Nomogram-Based Survival Predictions and Treatment Recommendations for Locally Advanced Esophageal Squamous Cell Carcinoma Treated with Upfront Surgery
Abstract
Simple Summary
Abstract
1. Introduction
2. Materials and Methods
2.1. Study Population
2.2. Data Extraction, Evaluation, and Follow-Up
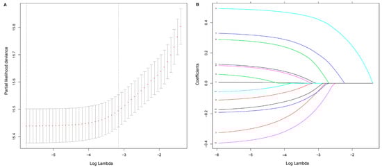
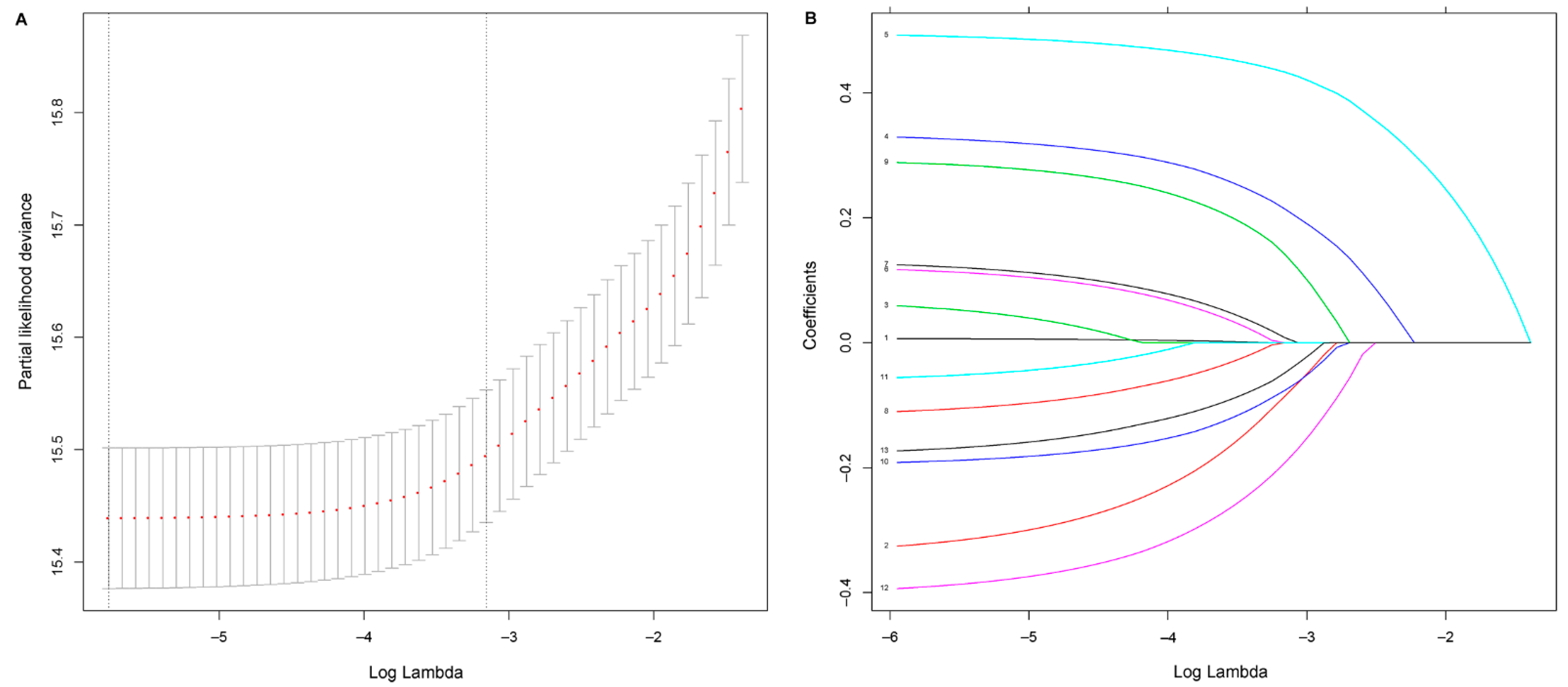
2.3. Nomogram Construction
2.4. Nomogram Assessment and Validation
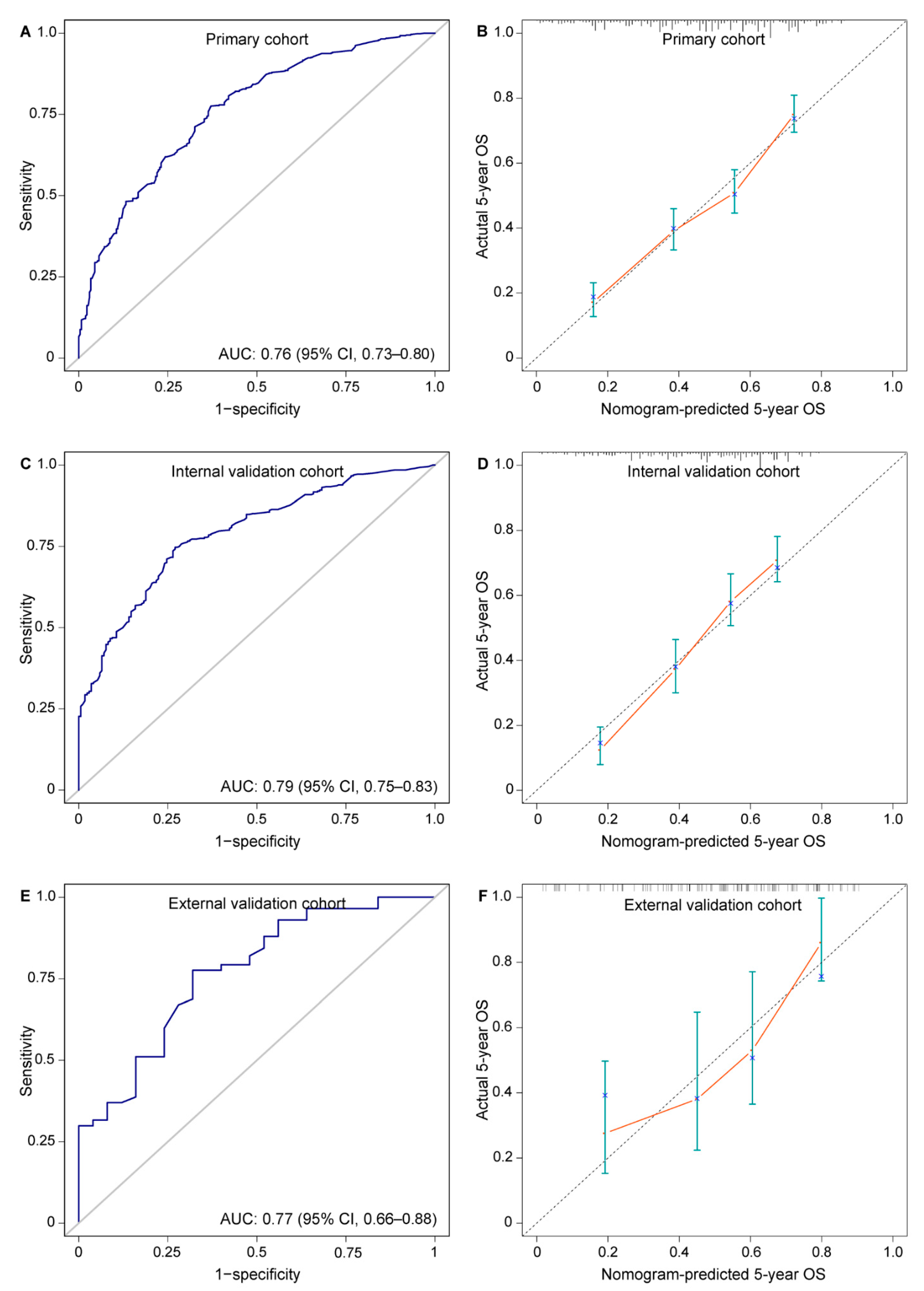
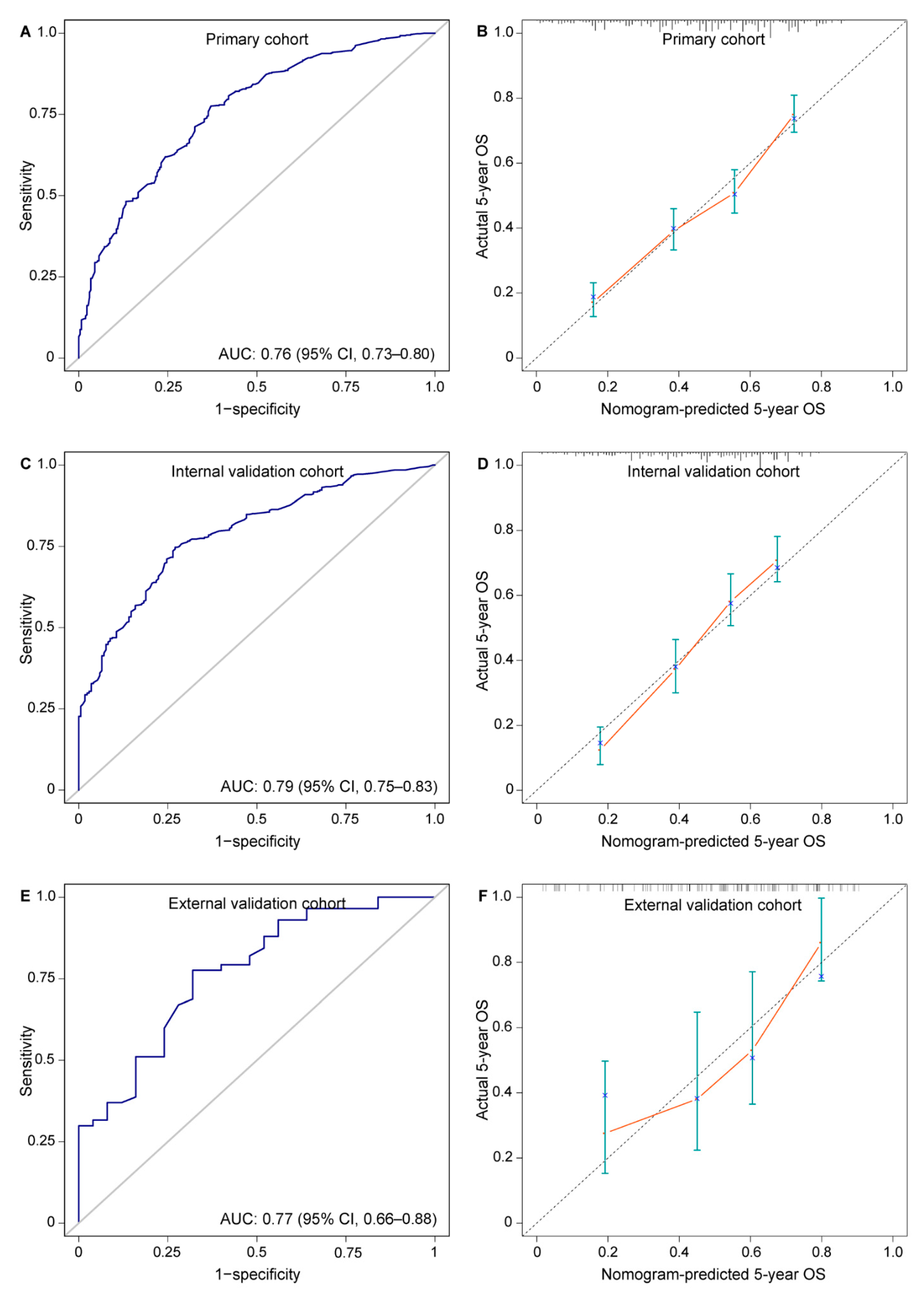
2.4.1. Discrimination
2.4.2. Calibration
2.4.3. Internal and External Validations
2.5. Statistical Analysis
3. Results
4. Discussion
5. Conclusions
Supplementary Materials
Author Contributions
Funding
Institutional Review Board Statement
Informed Consent Statement
Data Availability Statement
Acknowledgments
Conflicts of Interest
References
- Bray, F.; Ferlay, J.; Soerjomataram, I.; Siegel, R.L.; Torre, L.A.; Jemal, A. Global cancer statistics 2018: GLOBOCAN estimates of incidence and mortality worldwide for 36 cancers in 185 countries. CA Cancer J. Clin. 2018, 68, 394–424. [Google Scholar] [CrossRef]
- Chen, W.; Zheng, R.; Baade, P.D.; Zhang, S.; Zeng, H.; Bray, F.; Jemal, A.; Yu, X.Q.; He, J. Cancer statistics in China, 2015. CA Cancer J. Clin. 2016, 66, 115–132. [Google Scholar] [CrossRef]
- Yang, H.; Liu, H.; Chen, Y.; Zhu, C.; Fang, W.; Yu, Z.; Mao, W.; Xiang, J.; Han, Y.; Chen, Z.; et al. Neoadjuvant chemoradiotherapy followed by surgery versus surgery alone for locally advanced squamous cell carcinoma of the esophagus (NEOCRTEC5010): A phase III multicenter, randomized, open-label clinical trial. J. Clin. Oncol. 2018, 36, 2796–2803. [Google Scholar] [CrossRef] [PubMed]
- Ni, W.; Yu, S.; Xiao, Z.; Zhou, Z.; Chen, D.; Feng, Q.; Liang, J.; Lv, J.; Gao, S.; Mao, Y.; et al. Postoperative adjuvant therapy versus surgery alone for stage IIB-III esophageal squamous cell carcinoma: A phase III randomized controlled trial. Oncologist 2021, 26, e2151-60. [Google Scholar] [CrossRef] [PubMed]
- Wang, Q.; Lang, J.; Li, T.; Peng, L.; Dai, W.; Jiang, Y.; Xie, T.; Fang, Q.; Wang, Y.; Wu, L.; et al. Postoperative adjuvant chemotherapy versus chemoradiotherapy for node-positive esophageal squamous cell carcinoma: A propensity score-matched analysis. Radiat. Oncol. 2020, 15, 119. [Google Scholar] [CrossRef] [PubMed]
- Wang, Q.; Peng, L.; Li, T.; Dai, W.; Jiang, Y.; Xie, T.; Fang, Q.; Wang, Y.; Wu, L.; Cao, B.; et al. Postoperative chemotherapy for thoracic pathological T3N0M0 esophageal squamous cell carcinoma. Ann. Surg. Oncol. 2020, 27, 1488–1495. [Google Scholar] [CrossRef]
- Yang, J.; Zhang, W.; Xiao, Z.; Wang, Q.; Zhou, Z.; Zhang, H.; Chen, D.; Feng, Q.; He, J.; Gao, S.; et al. The impact of postoperative conformal radiotherapy after radical surgery on survival and recurrence in pathologic T3N0M0 esophageal carcinoma: A propensity score-matched analysis. J. Thorac. Oncol. 2017, 12, 1143–1151. [Google Scholar] [CrossRef]
- Speicher, P.J.; Englum, B.R.; Ganapathi, A.M.; Mulvihill, M.S.; Hartwig, M.G.; Onaitis, M.W.; D’Amico, T.A.; Berry, M.F. Adjuvant chemotherapy is associated with improved survival after esophagectomy without induction therapy for node-positive adenocarcinoma. J. Thorac. Oncol. 2015, 10, 181–188. [Google Scholar] [CrossRef]
- Deng, W.; Zhang, W.; Yang, J.; Ni, W.; Yu, S.; Li, C.; Chang, X.; Zhou, Z.; Chen, D.; Feng, Q.; et al. Nomogram to predict overall survival for thoracic esophageal squamous cell carcinoma patients after radical esophagectomy. Ann. Surg. Oncol. 2019, 26, 2890–2898. [Google Scholar] [CrossRef]
- Cao, J.; Yuan, P.; Wang, L.; Wang, Y.; Ma, H.; Yuan, X.; Lv, W.; Hu, J. Clinical nomogram for predicting survival of esophageal cancer patients after esophagectomy. Sci. Rep. 2016, 6, 1–8. [Google Scholar] [CrossRef]
- Albert, J.M.; Liu, D.D.; Shen, Y.; Pan, I.-W.; Shih, Y.-C.T.; Hoffman, K.E.; Buchholz, T.; Giordano, S.H.; Smith, B.D. Nomogram to predict the benefit of radiation for older patients with breast cancer treated with conservative surgery. J. Clin. Oncol. 2012, 30, 2837–2843. [Google Scholar] [CrossRef] [PubMed]
- Walz, J.; Gallina, A.; Saad, F.; Montorsi, F.; Perrotte, P.; Shariat, S.F.; Jeldres, C.; Graefen, M.; Bénard, F.; McCormack, M.; et al. A nomogram predicting 10-year life expectancy in candidates for radical prostatectomy or radiotherapy for prostate cancer. J. Clin. Oncol. 2007, 25, 3576–3581. [Google Scholar] [CrossRef] [PubMed]
- Han, D.-S.; Suh, Y.-S.; Kong, S.-H.; Lee, H.-J.; Choi, Y.; Aikou, S.; Sano, T.; Park, B.-J.; Kim, W.-H.; Yang, H.-K. Nomogram predicting long-term survival after d2 gastrectomy for gastric cancer. J. Clin. Oncol. 2012, 30, 3834–3840. [Google Scholar] [CrossRef] [PubMed]
- Yang, Y.; Zhang, Y.-J.; Zhu, Y.; Cao, J.-Z.; Yuan, Z.-Y.; Xu, L.-M.; Wu, J.-X.; Wang, W.; Wu, T.; Lu, B.; et al. Prognostic nomogram for overall survival in previously untreated patients with extranodal NK/T-cell lymphoma, nasal-type: A multicenter study. Leukemia 2015, 29, 1571–1577. [Google Scholar] [CrossRef]
- Du, F.; Sun, Z.; Jia, J.; Yang, Y.; Yu, J.; Shi, Y.; Jia, B.; Zhao, J.; Zhang, X. Development and validation of an individualized nomogram for predicting survival in patients with esophageal carcinoma after resection. J. Cancer 2020, 11, 4023–4029. [Google Scholar] [CrossRef]
- Semenkovich, T.R.; Yan, Y.; Subramanian, M.; Meyers, B.F.; Kozower, B.D.; Nava, R.; Patterson, G.A.; Kreisel, D.; Puri, V. A clinical nomogram for predicting node-positive disease in esophageal cancer. Ann. Surg. 2021, 273, e214. [Google Scholar] [CrossRef]
- Su, D.; Zhou, X.; Chen, Q.; Jiang, Y.; Yang, X.; Zheng, W.; Tao, K.; Wu, J.; Yan, Z.; Liu, L.; et al. Prognostic nomogram for thoracic esophageal squamous cell carcinoma after radical esophagectomy. PLoS ONE 2015, 10, e0124437. [Google Scholar] [CrossRef][Green Version]
- Edge, S.B.; Compton, C.C. The American Joint Committee on Cancer: The 7th edition of the AJCC cancer staging manual and the future of TNM. Ann. Surg. Oncol. 2010, 17, 1471–1474. [Google Scholar] [CrossRef]
- Rice, T.W.; Ishwaran, H.; Ferguson, M.K.; Blackstone, E.H.; Goldstraw, P. Cancer of the esophagus and esophagogastric junction: An eighth edition staging primer. J. Thorac. Oncol. 2017, 12, 36–42. [Google Scholar] [CrossRef]
- Eisenhauer, E.A.; Therasse, P.; Bogaerts, J.; Schwartz, L.H.; Sargent, D.; Ford, R.; Dancey, J.; Arbuck, S.; Gwyther, S.; Mooney, M.; et al. New response evaluation criteria in solid tumours: Revised RECIST guideline (version 1.1). Eur. J. Cancer 2009, 45, 228–247. [Google Scholar] [CrossRef]
- Tian, G.-L.; Tang, M.-L.; Fang, H.-B.; Tan, M. Efficient methods for estimating constrained parameters with applications to regularized (lasso) logistic regression. Comput. Stat. Data Anal. 2008, 52, 3528–3542. [Google Scholar] [CrossRef] [PubMed]
- Hanley, J.A.; McNeil, B.J. The meaning and use of the area under a receiver operating characteristic (ROC) curve. Radiology 1982, 143, 29–36. [Google Scholar] [CrossRef] [PubMed]
- Kim, Y.; Kong, L. Estimation of C-index for cox proportional hazards model with censored biomarker covariate subject to limits of detection. J. Biopharm. Stat. 2015, 25, 459–473. [Google Scholar] [CrossRef] [PubMed]
- Jager, K.J.; van Dijk, P.C.; Zoccali, C.; Dekker, F.W. The analysis of survival data: The Kaplan–Meier method. Kidney Int. 2008, 74, 560–565. [Google Scholar] [CrossRef]
- Zou, B.; Tu, Y.; Liao, D.; Xu, Y.; Wang, J.; Huang, M.; Ren, L.; Zhu, J.; Gong, Y.; Liu, Y.; et al. Radical esophagectomy for stage II and III thoracic esophageal squamous cell carcinoma followed by adjuvant radiotherapy with or without chemotherapy: Which is more beneficial? Thorac. Cancer 2020, 11, 631–639. [Google Scholar] [CrossRef]
- Wang, B.Y.; Goan, Y.G.; Hsu, P.K.; Hsu, W.H.; Wu, Y.C. Tumor length as a prognostic factor in esophageal squamous cell carcinoma. Ann. Thorac. Surg. 2011, 91, 887–893. [Google Scholar] [CrossRef]
- Goense, L.; van Rossum, P.S.; Reitsma, J.B.; Lam, M.G.; Meijer, G.J.; van Vulpen, M.; Ruurda, J.P.; van Hillegersberg, R. Diagnostic performance of 18F-FDG PET and PET/CT for the detection of recurrent esophageal cancer after treatment with curative intent: A systematic review and meta-analysis. J. Nucl. Med. 2015, 56, 995–1002. [Google Scholar] [CrossRef]
- Zheng, Y.; Gao, Q.; Su, X.; Xiao, C.; Yu, B.; Huang, S.; Sun, Y.; Wu, S.; Wo, Y.; Xu, Q.; et al. Genome-wide DNA methylation and gene expression profiling characterizes molecular subtypes of esophagus squamous cell carcinoma for predicting patient survival and immunotherapy efficacy. Cancers 2022, 14, 4970. [Google Scholar] [CrossRef]
- Hirose, W.; Oshikiri, H.; Taguchi, K.; Yamamoto, M. The KEAP1-NRF2 system and esophageal cancer. Cancers 2022, 14, 4702. [Google Scholar] [CrossRef]
- Rajendra, K.; Sharma, P. Viral pathogens in oesophageal and gastric cancer. Pathogens 2022, 11, 476. [Google Scholar] [CrossRef]
- Hsieh, C.C.; Hsu, H.S.; Chang, S.C.; Chen, Y.J. Circulating cell-free DNA levels could predict oncological outcomes of patients undergoing esophagectomy for esophageal squamous cell carcinoma. Int. J. Mol. Sci. 2016, 17, 2131. [Google Scholar] [CrossRef] [PubMed]





| Characteristic | All Patients No. (%) | Primary Cohort No. (%) | Internal Validation Cohort No. (%) | External Validation Cohort No. (%) | p * | p # |
|---|---|---|---|---|---|---|
| Total | 1913 | 1077 | 718 | 118 | ||
| Age (years) | ||||||
| As continuous variable | 0.921 | 0.082 | ||||
| As categorical variable | 0.892 | 0.002 | ||||
| ≤64 | 1312 (68.6) | 725 (67.3) | 491 (68.4) | 96 (81.4) | ||
| 65–74 | 506 (26.5) | 294 (27.3) | 190 (26.5) | 22 (18.6) | ||
| ≥75 | 95 (4.9) | 58 (5.4) | 37 (5.2) | 0 (0) | ||
| Gender | 0.151 | 0.025 | ||||
| Male | 1589 (83.1) | 878 (81.5) | 605 (84.3) | 106 (89.8) | ||
| Female | 324 (16.9) | 199 (18.5) | 113 (15.7) | 12 (10.2) | ||
| KPS | ||||||
| As continuous variable | 0.487 | 0.685 | ||||
| As categorical variable | 0.411 | 0.733 | ||||
| 70–80 | 1083 (56.6) | 620 (57.6) | 397 (55.3) | 66 (55.9) | ||
| 90–100 | 830 (43.4) | 457 (42.4) | 321 (44.7) | 52 (44.1) | ||
| Tumor location | 0.352 | <0.001 | ||||
| Upper | 460 (24.0) | 281 (26.1) | 173 (24.1) | 6 (5.1) | ||
| Middle | 989 (51.7) | 571 (53) | 376 (52.4) | 42 (35.6) | ||
| Lower | 464 (24.3) | 225 (20.9) | 169 (23.5) | 70 (59.3) | ||
| Tumor length (cm) | ||||||
| As continuous variable | 0.235 | 0.792 | ||||
| As categorical variable | 0.145 | 0.874 | ||||
| ≤5 | 1225 (64.2) | 674 (62.8) | 476 (66.3) | 75 (63.6) | ||
| >5 | 684 (35.8) | 399 (37.2) | 242 (33.7) | 43 (36.4) | ||
| Pathological T stage | 0.436 | <0.001 | ||||
| T1b | 73 (3.8) | 34 (3.2) | 23 (3.2) | 16 (13.6) | ||
| T2 | 248 (13.0) | 145 (13.5) | 88 (12.3) | 15 (12.7) | ||
| T3 | 1415 (74.0) | 806 (74.8) | 530 (73.8) | 79 (66.9) | ||
| T4a | 177 (9.2) | 92 (8.5) | 77 (10.7) | 8 (6.8) | ||
| Pathological N stage | 0.352 | <0.001 | ||||
| N0 | 595 (31.1) | 349 (32.4) | 242 (33.7) | 4 (3.4) | ||
| N1 | 717 (37.5) | 401 (37.2) | 247 (34.4) | 69 (58.5) | ||
| N2 | 407 (21.3) | 226 (21) | 146 (20.3) | 35 (29.7) | ||
| N3 | 194 (10.1) | 101 (9.4) | 83 (11.6) | 10 (8.5) | ||
| Surgical margin | 0.975 | 0.016 | ||||
| Negative | 1827 (95.5) | 1026 (95.3) | 683 (95.1) | 118 (100.0) | ||
| Positive | 86 (4.5) | 51 (4.7) | 35 (4.9) | 0 (0) | ||
| Number of LN resection | ||||||
| As continuous variable | 0.835 | <0.001 | ||||
| As categorical variable | 0.724 | <0.001 | ||||
| ≤15 | 517 (27.0) | 301 (27.9) | 207 (28.8) | 9 (7.6) | ||
| >15 | 1396 (73.0) | 776 (72.1) | 511 (71.2) | 109 (92.4) | ||
| Tumor differentiation | 0.667 | <0.001 | ||||
| Well | 329 (17.2) | 187 (17.4) | 135 (18.8) | 7 (5.9) | ||
| Moderate | 819 (42.8) | 458 (42.5) | 293 (40.8) | 68 (57.6) | ||
| Poor | 765 (40.0) | 432 (40.1) | 290 (40.4) | 43 (36.4) | ||
| Lymphovascular invasion | 0.034 | <0.001 | ||||
| Yes | 395 (20.6) | 188 (17.5) | 155 (21.6) | 52 (44.1) | ||
| No | 1518 (79.4) | 889 (82.5) | 563 (78.4) | 66 (55.9) | ||
| Nerve invasion | 0.788 | 0.009 | ||||
| Yes | 412 (22.1) | 235 (21.8) | 152 (21.2) | 25 (35.2) | ||
| No | 1454 (77.9) | 842 (78.2) | 566 (78.8) | 46 (64.8) | ||
| Adjuvant therapy | 0.184 | <0.001 | ||||
| No | 933 (48.8) | 546 (50.7) | 333 (46.4) | 54 (45.8) | ||
| Chemotherapy | 662 (34.6) | 381 (35.4) | 281 (39.1) | 0 (0) | ||
| Chemoradiotherapy | 318 (16.6) | 150 (13.9) | 104 (14.5) | 64 (54.2) | ||
Publisher’s Note: MDPI stays neutral with regard to jurisdictional claims in published maps and institutional affiliations. |
© 2022 by the authors. Licensee MDPI, Basel, Switzerland. This article is an open access article distributed under the terms and conditions of the Creative Commons Attribution (CC BY) license (https://creativecommons.org/licenses/by/4.0/).
Share and Cite
Zhu, J.; Han, Y.; Ni, W.; Chang, X.; Wu, L.; Wang, Y.; Jiang, L.; Tan, Y.; Xiao, Z.; Wang, Q.; et al. Nomogram-Based Survival Predictions and Treatment Recommendations for Locally Advanced Esophageal Squamous Cell Carcinoma Treated with Upfront Surgery. Cancers 2022, 14, 5567. https://doi.org/10.3390/cancers14225567
Zhu J, Han Y, Ni W, Chang X, Wu L, Wang Y, Jiang L, Tan Y, Xiao Z, Wang Q, et al. Nomogram-Based Survival Predictions and Treatment Recommendations for Locally Advanced Esophageal Squamous Cell Carcinoma Treated with Upfront Surgery. Cancers. 2022; 14(22):5567. https://doi.org/10.3390/cancers14225567
Chicago/Turabian StyleZhu, Jie, Yongtao Han, Wenjie Ni, Xiao Chang, Lei Wu, Yi Wang, Li Jiang, Yan Tan, Zefen Xiao, Qifeng Wang, and et al. 2022. "Nomogram-Based Survival Predictions and Treatment Recommendations for Locally Advanced Esophageal Squamous Cell Carcinoma Treated with Upfront Surgery" Cancers 14, no. 22: 5567. https://doi.org/10.3390/cancers14225567
APA StyleZhu, J., Han, Y., Ni, W., Chang, X., Wu, L., Wang, Y., Jiang, L., Tan, Y., Xiao, Z., Wang, Q., & Peng, L. (2022). Nomogram-Based Survival Predictions and Treatment Recommendations for Locally Advanced Esophageal Squamous Cell Carcinoma Treated with Upfront Surgery. Cancers, 14(22), 5567. https://doi.org/10.3390/cancers14225567

