Mental Health and Quality of Life among Patients with Cancer during the SARS-CoV-2 Pandemic: Results from the Longitudinal ONCOVID Survey Study
Abstract
:Simple Summary
Abstract
1. Introduction
2. Materials and Methods
2.1. Study Design
2.2. Study Sample
2.3. Questionnaires
2.4. Key Definitions
2.5. Study Endpoints
2.6. Statistical Analysis
2.7. Role of the Funding Source
3. Results
3.1. Study Sample Characteristics
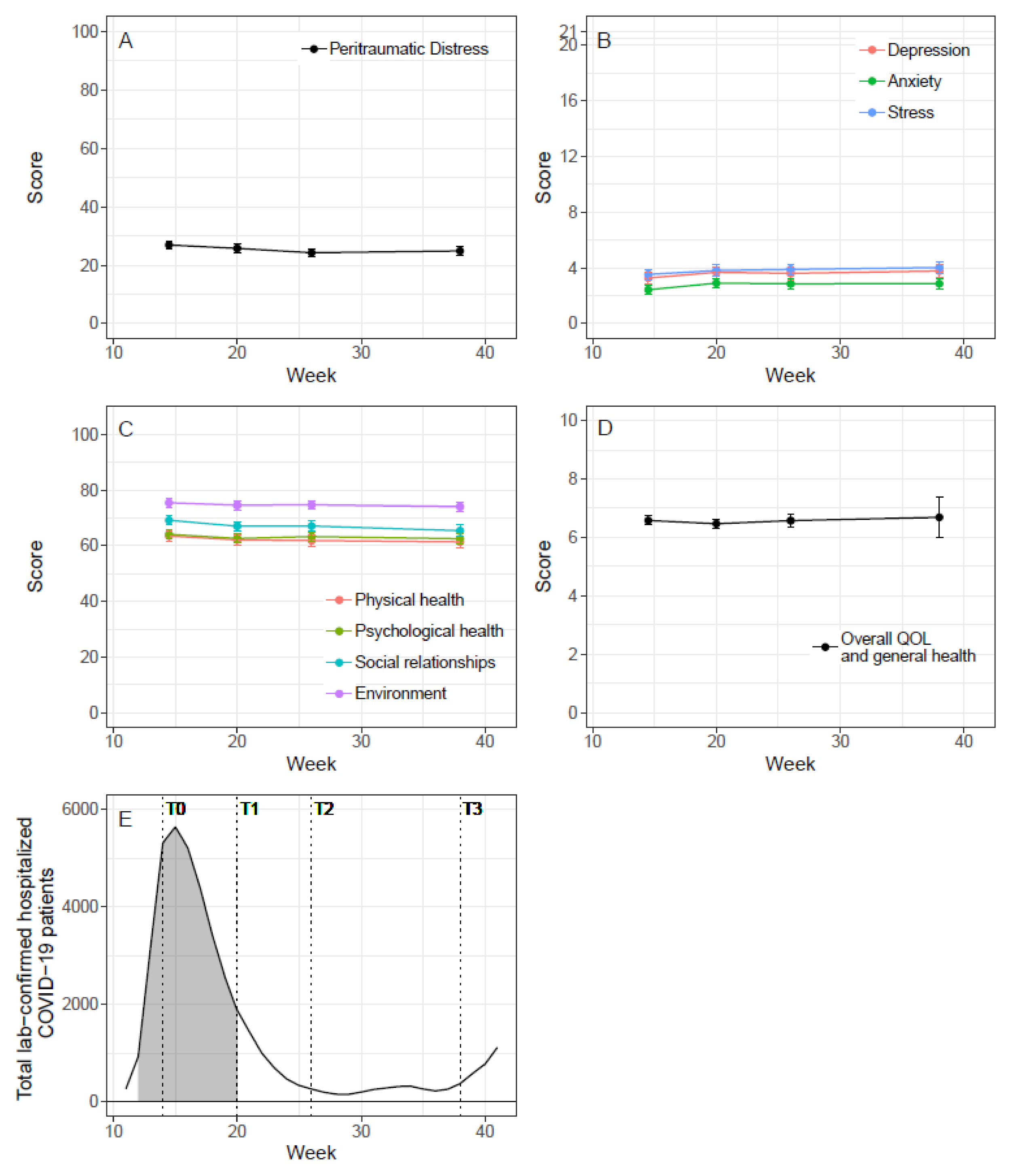
3.2. Mental Health Scores



| Variable | Participants (n = 355) | Never Participants (n = 62) | p Value |
|---|---|---|---|
| Age, years | 62.2 (53.9 to 69.1) | 61.7 (53.7 to 72.5) | 1.000 |
| Gender | 1.000 | ||
| Female | 253 (71.3) | 44 (71.0) | |
| Male | 102 (28.7) | 18 (29.0) | |
| Other | 0 | 0 | |
| Missing | 0 | 0 | |
| Educational level | 1.000 | ||
| Fundamental or secondary | 173 (50.0) | 3 (42.9) | |
| Higher education | 173 (50.0) | 4 (57.1) | |
| Missing | 9 | 55 | |
| Marital status | 1.000 | ||
| Single or never married | 39 (11.0) | 0 | |
| Married or living as married | 258 (73.1) | 6 (85.7) | |
| Divorced, separated, or widowed | 56 (15.9) | 1 (14.3) | |
| Missing | 2 | 55 | |
| Household composition | 0.356 | ||
| Living with others | 283 (80.9) | 7 (100.0) | |
| Living alone | 67 (19.1) | 0 | |
| Missing | 5 | 55 | |
| Cancer type | 0.809 | ||
| Breast | 154 (43.4) | 26 (41.9) | |
| Genitourinary | 56 (15.8) | 12 (19.4) | |
| Gynecological | 51 (14.4) | 5 (8.1) | |
| Melanoma | 46 (13.0) | 9 (14.5) | |
| Head and neck | 21 (5.9) | 4 (6.5) | |
| Soft tissue and bone | 15 (4.2) | 3 (4.8) | |
| Other | 12 (3.4) | 3 (4.8) | |
| Missing | 0 | 0 | |
| Therapy intention | 0.246 | ||
| Palliative | 279 (78.6) | 44 (71.0) | |
| Curative | 76 (21.4) | 18 (29.0) | |
| Missing | 0 | 0 | |
| Estimated life expectancy | 0.763 | ||
| >1 year | 273 (76.9) | 46 (74.2) | |
| ≤1 year | 82 (23.1) | 16 (25.8) | |
| Missing | 0 | 0 | |
| Therapy change | 0.331 | ||
| Yes | 41 (11.5) | 4 (6.5) | |
| No | 314 (88.5) | 58 (93.5) | |
| Missing | 0 | 0 |
3.3. Quality-of-Life Scores
3.4. Factors Associated
3.4.1. With Mental Health Scores
3.4.2. With Quality-Of-Life Scores

| Survey Period | ||||
|---|---|---|---|---|
| Variable | T1-T0 | T2-T0 | T3-T0 | MID |
| Mental health | ||||
| COVID-19 peritraumatic distress (0–100) | −1.16 (−2.22 to −0.11; p = 0.028) | −2.65 (−3.73 to −1.57; p < 0.001) | −2.04 (−3.26 to −0.83; p < 0.001) | 6.54 |
| Depression (0–21) | 0.41 (0.11 to 0.71; p = 0.007) | 0.33 (−0.02 to 0.69; p = 0.059) | 0.51 (0.14 to 0.88; p = 0.006) | 1.85 |
| Anxiety (0–21) | 0.48 (0.24 to 0.72; p < 0.001) | 0.43 (0.13 to 0.73; p = 0.004) | 0.44 (0.08 to 0.80; p = 0.015) | 1.44 |
| Stress (0–21) | 0.28 (0.04 to 0.60; p = 0.081) | 0.36 (0.02 to 0.70; p = 0.037) | 0.49 (0.07 to 0.91; p = 0.019) | 1.82 |
| QOL | ||||
| Physical health (0–100) | 1.40 (−2.86 to 0.05; p = 0.054) | −1.64 (−3.25 to −0.04; p = 0.041) | −2.12 (−3.91 to −0.32; p = 0.019) | 9.42 |
| Psychological health (0–100) | −1.48 (−2.66 to −0.29; p = 0.013) | −0.80 (−2.06 to 0.45; p = 0.201) | −1.58 (−3.10 to −0.07; p = 0.037) | 7.44 |
| Social relationships (0–100) | −2.13 (−3.54 to −0.72; p = 0.003) | −2.08 (−3.54 to −0.61; p = 0.005) | −3.75 (−5.47 to −2.03; p < 0.001) | 8.04 |
| Environment (0–100) | −0.85 (−1.95 to 0.25; p = 0.122) | −0.72 (−1.94 to 0.51; p = 0.240) | −1.35 (−2.69 to 0.002; p = 0.046) | 6.96 |
| Overall QOL and general health (0–10) | −0.11 (−0.25 to 0.03; p = 0.114) | −0.004 (−0.24 to 0.23; p = 0.970) | 0.11 (−0.59 to 0.81; p = 0.753) | 0.80 |
| Mental Health | ||||||||
|---|---|---|---|---|---|---|---|---|
| CPDI | DASS-21 | |||||||
| Variable | Peritraumatic Distress | p Value | Depression | p Value | Anxiety | p Value | Stress | p Value |
| Age | −0.06 (−0.17 to 0.05) | 0.426 | −0.02 (−0.05 to 0.01) | 0.584 | −0.003 (−0.03 to 0.02) | 0.239 | −0.02 (−0.05 to 0.009) | 0.291 |
| Gender | 0.085 | 0.728 | 0.005 | 0.770 | ||||
| Male | Reference | Reference | Reference | Reference | ||||
| Female | 0.67 (−3.66 to 4.99) | 0.51 (−0.76 to 1.79) | −0.97 (−1.93 to −0.009) | −0.28 (−1.45 to 0.90) | ||||
| Educational level | 0.073 | 0.757 | 0.225 | 0.465 | ||||
| Fundamental or secondary | Reference | Reference | Reference | Reference | ||||
| Higher education | −2.38 (−5.06 to 0.29) | −0.19 (−0.97 to 0.60) | −0.40 (−0.99 to 0.19) | −0.25 (−098 to 0.47) | ||||
| Marital status | 0.382 | 0.685 | 0.602 | 0.663 | ||||
| Single or never married | Reference | Reference | Reference | Reference | ||||
| Married or living as married | 3.58 (−1.89 to 9.04) | 0.87 (−0.73 to 2.47) | 0.74 (−0.46 to 1.94) | 1.25 (−0.23 to 2.73) | ||||
| Divorced, separated, or widowed | 3.69 (−1.59 to 8.97) | 0.32 (−1.23 to 1.87) | 0.27 (−0.89 to 1.43) | 0.46 (−0.97 to 1.89) | ||||
| Household composition | 0.428 | 0.035 | 0.020 | 0.140 | ||||
| Living alone | Reference | Reference | Reference | Reference | ||||
| Living with others | −2.25 (−7.43 to 2.92) | −1.62 (−3.14 to −0.09) | −1.39 (−2.53 to −0.24) | −1.05 (−2.46 to 0.36) | ||||
| Cancer type | 0.567 | 0.377 | 0.344 | 0.796 | ||||
| Breast | Reference | Reference | Reference | Reference | ||||
| Genitourinary | −3.24 (−8.69 to 2.21) | 0.77 (−0.84 to 2.37) | −0.20 (−1.40 to 1.00) | −0.43 (−191 to 1.05) | ||||
| Gynecological | −0.56 (−4.51 to 3.39) | −0.20 (−1.35 to 0.96) | −0.40 (−1.27 to 0.46) | 0.29 (−0.77 to 1.36) | ||||
| Melanoma | −4.89 (−9.59 to −0.19) | −0.65 (−2.04 to 0.74) | −0.92 (−1.96 to 0.13) | −0.61 (−1.89 to 0.68) | ||||
| Head and neck | −1.94 (−8.30 to 4.42) | 0.25 (−1.66 to 2.17) | 0.13 (−1.31 to 1.57) | −1.06 (−2.83 to 0.72) | ||||
| Soft tissue and bone | 1.86 (−5.24 to 8.96) | 1.64 (−0.43 to 3.71) | 0.39 (−1.15 to 1.94) | 0.85 (−1.06 to 2.77) | ||||
| Other | −2.60 (−9.98 to 4.77) | 0.55 (−1.60 to 2.70) | −0.44 (−2.04 to 1.16) | −0.76 (−2.74 to 1.22) | ||||
| Therapy intention | 0.939 | 0.843 | 0.487 | 0.687 | ||||
| Curative | Reference | Reference | Reference | Reference | ||||
| Palliative | −0.13 (−3.58 to 3.31) | 0.10 (−0.91 to 1.11) | −0.27 (−1.02 to 0.49) | 0.19 (−0.74 to 1.13) | ||||
| Estimated life expectancy | 0.052 | 0.120 | 0.004 | 0.328 | ||||
| ≤1 year | Reference | Reference | Reference | Reference | ||||
| >1 year | −2.79 (−6.08 to 0.51) | −0.60 (−1.57 to 0.37) | −0.95 (−1.68 to −0.22) | −0.30 (−1.20 to 0.59) | ||||
| Therapy change | 0.734 | 0.619 | 0.324 | 0.267 | ||||
| No | Reference | Reference | Reference | Reference | ||||
| Yes | 0.76 (−3.43 to 4.94) | 0.30 (−0.93 to 1.54) | 0.41 (−0.51 to 1.33) | 0.65 (−0.49 to 1.79) | ||||
| QOL | ||||||||||
|---|---|---|---|---|---|---|---|---|---|---|
| WHOQOL-BREF | ||||||||||
| Variable | Physical Health (0–100) | p Value | Psychologi-cal Health (0–100) | p Value | Social Relationships (0–100) | p Value | Environment (0–100) | p Value | Overall QOL (0–10) | p Value |
| Age | 0.16 (0.01 to 0.32) | 0.160 | 0.18 (0.06 to 0.31) | 0.018 | 0.14 (0.01 to 0.27) | 0.867 | 0.07 (−0.05 to 0.18) | 0.879 | 0.01 (−0.002 to 0.02) | 0.388 |
| Gender | 0.835 | 0.965 | <0.001 | 0.290 | 0.460 | |||||
| Male | Reference | Reference | Reference | Reference | Reference | |||||
| Female | −1.40 (−7.41 to 4.60) | −4.37 (−9.29 to 0.56) | 4.71 (−0.23 to 9.66) | −1.77 (−6.22 to 2.68) | −0.08 (−0.58 to 0.41) | |||||
| Educational level | 0.534 | 0.696 | 0.681 | 0.002 | 0.766 | |||||
| Fundamental or secondary | Reference | Reference | Reference | Reference | Reference | |||||
| Higher education | 1.20 (−2.51 to 4.91) | 0.69 (−2.36 to 3.74) | 0.92 (−2.14 to 3.98) | 4.30 (1.55 to 7.06) | −0.05 (−0.35 to 0.26) | |||||
| Marital status | 0.015i | 0.268 | 0.012ii | 0.006iii | 0.124 | |||||
| Single or never married | Reference | Reference | Reference | Reference | Reference | |||||
| Married or living as married | −2.34 (−9.92 to 5.23) | −3.61 (−9.84 to 2.62) | −1.90 (−8.15 to 4.34) | −1.89 (7.52 to 3.73) | −0.26 (−0.8 to 0.36) | |||||
| Divorced, separated, or widowed | −8.17 (−15.49 to −0.84) | −4.08 (−10.10 to 1.94) | −4.34 (−10.38 to 1.71) | −6.89 (−12.32 to −1.46) | −0.57 (−1.17 to 0.03) | |||||
| Household composition | 0.473 | 0.143 | 0.028 | 0.546 | 0.618 | |||||
| Living alone | Reference | Reference | Reference | Reference | Reference | |||||
| Living with others | 2.75 (−4.43 to 9.93) | 4.71 (−1.18 to 10.60) | 6.22 (0.30 to 12.14) | 1.74 (−3.58 to 7.07) | 0.15 (−0.44 to 0.74) | |||||
| Cancer type | 0.049iv | 0.172 | 0.075 | 0.027v | 0.003vi | |||||
| Breast | Reference | Reference | Reference | Reference | Reference | |||||
| Genitourinary | −2.63 (−10.18 to 4.92) | −7.61 (−13.81 to −1.41) | −4.92 (−11.14 to 1.29) | −5.53 (−11.13 to 0.07) | −0.28 (−0.90 to 0.34) | |||||
| Gynecological | 2.90 (−2.57 to 8.37) | −0.19 (−4.68 to 4.30) | −0.02 (−4.53 to 4.49) | −0.83 (−4.89 to 3.23) | −0.12 (−0.57 to 0.33) | |||||
| Melanoma | 2.70 (−3.83 to 9.22) | −2.21 (−7.56 to 3.13) | −2.42 (−7.79 to 2.95) | −1.44 (−6.28 to 3.39) | 0.34 (−0.20 to 0.87) | |||||
| Head and neck | 0.10 (−8.77 to 8.98) | −4.03 (−11.29 to 3.22) | −0.53 (−7.87 to 6.80) | −5.84 (−12.41 to 0.72) | −0.65 (−1.38 to 0.08) | |||||
| Soft tissue and bone | −12.91 (−22.74 to −3.09) | −7.96 (−16.04 to 0.11) | −12.84 (−20.93 to −4.75) | −8.57 (−15.86 to −1.28) | −1.05 (−1.85 to −0.24) | |||||
| Other | −1.93 (−12.13 to 8.28) | −3.18 (−11.56 to 5.20) | 5.48 (−2.95 to 13.91) | 0.05 (−7.53 to 7.64) | −0.45 (−1.28 to 0.38) | |||||
| Therapy intention | 0.981 | 0.185 | 0.015 | 0.764 | 0.688 | |||||
| Curative | Reference | Reference | Reference | Reference | Reference | |||||
| Palliative | −0.06 (−4.82 to 4.71) | 2.65 (−1.27 to 6.56) | −4.90 (−8.82 to −0.97) | 0.54 (−2.99 to 4.08) | −0.08 (−0.47 to 0.31) | |||||
| Estimated life expectancy | 0.001 | 0.052 | 0.049 | 0.051 | <0.001 | |||||
| ≤1 year | Reference | Reference | Reference | Reference | Reference | |||||
| >1 year | 6.60 (2.03 to 11.17) | 3.85 (0.10 to 7.60) | 1.59 (−2.18 to 5.36) | 2.82 (−0.57 to 6.21) | 0.73 (0.36 to 1.11) | |||||
| Therapy change | 0.141 | 0.357 | 0.138 | 0.348 | 0.398 | |||||
| No | Reference | Reference | Reference | Reference | Reference | |||||
| Yes | −4.29 (−10.10 to 1.53) | −1.84 (−6.60 to 2.93) | −4.15 (−8.94 to 0.65) | −1.94 (−6.25 to 2.37) | −0.21 (−0.69 to 0.27) | |||||
4. Discussion
5. Conclusions
Supplementary Materials
Author Contributions
Funding
Institutional Review Board Statement
Informed Consent Statement
Data Availability Statement
Acknowledgments
Conflicts of Interest
References
- Zhu, N.; Zhang, D.; Wang, W.; Li, X.; Yang, B.; Song, J.; Zhao, X.; Huang, B.; Shi, W.; Lu, R.; et al. A Novel Coronavirus from Patients with Pneumonia in China, 2019. N. Engl. J. Med. 2020, 382, 727–733. [Google Scholar] [CrossRef]
- Guan, W.J.; Ni, Z.Y.; Hu, Y.; Liang, W.H.; Ou, C.Q.; He, J.X.; Liu, L.; Shan, H.; Lei, C.L.; Hui, D.S.C.; et al. Clinical Characteristics of Coronavirus Disease 2019 in China. N. Engl. J. Med. 2020, 382, 1708–1720. [Google Scholar] [CrossRef]
- World Health Organization. Available online: https://www.who.int/director-general/speeches/detail/who-director-general-s-opening-remarks-at-the-media-briefing-on-covid-19---11-march-2020 (accessed on 4 November 2021).
- The Lancet Oncology. COVID-19 and cancer: 1 year on. Lancet Oncol. 2021, 22, 411. [Google Scholar] [CrossRef]
- Kutikov, A.; Weinberg, D.S.; Edelman, M.J.; Horwitz, E.M.; Uzzo, R.G.; Fisher, R.I. A War on Two Fronts: Cancer Care in the Time of COVID-19. Ann. Intern. Med. 2020, 172, 756–758. [Google Scholar] [CrossRef]
- Mitchell, A.J.; Chan, M.; Bhatti, H.; Halton, M.; Grassi, L.; Johansen, C.; Meader, N. Prevalence of depression, anxiety, and adjustment disorder in oncological, haematological, and palliative-care settings: A meta-analysis of 94 interview-based studies. Lancet Oncol. 2011, 12, 160–174. [Google Scholar] [CrossRef]
- Maringe, C.; Spicer, J.; Morris, M.; Purushotham, A.; Nolte, E.; Sullivan, R.; Rachet, B.; Aggarwal, A. The impact of the COVID-19 pandemic on cancer deaths due to delays in diagnosis in England, UK: A national, population-based, modelling study. Lancet Oncol. 2020, 21, 1023–1034. [Google Scholar] [CrossRef]
- Dinmohamed, A.G.; Visser, O.; Verhoeven, R.H.A.; Louwman, M.W.J.; van Nederveen, F.H.; Willems, S.M.; Merkx, M.A.W.; Lemmens, V.E.P.P.; Nagtegaal, I.D.; Siesling, S. Fewer cancer diagnoses during the COVID-19 epidemic in the Netherlands. Lancet Oncol. 2020, 21, 750–751. [Google Scholar] [CrossRef]
- Lin, D.D.; Meghal, T.; Murthy, P.; Mo, L.; D’Silva, A.; Huang, Y.; Xu, Y. Chemotherapy Treatment Modifications during the COVID-19 Outbreak at a Community Cancer Center in New York City. JCO Glob. Oncol. 2020, 6, 1298–1305. [Google Scholar] [CrossRef]
- Barsom, E.Z.; Feenstra, T.M.; Bemelman, W.A.; Bonjer, J.H.; Schijven, M.P. Coping with COVID-19: Scaling up virtual care to standard practice. Nat. Med. 2020, 26, 632–634. [Google Scholar] [CrossRef]
- Webster, P. Virtual health care in the era of COVID-19. Lancet 2020, 395, 1180–1181. [Google Scholar] [CrossRef]
- Van de Poll-Franse, L.V.; de Rooij, B.H.; Horevoorts, N.J.E.; May, A.M.; Vink, G.R.; Koopman, M.; van Laarhoven, H.W.M.; Besselink, M.G.; Oerlemans, S.; Husson, O.; et al. Perceived Care and Well-being of Patients with Cancer and Matched Norm Participants in the COVID-19 Crisis: Results of a Survey of Participants in the Dutch PROFILES Registry. JAMA Oncol. 2021, 7, 279–284. [Google Scholar] [CrossRef]
- Nekhlyudov, L.; Duijts, S.; Hudson, S.V.; Jones, J.M.; Keogh, J.; Love, B.; Lustberg, M.; Smith, K.C.; Tevaarwerk, A.; Yu, X.; et al. Addressing the needs of cancer survivors during the COVID-19 pandemic. J. Cancer Surviv. 2020, 14, 601–606. [Google Scholar] [CrossRef]
- Lim, K.H.J.; Murali, K.; Kamposioras, K.; Punie, K.; Oing, C.; O’Connor, M.; Thorne, E.; Amaral, T.; Garrido, P.; Lambertini, M.; et al. The concerns of oncology professionals during the COVID-19 pandemic: Results from the ESMO Resilience Task Force survey II. ESMO Open 2021, 6, 100199. [Google Scholar] [CrossRef] [PubMed]
- Scheepers, R.A.; Boerebach, B.C.M.; Arah, O.A.; Heineman, M.J.; Lombarts, K.M.J.M.H. A Systematic Review of the Impact of Physicians’ Occupational Well-Being on the Quality of Patient Care. Int. J. Behav. Med. 2015, 22, 683–698. [Google Scholar] [CrossRef] [PubMed]
- Momenimovahed, Z.; Salehiniya, H.; Hadavandsiri, F.; Allahqoli, L.; Günther, V.; Alkatout, I. Psychological Distress among Cancer Patients during COVID-19 Pandemic in the World: A Systematic Review. Front. Psychol. 2021, 12, 682154. [Google Scholar] [CrossRef]
- Ayubi, E.; Bashirian, S.; Khazaei, S. Depression and Anxiety among Patients with Cancer during COVID-19 Pandemic: A Systematic Review and Meta-analysis. J. Gastrointest. Cancer 2021, 52, 499–507. [Google Scholar] [CrossRef]
- Hongping, Y.; Zewen, Z.; Qiuyan, M.; Xianguo, Z.; Yingchun, L.; Shixiong, F. Prevalence of Anxiety and Depression Among Cancer Patients During the COVID-19 Pandemic: A Systematic Review and Meta-Analysis. Research Square. 2021. Available online: https://assets.researchsquare.com/files/rs-133466/v1/42a2ba90-bab5-4c6d-aa21-ee3f2d9b5756.pdf?c=1631869195 (accessed on 11 December 2021).
- Harris, P.A.; Taylor, R.; Thielke, R.; Payne, J.; Gonzalez, N.; Conde, J.G. Research electronic data capture (REDCap)—A metadata-driven methodology and workflow process for providing translational research informatics support. J. Biomed. Inform. 2009, 42, 377–381. [Google Scholar] [CrossRef]
- Harris, P.A.; Taylor, R.; Minor, B.L.; Elliott, V.; Fernandez, M.; O’Neal, L.; McLeod, L.; Delacqua, G.; Delacqua, F.; Kirby, J.; et al. The REDCap consortium: Building an international community of software platform partners. J. Biomed. Inform. 2019, 95, 103208. [Google Scholar] [CrossRef] [PubMed]
- Von Elm, E.; Altman, D.G.; Egger, M.; Pocock, S.J.; Gøtzsche, P.C.; Vandenbroucke, J.P. The Strengthening the Reporting of Observational Studies in Epidemiology (STROBE) statement: Guidelines for reporting observational studies. Lancet 2007, 370, 1453–1457. [Google Scholar] [CrossRef]
- Qiu, J.; Shen, B.; Zhao, M.; Wang, Z.; Xie, B.; Xu, Y. A nationwide survey of psychological distress among Chinese people in the COVID-19 epidemic: Implications and policy recommendations. Gen. Psychiatr. 2020, 33, e100213. [Google Scholar] [CrossRef]
- Fox, R.S.; Lillis, T.A.; Gerhart, J.; Hoerger, M.; Duberstein, P. Multiple Group Confirmatory Factor Analysis of the DASS-21 Depression and Anxiety Scales: How Do They Perform in a Cancer Sample? Psychol. Rep. 2018, 121, 548–565. [Google Scholar] [CrossRef] [PubMed]
- Lovibond, S.H.; Lovibond, P.F. Manual for the Depression Anxiety Stress Scales; Psychology Foundation of Australia: Sydney, Australia, 1996. [Google Scholar]
- Development of the World Health Organization. WHOQOL-BREF quality of life assessment. The WHOQOL Group. Psychol. Med. 1998, 28, 551–558. [Google Scholar] [CrossRef] [PubMed]
- Skevington, S.M.; Lotfy, M.; O’Connell, K.A. The World Health Organization’s WHOQOL-BREF quality of life assessment: Psychometric properties and results of the international field trial. A report from the WHOQOL group. Qual. Life Res. 2004, 13, 299–310. [Google Scholar] [CrossRef] [PubMed]
- World Health Organization. WHO Quality of Life-BREF (WHOQOL-BREF). Available online: https://www.who.int/substance_abuse/research_tools/whoqolbref/en/ (accessed on 11 December 2021).
- Oberg, A.L.; Mahoney, D.W. Linear mixed effects models. Methods Mol. Biol. 2007, 404, 213–234. [Google Scholar] [CrossRef]
- Farivar, S.S.; Liu, H.; Hays, R.D. Half standard deviation estimate of the minimally important difference in HRQOL scores? Expert Rev. Pharm. Outcomes Res. 2004, 4, 515–523. [Google Scholar] [CrossRef]
- R Core Team. R: A Language and Environment for Statistical Computing; R Foundation for Statistical Computing: Vienna, Austria, 2020; Available online: https://www.R-project.org/ (accessed on 11 December 2021).
- Salari, N.; Hosseinian-Far, A.; Jalali, R.; Vaisi-Raygani, A.; Rasoulpoor, S.; Mohammadi, M.; Rasoulpoor, S.; Khaledi-Paveh, B. Prevalence of stress, anxiety, depression among the general population during the COVID-19 pandemic: A systematic review and meta-analysis. Glob. Health 2020, 16, 57. [Google Scholar] [CrossRef]
- Pierce, M.; McManus, S.; Hope, H.; Hotopf, M.; Ford, T.; Hatch, S.L.; John, A.; Kontopantelis, E.; Webb, R.T.; Wessely, S.; et al. Mental health responses to the COVID-19 pandemic: A latent class trajectory analysis using longitudinal UK data. Lancet Psychiatry 2021, 8, 610–619. [Google Scholar] [CrossRef]
- Robinson, E.; Sutin, A.R.; Daly, M.; Jones, A. A systematic review and meta-analysis of longitudinal cohort studies comparing mental health before versus during the COVID-19 pandemic in 2020. J. Affect. Disord. 2022, 296, 567–576. [Google Scholar] [CrossRef]
- Pinkham, A.E.; Ackerman, R.A.; Depp, C.A.; Harvey, P.D.; Moore, R.C. A Longitudinal Investigation of the Effects of the COVID-19 Pandemic on the Mental Health of Individuals with Pre-existing Severe Mental Illnesses. Psychiatry Res. 2020, 294, 113493. [Google Scholar] [CrossRef]
- Zhao, J.; Lee, M.; Ghader, S.; Younes, H.; Darzi, A.; Xiong, C.; Zhang, L. Quarantine Fatigue: First-ever decrease in social distancing measures after the COVID-19 outbreak before reopening United States. arXiv 2020, arXiv:abs/2006.03716. Available online: https://arxiv.org/abs/2006.03716 (accessed on 11 December 2021).
- Morina, N.; Kip, A.; Hoppen, T.H.; Priebe, S.; Meyer, T. Potential impact of physical distancing on physical and mental health: A rapid narrative umbrella review of meta-analyses on the link between social connection and health. BMJ Open 2021, 11, e042335. [Google Scholar] [CrossRef] [PubMed]
- Williamson, H.C. Early Effects of the COVID-19 Pandemic on Relationship Satisfaction and Attributions. Psychol. Sci. 2020, 31, 1479–1487. [Google Scholar] [CrossRef]
- Okabe-Miyamoto, K.; Folk, D.; Lyubomirsky, S.; Dunn, E.W. Changes in social connection during COVID-19 social distancing: It’s not (household) size that matters, it’s who you’re with. PLoS ONE 2021, 16, e0245009. [Google Scholar] [CrossRef]
- Tull, M.T.; Edmonds, K.A.; Scamaldo, K.M.; Richmond, J.R.; Rose, J.P.; Gratz, K.L. Psychological Outcomes Associated with Stay-at-Home Orders and the Perceived Impact of COVID-19 on Daily Life. Psychiatry Res. 2020, 289, 113098. [Google Scholar] [CrossRef]
- Sutarna, F.N.; Celine, E.; Tancherla, A.; Nathania, R.; Putri, H.; Dharmaraja, F.; Kurniawan, A. The Association of Social Support and Coping Mechanisms in Breast Cancer Patients. Ann. Oncol. 2019, 30, vi147. [Google Scholar] [CrossRef]
- Osowiecka, K.; Sroda, R.; Saied, A.; Szwiec, M.; Mangold, S.; Osuch, D.; Nawrocki, S.; Rucinska, M. Patients’ Non-Medical and Organizational Needs during Cancer Diagnosis and Treatment. Int. J. Environ. Res. Public Health 2020, 17, 5841. [Google Scholar] [CrossRef]
- Nitschke, J.P.; Forbes, P.; Ali, N.; Cutler, J.; Apps, M.A.J.; Lockwood, P.; Lamm, C. Resilience during Uncertainty? Greater Social Connectedness during COVID-19 Lockdown Is Associated with Reduced Distress and Fatigue. Available online: Psyarxiv.com/9ehm7 (accessed on 11 December 2021).
- Varma, M.M.; Chen, D.; Lin, X.L.; Aknin, L.B.; Hu, X. Prosocial Behavior Promotes Positive Emotion during the COVID-19 Pandemic. Available online: Psyarxiv.com/vdw2e (accessed on 11 December 2021).
- López, J.; Perez-Rojo, G.; Noriega, C.; Carretero, I.; Velasco, C.; Martinez-Huertas, J.A.; López-Frutos, P.; Galarraga, L. Psychological well-being among older adults during the COVID-19 outbreak: A comparative study of the young-old and the old-old adults. Int. Psychogeriatr. 2020, 32, 1365–1370. [Google Scholar] [CrossRef] [PubMed]
- Okabe-Miyamoto, K.; Lyubomirsky, S. Social World Happiness Report: Connection and Well-Being during COVID-19. Available online: https://worldhappiness.report/ed/2021/social-connection-and-well-being-during-covid-19/ (accessed on 11 December 2021).
- Ettman, C.K.; Abdalla, S.M.; Cohen, G.H.; Sampson, L.; Vivier, P.M.; Galea, S. Prevalence of Depression Symptoms in US Adults Before and during the COVID-19 Pandemic. JAMA Netw. Open 2020, 3, e2019686. [Google Scholar] [CrossRef]
- Thompson, R.R.; Holman, E.A.; Silver, R.C. Media Coverage, Forecasted Posttraumatic Stress Symptoms, and Psychological Responses before and after an Approaching Hurricane. JAMA Netw. Open 2019, 2, e186228. [Google Scholar] [CrossRef]
- Ritchie, H.; Mathieu, E.; Rodés-Guirao, L.; Appel, C.; Giattino, C.; Ortiz-Ospina, E.; Hasell, J.; Macdonald, B.; Beltekian, D.; Roser, M. Coronavirus Pandemic (COVID-19). 2020. Available online: https://ourworldindata.org/coronavirus (accessed on 11 December 2021).
- Hale, T.; Angrist, N.; Goldszmidt, R.; Kira, B.; Petherick, A.; Phillips, T.; Webster, S.; Cameron-Blake, E.; Hallas, L.; Majumdar, S.; et al. A global panel database of pandemic policies (Oxford COVID-19 Government Response Tracker). Nat. Hum. Behav. 2021, 5, 529–538. [Google Scholar] [CrossRef]
Publisher’s Note: MDPI stays neutral with regard to jurisdictional claims in published maps and institutional affiliations. |
© 2022 by the authors. Licensee MDPI, Basel, Switzerland. This article is an open access article distributed under the terms and conditions of the Creative Commons Attribution (CC BY) license (https://creativecommons.org/licenses/by/4.0/).
Share and Cite
De Jaeghere, E.A.; Kanervo, H.; Colman, R.; Schrauwen, W.; West, P.; Vandemaele, N.; De Pauw, A.; Jacobs, C.; Hilderson, I.; Saerens, M.; et al. Mental Health and Quality of Life among Patients with Cancer during the SARS-CoV-2 Pandemic: Results from the Longitudinal ONCOVID Survey Study. Cancers 2022, 14, 1093. https://doi.org/10.3390/cancers14041093
De Jaeghere EA, Kanervo H, Colman R, Schrauwen W, West P, Vandemaele N, De Pauw A, Jacobs C, Hilderson I, Saerens M, et al. Mental Health and Quality of Life among Patients with Cancer during the SARS-CoV-2 Pandemic: Results from the Longitudinal ONCOVID Survey Study. Cancers. 2022; 14(4):1093. https://doi.org/10.3390/cancers14041093
Chicago/Turabian StyleDe Jaeghere, Emiel A., Heini Kanervo, Roos Colman, Wim Schrauwen, Paulien West, Nele Vandemaele, Aglaja De Pauw, Celine Jacobs, Ingeborg Hilderson, Michael Saerens, and et al. 2022. "Mental Health and Quality of Life among Patients with Cancer during the SARS-CoV-2 Pandemic: Results from the Longitudinal ONCOVID Survey Study" Cancers 14, no. 4: 1093. https://doi.org/10.3390/cancers14041093
APA StyleDe Jaeghere, E. A., Kanervo, H., Colman, R., Schrauwen, W., West, P., Vandemaele, N., De Pauw, A., Jacobs, C., Hilderson, I., Saerens, M., Sundahl, N., Vandecasteele, K., Naert, E., Lapeire, L., Kruse, V., Rottey, S., Lemmens, G., & Denys, H. G. (2022). Mental Health and Quality of Life among Patients with Cancer during the SARS-CoV-2 Pandemic: Results from the Longitudinal ONCOVID Survey Study. Cancers, 14(4), 1093. https://doi.org/10.3390/cancers14041093

