and Primary Disease Site on Outcome in Women With Low-Grade Serous Carcinoma of the Ovary or Peritoneum: Results of a Large Single-Institution Registry of a Rare Tumor. J. Clin. Oncol. Off. J. Am. Soc. Clin. Oncol. 2015, 33, 2675–2682. [Google Scholar] [CrossRef] [Green Version]
- Romero, I.; Sun, C.C.; Wong, K.K.; Bast, R.C.J.; Gershenson, D.M. Low-grade serous carcinoma: New concepts and emerging therapies. Gynecol. Oncol. 2013, 130, 660–666. [Google Scholar] [CrossRef]
- Gershenson, D.M.; Bodurka, D.C.; Coleman, R.L.; Lu, K.H.; Malpica, A.; Sun, C.C. Hormonal Maintenance Therapy for Women With Low-Grade Serous Cancer of the Ovary or Peritoneum. J. Clin. Oncol. 2017, 35, 1103–1111. [Google Scholar] [CrossRef]
- Gershenson, D.M.; Sun, C.C.; Lu, K.H.; Coleman, R.L.; Sood, A.K.; Malpica, A.; Deavers, M.T.; Silva, E.G.; Bodurka, D.C. Clinical behavior of stage II-IV low-grade serous carcinoma of the ovary. Obstet. Gynecol. 2006, 108, 361–368. [Google Scholar] [CrossRef] [PubMed]
- Rafii, A.; Stoeckle, E.; Jean-Laurent, M.; Ferron, G.; Morice, P.; Houvenaeghel, G.; Lecuru, F.; Leblanc, E.; Querleu, D. Multi-center evaluation of post-operative morbidity and mortality after optimal cytoreductive surgery for advanced ovarian cancer. PLoS ONE 2012, 7, e39415. [Google Scholar] [CrossRef] [PubMed]
- Dessapt, A.-L.; Huchon, C.; Ngo, C.; Bats, A.-S.; Bensaid, C.; Lecuru, F. Is complete cytoreductive surgery feasible in this patient with ovarian cancer? Surg. Oncol. 2016, 25, 326–331. [Google Scholar] [CrossRef] [PubMed]
- Fagotti, A.; Scambia, G. Neoadjuvant chemotherapy versus upfront debulking surgery in advanced tubo-ovarian cancer. Lancet Oncol. 2018, 19, 1558–1560. [Google Scholar] [CrossRef]
- Johnson, R.L.; Laios, A.; Jackson, D.; Nugent, D.; Orsi, N.M.; Theophilou, D.; Thangavelu, A.; de Jong, D. The Uncertain Benefit of adjuvant Chemotherapy in Advanced Low-Grade Serous Ovarian Cancer and the Pivotal Role of Surgical Cytoreduction. J. Clin. Med. 2021, 10, 5927. [Google Scholar] [CrossRef] [PubMed]


| PDS n (%) or Median (IQ Range) | NACT-IDS n (%) or Median (IQ Range) | Total n (%) or Median (IQ Range) | p (Chi2, Yates, Fisher or Student) | |
|---|---|---|---|---|
| Age | 54 (37–62) | 55 (42–69) | 54 (38–68) | 0.4 |
| Body mass index | 23 (19–27) | 24 (22–28.5) | 24 (21–28) | 0.4 |
| Postmenopausal | 35 (59.3) | 22 (55.0) | 71 (55.9) | 0.98 |
| Initial CA125 (UI.L-1) | 122.5 (29.75–433.5) | 355.5 (156.2–997.2) | 273.5 (103.8–594.8) | 0.05 |
| FIGO stage | ||||
| IIIA | 2 (3.1) | 0 | 2 (1.6) | |
| IIIB-IV | 63 (96.9) | 61 (100) | 124 (98.4) | 0.5 |
| PCI | 6 (3–24) | 14 (2–33) | 8 (3–33) | 0.03 |
| Digestive involvement | ||||
| no | 39 (66.1) | 17 (41.5) | 56 (56.0) | |
| yes | 20 (33.9) | 24 (58.5) | 44 (44.0) | 0.0146 |
| Diaphragmatic involvement | ||||
| no | 41 (69.5) | 13 (32.5) | 54 (54.5) | |
| yes | 18 (30.5) | 27 (67.5) | 45 (45.5) | 0.003 |
| Liver capsule involvement | ||||
| no | 57 (96.6) | 32 (82.1) | 89 (90.8) | |
| yes | 2 (3.4) | 7 (17.9) | 9 (9.2) | 0.037 |
| Splenic involvement | ||||
| no | 71 (91.0) | 32 (84.2) | 103 (88.8) | |
| yes | 7 (9.0) | 6 (15.8) | 13 (11.2) | 0.5796 |
| Upper abdomen peritoneum involvement | ||||
| no | 39 (65.0) | 10 (25.0) | 49 (49.0) | |
| yes | 21 (35.0) | 30 (75.0) | 51 (51.0) | 0.0001 |
| PDS n (%) | NACT-IDS n (%) | Total n (%) | p (Chi2, Yates or Fisher) | |
|---|---|---|---|---|
| Pomel and Dauplat Classification | ||||
| Standard surgery | 24 (35.8) | 12 (27.2) | 36 (32.4) | |
| Radical surgery | 18 (26.9) | 5 (11.4) | 23 (20.7) | 0.03 |
| Ultra-radical surgery | 25 (37.3) | 27 (61.4) | 52 (46.8) | |
| Aletti score | ||||
| Low complexity | 8 (12.9) | 4 (8.9) | 12 (10.8) | |
| Intermediate complexity | 37 (59.7) | 16 (35.6) | 57 (51.4) | 0.001 |
| High complexity | 17 (27.4) | 25 (55.6) | 17 (37.8) | |
| Digestive resection | ||||
| no | 40 (65.6) | 19 (45.2) | 59 (57.3) | |
| yes | 21 (34.4) | 23 (54.8) | 44 (42.7) | 0.04 |
| Posterior pelvectomy | ||||
| no | 42 (68.9) | 21 (51.2) | 63 (61.8) | |
| yes | 19 (31.1) | 20 (48.8) | 39 (38.2) | 0.07 |
| Diaphragmatic stripping | ||||
| no | 38 (63.3) | 18 (41.9) | 56 (54.4) | |
| yes | 22 (36.7) | 25 (58.1) | 47 (45.6) | 0.03 |
| Pelvic or para-aortic lymphadenectomy | ||||
| no | 13 (21.7) | 10 (23.8) | 23 (22.5) | |
| yes | 47 (78.3) | 32 (76.2) | 79 (77.5) | 0.98 |
| Completeness of Cancer Resection (CCR) | ||||
| CC0 | 52 (85.2) | 32 (76.2) | 84 (81.6) | |
| CC1 | 3 (4.9) | 4 (9.5) | 7 (6.8) | 0.59 |
| CC2 | 4 (6.6) | 5 (11.9) | 9 (8.7) | |
| CC3 | 2 (3.3) | 1 (2.4) | 3 (2.9) | |
| CC0/CC1 | 55 (90.2) | 36 (85.7) | 91 (88.3) | |
| CC2/CC3 | 6 (9.8) | 6 (14.3) | 12 (11.7) | 0.54 |
| PDS n (%) | NACT-IDS n (%) | Total n (%) | p (Chi2, Yates or Fisher) | |
|---|---|---|---|---|
| COMPLICATIONS | ||||
| PER-OPERATIVE | ||||
| no | 50 (70.4) | 22 (55.0) | 72 (64.9) | |
| yes | 21 (29.6) | 18 (45.0) | 39 (35.1) | 0.1 |
| Severity | ||||
| CTCAE 1–2 | 18 (100) | 12 (92.3) | 30 (96.8) | |
| CTCAE 3–4 | 0 | 1 (7.7) | 1 (3.2) | 0.4 |
| Transfusion | ||||
| no | 39 (84.8) | 21 (61.8) | 60 (75.0) | |
| yes | 7 (15.2) | 13 (38.2) | 20 (25.0) | 0.018 |
| EARLY POST-OPERATIVE | ||||
| no | 30 (65.2) | 24 (61.5) | 54 (63.5) | |
| yes | 16 (34.8) | 15 (38.5) | 31 (36.5) | 0.73 |
| Severity | ||||
| CTCAE 1–2 | 6 (37.5) | 5 (33.3) | 11 (34.4) | |
| CTCAE 3–4 | 10 (18.8) | 10 (66.7) | 21 (65.6) | 0.64 |
| LATE POST-OPERATIVE | ||||
| no | 39 (73.6) | 20 (51.3) | 59 (64.1) | |
| yes | 14 (26.4) | 19 (48.7) | 36 (35.9) | 0.03 |
| Severity | ||||
| CTCAE 1–2 | 6 (42.8) | 7 (41.2) | 13 (40.6) | |
| CTCAE 3–4 | 8 (57.1) | 10 (58.8) | 19 (59.3) | 1 |
| PDS n (%) | NACT-IDS n (%) | Total n (%) | p (Chi2, Yates or Fisher) | |
|---|---|---|---|---|
| Adjuvant chemotherapy | 37 (84.1) | 65 (83.3) | 102 (83.6) | 0.9 |
| Adjuvant bevacizumab | 11 (18.0) | 15 (34.1) | 26 (24.8) | 0.01 |
| Adjuvant hormonal therapy | 6 (9.8) | 2 (4.5) | 8 (7.6) | 0.8 |
| Recurrence or progression | ||||
| no | 27 (50.0) | 11 (28.2) | 38 (40.9) | |
| Recurrence | 20 (37.0) | 15 (38.5) | 35 (37.6) | 0.03 |
| Progression | 7 (13.0) | 13 (33.3) | 20 (21.5) | |
| total | 54 | 39 | 93 | |
| Death | ||||
| no | 52 (83.9) | 26 (60.5) | 78 (74.3) | |
| yes | 10 (16.1) | 17 (39.5) | 27 (25.7) | 0.007 |
| total | 62 | 43 | 105 |
| Variables | HR (IC 95%) | p | |
|---|---|---|---|
| Age | <45 y | 1 | |
| >45 y | 1.36 (0.82–2.26) | 0.23 | |
| NACT-IDS | no | 1 | |
| yes | 1.66 (1.03–2.69) | 0.04 | |
| Surgery | no | 1 | |
| yes | 0.64 (0.37–1.11) | 0.11 | |
| Peritoneal cytology | negative | 1 | |
| positive | 1.15 (0.59–2.23) | 0.68 | |
| Completeness of Cancer Resection (CCR) | CC0 | 1 | |
| CC1 | 0.81 (0.33–1.97) | ||
| CC2 | 2.59 (1.28–5.25) | 0.032 | |
| CC3 | 1.88 (0.58–6.14) | ||
| CC0-CC1 | 1 | ||
| CC2-CC3 | 2.44 (1.3–4.58) | 0.004 | |
| Lymphadenectomy | no paraaortic dissection | 1 | |
| paraortic dissection | 2.0 (0.94–4.24) | 0.07 | |
| no pelvic dissection | 1 | ||
| pelvic dissection | 1.46 (0.71–3.00) | 0.30 | |
| Intraoperative complications | no | 1 | |
| yes | 1 (0.55–1.82) | 0.99 | |
| Early post-operative complications | no | 1 | |
| yes | 1.33 (0.72–2.45) | 0.36 | |
| Late post-operative complications | no | 1 | |
| yes | 1.11 (0.63–1.95) | 0.72 | |
| Hormonal receptors | ER − | 1 | |
| ER + | 0.39 (0.17–0.89) | 0.02 | |
| PR − | 1 | ||
| PR + | 0.8 (0.45–1.42) | 0.45 | |
| Adjuvant treatments | No chemotherapy | 1 | |
| Chemotherapy | 0.78 (0.43–1.45) | 0.44 | |
| No bevacizumab | 1 | ||
| Bevacizumab | 0.97 (0.52–1.84) | 0.94 | |
| No hormonal therapy | 1 | ||
| Hormonal therapy | 1.69 (0.86–3.32) | 0.13 | |
| Variables | HR (IC 95%) | p | |
|---|---|---|---|
| Age | <45 y | 1 | |
| >45 y | 2.32 (1.01–5.32) | 0.042 | |
| INITIAL DISEASE | |||
| NACT | no | 1 | |
| yes | 2.64 (1.37–5.06) | 0.003 | |
| Surgery | no | 1 | |
| yes | 0.4 (0.18–0.9) | 0.027 | |
| Completeness of Cancer Resection (CCR) | CC0 | 1 | |
| CC1 | 1.12 (0.33–3.83) | 0.369 | |
| CC2 | 2.32 (0.89–6.01) | 0.369 | |
| CC3 | 1.23 (0.16–9.31) | 0.369 | |
| CC0-CC1 | 1 | ||
| CC2-CC3 | 2.01 (0.84–4.82) | 0.116 | |
| Lymphadenectomy | No paraaortic dissection | 1 | |
| Paraortic dissection | 0.96 (0.39–2.32) | 0.924 | |
| No pelvic dissection | 1 | ||
| Pelvic dissection | 1.18 (0.46–3.04) | 0.726 | |
| Intraoperative complications | no | 1 | |
| yes | 1.06 (0.47–2.41) | 0.891 | |
| Early post-operative complications | no | 1 | |
| yes | 0.73 (0.29–1.85) | 0.505 | |
| Late post-operative complications | no | 1 | |
| yes | 2.08 (0.91–4.72) | 0.081 | |
| Hormonal receptors | ER − | 1 | |
| ER + | 0.23 (0.08–0.64) | 0.005 | |
| PR − | 1 | ||
| PR + | 0.54 (0.22–1.36) | 0.192 | |
| Adjuvant treatments | No chemotherapy | 1 | |
| Chemotherapy | 0.77 (0.31–1.89) | 0.564 | |
| No bevacizumab | 1 | ||
| Bevacizumab | 0.32 (0.08–1.35) | 0.103 | |
| No hormonal therapy | 1 | ||
| Hormonal therapy | 2.81 (1.15–6.88) | 0.024 | |
| Recurrence | no | 1 | |
| yes | 4.98 (2.6–9.53) | <10–3 | |
| RECURRENT DISEASE | |||
| NACT-IDS | no | 1 | |
| yes | 1.67 (0.6–4.59) | 0.324 | |
| Surgery | no | 1 | |
| yes | 0.45 (0.07–3.02) | 0.406 | |
| Completeness of Cancer Resection (CCR) | CC0 | 1 | |
| CC1 | 11.3 (0.97–131.85) | 0.103 | |
| CC2 | 11.73 (0.61–227.34) | 0.103 | |
| CC3 | 1.85 (0.16–22.07) | 0.103 | |
| Intraoperative complications | no | 1 | |
| yes | 0.66 (0.12–3.53) | 0.627 | |
| Early post-operative complications | no | 1 | |
| yes | 0.44 (0.05–4.06) | 0.471 | |
| Late post-operative complications | no | 1 | |
| yes | 8.5 (0.77–94.23) | 0.081 | |
| Adjuvant treatments | No chemotherapy | 1 | |
| Chemotherapy | 1.53 (0.42–5.6) | 0.524 | |
| No bevacizumab | 1 | ||
| Bevacizumab | 0.72 (0.28–1.84) | 0.492 | |
| No hormonal therapy | 1 | ||
| Hormonal therapy | 0.56 (0.25–1.29) | 0.174 | |
Publisher’s Note: MDPI stays neutral with regard to jurisdictional claims in published maps and institutional affiliations. |
© 2022 by the authors. Licensee MDPI, Basel, Switzerland. This article is an open access article distributed under the terms and conditions of the Creative Commons Attribution (CC BY) license (https://creativecommons.org/licenses/by/4.0/).
Share and Cite
Bonsang-Kitzis, H.; Panchbhaya, N.; Bats, A.-S.; Pujade-Lauraine, E.; Pautier, P.; Ngô, C.; Le Frère-Belda, M.-A.; Kalbacher, E.; Floquet, A.; Berton-Rigaud, D.; et al. Surgical Implications of Advanced Low-Grade Serous Ovarian Cancer: Analysis of the Database of the Tumeurs Malignes Rares Gynécologiques Network. Cancers 2022, 14, 2345. https://doi.org/10.3390/cancers14092345
Bonsang-Kitzis H, Panchbhaya N, Bats A-S, Pujade-Lauraine E, Pautier P, Ngô C, Le Frère-Belda M-A, Kalbacher E, Floquet A, Berton-Rigaud D, et al. Surgical Implications of Advanced Low-Grade Serous Ovarian Cancer: Analysis of the Database of the Tumeurs Malignes Rares Gynécologiques Network. Cancers. 2022; 14(9):2345. https://doi.org/10.3390/cancers14092345
Chicago/Turabian StyleBonsang-Kitzis, Hélène, Nabilah Panchbhaya, Anne-Sophie Bats, Eric Pujade-Lauraine, Patricia Pautier, Charlotte Ngô, Marie-Aude Le Frère-Belda, Elsa Kalbacher, Anne Floquet, Dominique Berton-Rigaud, and et al. 2022. "Surgical Implications of Advanced Low-Grade Serous Ovarian Cancer: Analysis of the Database of the Tumeurs Malignes Rares Gynécologiques Network" Cancers 14, no. 9: 2345. https://doi.org/10.3390/cancers14092345
APA StyleBonsang-Kitzis, H., Panchbhaya, N., Bats, A.-S., Pujade-Lauraine, E., Pautier, P., Ngô, C., Le Frère-Belda, M.-A., Kalbacher, E., Floquet, A., Berton-Rigaud, D., Lefeuvre-Plesse, C., Fabbro, M., Ray-Coquard, I., & Lécuru, F. (2022). Surgical Implications of Advanced Low-Grade Serous Ovarian Cancer: Analysis of the Database of the Tumeurs Malignes Rares Gynécologiques Network. Cancers, 14(9), 2345. https://doi.org/10.3390/cancers14092345

