PIK3CA Gene Mutations in HNSCC: Systematic Review and Correlations with HPV Status and Patient Survival
Abstract
Simple Summary
Abstract
1. Introduction
2. Results
2.1. Systematic Review
2.2. Portuguese HNSCC Study Population
2.2.1. Clinical and Demographic Characteristics
2.2.2. Prevalence of PIK3CA Mutations
2.2.3. Classification of PIK3CA Gene Mutations: H1047L, E542K, E545K, and E545D
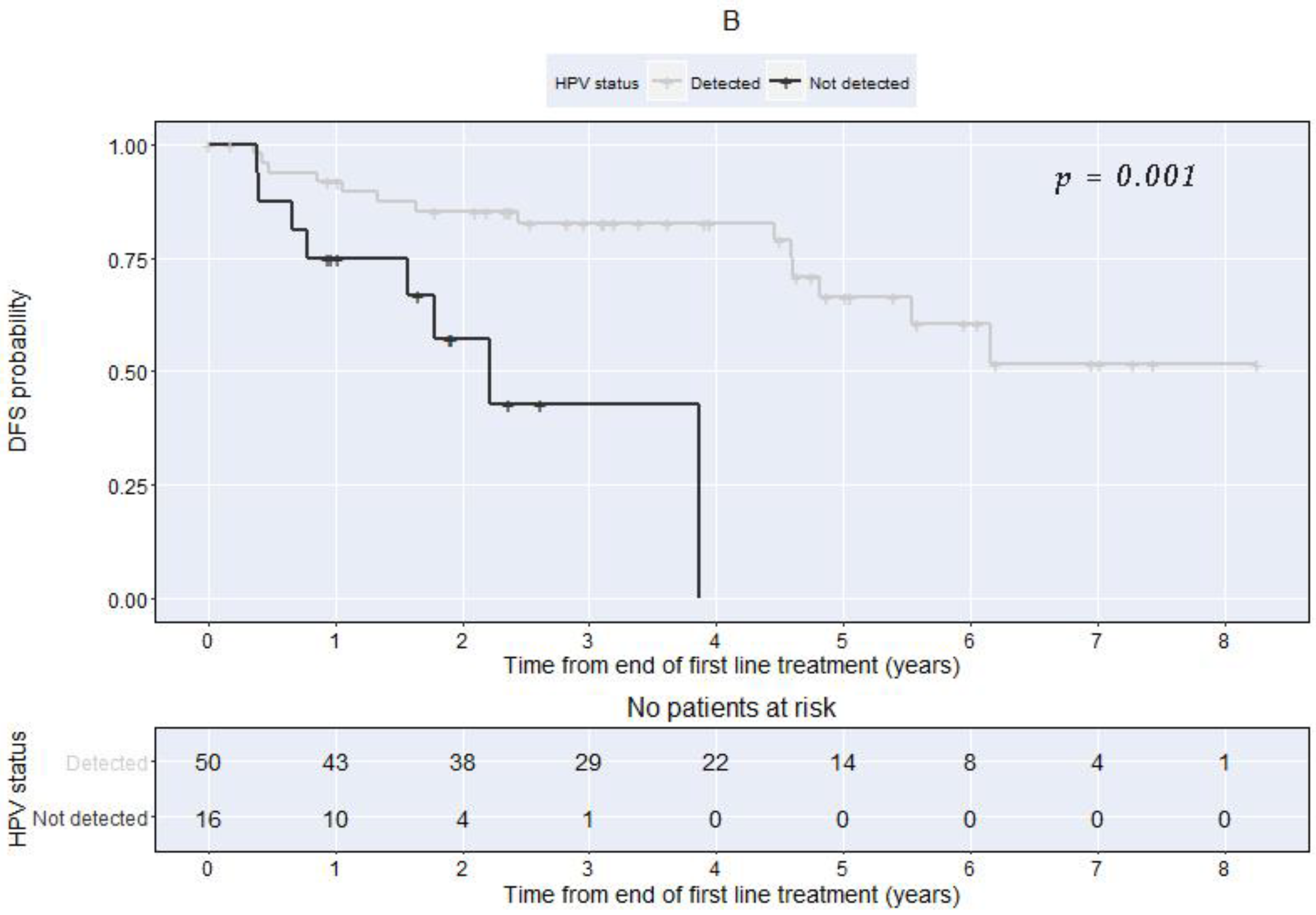
2.2.4. PIK3CA Mutations and Patient Prognosis
Analysis PIK3CA, HPV Status, and p16 Immunohistochemistry
3. Discussion
4. Materials and Methods
4.1. Systematic Review of the Frequency of PIK3CA Mutations in HNSCC
4.2. Population
4.3. Clinical–Pathological Characterisation
4.4. Identification of HPV Infection
4.5. Mutation Analysis
4.6. Statistical Analysis
5. Conclusions
Supplementary Materials
Author Contributions
Funding
Institutional Review Board Statement
Informed Consent Statement
Data Availability Statement
Conflicts of Interest
References
- Ferlay, J.; Soerjomataram, I.; Dikshit, R.; Eser, S.; Mathers, C.; Rebelo, M.; Parkin, D.M.; Forman, D.; Bray, F. Cancer incidence and mortality-Major patterns in GLOBOCAN 2012, worldwide and Georgia. Int. J. Cancer 2015, 136, E359–E386. [Google Scholar] [CrossRef] [PubMed]
- Bray, F.; Ferlay, J.; Soerjomataram, I.; Siegel, R.L.; Torre, L.A.; Jemal, A. Global cancer statistics 2018: GLOBOCAN estimates of incidence and mortality worldwide for 36 cancers in 185 countries. CA Cancer J. Clin. 2018, 68, 394–424. [Google Scholar] [CrossRef] [PubMed]
- El-Mofty, S.K. HPV-related squamous cell carcinoma variants in the head and neck. Head Neck Pathol. 2012, 6, S55–S62. [Google Scholar] [CrossRef] [PubMed]
- Koroulakis, A.; Agarwal, M. Laryngeal Cancer; StatPearls [Internet]; StatPearls Publishing: Treasure Island, FL, USA, 2021. [Google Scholar] [PubMed]
- Patmore, H.S.; Ashman, J.N.E.; Stafford, N.D.; Berrieman, H.K.; MacDonald, A.; Greenman, J.; Cawkwell, L. Genetic analysis of head and neck squamous cell carcinoma using comparative genomic hybridisation identifies specific aberrations associated with laryngeal origin. Cancer Lett. 2007, 258, 55–62. [Google Scholar] [CrossRef] [PubMed]
- Zanoni, D.K.; Patel, S.G.; Shah, J.P. Changes in the 8th Edition of the American Joint Committee on Cancer (AJCC) Staging of Head and Neck Cancer: Rationale and Implications. Curr. Oncol. Rep. 2019, 21, 52. [Google Scholar] [CrossRef] [PubMed]
- Cancer Genome Atlas Network. Comprehensive genomic characterization of head and neck squamous cell carcinomas. Nature 2015, 517, 576–582. [Google Scholar] [CrossRef]
- Gillison, M.L.; Koch, W.M.; Capone, R.B.; Spafford, M.; Westra, W.H.; Wu, L.; Zahurak, M.L.; Daniel, R.W.; Viglione, M.; Symer, D.E.; et al. Evidence for a causal association between human papillomavirus and a subset of head and neck cancers. J. Natl. Cancer Inst. 2000, 92, 709–720. [Google Scholar] [CrossRef]
- Centres for Disease Control and Prevention. Cancers associated with human papillomavirus, United States—2011–2015. Available online: www.cdc.gov/cancer/hpv/pdf/USCS-DataBrief-No4-August2018-508.pdf (accessed on 10 July 2019).
- Ang, K.K.; Harris, J.; Wheeler, R.; Weber, R.; Rosenthal, D.I.; Nguyen-Tân, P.F.; Westra, W.H.; Chung, C.H.; Jordan, R.C.; Lu, C.; et al. Human Papillomavirus and Survival of Patients with Oropharyngeal Cancer. N. Engl. J. Med. 2010, 363, 24–35. [Google Scholar] [CrossRef]
- Gillison, M.L.; Trotti, A.M.; Harris, J.; Eisbruch, A.; Harari, P.M.; Adelstein, D.J.; Jordan, R.C.K.; Zhao, W.; Sturgis, E.M.; Burtness, B.; et al. Radiotherapy plus cetuximab or cisplatin in human papillomavirus-positive oropharyngeal cancer (NRG Oncology RTOG 1016): A randomised, multicentre, non-inferiority trial. Lancet 2019, 393, 40–50. [Google Scholar] [CrossRef]
- Chera, B.S.; Amdur, R.J.; Tepper, J.; Qaqish, B.; Green, R.; Aumer, S.L.; Hayes, N.; Weiss, J.; Grilley-Olson, J.; Zanation, A.; et al. Phase 2 Trial of De-intensified Chemoradiation Therapy for Favorable-Risk Human Papillomavirus-Associated Oropharyngeal Squamous Cell Carcinoma. Int. J. Radiat. Oncol. Biol. Phys. 2015, 93, 976–985. [Google Scholar] [CrossRef] [PubMed]
- Lee, M.J.; Jin, N.; Grandis, J.R.; Johnson, D.E. Alterations and molecular targeting of the GSK-3 regulator, PI3K, in head and neck cancer. BBA Mol. Cell Res. 2020, 1867, 118679. [Google Scholar] [CrossRef] [PubMed]
- Chang, F.; Lee, J.T.; Navolanic, P.M.; Steelman, L.S.; Shelton, J.G.; Blalock, W.L.; Franklin, R.A.; McCubrey, J.A. Involvement of PI3K/Akt pathway in cell cycle progression, apoptosis, and neoplastic transformation: A target for cancer chemotherapy. Leukemia 2003, 17, 590–603. [Google Scholar] [CrossRef]
- Xue, G.; Hemmings, B.A. PKB/akt-dependent regulation of cell motility. J. Natl. Cancer Inst. 2013, 105, 393–404. [Google Scholar] [CrossRef] [PubMed]
- Karar, J.; Maity, A. PI3K/AKT/mTOR pathway in angiogenesis. Front. Mol. Neurosci. 2011, 4, 1–8. [Google Scholar] [CrossRef] [PubMed]
- Van Doorslaer, K.; Burk, R.D. Evolution of human papillomavirus carcinogenicity. Adv. Virus Res. 2010, 77, 41–62. [Google Scholar] [CrossRef]
- Zhang, S.; Wu, X.; Jiang, T.; Lu, Y.; Ma, L.; Liang, M.; Sun, X. The up-regulation of KCC1 gene expression in cervical cancer cells by IGF-II through the ERK1/2MAPK and PI3K/AKT pathways and its significance. Eur. J. Gynaecol. Oncol. 2009, 30, 29–34. [Google Scholar] [PubMed]
- Tang, X.; Zhang, Q.; Nishitani, J.; Brown, J.; Shi, S.; Le, A.D. Overexpression of human papillomavirus type 16 oncoproteins enhances hypoxia-inducible factor 1 alpha protein accumulation and vascular endothelial growth factor expression in human cervical carcinoma cells. Clin. Cancer Res. 2007, 13, 2568–2576. [Google Scholar] [CrossRef]
- Hyland, P.L.; McDade, S.S.; McCloskey, R.; Dickson, G.J.; Arthur, K.; McCance, D.J.; Patel, D. Evidence for alteration of EZH2, BMI1, and KDM6A and epigenetic reprogramming in human papillomavirus type 16 E6/E7-expressing keratinocytes. J. Virol. 2011, 85, 10999–11006. [Google Scholar] [CrossRef]
- Crook, T.; Morgenstern, J.P.; Crawford, L.; Banks, L. Continued expression of HPV-16 E7 protein is required for maintenance of the transformed phenotype of cells co-transformed by HPV-16 plus EJ-ras. EMBO J. 1989, 8, 513–519. [Google Scholar] [CrossRef] [PubMed]
- Veeraraghavalu, K.; Subbaiah, V.K.; Srivastava, S.; Chakrabarti, O.; Syal, R.; Krishna, S. Complementation of human papillomavirus type 16 E6 and E7 by Jagged1-specific Notch1-phosphatidylinositol 3-kinase signalling involves pleiotropic oncogenic functions independent of CBF1;Su(H);Lag-1 activation. J. Virol. 2005, 79, 7889–7898. [Google Scholar] [CrossRef]
- Spangle, J.M.; Munger, K. The HPV16 E6 Oncoprotein Causes Prolonged Receptor Protein Tyrosine Kinase Signaling and Enhances Internalization of Phosphorylated Receptor Species. PLoS Pathog. 2013, 9, e1003237. [Google Scholar] [CrossRef] [PubMed]
- Morgan, E.L.; Macdonald, A. Autocrine STAT3 activation in HPV positive cervical cancer through a virus-driven Rac1-NFκB-IL-6 signalling axis. PLoS Pathog. 2019, 15, e1007835. [Google Scholar] [CrossRef]
- Menges, C.W.; Baglia, L.A.; Lapoint, R.; McCance, D.J. Human papillomavirus type 16 E7 up-regulates AKT activity through the retinoblastoma protein. Cancer Res. 2006, 66, 5555–5559. [Google Scholar] [CrossRef]
- Lui, V.W.Y.; Hedberg, M.L.; Li, H.; Vangara, B.S.; Pendleton, K.; Zeng, Y.; Lu, Y.; Zhang, Q.; Du, Y.; Gilbert, B.R.; et al. Frequent mutation of the PI3K pathway in head and neck cancer defines predictive biomarkers. Cancer Discov. 2013, 3, 761–769. [Google Scholar] [CrossRef]
- Henderson, S.; Chakravarthy, A.; Su, X.; Boshoff, C.; Fenton, T.R. APOBEC-mediated cytosine deamination links PIK3CA helical domain mutations to human papillomavirus-driven tumor development. Cell Rep. 2014, 7, 1833–1834. [Google Scholar] [CrossRef]
- Miao, D.; Margolis, C.A.; Vokes, N.I.; Liu, D.; Taylor-Weiner, A.; Wankowicz, S.M.; Adeegbe, D.; Keliher, D.; Schilling, B.; Tracy, A.; et al. Genomic correlates of response to immune checkpoint blockade in microsatellite-stable solid tumors. Nat. Genet. 2018, 50, 1271–1281. [Google Scholar] [CrossRef]
- Stransky, N.; Egloff, A.M.; Tward, A.D.; Kostic, A.D.; Cibulskis, K.; Sivachenko, A.; Kryukov, G.V.; Lawrence, M.S.; Sougnez, C.; McKenna, A.; et al. The mutational landscape of head and neck squamous cell carcinoma. Science 2011, 333, 1157–1160. [Google Scholar] [CrossRef]
- Sewell, A.; Brown, B.; Biktasova, A.; Mills, G.B.; Lu, Y.; Tyson, D.R.; Issaeva, N.; Yarbrough, W.G. Reverse-phase protein array profiling of oropharyngeal cancer and significance of PIK3CA mutations in HPV-associated head and neck cancer. Clin. Cancer Res. 2014, 20, 2300–2311. [Google Scholar] [CrossRef] [PubMed]
- Beaty, B.T.; Moon, D.H.; Shen, C.J.; Amdur, R.J.; Weiss, J.; Grilley-Olson, J.; Patel, S.; Zanation, A.; Hackman, T.G.; Thorp, B.; et al. PIK3CA Mutation in HPV-Associated OPSCC Patients Receiving Deintensified Chemoradiation. J. Natl. Cancer Inst. 2020, 112, 855–858. [Google Scholar] [CrossRef] [PubMed]
- Mazumdar, T.; Byers, L.A.; Ng, P.K.; Mills, G.B.; Peng, S.; Diao, L.; Fan, Y.H.; Stemke-Hale, K.; Heymach, J.V.; Myers, J.N.; et al. A comprehensive evaluation of biomarkers predictive of response to PI3K inhibitors and of resistance mechanisms in head and neck squamous cell carcinoma. Mol. Cancer Ther. 2014, 13, 2738–2750. [Google Scholar] [CrossRef] [PubMed]
- Holzhauser, S.; Wild, N.; Zupancic, M.; Ursu, R.G.; Bersani, C.; Näsman, A.; Kostopoulou, O.N.; Dalianis, T. Targeted Therapy with PI3K and FGFR Inhibitors on Human Papillomavirus Positive and Negative Tonsillar and Base of Tongue Cancer Lines with and Without Corresponding Mutations. Front. Oncol. 2021, 11, 640490. [Google Scholar] [CrossRef] [PubMed]
- Young, N.R.; Liu, J.; Pierce, C.; Wei, T.F.; Grushko, T.; Olopade, O.I.; Liu, W.; Shen, C.; Seiwert, T.Y.; Cohen, E.E.W. Molecular phenotype predicts sensitivity of squamous cell carcinoma of the head and neck to epidermal growth factor receptor inhibition. Mol. Oncol. 2013, 7, 359–368. [Google Scholar] [CrossRef] [PubMed]
- Michmerhuizen, N.L.; Leonard, E.; Kulkarni, A.; Brenner, J.C. Differential compensation mechanisms define resistance to PI3K inhibitors in PIK3CA amplified HNSCC. Otorhinolaryngol. Head Neck Surg. 2016, 1, 44–50. [Google Scholar] [CrossRef] [PubMed][Green Version]
- Nichols, A.C.; Palma, D.A.; Chow, W.; Tan, S.; Rajakumar, C.; Giananthony Rizzo, G.; Kevin Fung, K.; Keith Kwan, K.; Brett Wehrli, E.W.; Koropatnick, J.; et al. High frequency of activating PIK3CA mutations in human papillomavirus-positive oropharyngeal cancer. JAMA Otolaryngol. Head Neck Surg. 2013, 139, 617–622. [Google Scholar] [CrossRef] [PubMed]
- Samuels, Y.; Wang, Z.; Bardelli, A.; Silliman, N.; Ptak, J.; Szabo, S.; Yan, H.; Gazdar, A.; Powell, S.M.; Riggins, G.J.; et al. High frequency of mutations of the PIK3CA gene in human cancers. Science 2004, 304, 554. [Google Scholar] [CrossRef]
- Miled, N.; Yan, Y.; Hon, W.C.; Perisic, O.; Zvelebil, M.; Inbar, Y.; Schneidman-Duhovny, D.; Wolfson, H.J.; Backer, J.M.; Williams, R.L. Mechanism of two classes of cancer mutations in the phosphoinositide 3-kinase catalytic subunit. Science 2007, 317, 239–242. [Google Scholar] [CrossRef] [PubMed]
- Mandelker, D.; Gabelli, S.B.; Schmidt-Kittler, O.; Zhu, J.; Cheong, I.; Huang, C.H.; Kinzler, K.W.; Vogelstein, B.; Amzel, L.M. A frequent kinase domain mutation that changes the interaction between PI3Kα and the membrane. Proc. Natl. Acad. Sci. USA 2009, 106, 16996–17001. [Google Scholar] [CrossRef] [PubMed]
- LeConte, B.A.; Szaniszlo, P.; Fennewald, S.M.; Lou, D.I.; Qiu, S.; Chen, N.W.; Lee, J.H.; Resto, V.A. Differences in the viral genome between HPV-positive cervical and oropharyngeal cancer. PLoS ONE 2018, 13, e0203403. [Google Scholar] [CrossRef]
- Samuels, Y.; Diaz, L.A., Jr.; Schmidt-Kittler, O.; Cummins, J.M.; Delong, L.; Cheong, I.; Rago, C.; Huso, D.L.; Lengauer, C.; Kinzler, K.W.; et al. Mutant PIK3CA promotes cell growth and invasion of human cancer cells. Cancer Cell 2005, 7, 561–573. [Google Scholar] [CrossRef]
- Ogino, S.; Nosho, K.; Kirkner, G.J.; Shima, K.; Irahara, N.; Kure, S.; Chan, A.T.; Engelman, J.A.; Kraft, P.; Cantley, L.C.; et al. PIK3CA mutation is associated with poor prognosis among patients with curatively resected colon cancer. J. Clin. Oncol. 2009, 27, 1477–1484. [Google Scholar] [CrossRef]
- Kalinsky, K.; Jacks, L.M.; Heguy, A.; Patil, S.; Drobnjak, M.; Bhanot, U.K.; Hedvat, C.V.; Traina, T.A.; Solit, D.; Gerald, W.; et al. PIK3CA mutation associates with improved outcome in breast cancer. Clin. Cancer Res. 2009, 15, 5049–5059. [Google Scholar] [CrossRef] [PubMed]
- Shigaki, H.; Baba, Y.; Watanabe, M.; Murata, A.; Ishimoto, T.; Iwatsuki, M.; Iwagami, S.; Nosho, K.; Baba, H. PIK3CA mutation is associated with a favorable prognosis among patients with curatively resected esophageal squamous cell carcinoma. Clin. Cancer Res. 2013, 19, 2451–2459. [Google Scholar] [CrossRef] [PubMed]
- Zięba, S.; Chechlińska, M.; Kowalik, A.; Kowalewska, M. Genes, pathways and vulvar carcinoma-New insights from next-generation sequencing studies. Gynecol. Oncol. 2020, 158, 498–506. [Google Scholar] [CrossRef] [PubMed]
- Qiu, W.; Tong, G.X.; Manolidis, S.; Close, L.G.; Assaad, A.M.; Su, G.H. Novel Mutant-Enriched Sequencing Identified High Frequency of PIK3CA Mutations in Pharyngeal Cancer. Int. J. Cancer 2008, 122, 1189–1194. [Google Scholar] [CrossRef] [PubMed]
- R Core Team. A Language and Environment for Statistical Computing; R Foundation for Statistical Computing: Vienna, Austria, 2021; Available online: http://www.R-project.org/ (accessed on 19 November 2021).





| Variable Categories | PIK3CA Evaluation | Total Cases n = 95 | p-Value | |
|---|---|---|---|---|
| WT (n = 58) | MUT (n = 37) | |||
| n (%) | n (%) | n (%) | ||
| Gender | ||||
| Male | 45 (77.6%) | 25 (67.6%) | 70 (73.7%) | 0.2795 |
| Female | 13 (22.4%) | 12 (32.4%) | 25 (26.3%) | |
| Age at diagnosis | ||||
| Mean (Standard Deviation) | 62 (10.7) | 62 (12.7) | 62 (11.5) | 0.9740 |
| ≥65 Years | 24 (41.4%) | 12 (32.4%) | 36 (37.9%) | 0.3807 |
| <65 Years | 34 (58.6%) | 25 (67.6%) | 59 (62.1%) | |
| Consumption habits (tobacco and/or alcohol) | ||||
| Active consumption | 44 (75.9%) | 22 (59.5%) | 66 (69.5%) | 0.0325 * |
| Alcohol active | 18 (31.0%) | 10 (27%) | 28 (29.5%) | |
| Tobacco active | 7 (12.1%) | 1 (2.7%) | 8 (8.4%) | |
| Both active | 19 (32.8%) | 11 (29.7%) | 30 (39.6%) | |
| No consumption | 9 (15.5%) | 13 (35.1%) | 22 (23.2%) | |
| Never | 5 (8.6%) | 10 (27%) | 15 (15.8%) | |
| Nonactive | 4 (6.9%) | 3 (8.1%) | 7 (7.4%) | |
| No data | 5 (8.6%) | 2 (5.4%) | 7 (7.4%) | |
| Tumour Anatomic region | ||||
| Oropharynx | 46 (79.3%) | 29 (78.4%) | 75 (78.9%) | 0.9135 |
| Oral cavity | 12 (20.7%) | 8 (21.6%) | 20 (21.1%) | |
| Tumour stage | ||||
| I | 4 (6.9%) | 4 (10.8%) | 8 (8.4%) | 0.9342 |
| II | 11 (19%) | 8 (21.6%) | 19 (20.0%) | |
| III | 16 (27.6%) | 10 (27.0%) | 26 (27.4%) | |
| IV | 25 (43.1%) | 15 (40.5%) | 40 (42.1%) | |
| No data | 2 (3.4%) | 0 | 2 (2.1%) | |
| p16 IHQ | ||||
| HNSCC p16(−) | 29 (50.0%) | 24 (64.9%) | 53 (55.8%) | 0.1627 |
| HNSCC p16(+) | 25 (43.1%) | 11 (29.7%) | 36 (37.9%) | |
| No data | 4 (6.9%) | 2 (5.4%) | 6 (6.3%) | |
| HPV infection | ||||
| HPV16 DNA(−) | 15 (25.9%) | 12 (32.4%) | 27(28.4%) | 0.4887 |
| HPV16 DNA(+) | 43 (74.1%) | 25 (67.6%) | 68 (71.6%) | |
| Single infection | 39 (90.7%) | 23 (92.0%) | 62 (91.2%) | |
| Co infection with other HR/LR HPV | 4 (9.3%) | 2 (8%) | 6 (8.8%) | |
| Primary Treatment | ||||
| Surgery | 1 (1.7%) | 2 (5.4%) | 3 (3.2%) | 0.7376 |
| Radiotherapy (RT) | 10 (17.2%) | 6 (16.2%) | 16 (16.8%) | |
| Chemotherapy (CTX) | 46 (79.3%) | 29 (78.4%) | 75 (78.9%) | |
| CTX + RT | 26 (56.5%) | 12 (41.4%) | 38 (50.7%) | |
| Surgery + RT | 9 (19.6%) | 11 (37.9%) | 20 (26.7%) | |
| Surgery + CTX | 11 (23.9%) | 6 (20.7%) | 17(22.7%) | |
| No data | 1 (1.7%) | 0 | 1 (1.1%) | |
| Treatment response | ||||
| Complete | 38 (65.5%) | 28 (75.7%) | 66 (69.5%) | 0.5190 |
| Persistence | 11 (19.0%) | 6 (16.2%) | 17 (17.9%) | |
| No data | 9 (15.5%) | 3 (8.1%) | 12 (12.6%) | |
| HNSCC | PIK3CA Gene | ||
|---|---|---|---|
| WT n (%) | MUT n (%) | ||
| HPV (+) | p16(+) | 22 (68.8%) | 10 (31.3%) |
| p16(−) | 17 (56.7%) | 13 (43.3%) | |
| HPV (−) | p16(+) | 3 (75%) | 1 (25%) |
| p16(−) | 12 (52.2%) | 11 (47.8%) | |
| HPV Status | PIK3CA Gene MUT | ||||||
|---|---|---|---|---|---|---|---|
| One Substitution | Two Substitutions | ||||||
| E545D % (n) | E545K % (n) | E542K % (n) | H1047R % (n) | E545D|E545K % (n) | E545D|E542K % (n) | E545D|H1047R % (n) | |
| HPV (+) | 76% (19) | 8% (2) | 4% (1) | 4% (1) | 8% (2) | ND | ND |
| HPV (−) | 67% (8) | ND | ND | ND | 8% (1) | 17% (2) | 8% (1) |
| Total | 73% (27) | 5% (2) | 3% (1) | 3% (1) | 8% (3) | 5% (2) | 3% (1) |
| Overall Survival | Disease-Free Survival | |||||||
|---|---|---|---|---|---|---|---|---|
| Median (Years) | 3-Year % (95% CI) | HR (95%CI) | p * | Median, (Years) | 3-Year % (95% CI) | HR (95% CI) | p * | |
| PIK3CA | ||||||||
| MUT | 6.2 | 65 (50–83) | 1 | 0.090 | NR | 77 (63–95) | 1 | 0.198 |
| WT | 4.0 | 54 (41–70) | 1.71 (0.91–3.18) | 4.8 | 72 (58–90) | 1.80 (0.73–4.42) | ||
| HPV status | ||||||||
| Positive | 5.8 | 65 (54–78) | 1 | 0.007 | NR | 83 (72–94) | 1 | 0.001 |
| Not detected | 2.4 | 36 (19–69) | 2.40 (1.15–4.61) | 2.2 | 43 (21–90) | 4.81 (1.74–13.29) | ||
| p16 overexpression | ||||||||
| No | 2.6 | 46 (33–64) | 1 | 0.089 | 4.8 | 59 (44–80) | 1 | 0.029 |
| Yes | 6.9 | 73 (60–90) | 0.58 (0.31–1.10) | NR | 91 (81–100) | 0.34 (0.13–0.94) | ||
| Factor | Coef (SE) | HR (95%CI) | p-Value |
|---|---|---|---|
| PIK3CA | 0.056 | ||
| Mutated | 1 | 1 | |
| Wild-type | 0.766 (0.401) | 2.15 (0.98–4.73) | |
| p16 overexpression | 0.670 | ||
| No | 1 | 1 | |
| Yes | −0.189 (0.439) | 0.83 (0.35–1.96) | |
| HPV status | 0.016 | ||
| Positive | 1 | 1 | |
| Not detected | 1.069 (0.443) | 2.91 (1.22–6.94) | |
| Consumption habits | 0.040 | ||
| Active | 1 | 1 | |
| No consumption | −1.041 (0.508) | 0.35 (0.13–0.96) | |
| Age at diagnosis * | |||
| Pspline, linear | 0.045 (0.017) | --- | 0.008 |
| Pspline, nonlinear | --- | --- | 0.016 |
| Adjusted HR * | 95% CI | p-Value | |
|---|---|---|---|
| HPV status positive | |||
| PIK3CA | |||
| Mutated | 1 | ||
| Wild-type | 4.64 | 1.02–20.99 | 0.047 |
| HPV not detected | |||
| PIK3CA | |||
| Mutated | 1 | ||
| Wild-type | 0.38 | 0.06–2.24 | 0.285 |
Publisher’s Note: MDPI stays neutral with regard to jurisdictional claims in published maps and institutional affiliations. |
© 2022 by the authors. Licensee MDPI, Basel, Switzerland. This article is an open access article distributed under the terms and conditions of the Creative Commons Attribution (CC BY) license (https://creativecommons.org/licenses/by/4.0/).
Share and Cite
Cochicho, D.; Esteves, S.; Rito, M.; Silva, F.; Martins, L.; Montalvão, P.; Cunha, M.; Magalhães, M.; Gil da Costa, R.M.; Felix, A. PIK3CA Gene Mutations in HNSCC: Systematic Review and Correlations with HPV Status and Patient Survival. Cancers 2022, 14, 1286. https://doi.org/10.3390/cancers14051286
Cochicho D, Esteves S, Rito M, Silva F, Martins L, Montalvão P, Cunha M, Magalhães M, Gil da Costa RM, Felix A. PIK3CA Gene Mutations in HNSCC: Systematic Review and Correlations with HPV Status and Patient Survival. Cancers. 2022; 14(5):1286. https://doi.org/10.3390/cancers14051286
Chicago/Turabian StyleCochicho, Daniela, Susana Esteves, Miguel Rito, Fernanda Silva, Luís Martins, Pedro Montalvão, Mário Cunha, Miguel Magalhães, Rui M. Gil da Costa, and Ana Felix. 2022. "PIK3CA Gene Mutations in HNSCC: Systematic Review and Correlations with HPV Status and Patient Survival" Cancers 14, no. 5: 1286. https://doi.org/10.3390/cancers14051286
APA StyleCochicho, D., Esteves, S., Rito, M., Silva, F., Martins, L., Montalvão, P., Cunha, M., Magalhães, M., Gil da Costa, R. M., & Felix, A. (2022). PIK3CA Gene Mutations in HNSCC: Systematic Review and Correlations with HPV Status and Patient Survival. Cancers, 14(5), 1286. https://doi.org/10.3390/cancers14051286

