Immunophenotypic Analysis of Hairy Cell Leukemia (HCL) and Hairy Cell Leukemia-like (HCL-like) Disorders
Abstract
:Simple Summary
Abstract
1. Introduction
2. Materials and Methods
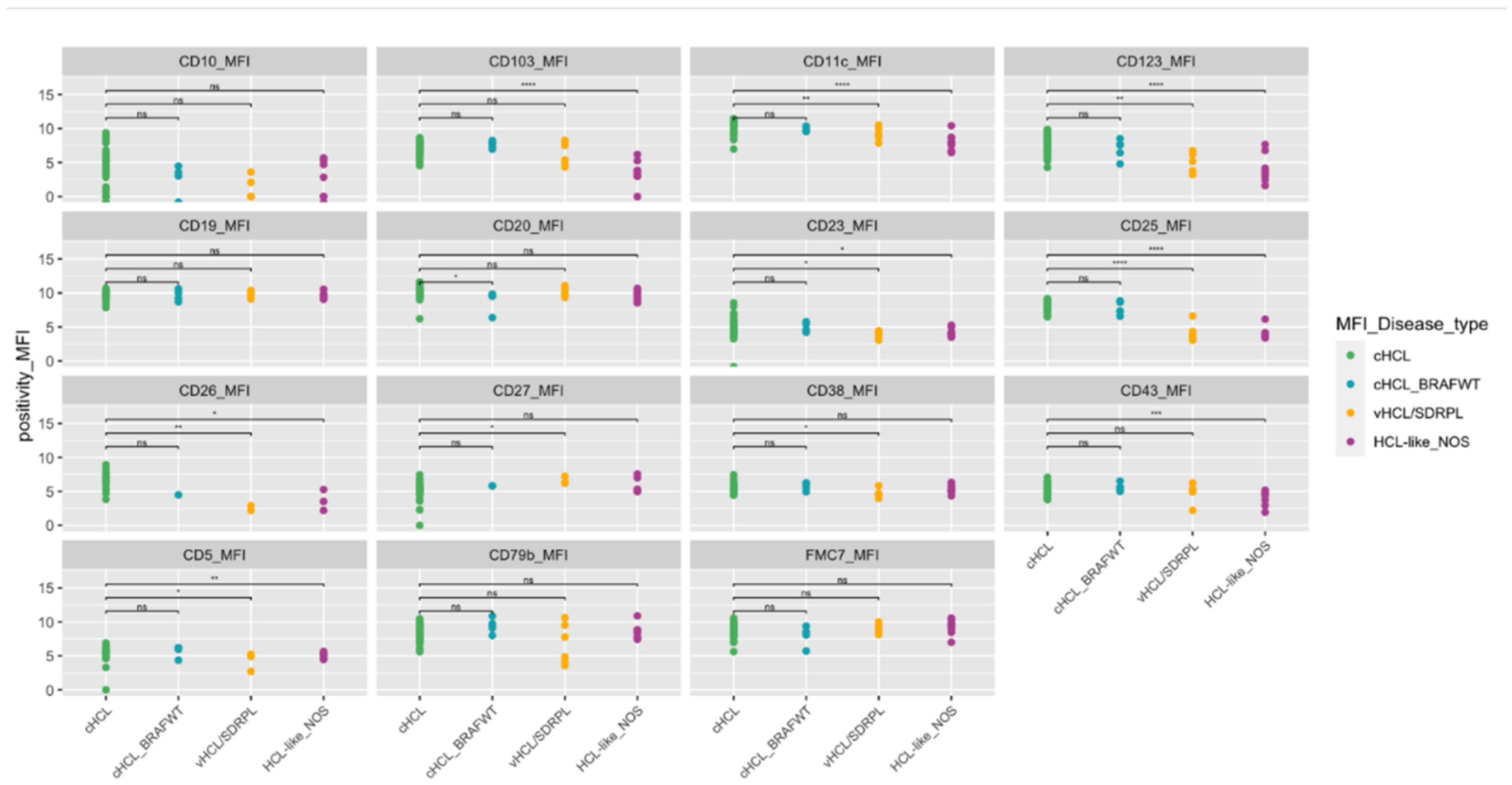
3. Results
Unsupervised Analysis
4. Discussion
5. Conclusions
Supplementary Materials
Author Contributions
Funding
Institutional Review Board Statement
Informed Consent Statement
Data Availability Statement
Acknowledgments
Conflicts of Interest
References
- Bouroncle, B.A.; Wiseman, B.K.; Doan, C.A. Leukemic reticuloendotheliosis. Blood 1958, 13, 609–630. [Google Scholar] [CrossRef] [PubMed] [Green Version]
- Swerdlow, S.; Campo, E.; Harris, N.L.; Jaffe, E.S.; Pileri, S.A.; Stein, H.; Thiele, J. WHO Classification of Tumours of Haematopoietic and Lymphoid Tissues; International Agency for Research on Cancer: Lyon, France, 2017. [Google Scholar]
- Teras, L.R.; DeSantis, C.E.; Cerhan, J.R.; Morton, L.M.; Jemal, A.; Flowers, C.R. 2016 US lymphoid malignancy statistics by World Health Organization subtypes. CA Cancer J. Clin. 2016, 66, 443–459. [Google Scholar] [CrossRef] [PubMed]
- Troussard, X. Epidemiology of hairy cell leukemia (HCL) and HCL-like disorders. Med. Res. Arch. 2020, 8. [Google Scholar] [CrossRef]
- Tiacci, E.; Trifonov, V.; Schiavoni, G.; Holmes, A.; Kern, W.; Martelli, M.P.; Pucciarini, A.; Bigerna, B.; Pacini, R.; Wells, V.A.; et al. BRAF mutations in hairy-cell leukemia. N. Engl. J. Med. 2011, 364, 2305–2315. [Google Scholar] [CrossRef] [Green Version]
- Dietrich, S.; Pircher, A.; Endris, V.; Peyrade, F.; Wendtner, C.M.; Follows, G.A.; Hüllein, J.; Jethwa, A.; Ellert, E.; Walther, T.; et al. BRAF inhibition in hairy cell leukemia with low-dose vemurafenib. Blood 2016, 127, 2847–2855. [Google Scholar] [CrossRef] [Green Version]
- Tiacci, E.; Park, J.H.; De Carolis, L.; Chung, S.S.; Broccoli, A.; Scott, S.; Zaja, F.; Devlin, S.; Pulsoni, A.; Chung, Y.R. Targeting mutant BRAF in relapsed or refractory hairy-cell leukemia. N. Engl. J. Med. 2015, 373, 1733–1747. [Google Scholar] [CrossRef]
- Weston-Bell, N.J.; Forconi, F.; Kluin-Nelemans, H.C.; Sahota, S.S. Variant B cell receptor isotype functions differ in hairy cell leukemia with mutated BRAF and IGHV genes. PLoS ONE 2014, 9, e86556. [Google Scholar] [CrossRef]
- Bohn, J.P.; Wanner, D.; Steurer, M. Ibrutinib for relapsed refractory hairy cell leukemia variant. Leuk. Lymphoma 2017, 58, 1224–1226. [Google Scholar] [CrossRef]
- Sivina, M.; Kreitman, R.J.; Arons, E.; Ravandi, F.; Burger, J.A. The bruton tyrosine kinase inhibitor ibrutinib (PCI-32765) blocks hairy cell leukaemia survival, proliferation and B cell receptor signalling: A new therapeutic approach. Br. J. Haematol. 2014, 166, 177–188. [Google Scholar] [CrossRef]
- Matutes, E.; Morilla, R.; Owusu-Ankomah, K.; Houliham, A.; Meeus, P.; Catovsky, D. The immunophenotype of hairy cell leukemia (HCL). Proposal for a scoring system to distinguish HCL from B-cell disorders with hairy or villous lymphocytes. Leuk. Lymphoma 1994, 14 (Suppl. 1), 57–61. [Google Scholar]
- Favre, R.; Manzoni, D.; Traverse-Glehen, A.; Verney, A.; Jallades, L.; Callet-Bauchu, E.; Sujobert, P.; Salles, G.; Baseggio, L. Usefulness of CD200 in the differential diagnosis of SDRPL, SMZL, and HCL. Int. J. Lab. Hematol. 2018, 40, e59–e62. [Google Scholar] [CrossRef]
- Pillai, V.; Pozdnyakova, O.; Charest, K.; Li, B.; Shahsafaei, A.; Dorfman, D.M. CD200 flow cytometric assessment and semiquantitative immunohistochemical staining distinguishes hairy cell leukemia from hairy cell leukemia-variant and other B-cell lymphoproliferative disorders. Am. J. Clin. Pathol. 2013, 140, 536–543. [Google Scholar] [CrossRef] [Green Version]
- Del Giudice, I.; Matutes, E.; Morilla, R.; Morilla, A.; Owusu-Ankomah, K.; Rafiq, F.; A’Hern, R.; Delgado, J.; Bazerbashi, M.B.; Catovsky, D. The diagnostic value of CD123 in B-cell disorders with hairy or villous lymphocytes. Haematologica 2004, 89, 303–308. [Google Scholar]
- Waterfall, J.J.; Arons, E.; Walker, R.L.; Pineda, M.; Roth, L.; Killian, J.K.; Abaan, O.D.; Davis, S.R.; Kreitman, R.J.; Meltzer, P.S. High prevalence of MAP2K1 mutations in variant and IGHV4-34-expressing hairy-cell leukemias. Nat. Genet. 2014, 46, 8–10. [Google Scholar] [CrossRef]
- Hockley, S.L.; Else, M.; Morilla, A.; Wotherspoon, A.; Dearden, C.; Catovsky, D.; Gonzalez, D.; Matutes, E. The prognostic impact of clinical and molecular features in hairy cell leukaemia variant and splenic marginal zone lymphoma. Br. J. Haematol. 2012, 158, 347–354. [Google Scholar] [CrossRef]
- Yilmaz, E.; Chhina, A.; Nava, V.E.; Aggarwal, A. A Review on Splenic Diffuse Red Pulp Small B-Cell Lymphoma. Curr. Oncol. 2021, 28, 431. [Google Scholar] [CrossRef]
- Traverse-Glehen, A.; Baseggio, L.; Callet-Bauchu, E.; Morel, D.; Gazzo, S.; Ffrench, M.; Verney, A.; Rolland, D.; Thieblemont, C.; Magaud, J.-P.; et al. Splenic Red Pulp Lymphoma with Numerous Basophilic Villous Lymphocytes: A Distinct Clinicopathologic and Molecular Entity? Blood 2008, 111, 2253–2260. [Google Scholar] [CrossRef] [Green Version]
- Curiel-Olmo, S.; Mondéjar, R.; Almaraz, C.; Mollejo, M.; Cereceda, L.; Marès, R.; Derdak, S.; Campos-Martín, Y.; Batlle, A.; González de Villambrosía, S.; et al. Splenic Diffuse Red Pulp Small B-Cell Lymphoma Displays Increased Expression of Cyclin D3 and Recurrent CCND3 Mutations. Blood 2017, 129, 1042–1045. [Google Scholar] [CrossRef] [Green Version]
- Jallades, L.; Baseggio, L.; Sujobert, P.; Huet, S.; Chabane, K.; Callet-Bauchu, E.; Verney, A.; Hayette, S.; Desvignes, J.-P.; Salgado, D.; et al. Exome Sequencing Identifies Recurrent BCOR Gene Alterations and the Absence of KLF2, TNFAIP3 and MYD88 Mutations in Splenic Diffuse Red Pulp Small B-Cell Lymphoma. Haematologica 2017, 1758–1766. [Google Scholar] [CrossRef] [Green Version]
- Troussard, X.; Maitre, E.; Cornet, E. Hairy Cell Leukemia 2022: Update on Diagnosis, Risk-stratification, and Treatment. Am. J. Hematol. 2021. [Google Scholar] [CrossRef]
- Maitre, E.; Bertrand, P.; Maingonnat, C.; Viailly, P.-J.; Wiber, M.; Naguib, D.; Salaün, V.; Cornet, E.; Damaj, G.; Sola, B.; et al. New Generation Sequencing of Targeted Genes in the Classical and the Variant Form of Hairy Cell Leukemia Highlights Mutations in Epigenetic Regulation Genes. Oncotarget 2018, 9, 11. [Google Scholar] [CrossRef] [PubMed] [Green Version]
- Lê, S.; Josse, J.; Husson, F. FactoMineR: An R Package for Multivariate Analysis. J. Stat. Softw. 2008, 25, 1–18. [Google Scholar] [CrossRef] [Green Version]
- Kassambara, A.; Kosinski, M.; Biecek, P. P. Survminer: Drawing Survival Curves Using “Ggplot2”. R cran. 2021. Available online: https://cran.r-project.org/web/packages/survminer/survminer.pdf (accessed on 25 October 2021).
- Basso, K.; Liso, A.; Tiacci, E.; Benedetti, R.; Pulsoni, A.; Foa, R.; Di Raimondo, F.; Ambrosetti, A.; Califano, A.; Klein, U.; et al. Gene Expression Profiling of Hairy Cell Leukemia Reveals a Phenotype Related to Memory B Cells with Altered Expression of Chemokine and Adhesion Receptors. J. Exp. Med. 2004, 199, 59–68. [Google Scholar] [CrossRef] [PubMed]
- Forconi, F.; Raspadori, D.; Lenoci, M.; Lauria, F. Absence of Surface CD27 Distinguishes Hairy Cell Leukemia from Other Leukemic B-Cell Malignancies. Haematologica 2005, 90, 266–268. [Google Scholar]
- Chen, Y.-H.; Tallman, M.S.; Goolsby, C.; Peterson, L. Immunophenotypic Variations in Hairy Cell Leukemia. Am. J. Clin. Pathol. 2006, 125, 251–259. [Google Scholar] [CrossRef]
- Jain, D.; Dorwal, P.; Gajendra, S.; Pande, A.; Mehra, S.; Sachdev, R. CD5 Positive Hairy Cell Leukemia: A Rare Case Report with Brief Review of Literature. Cytom. Part B Clin. Cytom. 2016, 90, 467–472. [Google Scholar] [CrossRef]
- Jasionowski, T.M.; Hartung, L.; Greenwood, J.H.; Perkins, S.L.; Bahler, D.W. Analysis of CD10+ Hairy Cell Leukemia. Am. J. Clin. Pathol. 2003, 120, 228–235. [Google Scholar] [CrossRef]
- Juliusson, G.; Lenkei, R.; Liliemark, J. Flow Cytometry of Blood and Bone Marrow Cells from Patients with Hairy Cell Leukemia: Phenotype of Hairy Cells and Lymphocyte Subsets after Treatment with 2-Chlorodeoxyadenosine. Blood 1994, 83, 3672–3681. [Google Scholar] [CrossRef] [Green Version]
- Salem, D.A.; Scott, D.; McCoy, C.S.; Liewehr, D.J.; Venzon, D.J.; Arons, E.; Kreitman, R.J.; Stetler-Stevenson, M.; Yuan, C.M. Differential Expression of CD43, CD81, and CD200 in Classic Versus Variant Hairy Cell Leukemia. Cytometry 2019, 96, 275–282. [Google Scholar] [CrossRef]
- Poret, N.; Fu, Q.; Guihard, S.; Cheok, M.; Miller, K.; Zeng, G.; Quesnel, B.; Troussard, X.; Galiegue-Zouitina, S.; Shelley, C.S. CD38 in Hairy Cell Leukemia Is a Marker of Poor Prognosis and a New Target for Therapy. Cancer Res. 2015, 75, 3902–3911. [Google Scholar] [CrossRef] [Green Version]
- Jain, P.; Pemmaraju, N.; Ravandi, F. Update on the Biology and Treatment Options for Hairy Cell Leukemia. Curr. Treat. Options Oncol. 2014, 15, 187–209. [Google Scholar] [CrossRef] [Green Version]
- Kumar, P.; Gao, Q.; Chan, A.; Lewis, N.; Sigler, A.; Pichardo, J.; Xiao, W.; Roshal, M.; Dogan, A. Hairy Cell Leukemia Expresses Programmed Death-1. Blood Cancer J. 2020, 10, 115. [Google Scholar] [CrossRef]
- Koldej, R.M.; Prabahran, A.; Tan, C.W.; Ng, A.P.; Davis, M.J.; Ritchie, D.S. Dissection of the Bone Marrow Microenvironment in Hairy Cell Leukaemia Identifies Prognostic Tumour and Immune Related Biomarkers. Sci. Rep. 2021, 11, 19056. [Google Scholar] [CrossRef]
- Angelova, E.A.; Medeiros, L.J.; Wang, W.; Muzzafar, T.; Lu, X.; Khoury, J.D.; Ravandi, F.; Patel, K.P.; Hu, Z.; Kanagal-Shamanna, R. Clinicopathologic and Molecular Features in Hairy Cell Leukemia-Variant: Single Institutional Experience. Mod. Pathol. 2018, 31, 1717–1732. [Google Scholar] [CrossRef]
- Arons, E.; Suntum, T.; Stetler-Stevenson, M.; Kreitman, R.J. VH4-34+ Hairy Cell Leukemia, a New Variant with Poor Prognosis despite Standard Therapy. Blood 2009, 114, 4687–4695. [Google Scholar] [CrossRef] [Green Version]
- Cro, L.; Morabito, F.; Zucal, N.; Fabris, S.; Lionetti, M.; Cutrona, G.; Rossi, F.; Gentile, M.; Ferrario, A.; Ferrarini, M.; et al. CD26 Expression in Mature B-Cell Neoplasia: Its Possible Role as a New Prognostic Marker in B-CLL. Hematol. Oncol. 2009, 27, 140–147. [Google Scholar] [CrossRef]
- Böttcher, S.; Engelmann, R.; Grigore, G.; Fernandez, P.C.; Caetano, J.; Flores-Montero, J.; Van der Velden, V.H.J.; Novakova, M.; Philippé, J.; Ritgen, M.; et al. Expert-Independent Classification of Mature B-Cell Neoplasms Using Standardized Flow Cytometry: A Multicentric Study. Blood Adv. 2022, 6, 976–992. [Google Scholar] [CrossRef]
- Xi, L.; Arons, E.; Navarro, W.; Calvo, K.R.; Stetler-Stevenson, M.; Raffeld, M.; Kreitman, R.J. Both Variant and IGHV4-34–Expressing Hairy Cell Leukemia Lack the BRAF V600E Mutation. Blood 2012, 119, 3330–3332. [Google Scholar] [CrossRef] [Green Version]
- Forconi, F.; Sozzi, E.; Cencini, E.; Zaja, F.; Intermesoli, T.; Stelitano, C.; Rigacci, L.; Gherlinzoni, F.; Cantaffa, R.; Baraldi, A.; et al. Hairy Cell Leukemias with Unmutated IGHV Genes Define the Minor Subset Refractory to Single-Agent Cladribine and with More Aggressive Behavior. Blood 2009, 114, 4696–4702. [Google Scholar] [CrossRef]
- Matutes, E.; Martínez-Trillos, A.; Campo, E. Hairy Cell Leukaemia-Variant: Disease Features and Treatment. Best Pract. Res. Clin. Haematol. 2015, 28, 253–263. [Google Scholar] [CrossRef]






Publisher’s Note: MDPI stays neutral with regard to jurisdictional claims in published maps and institutional affiliations. |
© 2022 by the authors. Licensee MDPI, Basel, Switzerland. This article is an open access article distributed under the terms and conditions of the Creative Commons Attribution (CC BY) license (https://creativecommons.org/licenses/by/4.0/).
Share and Cite
Maitre, E.; Cornet, E.; Salaün, V.; Kerneves, P.; Chèze, S.; Repesse, Y.; Damaj, G.; Troussard, X. Immunophenotypic Analysis of Hairy Cell Leukemia (HCL) and Hairy Cell Leukemia-like (HCL-like) Disorders. Cancers 2022, 14, 1050. https://doi.org/10.3390/cancers14041050
Maitre E, Cornet E, Salaün V, Kerneves P, Chèze S, Repesse Y, Damaj G, Troussard X. Immunophenotypic Analysis of Hairy Cell Leukemia (HCL) and Hairy Cell Leukemia-like (HCL-like) Disorders. Cancers. 2022; 14(4):1050. https://doi.org/10.3390/cancers14041050
Chicago/Turabian StyleMaitre, Elsa, Edouard Cornet, Véronique Salaün, Pauline Kerneves, Stéphane Chèze, Yohan Repesse, Gandhi Damaj, and Xavier Troussard. 2022. "Immunophenotypic Analysis of Hairy Cell Leukemia (HCL) and Hairy Cell Leukemia-like (HCL-like) Disorders" Cancers 14, no. 4: 1050. https://doi.org/10.3390/cancers14041050
APA StyleMaitre, E., Cornet, E., Salaün, V., Kerneves, P., Chèze, S., Repesse, Y., Damaj, G., & Troussard, X. (2022). Immunophenotypic Analysis of Hairy Cell Leukemia (HCL) and Hairy Cell Leukemia-like (HCL-like) Disorders. Cancers, 14(4), 1050. https://doi.org/10.3390/cancers14041050

