Epidemiology of Undifferentiated Carcinomas
Abstract
Simple Summary
Abstract
1. Introduction
2. Materials and Methods
2.1. Patient Selection
2.2. Statistical Analysis
3. Results
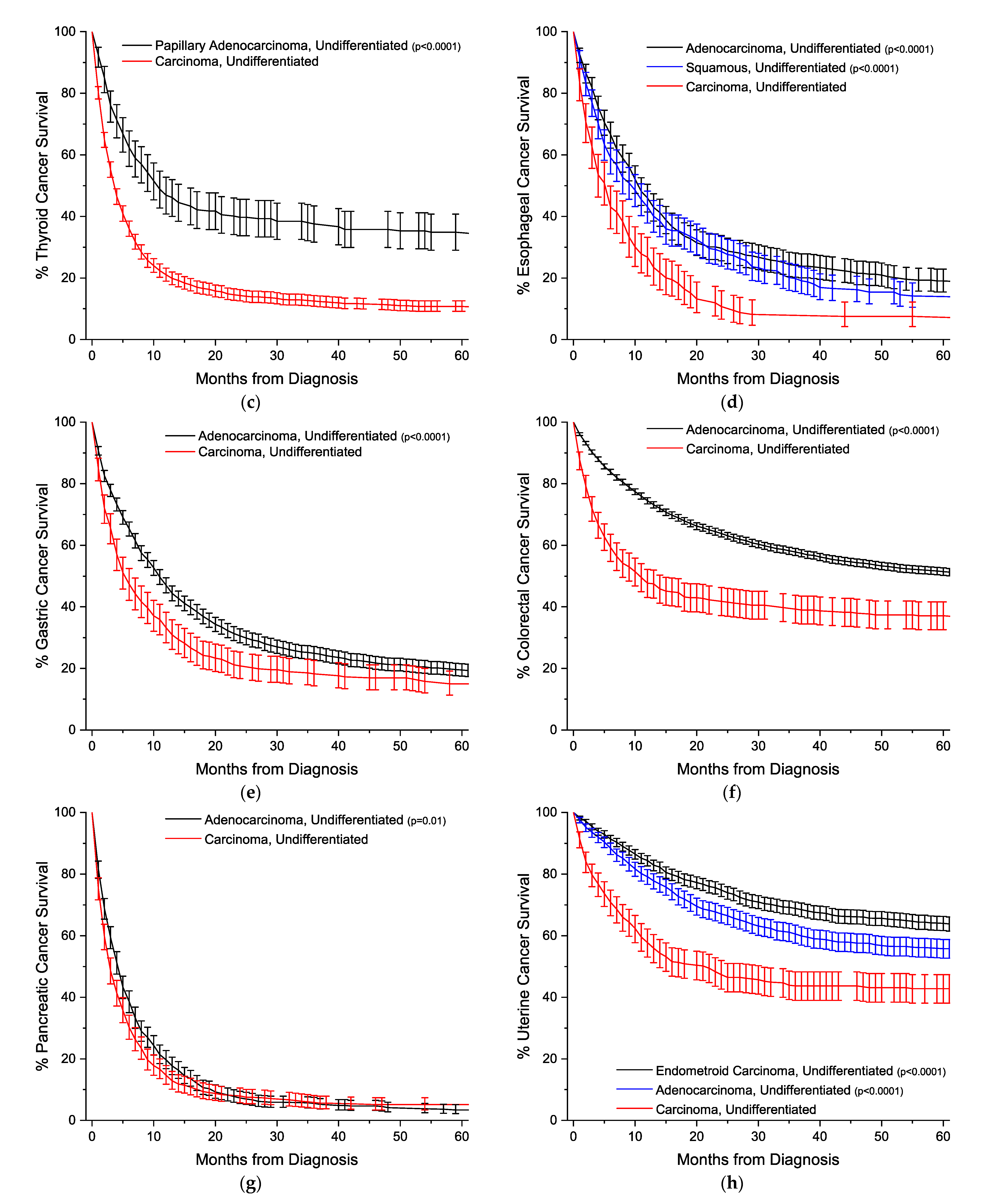
3.1. Distribution and Survival Curves for Undifferentiated Carcinomas by Site
3.2. Demographic and Mortality Regression Data by Site
4. Discussion
5. Conclusions
Supplementary Materials
Author Contributions
Funding
Institutional Review Board Statement
Informed Consent Statement
Data Availability Statement
Conflicts of Interest
References
- World Health Organization. Digestive System Tumours, WHO Classification of Tumours Series, 5th ed.; International Agency for Research on Cancer: Lyon, France, 2019. [Google Scholar]
- Akita, M.; Maeda, E.; Ishida, R.; Morikawa, T.; Nishimura, T.; Abe, K.; Kozuki, A.; Tanaka, T.; Imai, Y.; Kaneda, K. Aggressive behavior of anaplastic undifferentiated carcinoma arising from the hilar bile duct. Surg. Case Rep. 2022, 8, 14. [Google Scholar] [CrossRef] [PubMed]
- Franchi, A.; Skalova, A. Undifferentiated and dedifferentiated head and neck carcinomas. Semin. Diagn. Pathol. 2021, 38, 127–136. [Google Scholar] [CrossRef] [PubMed]
- Endo, S.; Nishikawa, K.; Yamada, T.; Nakagawa, T.; Fushimi, H.; Chihara, T.; Yamauchi, A.; Nishijima, J. Our experience of treating undifferentiated gastric carcinoma: Report of four cases. Surg. Today 2015, 45, 235–240. [Google Scholar] [CrossRef] [PubMed]
- Varadhachary, G.R. Carcinoma of unknown primary origin. Gastrointest. Cancer Res. 2007, 1, 229–235. [Google Scholar] [PubMed]
- Benesch, M.G.K.; Mathieson, A. Epidemiology of Signet Ring Cell Adenocarcinomas. Cancers 2020, 12, 1544. [Google Scholar] [CrossRef] [PubMed]
- Benesch, M.G.K.; Mathieson, A. Epidemiology of Mucinous Adenocarcinomas. Cancers 2020, 12, 3193. [Google Scholar] [CrossRef]
- Amin, M.B.; Greene, F.L.; Edge, S.B.; Compton, C.C.; Gershenwald, J.E.; Brookland, R.K.; Meyer, L.; Gress, D.M.; Byrd, D.R.; Winchester, D.P. The Eighth Edition AJCC Cancer Staging Manual: Continuing to build a bridge from a population-based to a more “personalized” approach to cancer staging. CA Cancer J. Clin. 2017, 67, 93–99. [Google Scholar] [CrossRef]
- Park, H.S.; Lloyd, S.; Decker, R.H.; Wilson, L.D.; Yu, J.B. Overview of the Surveillance, Epidemiology, and End Results Database: Evolution, Data Variables, and Quality Assurance. Curr. Probl. Cancer 2012, 36, 183–190. [Google Scholar] [CrossRef]
- Duggan, M.A.; Anderson, W.F.; Altekruse, S.; Penberthy, L.; Sherman, M.E. The Surveillance, Epidemiology, and End Results (SEER) Program and Pathology: Toward Strengthening the Critical Relationship. Am. J. Surg. Pathol. 2016, 40, e94–e102. [Google Scholar] [CrossRef]
- Rassy, E.; Pavlidis, N. Progress in refining the clinical management of cancer of unknown primary in the molecular era. Nat. Rev. Clin. Oncol. 2020, 17, 541–554. [Google Scholar] [CrossRef]
- Lin, F.; Liu, H. Immunohistochemistry in Undifferentiated Neoplasm/Tumor of Uncertain Origin. Arch. Pathol. Lab. Med. 2014, 138, 1583–1610. [Google Scholar] [CrossRef]
- Savage, D.G.; Antman, K.H. Imatinib mesylate—A new oral targeted therapy. N. Engl. J. Med. 2002, 346, 683–693. [Google Scholar] [CrossRef]
- Bedard, P.L.; Hyman, D.M.; Davids, M.S.; Siu, L.L. Small molecules, big impact: 20 years of targeted therapy in oncology. Lancet 2020, 395, 1078–1088. [Google Scholar] [CrossRef]
- Zhong, L.; Li, Y.; Xiong, L.; Wang, W.; Wu, M.; Yuan, T.; Yang, W.; Tian, C.; Miao, Z.; Wang, T.; et al. Small molecules in targeted cancer therapy: Advances, challenges, and future perspectives. Signal Transduct. Target. Ther. 2021, 6, 201. [Google Scholar] [CrossRef]
- Liu, Y.-P.; Zheng, C.-C.; Huang, Y.-N.; He, M.-L.; Xu, W.W.; Li, B. Molecular mechanisms of chemo- and radiotherapy resistance and the potential implications for cancer treatment. MedComm 2021, 2, 315–340. [Google Scholar] [CrossRef]
- Prete, A.; Borges de Souza, P.; Censi, S.; Muzza, M.; Nucci, N.; Sponziello, M. Update on Fundamental Mechanisms of Thyroid Cancer. Front. Endocrinol. 2020, 11, 102. [Google Scholar] [CrossRef]
- Fanelli, G.N.; Dal Pozzo, C.A.; Depetris, I.; Schirripa, M.; Brignola, S.; Biason, P.; Balistreri, M.; Dal Santo, L.; Lonardi, S.; Munari, G.; et al. The heterogeneous clinical and pathological landscapes of metastatic Braf-mutated colorectal cancer. Cancer Cell Int. 2020, 20, 30. [Google Scholar] [CrossRef]
- Zhang, X.; Zhang, Y. Bladder Cancer and Genetic Mutations. Cell Biochem. Biophys. 2015, 73, 65–69. [Google Scholar] [CrossRef]
- Gupta, P.B.; Pastushenko, I.; Skibinski, A.; Blanpain, C.; Kuperwasser, C. Phenotypic Plasticity: Driver of Cancer Initiation, Progression, and Therapy Resistance. Cell Stem Cell 2019, 24, 65–78. [Google Scholar] [CrossRef]
- Naoum, G.E.; Morkos, M.; Kim, B.; Arafat, W. Novel targeted therapies and immunotherapy for advanced thyroid cancers. Mol. Cancer 2018, 17, 51. [Google Scholar] [CrossRef]
- Denaro, N.; Merlano, M.; Numico, G.; Garrone, O.; Bossi, P. Complete response to immunotherapy in sinonasal undifferentiated carcinoma. Tumori 2021, 107, Np101–Np104. [Google Scholar] [CrossRef] [PubMed]
- Triana-Martínez, F.; Loza, M.I.; Domínguez, E. Beyond Tumor Suppression: Senescence in Cancer Stemness and Tumor Dormancy. Cells 2020, 9, 346. [Google Scholar] [CrossRef] [PubMed]





| Site | Nasopharyngeal | Salivary Gland | Thyroid | ||||||||
|---|---|---|---|---|---|---|---|---|---|---|---|
| Squamous Ca | Undiff. Ca | p-Value | Mucoepi. Ca | Squamous Ca | Undiff. Ca | p-Value | Pap. Adeno. Ca | Undiff. Ca | p-Value | ||
| N | - | 97 | 288 | - | 666 | 111 | 258 | - | 293 | 1879 | - |
| Age Group (Years) (%) | 0–14 | 1 (1.0) | 3 (1.0) | 0.96 | 9 (1.4) | 0 (0) | 1 (0.4) | 0.004 | 0 (0) | 0 (0) | <0.001 |
| 15–29 | 7 (7.2) | 18 (6.2) | 22 (3.3) | 2 (1.8) | 2 (0.8) | 8 (2.7) | 3 (0.2) | ||||
| 30–49 | 33 (34.0) | 111 (38.5) | 88 (13.2) | 7 (6.3) | 37 (14.3) | 36 (12.3) | 88 (4.7) | ||||
| 50–65 | 40 (41.2) | 117 (40.6) | 247 (37.1) | 31 (27.9) | 82 (31.8) | 109 (37.2) | 735 (39.1) | ||||
| 70–85 | 15 (15.5) | 36 (12.5) | 233 (35.0) | 50 (45.0) | 106 (41.1) | 111 (37.9) | 795 (42.3) | ||||
| >85 | 1 (1.0) | 3 (1.0) | 67 (10.1) | 21 (18.9) | 30 (11.6) | 29 (9.9) | 258 (13.7) | ||||
| Mean (SD) | - | 52.3 (16.1) | 51.4 (15.6) | 0.65 | 64.3 (17.7) | 70.8 (15.4) | 68.0 (15.4) | <0.001 | 66.2 (15.6) | 70.7 (12.4) | <0.001 |
| Sex (%) | Male | 72 (74.2) | 198 (68.8) | 0.31 | 444 (66.7) | 88 (79.3) | 166 (64.3) | 0.015 | 107 (36.5) | 702 (37.4) | 0.78 |
| Female | 25 (25.8) | 90 (31.2) | 222 (33.3) | 23 (20.7) | 92 (35.7) | 186 (63.5) | 1177 (62.6) | ||||
| Race | White | 42 (43.3) | 98 (34.0) | 0.12 | 555 (83.3) | 99 (89.2) | 227 (88.0) | 0.14 | 247 (84.3) | 1525 (81.2) | 0.21 |
| Black | 10 (10.3) | 22 (7.6) | 59 (8.9) | 5 (4.5) | 12 (4.7) | 12 (4.1) | 127 (6.8) | ||||
| Other | 45 (46.4) | 168 (58.3) | 52 (7.8) | 7 (6.3) | 19 (7.4) | 34 (11.6) | 227 (12.1) | ||||
| Detection Stage | Localized | 9 (9.3) | 27 (9.4) | 0.69 | 199 (29.9) | 21 (18.9) | 95 (36.8) | <0.001 | 32 (10.9) | 132 (7.0) | <0.001 |
| Regional | 68 (70.1) | 185 (64.2) | 316 (47.4) | 58 (52.3) | 99 (38.4) | 107 (36.5) | 463 (24.6) | ||||
| Distant | 15 (15.5) | 54 (18.8) | 143 (21.5) | 27 (24.3) | 48 (18.6) | 150 (51.2) | 1174 (62.5) | ||||
| Unstaged | 5 (5.2) | 22 (7.6) | 8 (1.2) | 5 (4.5) | 16 (6.2) | 4 (1.4) | 110 (5.9) | ||||
| Surgery | Yes | 84 (86.6) | 250 (86.8) | 0.96 | 634 (95.2) | 99 (89.2) | 235 (91.1) | 0.01 | 242 (82.6) | 975 (51.9) | <0.001 |
| No | 13 (13.4) | 38 (13.2) | 32 (4.8) | 12 (10.8) | 23 (8.9) | 51 (17.4) | 904 (48.1) | ||||
| Chemotherapy | Yes | 37 (38.1) | 109 (37.8) | 0.96 | 77 (11.6) | 20 (18.0) | 23 (8.9) | 0.04 | 93 (31.7) | 724 (38.5) | 0.03 |
| No | 60 (61.9) | 179 (62.2) | 589 (88.4) | 91 (82.0) | 235 (91.1) | 200 (68.3) | 1155 (61.5) | ||||
| Radiotherapy | Yes | 90 (92.8) | 268 (93.1) | 0.93 | 524 (78.7) | 75 (67.6) | 176 (68.2) | <0.001 | 181 (61.8) | 1068 (56.8) | 0.11 |
| No | 7 (7.2) | 20 (6.9) | 142 (21.3) | 36 (32.4) | 82 (1.8) | 112 (38.2) | 811 (43.2) | ||||
| CSS % | 1-year | 92 (90–93) | 93 (90–95) | - | 87 (83–90) | 87 (75–93) | 91 (84–95) | - | 46 (39–52) | 17 (15–19) | - |
| (95% CI) | 2-year | 85 (83–87) | 85 (82–88) | 76 (71–80) | 70 (56–80) | 81 (72–87) | 39 (33–46) | 11 (9–13) | |||
| 5-year | 74 (71–77) | 75 (71–79) | 62 (56–67) | 50 (35–64) | 64 (55–73) | 34 (28–40) | 8 (7–10) | ||||
| Median | Months | - | - | - | - | - | 10.5 | 3.3 | |||
| RS % | 1-year | 92 (89–94) | 91 (89–93) | - | 87 (83–90) | 79 (65–87) | 90 (82–95) | - | 45 (38–51) | 17 (15–19) | - |
| (95% CI) | 2-year | 84 (81–87) | 83 (81–86) | 75 (69–80) | 61 (46–73) | 80 (70–87) | 39 (32–45) | 11 (9–12) | |||
| 5-year | 73 (69–77) | 72 (69–75) | 54 (48–60) | 47 (30–62) | 63 (52–72) | 29 (27–41) | 8 (6–10) | ||||
| Median | Months | - | - | 59 | 47 | - | 10.1 | 3.1 | |||
| Site | Esophageal | Gastric | Colorectal | ||||||||
| Adeno. Ca | Squamous Ca | Undiff. Ca | p-value | Adeno. Ca | Undiff. Ca | p-Value | Adeno. Ca | Undiff. Ca | p-Value | ||
| N | - | 519 | 416 | 238 | - | 1923 | 465 | - | 8025 | 594 | - |
| Age Group (Years) (%) | 0–14 | 0 (0) | 0 (0) | 0 (0) | 0.01 | 0 (0) | 0 (0) | 0.67 | 0 (0) | 0 (0) | 0.09 |
| 15–29 | 1 (0.2) | 0 (0) | 2 (0.8) | 15 (0.8) | 1 (0.2) | 54 (0.7) | 3 (0.5) | ||||
| 30–49 | 42 (8.1) | 19 (4.6) | 11 (4.6) | 169 (8.8) | 45 (9.7) | 744 (9.3) | 49 (8.2) | ||||
| 50–65 | 253 (48.7) | 208 (50.0) | 109 (45.8) | 787 (40.9) | 193 (41.5) | 2956 (36.8) | 190 (32.0) | ||||
| 70–85 | 188 (36.2) | 165 (39.7) | 88 (37.0) | 794 (41.3) | 186 (40.0) | 3217 (40.1) | 265 (44.6) | ||||
| >85 | 35 (6.7) | 24 (5.8) | 28 (11.8) | 158 (8.2) | 40 (8.6) | 1054 (13.1) | 87 (14.6) | ||||
| Mean (SD) | - | 66.8 (11.9) | 67.8 (10.9) | 69.0 (12.6) | 0.06 | 67.7 (13.3) | 67.9 (13.1) | 0.75 | 69.0 (14.1) | 70.4 (13.9) | 0.02 |
| Sex (%) | Male | 435 (83.8) | 276 (66.3) | 163 (68.5) | <0.001 | 1235 (64.2) | 292 (62.8) | 0.57 | 3516 (43.8) | 242 (40.7) | 0.15 |
| Female | 84 (16.2) | 140 (33.7) | 75 (31.5) | 688 (35.8) | 173 (37.2) | 4509 (56.2) | 352 (59.3) | ||||
| Race | White | 502 (96.7) | 324 (77.9) | 201 (84.5) | <0.001 | 1498 (77.9) | 371 (79.8) | 0.21 | 6980 (87.0) | 537 (90.4) | 0.05 |
| Black | 4 (0.8) | 61 (14.7) | 24 (10.1) | 166 (8.6) | 45 (9.7) | 593 (7.4) | 30 (5.1) | ||||
| Other | 13 (2.5) | 31 (7.5) | 13 (5.5) | 259 (13.5) | 49 (10.5) | 452 (5.6) | 27 (4.5) | ||||
| Detection Stage | Localized | 102 (19.7) | 86 (20.7) | 36 (15.1) | <0.001 | 266 (13.8) | 54 (11.6) | <0.001 | 1478 (18.4) | 80 (13.5) | <0.001 |
| Regional | 175 (33.7) | 107 (25.7) | 52 (21.8) | 803 (41.8) | 138 (29.7) | 4209 (52.4) | 222 (37.4) | ||||
| Distant | 207 (39.9) | 127 (30.5) | 90 (37.8) | 718 (37.3) | 217 (46.7) | 2222 (27.7) | 267 (44.9) | ||||
| Unstaged | 35 (6.7) | 96 (23.1) | 60 (25.2) | 136 (7.1) | 56 (12.0) | 116 (1.4) | 25 (4.2) | ||||
| Surgery | Yes | 257 (49.5) | 257 (61.8) | 144 (60.5) | <0.001 | 1477 (76.8) | 362 (77.8) | 0.63 | 7615 (94.9) | 542 (91.2) | <0.001 |
| No | 262 (50.5) | 159 (38.2) | 94 (39.5) | 446 (23.2) | 103 (22.2) | 410 (5.1) | 52 (8.8) | ||||
| Chemotherapy | Yes | 279 (53.8) | 160 (38.5) | 80 (33.6) | <0.001 | 716 (37.2) | 149 (32.0) | 0.04 | 3410 (42.5) | 153 (25.8) | <0.001 |
| No | 240 (46.2) | 256 (61.5) | 158 (66.4) | 1207 (62.8) | 316 (68.0) | 4615 (57.5) | 441 (64.2) | ||||
| Radiotherapy | Yes | 247 (47.6) | 253 (60.8) | 129 (54.2) | <0.001 | 369 (19.2) | 76 (16.3) | 0.16 | 739 (9.2) | 60 (10.1) | 0.47 |
| No | 272 (52.4) | 163 (39.2) | 109 (45.8) | 1554 (80.8) | 389 (83.7) | 7286 (90.8) | 534 (89.9) | ||||
| CSS % | 1-year | 50 (44–56) | 45 (35–53) | 20 (12–30) | - | 50 (46–54) | 37 (28–46) | - | 75 (74–77) | 43 (35–50) | - |
| (95% CI) | 2-year | 32 (27–38) | 29 (21–38) | 14 (7–23) | 34 (30–38) | 27 (19–35) | 65 (63–66) | 36 (29–43) | |||
| 5-year | 20 (15–25) | 18 (12–26) | 7 (2–15) | 22 (19–26) | 19 (12–27) | 52 (51–54) | 32 (25–39) | ||||
| Median | Months | 12.0 | 8.5 | 3.8 | 12.0 | 5.3 | - | 7.4 | |||
| RS % | 1-year | 48 (43–54) | 41 (32–50) | 20 (12–31) | - | 50 (46–53) | 36 (27–45) | - | 74 (73–75) | 40 (33–47) | - |
| (95% CI) | 2-year | 31 (26–36) | 28 (20–36) | 12 (6–21) | 34 (30–37) | 25 (17–34) | 64 (62–65) | 35 (28–42) | |||
| 5-year | 19 (15–25) | 16 (10–24) | 6 (2–14) | 22 (19–26) | 18 (11–27) | 52 (51–54) | 30 (22–37) | ||||
| Median | Months | 11.6 | 8.1 | 3.7 | 11.8 | 5.2 | - | 6.4 | |||
| Pancreatic | Uterine | Ovarian | |||||||||
| Adeno. Ca | Undiff. Ca | p-Value | Endomet. Ca | Adeno. Ca | Undiff. Ca | p-Value | CystAdeno. Ca | Undiff. Ca | p-Value | ||
| N | - | 939 | 758 | - | 1896 | 1169 | 515 | - | 10,241 | 840 | - |
| Age Group (Years) (%) | 0–14 | 0 (0) | 0 (0) | 0.40 | 0 (0) | 0 (0) | 0 (0) | <0.001 | 0 (0) | 1 (0.1) | <0.001 |
| 15–29 | 2 (0.2) | 1 (0.1) | 5 (0.3) | 2 (0.2) | 3 (0.6) | 21 (0.2) | 17 (2.0) | ||||
| 30–49 | 50 (5.3) | 55 (7.3) | 170 (9.0) | 79 (6.8) | 47 (9.1) | 1371 (13.4) | 137 (16.3) | ||||
| 50–65 | 472 (50.3) | 361 (47.6) | 1070 (56.4) | 588 (50.3) | 261 (50.7) | 5721 (55.9) | 410 (48.8) | ||||
| 70–85 | 365 (38.9) | 293 (38.7) | 555 (29.3) | 418 (35.8) | 163 (31.7) | 2864 (28.0) | 248 (29.5) | ||||
| >85 | 50 (5.3) | 48 (6.3) | 96 (5.1) | 82 (7.0) | 41 (8.0) | 264 (2.6) | 27 (3.2) | ||||
| Mean (SD) | - | 67.5 (11.1) | 67.1 (11.8) | 0.49 | 64.7 (12.1) | 67.2 (11.9) | 66.0 (12.8) | <0.001 | 62.9 (11.8) | 62.0 (14.0) | 0.04 |
| Sex (%) | Male | 498 (53.0) | 479 (63.2) | <0.001 | - | - | - | - | - | - | - |
| Female | 441 (47.0) | 279 (36.8) | 1896 (100) | 1169 (100) | 515 (100) | 10,241 (100) | 840 (100) | ||||
| Race | White | 814 (86.7) | 625 (82.5) | 0.002 | 1555 (82.0) | 1005 (86.0) | 408 (79.2) | 0.002 | 8812 (86.0) | 735 (87.5) | 0.34 |
| Black | 81 (8.6) | 65 (8.6) | 190 (10.0) | 90 (7.7) | 50 (9.7) | 582 (5.7) | 38 (4.5) | ||||
| Other | 44 (4.7) | 68 (9.0) | 151 (8.0) | 74 (6.3) | 57 (11.1) | 847 (8.3) | 67 (8.0) | ||||
| Detection Stage | Localized | 52 (5.5) | 41 (5.4) | 0.19 | 885 (46.7) | 569 (48.7) | 140 (27.2) | <0.001 | 427 (4.2) | 77 (9.2) | <0.001 |
| Regional | 252 (26.8) | 171 (22.6) | 664 (35.0) | 285 (24.4) | 161 (31.3) | 1631 (15.9) | 140 (16.7) | ||||
| Distant | 579 (61.7) | 491 (64.8) | 307 (16.2) | 254 (21.7) | 196 (38.1) | 8112 (79.2) | 605 (72.0) | ||||
| Unstaged | 56 (6.0) | 55 (7.3) | 40 (2.1) | 61 (5.2) | 18 (3.5) | 71 (0.7) | 18 (2.1) | ||||
| Surgery | Yes | 461 (49.1) | 432 (57.0) | 0.001 | 1726 (91.0) | 1030 (88.1) | 448 (87.0) | 0.005 | 9802 (95.7) | 790 (94.0) | 0.02 |
| No | 478 (50.9) | 326 (43.0) | 170 (9.0) | 139 (11.9) | 67 (13.0) | 439 (4.3) | 50 (6.0) | ||||
| Chemotherapy | Yes | 404 (43.0) | 265 (35.0) | <0.001 | 692 (36.5) | 252 (21.6) | 217 (42.1) | <0.001 | 8835 (86.3) | 575 (68.5) | <0.001 |
| No | 535 (57.0) | 493 (65.0) | 1204 (63.5) | 917 (78.4) | 298 (57.9) | 1406 (13.7) | 265 (31.5) | ||||
| Radiotherapy | Yes | 161 (17.1) | 109 (14.4) | 0.12 | 937 (49.4) | 601 (51.4) | 239 (46.4) | 0.16 | 116 (1.1) | 60 (7.1) | <0.001 |
| No | 778 (82.9) | 649 (85.6) | 959 (50.6) | 568 (48.6) | 276 (53.6) | 10,125 (98.9) | 780 (92.9) | ||||
| CSS % | 1-year | 26 (21–30) | 14 (10–19) | - | 83 (81–85) | 74 (69–78) | 58 (52–63) | - | 89.7 (89.0–90.4) | 73 (67–77) | - |
| (95% CI) | 2-year | 10 (7–14) | 7 (5–11) | 75 (72–77) | 59 (54–63) | 46 (41–52) | 76.8 (75.8–77.7) | 63 (57–68) | |||
| 5-year | 4 (3–7) | 4 (2–7) | 62 (60–65) | 48 (43–53) | 40 (35–46) | 44 (43–46) | 44 (38–49) | ||||
| Median | Months | 5.2 | 2.8 | - | 39.1 | 16.8 | 51.8 | 43.6 | |||
| RS % | 1-year | 25 (21–30) | 15 (11–19) | - | 82 (80–84) | 71 (67–76) | 57 (51–62) | - | 90.0 (89.2–90.6) | 72 (67–77) | - |
| (95% CI) | 2-year | 10 (7–13) | 8 (5–11) | 72 (70–75) | 57 (52–62) | 46 (40–51) | 77.5 (76.5–78.4) | 60 (56–67) | |||
| 5-year | 4 (2–6) | 4 (2–7) | 61 (58–64) | 44 (39–49) | 39 (33–45) | 42 (44–47) | 43 (37–48) | ||||
| Median | Months | 5.0 | 2.7 | - | 32.7 | 16.0 | 52.8 | 42.9 | |||
| Breast | Lung | ||||||||||
| Ductal | Lobular | Undiff. Ca | p-Value | Adeno. Ca | Squamous Ca | Undiff. Ca | p-Value | ||||
| N | - | 12,563 | 1787 | 796 | - | 2810 | 2054 | 2727 | - | ||
| Age Group (Years) (%) | 0–14 | 0 (0) | 0 (0) | 0 (0) | <0.001 | 0 (0) | 0 (0) | 1 (<0.1) | <0.001 | ||
| 15–29 | 148 (1.2) | 8 (0.4) | 10 (1.3) | 4 (0.1) | 0 (0) | 2 (0.1) | |||||
| 30–49 | 3739 (29.8) | 417 (23.3) | 183 (23.0) | 229 (8.1) | 82 (4.0) | 204 (7.5) | |||||
| 50–65 | 5636 (44.9) | 814 (45.6) | 356 (44.7) | 1433 (51.0) | 939 (45.7) | 1235 (45.3) | |||||
| 70–85 | 2598 (20.7) | 466 (26.1) | 200 (25.1) | 1043 (37.1) | 941 (45.8) | 1157 (42.4) | |||||
| >85 | 442 (3.5) | 82 (4.6) | 47 (5.9) | 101 (3.6) | 92 (4.5) | 128 (4.7) | |||||
| Mean (SD) | - | 58.1 (14.5) | 61.1 (14.0) | 61.0 (15.0) | <0.001 | 66.2 (11.3) | 68.8 (10.1) | 67.3 (11.4) | <0.001 | ||
| Sex (%) | Male | 75 (0.6) | 5 (0.3) | 4 (0.5) | 0.24 | 1520 (54.1) | 1277 (62.2) | 1644 (60.3) | <0.001 | ||
| Female | 12,488 (99.4) | 1782 (99.7) | 792 (99.5) | 1290 (45.9) | 777 (37.8) | 1083 (39.7) | |||||
| Race | White | 10,450 (83.2) | 1589 (88.9) | 670 (84.2) | <0.001 | 2397 (85.3) | 1790 (87.1) | 2241 (82.2) | <0.001 | ||
| Black | 1174 (9.3) | 120 (6.7) | 86 (10.8) | 241 (8.6) | 172 (8.4) | 283 (10.4) | |||||
| Other | 939 (7.5) | 78 (4.4) | 40 (5.0) | 172 (6.1) | 92 (4.5) | 203 (7.4) | |||||
| Detection Stage | Localized | 6789 (53.9) | 932 (52.2) | 326 (41.0) | <0.001 | 411 (14.6) | 397 (19.3) | 324 (11.9) | <0.001 | ||
| Regional | 4834 (38.5) | 737 (41.2) | 327 (41.1) | 777 (27.7) | 743 (36.2) | 654 (24.0) | |||||
| Distant | 816 (6.5) | 102 (5.7) | 117 (14.7) | 1526 (54.3) | 834 (40.6) | 1626 (59.6) | |||||
| Unstaged | 144 (1.1) | 16 (0.9) | 26 (3.3) | 96 (3.4) | 80 (3.9) | 123 (4.5) | |||||
| Surgery | Yes | 12,043 (95.9) | 1743 (97.5) | 736 (92.5) | <0.001 | 1276 (45.4) | 1035 (50.4) | 1234 (45.3) | <0.001 | ||
| No | 520 (4.1) | 44 (2.5) | 60 (7.5) | 1534 (54.6) | 1019 (49.6) | 1493 (54.7) | |||||
| Chemotherapy | Yes | 5698 (45.4) | 700 (39.2) | 389 (48.9) | <0.001 | 1179 (42.0) | 689 (33.5) | 1002 (36.7) | <0.001 | ||
| No | 6865 (54.6) | 1087 (60.8) | 407 (51.1) | 1631 (58.0) | 1365 (66.5) | 1725 (63.3) | |||||
| Radiotherapy | Yes | 4818 (38.4) | 627 (35.1) | 310 (38.9) | 0.03 | 1213 (43.2) | 942 (45.9) | 1158 (42.5) | 0.05 | ||
| No | 7745 (61.6) | 1160 (64.9) | 486 (61.1) | 1597 (56.8) | 1112 (54.1) | 1569 (57.5) | |||||
| CSS % | 1-year | 95.8 (95.2–96.3) | 98 (96–99) | 93 (90–96) | - | 51 (48–53) | 50 (47–53) | 35 (33–38) | - | ||
| (95% CI) | 2-year | 90.6 (89.8–91.4) | 95 (93–96) | 86 (82–90) | 37 (34–39) | 35 (31–38) | 26 (24–29) | ||||
| 5-year | 80.8 (79.7–81.9) | 85 (82–87) | 77 (71–81) | 24 (22–27) | 23 (21–26) | 19 (17–22) | |||||
| Median | Months | - | - | - | 12.5 | 12.0 | 6.7 | ||||
| RS % | 1-year | 95.9 (95.3–96.5) | 98 (96–99) | 93 (89–96) | - | 50 (47–52) | 47 (44–50) | 34 (31–36) | - | ||
| (95% CI) | 2-year | 91.0 (90.1–91.8) | 96 (93–97) | 86 (81–89) | 35 (33–38) | 32 (29–35) | 24 (22–27) | ||||
| 5-year | 81.2 (79.9–82.4) | 86 (82–88) | 77 (71–82) | 23 (21–26) | 20 (17–23) | 17 (15–20) | |||||
| Median | Months | - | - | - | 11.8 | 10.7 | 6.0 | ||||
| Urinary Bladder | Unknown Primary | ||||||||||
| Pap. Trans. Ca | Trans. Cell Ca | Undiff. Ca | p-Value | Adeno. Ca | Small Cell Ca | Undiff. Ca | p-Value | ||||
| N | - | 47,662 | 37,156 | 276 | - | 346 | 426 | 1658 | - | ||
| Age Group (Years) (%) | 0–14 | 1 (<0.1) | 0 (0) | 0 (0) | 0.07 | 0 (0) | 1 (0.2) | 2 (0.1) | 0.09 | ||
| 15–29 | 31 (0.1) | 14 (<0.1) | 0 (0) | 2 (0.6) | 3 (0.7) | 28 (1.7) | |||||
| 30–49 | 1304 (2.7) | 1078 (2.9) | 9 (3.3) | 41 (11.8) | 30 (7.0) | 167 (10.1) | |||||
| 50–65 | 16,442 (34.5) | 12,830 (34.5) | 85 (30.8) | 145 (41.9) | 173 (40.6) | 709 (42.8) | |||||
| 70–85 | 22,763 (47.8) | 17,439 (46.9) | 143 (51.8) | 125 (36.1) | 179 (42.0) | 637 (38.4) | |||||
| >85 | 7121 (14.9) | 5795 (15.6) | 39 (14.1) | 33 (9.5) | 40 (9.4) | 115 (6.9) | |||||
| Mean (SD) | - | 72.6 (11.3) | 72.7 (11.4) | 73.0 (11.6) | 0.70 | 67.0 (13.9) | 68.5 (13.1) | 66.3 (14.1) | 0.01 | ||
| Sex (%) | Male | 38,019 (79.8) | 27,659 (74.4) | 180 (65.2) | <0.001 | 172 (49.7) | 234 (54.9) | 892 (53.8) | 0.30 | ||
| Female | 9643 (20.2) | 9497 (25.6) | 96 (34.8) | 174 (50.3) | 192 (45.1) | 766 (46.2) | |||||
| Race | White | 42,870 (89.9) | 33,020 (88.9) | 242 (87.7) | <0.001 | 308 (89.0) | 386 (90.6) | 1433 (86.4) | 0.13 | ||
| Black | 2245 (4.7) | 2261 (6.1) | 25 (9.1) | 22 (6.4) | 26 (6.1) | 126 (7.6) | |||||
| Other | 2547 (5.3) | 1875 (5.0) | 9 (3.3) | 16 (4.6) | 14 (3.3) | 99 (6.0) | |||||
| Detection Stage | In Situ | 14,924 (31.3) | 2162 (5.8) | 0 (0) | <0.001 | - | - | - | - | ||
| Localized | 26,789 (56.2) | 20,495 (55.2) | 75 (27.2) | - | - | - | |||||
| Regional | 4084 (8.6) | 9827 (26.7) | 107 (38.8) | - | - | - | |||||
| Distant | 1461 (3.1) | 3821 (10.3) | 64 (23.2) | - | - | - | |||||
| Unstaged | 404 (0.8) | 851 (2.3) | 30 (10.9) | 346 (100) | 426 (100) | 1658 (100) | |||||
| Surgery | Yes | 46,405 (97.4) | 35,218 (94.8) | 254 (92.0) | <0.001 | 288 (83.2) | 318 (74.6) | 1511 (91.1) | <0.001 | ||
| No | 1257 (2.6) | 1938 (5.2) | 22 (8.0) | 58 (16.8) | 108 (25.4) | 147 (8.9) | |||||
| Chemotherapy | Yes | 11,885 (24.9) | 11,670 (31.4) | 55 (19.9) | <0.001 | 131 (37.9) | 160 (37.6) | 437 (26.4) | <0.001 | ||
| No | 35,777 (75.1) | 25,486 (68.6) | 221 (80.1) | 215 (62.1) | 266 (62.4) | 1221 (73.6) | |||||
| Radiotherapy | Yes | 2544 (5.3) | 5390 (14.5) | 96 (34.8) | <0.001 | 95 (27.5) | 98 (23.0) | 552 (33.3) | <0.001 | ||
| No | 45,118 (94.7) | 31,766 (85.5) | 180 (65.2) | 251 (72.5) | 328 (77.0) | 1106 (66.7) | |||||
| CSS % | 1-year | 92.1 (91.8–92.4) | 75.2 (74.6–75.8) | 42 (28–56) | - | 20 (12–30) | 22 (16–28) | 28 (23–32) | - | ||
| (95% CI) | 2-year | 86.4 (86.0–86.8) | 62.9 (62.2–63.5) | 36 (22–49) | 10 (4.4–18) | 13 (8.5–19) | 20 (16–24) | ||||
| 5-year | 76.7 (76.2–77.2) | 51.5 (50.8–52.2) | 27 (15–40) | 6.7 (2.3–14) | 11 (6.9–17) | 16 (12–20) | |||||
| Median | Months | - | - | 10.6 | 1.9 | 2.1 | 3.5 | ||||
| RS % | 1-year | 91.8 (91.4–92.2) | 72.8 (72.2–73.5) | 38 (25–52) | - | 18 (11–27) | 20 (14–26) | 25 (21–29) | - | ||
| (95% CI) | 2-year | 86.0 (85.5–86.4) | 60.2 (59.5–60.9) | 33 (20–47) | 7.5 (3.1–15) | 12 (7.9–18) | 17 (14–21) | ||||
| 5-year | 75.9 (75.2–76.6) | 48.4 (47.6–49.2) | 27 (15–40) | 5.2 (1.7–12) | 9.8 (5.9–15) | 13 (10–17) | |||||
| Median | Months | - | 52.4 | 8.5 | 1.8 | 1.9 | 2.8 | ||||
| Site | Nasopharyngeal | Salivary Gland | Thyroid | |||||
|---|---|---|---|---|---|---|---|---|
| Carcinoma Undiff. vs. Squamous Cell Undiff. | Carcinoma Undiff. vs. Mucoepidermoid Carcinoma Undiff. | Carcinoma Undiff. vs. Squamous Cell Undiff. | Carcinoma Undiff. vs. Papillary Adeno Ca Undiff. | |||||
| HR (95% CI) | Univariate | Multivariable | Univariate | Multivariable | Univariate | Multivariable | Univariate | Multivariable |
| Undiff. Histology | 0.7 (0.5–0.9) | 0.6 (0.4–0.8) | 1.1 (0.9–1.4) * | 1.1 (0.9–1.4) * | 1.0 (0.7–1.4) * | 1.3 (0.9–1.9) * | 2.0 (1.7–2.3) | 1.7 (1.4–1.9) |
| Age (per 10 years) | 1.3 (1.1–1.4) | 1.3 (1.2–1.5) | 1.23 (1.15–1.32) | 1.24 (1.15–1.33) | 1.1 (1.0–1.3) | 1.2 (1.1–1.3) | 1.25 (1.20–1.30) | 1.2 (1.1–1.3) |
| Sex (Female) | 1.0 (0.7–1.3) * | 0.9 (0.6–1.2) * | 0.8 (0.6–1.0) | 0.8 (0.7–1.0) * | 0.9 (0.6–1.3) * | 0.9 (0.6–1.3) * | 1.0 (0.9–1.1) * | 1.0 (0.9–1.1) * |
| Race | ||||||||
| Black | 0.9 (0.5–1.5) * | 1.2 (0.7–2.0) * | 0.6 (0.4–0.9) | 0.7 (0.4–1.1) * | 0.9 (0.4–2.0) * | 1.3 (0.5–2.9) * | 1.0 (0.8–1.2) * | 1.1 (0.9–1.3) * |
| Other | 0.6 (0.5–0.8) | 0.6 (0.4–0.8) | 0.7 (0.4–1.0) * | 0.6 (0.4–1.0) | 0.7 (0.4–1.4) * | 0.6 (0.3–1.2) * | 1.1 (0.9–1.2) * | 1.0 (0.9–1.2) * |
| Detection Stage | ||||||||
| Regional | 1.3 (0.8–2.3) * | 1.4 (0.8–2.5) * | 2.7 (1.7–3.0) | 2.3 (1.7–3.0) | 2.1 (1.3–3.2) | 2.1 (1.4–3.3) | 1.9 (1.5–2.5) | 2.1 (1.6–2.7) |
| Distant | 3.8 (2.1–6.8) | 5.1 (2.8–9.3) | 4.3 (3.2–5.8) | 3.7 (2.7–5.1) | 4.3 (2.7–6.8) | 3.7 (2.2–6.0) | 3.6 (2.8–4.5) | 3.5 (2.8–4.5) |
| Unstaged | 1.5 (0.7–3.1) | 1.4 (0.7–3.0) * | 3.3 (1.8–6.1) | 2.2 (1.1–4.1) | 2.5 (1.2–5.2) | 2.2 (1.0–4.5) | 2.7 (2.0–3.7) | 1.8 (1.3–2.5) |
| Surgery (Yes) | 0.9 (0.6–1.4) * | 1.0 (0.7–1.6) * | 0.4 (0.2–0.5) | 0.5 (0.3–0.7) | 0.6 (0.4–0.9) | 0.7 (0.4–1.2) * | 0.49 (0.44–0.54) | 0.63 (0.57–0.71) |
| Chemotherapy (Yes) | 1.2 (0.9–1.6) * | 1.3 (0.92–1.71) * | 2.1 (1.6–2.8) | 1.7 (1.3–2.3) | 2.3 (1.5–3.4) | 2.0 (1.2–3.2) | 0.9 (0.8–1.0) * | 0.88 (0.78–0.98) |
| Radiotherapy (Yes) | 0.5 (0.3–0.8) | 0.6 (0.3–1.0) | 0.9 (0.7–1.1) * | 0.8 (0.6–1.0) * | 1.2 (0.8–1.7) * | 1.0 (0.7–1.4) * | 0.73 (0.66–0.81) | 0.7 (0.6–0.8) |
| Site | Esophageal | Gastric | Colorectal | |||||
| Carcinoma Undff. vs. Adenocarcinoma Undiff. | Carcinoma Undiff. vs. Squamous Cell Undiff. | Carcinoma Undff. vs. Adenocarcinoma Undiff. | Carcinoma Undff. vs. Adenocarcinoma Undiff. | |||||
| HR (95% CI) | Univariate | Multivariable | Univariate | Multivariable | Univariate | Multivariable | Univariate | Multivariable |
| Undiff. Histology | 1.7 (1.5–2.1) | 1.6 (1.3–2.0) | 1.5 (1.3–1.9) | 1.4 (1.2–1.7) | 1.3 (1.2–1.5) | 1.3 (1.1–1.4) | 1.8 (1.6–2.0) | 1.5 (1.4–1.7) |
| Age (per 10 years) | 1.03 (0.96–1.11) * | 1.0 (0.9–1.1) * | 1.1 (1.0–1.2) * | 1.12 (1.02–1.22) | 1.04 (1.01–1.09) | 1.05 (1.01–1.10) | 1.05 (1.02–1.07) | 1.13 (1.10–1.16) |
| Sex (Female) | 1.0 (0.9–1.3) * | 1.0 (0.8–1.2) * | 0.8 (0.7–1.0) * | 0.8 (0.7–1.0) * | 1.0 (0.9–1.1) * | 1.0 (0.9–1.1) * | 0.92 (0.86–0.98) | 0.90 (0.84–0.96) |
| Race | ||||||||
| Black | 1.8 (1.1–2.8) | 1.2 (0.8–2.0) * | 1.0 (0.7–1.3) * | 1.0 (0.8–1.4) * | 0.9 (0.8–1.1) * | 1.0 (0.8–1.2) * | 1.0 (0.9–1.2) * | 1.0 (0.9–1.1) * |
| Other | 1.0 (0.6–1.6) * | 0.9 (0.5–1.4) * | 0.6 (0.5–0.9) | 0.7 (0.5–0.9) | 0.7 (0.6–0.8) | 0.83 (0.71–0.97) | 0.91 (0.79–1.04) * | 0.91 (0.79–1.04) * |
| Detection Stage | ||||||||
| Regional | 1.6 (1.2–2.1) | 2.0 (1.5–2.6) | 1.2 (0.9–1.5) * | 1.3 (1.0–1.8) * | 2.0 (1.7–2.4) | 2.4 (2.0–2.8) | 3.0 (2.7–3.5) | 3.6 (3.1–4.1) |
| Distant | 3.1 (2.4–4.0) | 3.3 (2.5–4.3) | 2.3 (1.8–3.0) | 2.6 (2.0–3.5) | 5.1 (4.3–6.1) | 5.6 (4.7–6.8) | 12 (11–14) | 16 (14–18) |
| Unstaged | 2.8 (2.0–3.8) | 2.3 (1.6–3.2) | 1.5 (1.1–2.0) | 1.4 (1.1–1.9) | 3.8 (3.0–4.8) | 3.5 (2.7–4.5) | 7.1 (5.5–9.4) | 5.5 (4.2–7.3) |
| Surgery (Yes) | 0.6 (0.5–0.7) | 0.7 (0.5–0.8) | 0.9 (0.8–1.1) * | 0.9 (0.7–1.1) * | 0.54 (0.48–0.61) | 0.70 (0.61–0.80) | 0.32 (0.28–0.35) | 0.56 (0.50–0.64) |
| Chemotherapy (Yes) | 0.9 (0.8–1.0) * | 0.7 (0.5–0.8) | 0.6 (0.5–0.8) | 0.5 (0.4–0.7) | 0.94 (0.85–1.04) * | 0.76 (0.68–0.86) | 1.08 (1.01–1.15) | 0.67 (0.63–0.72) |
| Radiotherapy (Yes) | 1.0 (0.8–1.2) * | 0.9 (0.8–1.1) * | 0.8 (0.6–0.9) | 0.9 (0.7–1.1) * | 0.75 (0.66–0.85) | 0.78 (0.68–0.89) | 1.13 (1.03–1.25) | 1.08 (0.97–1.19) * |
| Site | Pancreatic | Uterine | Ovarian | |||||
| Carcinoma Undff. vs. Adenocarcinoma Undiff. | Carcinoma Undiff. vs. Endometrioid Carcinoma Undiff. | Carcinoma Undiff. vs. Adenocarcinoma Undiff. | Carcinoma Undiff. vs.Cystadenocarcinoma Undiff. | |||||
| HR (95% CI) | Univariate | Multivariable | Univariate | Multivariable | Univariate | Multivariable | Univariate | Multivariable |
| Undiff. Histology | 1.14 (1.02–1.28) | 1.09 (0.97–1.23) * | 2.1 (1.8–2.5) | 1.8 (1.5–2.0) | 1.7 (1.4–1.9) | 1.4 (1.2–1.6) | 1.2 (1.1–1.3) | 1.2 (1.1–1.4) |
| Age (per 10 years) | 1.09 (1.03–1.14) | 1.06 (1.00–1.11) | 1.14 (1.08–1.21) | 1.13 (1.06–1.19) | 1.12 (1.05–1.19) | 1.16 (1.09–1.23) | 1.22 (1.19–1.25) | 1.18 (1.16–1.21) |
| Sex (Female) | 0.87 (0.79–0.98) | 0.93 (0.83–1.04) * | - | - | - | - | - | - |
| Race | ||||||||
| Black | 1.0 (0.9–1.3) * | 1.0 (0.8–1.2) * | 1.4 (1.1–1.7) | 1.2 (1.0–1.5) * | 1.6 (1.2–2.1) | 1.2 (1.0–1.6) * | 1.3 (1.1–1.4) | 1.3 (1.1–1.4) |
| Other | 1.0 (0.8–1.3) * | 0.9 (0.7–1.1) * | 1.0 (0.8–1.3) * | 1.1 (0.8–1.3) * | 1.0 (0.8–1.4) * | 1.0 (0.8–1.3) * | 0.85 (0.77–0.93) | 0.87 (0.79–0.95) |
| Detection Stage | ||||||||
| Regional | 1.2 (0.9–1.5) * | 1.4 (1.1–1.8) | 3.1 (2.6–3.7) | 3.4 (2.8–4.1) | 3.3 (2.7–4.0) | 3.4 (2.7–4.1) | 1.9 (1.6–2.4) | 2.0 (1.6–2.5) |
| Distant | 2.1 (1.6–2.7) | 2.3 (1.8–3.0) | 9.5 (7.9–11) | 8.3 (6.7–10) | 8.5 (7.0–10) | 8.0 (6.5–9.8) | 5.6 (4.6–6.9) | 6.0 (4.9–7.3) |
| Unstaged | 1.5 (1.1–2.1) | 1.4 (1.0–1.9) | 4.8 (3.2–7.3) | 2.1 (1.4–3.3) | 2.6 (1.7–3.8) | 1.8 (1.2–2.7) | 6.7 (4.8–9.3) | 3.8 (2.7–5.3) |
| Surgery (Yes) | 0.86 (0.77–0.96) | 1.0 (0.9–1.1) * | 0.24 (0.20–0.29) | 0.37 (0.30–0.45) | 0.29 (0.23–0.35) | 0.48 (0.39–0.59) | 0.31 (0.27–0.34) | 0.39 (0.35–0.44) |
| Chemotherapy (Yes) | 0.64 (0.57–0.72) | 0.63 (0.56–0.72) | 1.7 (1.5–1.9) | 0.9 (0.8–1.0) * | 1.8 (1.6–2.1) | 0.9 (0.7–1.0) * | 0.78 (0.73–0.84) | 0.67 (0.62–0.72) |
| Radiotherapy (Yes) | 0.62 (0.54–0.71) | 0.80 (0.69–0.93) | 0.61 (0.53–0.69) | 0.67 (0.59–0.76) | 0.70 (0.61–0.80) | 0.77 (0.67–0.89) | 1.3 (1.1–1.6) | 1.3 (1.1–1.6) |
| Site | Breast | Lung | ||||||
| Carcinoma Undff. vs. Ductal Undiff. | Carcinoma Undff. vs. Lobular Undiff. | Carcinoma Undff. vs. Adenocarcinoma Undiff. | Carcinoma Undiff. vs. Squamous Cell Undiff. | |||||
| HR (95% CI) | Univariate | Multivariable | Univariate | Multivariable | Univariate | Multivariable | Univariate | Multivariable |
| Undiff. Histology | 1.4 (1.3–1.6) | 1.17 (1.04–1.32) | 1.5 (1.3–1.8) | 1.3 (1.1–1.5) | 1.3 (1.2–1.4) | 1.26 (1.18–1.33) | 1.3 (1.2–1.4) | 1.15 (1.07–1.23) |
| Age (per 10 years) | 1.08 (1.06–1.11) | 1.09 (1.06–1.12) | 1.09 (1.04–1.15) | 1.12 (1.07–1.19) | 1.06 (1.03–1.09) | 1.07 (1.04–1.10) | 1.05 (1.02–1.09) | 1.07 (1.03–1.10) |
| Sex (Female) | 0.61 (0.44–0.86) | 0.74 (0.52–1.03) * | 0.9 (0.3–2.8) * | 1.1 (0.3–3.3) * | 0.89 (0.83–0.94) | 0.85 (0.79–0.90) | 0.94 (0.87–1.00) * | 0.90 (0.84–0.96) |
| Race | ||||||||
| Black | 1.3 (1.2–1.4) | 1.2 (1.1–1.4) | 1.4 (1.1–1.8) | 1.4 (1.1–1.8) | 1.14 (1.03–1.27) | 1.01 (0.91–1.13) * | 1.2 (1.1–1.3) | 1.0 (0.9–1.2) * |
| Other | 0.8 (0.7–0.9) | 0.85 (0.75–0.97) | 0.9 (0.7–1.3) * | 1.0 (0.7–1.3) * | 0.91 (0.80–1.03) * | 0.83 (0.73–0.95) | 1.1 (0.9–1.2) * | 0.9 (0.8–1.1) * |
| Detection Stage | ||||||||
| Regional | 2.9 (2.7–3.1) | 2.9 (2.7–3.1) | 3.0 (2.6–3.6) | 3.2 (2.7–3.8) | 1.8 (1.6–2.1) | 1.9 (1.7–2.2) | 1.7 (1.5–1.9) | 1.7 (1.5–2.0) |
| Distant | 14 (13–16) | 12 (11–14) | 18 (15–23) | 18 (14–22) | 5.0 (4.5–5.6) | 5.0 (4.4–5.6) | 4.8 (4.2–5.3) | 4.5 (3.9–5.0) |
| Unstaged | 6.2 (5.0–7.6) | 4.6 (3.7–5.7) | 8.2 (5.5–12) | 6.8 (4.4–10) | 3.5 (2.9–4.2) | 3.0 (2.5–3.6) | 3.1 (2.6–3.8) | 2.6 (2.1–3.2) |
| Surgery (Yes) | 0.20 (0.18–0.22) | 0.53 (0.47–0.60) | 0.20 (0.15–0.25) | 0.8 (0.6–1.0) * | 0.48 (0.45–0.51) | 0.71 (0.66–0.76) | 0.47 (0.44–0.50) | 0.69 (0.64–0.75) |
| Chemotherapy (Yes) | 1.34 (1.26–1.43) | 1.0 (0.9–1.1) * | 1.4 (1.3–1.6) | 1.0 (0.8–1.1) * | 1.07 (1.01–1.14) | 0.69 (0.65–0.74) | 1.04 (0.97–1.12) * | 0.70 (0.65–0.76) |
| Radiotherapy (Yes) | 0.90 (0.84–0.95) | 0.87 (0.82–0.93) | 1.0 (0.9–1.2) * | 0.9 (0.8–1.1) * | 1.5 (1.4–1.6) | 1.2 (1.1–1.3) | 1.5 (1.4–1.6) | 1.2 (1.1–1.3) |
| Site | Urinary Bladder | Unknown Primary | ||||||
| Carcinoma Undff. vs. Papillary Transition Cell Undiff. | Carcinoma Undiff. vs. Transitional Cell Undiff. | Carcinoma Undff. vs. Adenocarcinoma Undiff. | Carcinoma Undff. vs. Small Cell Carcinoma Undiff. | |||||
| HR (95% CI) | Univariate | Multivariable | Univariate | Multivariable | Univariate | Multivariable | Univariate | Multivariable |
| Undiff. Histology | 4.6 (3.9–5.4) | 1.7 (1.4–2.0) | 1.9 (1.7–2.3) | 1.3 (1.2–1.6) | 0.82 (0.71–0.94) | 0.85 (0.74–0.98) | 1.17 (1.01–1.35) | 1.3 (1.1–1.5) |
| Age (per 10 years) | 1.44 (1.41–1.46) | 1.49 (1.46–1.52) | 1.27 (1.25–1.29) | 1.34 (1.32–1.36) | 1.10 (1.05–1.13) | 1.11 (1.07–1.16) | 1.08 (1.04–1.12) | 1.10 (1.06–1.15) |
| Sex (Female) | 1.26 (1.20–1.31) | 1.09 (1.04–1.14) | 1.36 (1.32–1.41) | 1.17 (1.14–1.21) | 0.95 (0.86–1.06) * | 0.93 (0.83–1.03) * | 1.0 (0.9–1.1) * | 1.0 (0.9–1.1) * |
| Race | ||||||||
| Black | 1.28 (1.19–1.39) | 1.34 (1.24–1.45) | 1.35 (1.27–1.43) | 1.3 (1.2–1.4) | 1.2 (1.0–1.5) | 1.3 (1.1–1.6) | 1.3 (1.1–1.6) | 1.3 (1.1–1.6) |
| Other | 0.93 (0.86–1.01) * | 0.94 (0.87–1.02) * | 0.85 (0.79–0.91) | 0.85 (0.79–0.92) | 0.9 (0.7–1.1) * | 0.9 (0.7–1.2) * | 0.9 (0.7–1.2) * | 0.9 (0.7–1.2) * |
| Detection Stage | ||||||||
| In Situ | 0.42 (0.40–0.45) | 0.43 (0.41–0.45) | 0.38 (0.35–0.43) | 0.39 (0.35–0.43) | - | - | - | - |
| Regional | 2.8 (2.6–2.9) | 2.8 (2.7–3.0) | 1.78 (1.72–1.84) | 1.9 (1.8–2.0) | - | - | - | - |
| Distant | 9.2 (8.7–9.8) | 9.5 (8.9–10) | 5.1 (4.9–5.3) | 5.6 (5.4–5.9) | - | - | - | - |
| Unstaged | 1.7 (1.5–2.0) | 1.5 (1.3–1.8) | 1.5 (1.4–1.7) | 1.3 (1.2–1.5) | - | - | - | - |
| Surgery (Yes) | 0.76 (0.68–0.84) | 0.73 (0.65–0.81) | 0.72 (0.67–0.77) | 0.76 (0.71–0.82) | 0.9 (0.7–1.0) * | 0.9 (0.7–1.1) * | 0.9 (0.8–1.1) * | 0.9 (0.8–1.1) * |
| Chemotherapy (Yes) | 1.28 (1.23–1.33) | 0.92 (0.88–0.96) | 1.12 (1.09–1.16) | 0.89 (0.86–0.92) | 1.2 (1.1–1.3) | 1.2 (1.1–1.4) | 1.17 (1.04–1.31) | 1.3 (1.1–1.4) |
| Radiotherapy (Yes) | 3.5 (3.3–3.6) | 1.7 (1.6–1.8) | 1.75 (1.69–1.82) | 1.33 (1.28–1.38) | 0.78 (0.70–0.87) | 0.8 (0.7–0.9) | 0.77 (0.69–0.87) | 0.81 (0.72–0.91) |
Publisher’s Note: MDPI stays neutral with regard to jurisdictional claims in published maps and institutional affiliations. |
© 2022 by the authors. Licensee MDPI, Basel, Switzerland. This article is an open access article distributed under the terms and conditions of the Creative Commons Attribution (CC BY) license (https://creativecommons.org/licenses/by/4.0/).
Share and Cite
Benesch, M.G.K.; O’Brien, S.B.L. Epidemiology of Undifferentiated Carcinomas. Cancers 2022, 14, 5819. https://doi.org/10.3390/cancers14235819
Benesch MGK, O’Brien SBL. Epidemiology of Undifferentiated Carcinomas. Cancers. 2022; 14(23):5819. https://doi.org/10.3390/cancers14235819
Chicago/Turabian StyleBenesch, Matthew G. K., and Shalana B. L. O’Brien. 2022. "Epidemiology of Undifferentiated Carcinomas" Cancers 14, no. 23: 5819. https://doi.org/10.3390/cancers14235819
APA StyleBenesch, M. G. K., & O’Brien, S. B. L. (2022). Epidemiology of Undifferentiated Carcinomas. Cancers, 14(23), 5819. https://doi.org/10.3390/cancers14235819

