The Palliative Prognostic (PaP) Score without Clinical Evaluation Predicts Early Mortality among Advanced NSCLC Patients Treated with Immunotherapy
Abstract
Simple Summary
Abstract
1. Introduction
2. Materials and Methods
Statistical Methods
3. Results
3.1. Score Predictive Ability Testing
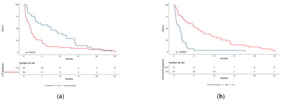
3.2. Survival Analysis
4. Discussion
5. Conclusions
Author Contributions
Funding
Institutional Review Board Statement
Informed Consent Statement
Data Availability Statement
Conflicts of Interest
References
- De Giglio, A.; Di Federico, A.; Deiana, C.; Ricciuti, B.; Brambilla, M.; Metro, G. Advanced non-small-cell lung cancer: How to manage non-oncogene disease. Drugs Context 2022, 11, 1–14. [Google Scholar] [CrossRef] [PubMed]
- Pardoll, D.M. The blockade of immune checkpoints in cancer immunotherapy. Nat. Rev. Cancer 2012, 12, 252–264. [Google Scholar] [CrossRef]
- Chhabra, N.; Kennedy, J. A Review of Cancer Immunotherapy Toxicity: Immune Checkpoint Inhibitors. J. Med. Toxicol. 2021, 17, 411–424. [Google Scholar] [CrossRef]
- Fojo, T. Desperation Oncology. Semin. Oncol. 2018, 45, 105–106. [Google Scholar] [CrossRef] [PubMed]
- Mezquita, L.; Auclin, E.; Ferrara, R.; Charrier, M.; Remon, J.; Planchard, D.; Ponce, S.; Ares, L.P.; Leroy, L.; Audigier-Valette, C.; et al. Association of the Lung Immune Prognostic Index with Immune Checkpoint Inhibitor Outcomes in Patients with Advanced Non–Small Cell Lung Cancer. JAMA Oncol. 2018, 4, 351–357. [Google Scholar] [CrossRef]
- Benitez, J.C.; Recondo, G.; Rassy, E.; Mezquita, L. The LIPI score and inflammatory biomarkers for selection of patients with solid tumors treated with checkpoint inhibitors. Q. J. Nucl. Med. Mol. Imaging 2020, 64, 162–174. [Google Scholar] [CrossRef]
- Gu, X.-B.; Tian, T.; Tian, X.-J.; Zhang, X.-J. Prognostic significance of neutrophil-to-lymphocyte ratio in non-small cell lung cancer: A meta-analysis. Sci. Rep. 2015, 5, 12493. [Google Scholar] [CrossRef] [PubMed]
- Fiala, O.; Pesek, M.; Finek, J.; Topolcan, O.; Racek, J.; Svaton, M.; Kucera, R.; Minarik, M.; Benesova, L.; Bortlicek, Z.; et al. Change in serum lactate dehydrogenase is associated with outcome of patients with advanced-stage NSCLC treated with erlotinib. Anticancer Res. 2016, 36, 2459–2465. [Google Scholar] [PubMed]
- Pirovano, M.; Maltoni, M.; Nanni, O.; Marinari, M.; Indelli, M.; Zaninetta, G.; Petrella, V.; Barni, S.; Zecca, E.; Scarpi, E.; et al. A new palliative prognostic score: A first step for the staging of terminally ill cancer patients. Italian Multicenter and Study Group on Palliative Care. J. Pain Symptom Manag. 1999, 17, 231–239. [Google Scholar] [CrossRef]
- Maltoni, M.; Nanni, O.; Pirovano, M.; Scarpi, E.; Indelli, M.; Martini, C.; Monti, M.; Arnoldi, E.; Piva, L.; Ravaioli, A.; et al. Successful validation of the palliative prognostic score in terminally ill cancer patients. Italian Multicenter Study Group on Palliative Care. J. Pain Symptom Manag. 1999, 17, 240–247. [Google Scholar] [CrossRef]
- Hui, D.; Park, M.; Liu, D.; Paiva, C.E.; Suh, S.-Y.; Morita, T.; Bruera, E. Clinician prediction of survival versus the Palliative Prognostic Score: Which approach is more accurate? Eur. J. Cancer 2016, 64, 89–95. [Google Scholar] [CrossRef] [PubMed]
- Oken, M.M.; Creech, R.H.; Tormey, D.C.; Horton, J.; Davis, T.E.; McFadden, E.T.; Carbone, P.P. Toxicity and response criteria of the Eastern Cooperative Oncology Group. Am. J. Clin. Oncol. 1982, 5, 649–655. [Google Scholar] [CrossRef]
- Khaki, A.R.; Chennupati, S.; Fedorenko, C.; Li, L.; Sun, Q.; Grivas, P.; Ramsey, S.D.; Schwartz, S.M.; Shankaran, V. Utilization of Systemic Therapy in Patients with Cancer Near the End of Life in the Pre- Versus Postimmune Checkpoint Inhibitor Eras. JCO Oncol. Pr. 2021, 17, e1728–e1737. [Google Scholar] [CrossRef]
- Santini, D.; Zeppola, T.; Russano, M.; Citarella, F.; Anesi, C.; Buti, S.; Tucci, M.; Russo, A.; Sergi, M.C.; Adamo, V.; et al. PD-1/PD-L1 checkpoint inhibitors during late stages of life: An ad-hoc analysis from a large multicenter cohort. J. Transl. Med. 2021, 19, 270. [Google Scholar] [CrossRef] [PubMed]
- Glisch, C.; Saeidzadeh, S.; Snyders, T.; Gilbertson-White, S.; Hagiwara, Y.; Lyckholm, L. Immune Checkpoint Inhibitor Use Near the End of Life: A Single-Center Retrospective Study. J. Palliat. Med. 2020, 23, 977–979. [Google Scholar] [CrossRef]
- Middleton, G.; Brock, K.; Savage, J.; Mant, R.; Summers, Y.; Connibear, J.; Shah, R.; Ottensmeier, C.; Shaw, P.; Lee, S.-M.; et al. Pembrolizumab in patients with non-small-cell lung cancer of performance status 2 (PePS2): A single arm, phase 2 trial. Lancet Respir. Med. 2020, 8, 895–904. [Google Scholar] [CrossRef] [PubMed]
- Felip, E.; Ardizzoni, A.; Ciuleanu, T.; Cobo, M.; Laktionov, K.; Szilasi, M.; Califano, R.; Carcereny, E.; Griffiths, R.; Paz-Ares, L.; et al. CheckMate 171: A phase 2 trial of nivolumab in patients with previously treated advanced squamous non-small cell lung cancer, including ECOG PS 2 and elderly populations. Eur. J. Cancer 2020, 127, 160–172. [Google Scholar] [CrossRef] [PubMed]
- Petrillo, L.A.; El-Jawahri, A.; Nipp, R.D.; Lichtenstein, M.R.L.; Ba, S.M.D.; Reynolds, K.L.; Greer, J.A.; Temel, J.S.; Gainor, J.F. Performance status and end-of-life care among adults with non–small cell lung cancer receiving immune checkpoint inhibitors. Cancer 2020, 126, 2288–2295. [Google Scholar] [CrossRef]
- Facchinetti, F.; Mazzaschi, G.; Barbieri, F.; Passiglia, F.; Mazzoni, F.; Berardi, R.; Proto, C.; Cecere, F.L.; Pilotto, S.; Scotti, V.; et al. First-line pembrolizumab in advanced non–small cell lung cancer patients with poor performance status. Eur. J. Cancer 2020, 130, 155–167. [Google Scholar] [CrossRef]
- Carnio, S.; Mariniello, A.; Pizzutilo, P.; Numico, G.; Borra, G.; Lunghi, A.; Parra, H.S.; Buosi, R.; Vavalà, T.; Stura, I.; et al. ROC Analysis Identifies Baseline and Dynamic NLR and dNLR Cut-Offs to Predict ICI Outcome in 402 Advanced NSCLC Patients. J. Mol. Pathol. 2020, 1, 19–31. [Google Scholar] [CrossRef]
- Yoon, S.J.; Suh, S.Y.; Hui, D.; Choi, S.E.; Tatara, R.; Watanabe, H.; Otani, H.; Morita, T. Accuracy of the Palliative Prognostic Score with or without Clinicians’ Prediction of Survival in Patients with Far Advanced Cancer. J. Pain Symptom Manag. 2021, 61, 1180–1187. [Google Scholar] [CrossRef] [PubMed]
- Scarpi, E.; Nanni, O.; Maltoni, M. Development and Validation of the PaP Score Nomogram for Terminally Ill Cancer Patients. Cancers 2022, 14, 2510. [Google Scholar] [CrossRef] [PubMed]
- Passaro, A.; Novello, S.; Giannarelli, D.; Bria, E.; Galetta, D.; Gelibter, A.; Reale, M.; Carnio, S.; Vita, E.; Stefani, A.; et al. Early Progression in Non-Small Cell Lung Cancer (NSCLC) with High PD-L1 Treated with Pembrolizumab in First-Line Setting: A Prognostic Scoring System Based on Clinical Features. Cancers 2021, 13, 2935. [Google Scholar] [CrossRef]
- Takeuchi, E.; Kondo, K.; Okano, Y.; Kunishige, M.; Kondo, Y.; Kadota, N.; Machida, H.; Hatakeyama, N.; Naruse, K.; Ogino, H.; et al. Early mortality factors in immune checkpoint inhibitor monotherapy for advanced or metastatic non-small cell lung cancer. J. Cancer Res. Clin. Oncol. 2022, 1–9. [Google Scholar] [CrossRef]
- Di Federico, A.; De Giglio, A.; Parisi, C.; Gelsomino, F.; Ardizzoni, A. PD-1/PD-L1 inhibitor monotherapy or in combination with chemotherapy as upfront treatment for advanced NSCLC with PD-L1 expression ≥ 50%: Selecting the best strategy. Crit. Rev. Oncol. 2021, 160, 103302. [Google Scholar] [CrossRef]
- Di Federico, A.; De Giglio, A.; Nuvola, G.; Deiana, C.; Conci, N.; Gelsomino, F.; Ardizzoni, A. PD-(L)1 inhibitors as single-agent or in combination with chemotherapy for advanced, PD-L1-high non-small cell lung cancer: A meta-analysis. Futur. Oncol. 2021, 17, 4415–4424. [Google Scholar] [CrossRef] [PubMed]




| ICI During Last Month of Life | OS ≤ 30 Days | OS ≤ 90 Days | |||||||||
|---|---|---|---|---|---|---|---|---|---|---|---|
| Total (%) | No (%) | Yes (%) | p Value | No (%) | Yes (%) | p Value | No (%) | Yes (%) | p Value | ||
| Age | ≤65 | 58 (31.7) | 32 (31.4) | 26 (32.1) | 1.000 | 49 (31.8) | 9 (31.0) | 1.000 | 21 (40.4) | 37 (28.2) | 0.157 |
| >65 | 125 (68.3) | 70 (68.6) | 55 (67.9) | 105 (68.2) | 20 (69.0) | 31 (59.6) | 94 (71.8) | ||||
| Sex | Female | 69 (37.7) | 38 (37.3) | 31 (38.3) | 1.000 | 56 (36.4) | 13 (44.8) | 0.513 | 21 (40.4) | 48 (36.6) | 0.763 |
| Male | 114 (62.3) | 64 (62.7) | 50 (61.7) | 98 (63.6) | 16 (55.2) | 31 (59.6) | 83 (63.4) | ||||
| Smoking status | Current smoker | 34 (19.2) | 16 (16.7) | 18 (22.2) | 0.628 | 28 (18.9) | 6 (20.7) | 0.870 | 5 (10.4) | 29 (22.5) | 0.131 |
| Former smoker | 117 (66.1) | 66 (68.8) | 51 (63.0) | 99 (66.9) | 18 (62.1) | 37 (77.1) | 80 (62.0) | ||||
| Never smoker | 26 (14.7) | 14 (14.6) | 12 (14.8) | 21 (14.2) | 5 (17.2) | 6 (12.5) | 20 (15.5) | ||||
| Histology | Nonsquamous | 135 (73.8) | 70 (68.6) | 65 (80.2) | 0.108 | 114 (74.0) | 21 (72.4) | 1.000 | 39 (75.0) | 96 (73.3) | 0.959 |
| squamous | 48 (26.2) | 32 (31.4) | 16 (19.8) | 40 (26.0) | 8 (27.6) | 13 (25.0) | 35 (26.7) | ||||
| ECOG PS | <2 | 148 (82.2) | 87 (87.0) | 61 (76.2) | 0.093 | 130 (86.1) | 18 (62.1) | 0.005 | 47 (92.2) | 101 (78.3) | 0.048 |
| ≥2 | 32 (17.8) | 13 (13.0) | 19 (23.8) | 21 (13.9) | 11 (37.9) | 4 (7.8) | 28 (21.7) | ||||
| Steroid intake | No | 137 (74.9) | 78 (76.5) | 59 (72.8) | 0.696 | 118 (76.6) | 19 (65.5) | 0.302 | 42 (80.8) | 95 (72.5) | 0.331 |
| Yes | 46 (25.1) | 24 (23.5) | 22 (27.2) | 36 (23.4) | 10 (34.5) | 10 (19.2) | 36 (27.5) | ||||
| Antibiotic intake | No | 163 (89.1) | 90 (88.2) | 73 (90.1) | 0.866 | 137 (89.0) | 26 (89.7) | 1.000 | 48 (92.3) | 115 (87.8) | 0.534 |
| Yes | 20 (10.9) | 12 (11.8) | 8 (9.9) | 17 (11.0) | 3 (10.3) | 4 (7.7) | 16 (12.2) | ||||
| Metastatic sites | ≥3 | 91 (49.7) | 44 (43.1) | 47 (58.0) | 0.064 | 72 (46.8) | 19 (65.5) | 0.099 | 19 (36.5) | 72 (55.0) | 0.037 |
| 1–2 | 92 (50.3) | 58 (56.9) | 34 (42.0) | 82 (53.2) | 10 (34.5) | 33 (63.5) | 59 (45.0) | ||||
| PD-L1 status | ≥50% | 52 (47.7) | 31 (50.0) | 21 (44.7) | 0.630 | 43 (47.8) | 9 (47.4) | 0.635 | 16 (57.1) | 36 (44.4) | 0.493 |
| 0 | 36 (33.0) | 21 (33.9) | 15 (31.9) | 31 (34.4) | 5 (26.3) | 8 (28.6) | 28 (34.6) | ||||
| 1–49% | 21 (19.3) | 10 (16.1) | 11 (23.4) | 16 (17.8) | 5 (26.3) | 4 (14.3) | 17 (21.0) | ||||
| Line of treatment | ≥3 | 31 (16.9) | 17 (16.7) | 14 (17.3) | 0.676 | 27 (17.5) | 4 (13.8) | 0.200 | 8 (15.4) | 23 (17.6) | 0.763 |
| 1 | 40 (21.9) | 20 (19.6) | 20 (24.7) | 30 (19.5) | 10 (34.5) | 10 (19.2) | 30 (22.9) | ||||
| 2 | 112 (61.2) | 65 (63.7) | 47 (58.0) | 97 (63.0) | 15 (51.7) | 34 (65.4) | 78 (59.5) | ||||
| PaPwCPS | Mean (SD) | 2.5 (2.0) | 1.6 (1.8) | 3.0 (1.9) | 0.001 | 2.0 (1.9) | 3.6 (1.9) | 0.001 | 0.8 (1.3) | 2.9 (1.9) | <0.001 |
| dNLR | Mean (SD) | 3.2 (2.4) | 2.9 (2.3) | 3.4 (2.6) | 0.166 | 3.0 (2.3) | 3.8 (3.2) | 0.159 | 2.3 (1.7) | 3.5 (2.6) | 0.010 |
| LIPI | High | 23 (21.9) | 7 (14.0) | 16 (29.1) | 0.095 | 15 (18.1) | 8 (36.4) | 0.101 | 2 (7.4) | 21 (26.9) | 0.008 |
| Intermediate | 41 (39.0) | 19 (38.0) | 22 (40.0) | 32 (38.6) | 9 (40.9) | 8 (29.6) | 33 (42.3) | ||||
| Low | 41 (39.0) | 24 (48.0) | 17 (30.9) | 36 (43.4) | 5 (22.7) | 17 (63.0) | 24 (30.8) | ||||
| 30 Days Survival | 90 Days Survival | |||||||||
|---|---|---|---|---|---|---|---|---|---|---|
| AUC | 95% CI | Best Threshold (Closest Top-Left) | Best Threshold (Youden Method) | p Value (AUC PAP-wCPS vs. AUC LIPI) | AUC | 95% CI | Best Threshold (Closest Top-Left) | Best Threshold (Youden Method) | p Value (AUC PAP-wCPS vs. AUC LIPI) | |
| PAP-wCPS | 0.73 | 0.61–0.84 | 3.25 | 0.75 | 0.03 | 0.84 | 0.72–0.95 | 0.25 | 0.75 | 0.03 |
| LIPI | 0.59 | 0.46–0.72 | 0.5 | 0.5 | 0.71 | 0.59–0.84 | 0.5 | 0.5 | ||
| 30-Days | 90-Days | |||||
|---|---|---|---|---|---|---|
| All | HR (Univariable) | HR (Multivariable) | HR (Univariable) | HR (Multivariable) | ||
| Age | ≤65 | 29 (37.2) | - | - | - | - |
| >65 | 49 (62.8) | 0.82 (0.35–1.91, p = 0.643) | 0.81 (0.34–1.92, p = 0.632) | 0.85 (0.50–1.45, p = 0.554) | 1.01 (0.58–1.76, p = 0.974) | |
| Sex | Female | 26 (33.3) | - | - | - | - |
| Male | 52 (66.7) | 0.52 (0.22–1.21, p = 0.128) | 0.48 (0.20–1.16, p = 0.105) | 0.81 (0.48–1.38, p = 0.443) | 0.68 (0.39–1.20, p = 0.188) | |
| Line of treatment | 1 | 26 (33.3) | - | - | - | - |
| ≥3 | 10 (12.8) | - | - | 1.39 (0.63–3.05, p = 0.410) | 1.47 (0.64–3.40, p = 0.364) | |
| 2 | 42 (53.8) | 0.66 (0.29–1.53, p = 0.333) | 0.84 (0.34–2.05, p = 0.697) | 0.95 (0.45–2.01, p = 0.885) | 1.13 (0.53–2.43, p = 0.755) | |
| N. metastatic sites | ≥3 | 42 (53.8) | - | - | - | - |
| 1–2 | 36 (46.2) | 0.62 (0.26–1.48, p = 0.282) | 0.68 (0.27–1.71, p = 0.407) | 0.55 (0.33–0.94, p = 0.029) | 0.58 (0.33–1.03, p = 0.064) | |
| PaPwCPS score | Low | 47 (60.3) | - | - | - | - |
| High | 31 (39.7) | 2.78 (1.19–6.52, p = 0.019) | 2.69 (1.06–6.83, p = 0.037) | 4.02 (2.32–6.97, p < 0.001) | 4.01 (2.20–7.31, p < 0.001) | |
| 30 Days | 90 Days | |||||
|---|---|---|---|---|---|---|
| All | HR (Univariable) | HR (Multivariable) | HR (Univariable) | HR (Multivariable) | ||
| Age | ≤65 | 29 (37.2) | - | - | - | - |
| >65 | 49 (62.8) | 0.82 (0.35–1.91, p = 0.643) | 0.77 (0.33–1.83, p = 0.561) | 0.85 (0.50–1.45, p = 0.554) | 0.86 (0.50–1.48, p = 0.583) | |
| Sex | Female | 26 (33.3) | - | - | - | - |
| Male | 52 (66.7) | 0.52 (0.22–1.21, p = 0.128) | 0.46 (0.19–1.09, p = 0.076) | 0.81 (0.48–1.38, p = 0.443) | 0.63 (0.36–1.12, p = 0.114) | |
| Line of treatment | 1 | 26 (33.3) | - | - | - | - |
| ≥3 | 10 (12.8) | - | - | 1.39 (0.63–3.05, p = 0.410) | 2.03 (0.89–4.64, p = 0.091) | |
| 2 | 42 (53.8) | 0.66 (0.29–1.53, p = 0.333) | 0.58 (0.25–1.35, p = 0.206) | 0.95 (0.45–2.01, p = 0.885) | 0.97 (0.45–2.12, p = 0.945) | |
| N. metastatic sites | ≥3 | 42 (53.8) | - | - | - | - |
| 1–2 | 36 (46.2) | 0.62 (0.26–1.48, p = 0.282) | 0.64 (0.26–1.58, p = 0.334) | 0.55 (0.33–0.94, p = 0.029) | 0.55 (0.31–0.96, p = 0.035) | |
| LIPI score | Low | 28 (35.9) | - | - | - | - |
| High-intermediate | 50 (64.1) | 2.37 (0.87–6.42, p = 0.091) | 2.76 (0.98–7.82, p = 0.055) | 2.68 (1.50–4.79, p = 0.001) | 3.22 (1.71–6.07, p < 0.001) | |
Publisher’s Note: MDPI stays neutral with regard to jurisdictional claims in published maps and institutional affiliations. |
© 2022 by the authors. Licensee MDPI, Basel, Switzerland. This article is an open access article distributed under the terms and conditions of the Creative Commons Attribution (CC BY) license (https://creativecommons.org/licenses/by/4.0/).
Share and Cite
De Giglio, A.; Tassinari, E.; Zappi, A.; Di Federico, A.; Lenzi, B.; Sperandi, F.; Melotti, B.; Gelsomino, F.; Maltoni, M.; Ardizzoni, A. The Palliative Prognostic (PaP) Score without Clinical Evaluation Predicts Early Mortality among Advanced NSCLC Patients Treated with Immunotherapy. Cancers 2022, 14, 5845. https://doi.org/10.3390/cancers14235845
De Giglio A, Tassinari E, Zappi A, Di Federico A, Lenzi B, Sperandi F, Melotti B, Gelsomino F, Maltoni M, Ardizzoni A. The Palliative Prognostic (PaP) Score without Clinical Evaluation Predicts Early Mortality among Advanced NSCLC Patients Treated with Immunotherapy. Cancers. 2022; 14(23):5845. https://doi.org/10.3390/cancers14235845
Chicago/Turabian StyleDe Giglio, Andrea, Elisa Tassinari, Arianna Zappi, Alessandro Di Federico, Barbara Lenzi, Francesca Sperandi, Barbara Melotti, Francesco Gelsomino, Marco Maltoni, and Andrea Ardizzoni. 2022. "The Palliative Prognostic (PaP) Score without Clinical Evaluation Predicts Early Mortality among Advanced NSCLC Patients Treated with Immunotherapy" Cancers 14, no. 23: 5845. https://doi.org/10.3390/cancers14235845
APA StyleDe Giglio, A., Tassinari, E., Zappi, A., Di Federico, A., Lenzi, B., Sperandi, F., Melotti, B., Gelsomino, F., Maltoni, M., & Ardizzoni, A. (2022). The Palliative Prognostic (PaP) Score without Clinical Evaluation Predicts Early Mortality among Advanced NSCLC Patients Treated with Immunotherapy. Cancers, 14(23), 5845. https://doi.org/10.3390/cancers14235845

