Neoadjuvant Chemotherapy Followed by Radiofrequency Ablation May Be a New Treatment Modality for Colorectal Liver Metastasis: A Propensity Score Matching Comparative Study
Abstract
Simple Summary
Abstract
1. Introduction
2. Materials and Methods
2.1. Population and Grouping
2.2. Surgical Procedure
2.3. Definitions
2.4. Data Collection and Follow-Up
2.5. Statistical Analysis
3. Results
3.1. Clinicopathological Characteristics
3.2. Perioperative Period
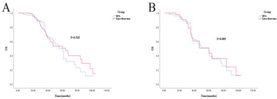
3.3. Survival Analysis
4. Discussion
5. Conclusions
Author Contributions
Funding
Institutional Review Board Statement
Informed Consent Statement
Data Availability Statement
Conflicts of Interest
References
- Siegel, R.L.; Miller, K.D.; Fuchs, H.E.; Jemal, A. Cancer statistics, 2022. CA A Cancer J. Clin. 2022, 72, 7–33. [Google Scholar] [CrossRef] [PubMed]
- Adam, R.; de Gramont, A.; Figueras, J.; Kokudo, N.; Kunstlinger, F.; Loyer, E.; Poston, G.; Rougier, P.; Rubbia-Brandt, L.; Sobrero, A.; et al. Managing synchronous liver metastases from colorectal cancer: A multidisciplinary international consensus. Cancer Treat. Rev. 2015, 41, 729–741. [Google Scholar] [CrossRef] [PubMed]
- Norén, A.; Eriksson, H.G.; Olsson, L.I. Selection for surgery and survival of synchronous colorectal liver metastases; a nationwide study. Eur. J. Cancer 2016, 53, 105–114. [Google Scholar] [CrossRef] [PubMed]
- Engstrand, J.; Nilsson, H.; Stromberg, C.; Jonas, E.; Freedman, J. Colorectal cancer liver metastases—A population-based study on incidence, management and survival. BMC Cancer 2018, 18, 78. [Google Scholar] [CrossRef]
- Angelsen, J.H.; Horn, A.; Sorbye, H.; Eide, G.E.; Loes, I.M.; Viste, A. Population-based study on resection rates and survival in patients with colorectal liver metastasis in Norway. Br. J. Surg. 2017, 104, 580–589. [Google Scholar] [CrossRef] [PubMed]
- Creasy, J.M.; Sadot, E.; Koerkamp, B.G.; Chou, J.F.; Gonen, M.; Kemeny, N.E.; Balachandran, V.P.; Kingham, T.P.; DeMatteo, R.P.; Allen, P.J.; et al. Actual 10-year survival after hepatic resection of colorectal liver metastases: What factors preclude cure? Surgery 2018, 163, 1238–1244. [Google Scholar] [CrossRef]
- Dijkstra, M.; Nieuwenhuizen, S.; Puijk, R.S.; Timmer, F.E.F.; Geboers, B.; Schouten, E.A.C.; Opperman, J.; Scheffer, H.J.; de Vries, J.J.J.; Versteeg, K.S.; et al. Primary Tumor Sidedness, RAS and BRAF Mutations and MSI Status as Prognostic Factors in Patients with Colorectal Liver Metastases Treated with Surgery and Thermal Ablation: Results from the Amsterdam Colorectal Liver Met Registry (AmCORE). Biomedicines 2021, 9, 962. [Google Scholar] [CrossRef]
- Wang, Z.M.; Chen, Y.Y.; Chen, F.F.; Wang, S.Y.; Xiong, B. Peri-operative chemotherapy for patients with resectable colorectal hepatic metastasis: A meta-analysis. Eur. J. Surg. Oncol. 2015, 41, 1197–1203. [Google Scholar] [CrossRef]
- Zhu, D.; Zhong, Y.; Wei, Y.; Ye, L.; Lin, Q.; Ren, L.; Ye, Q.; Liu, T.; Xu, J.; Qin, X. Effect of neoadjuvant chemotherapy in patients with resectable colorectal liver metastases. PLoS ONE 2014, 9, 86543. [Google Scholar] [CrossRef]
- Van Cutsem, E.; Cervantes, A.; Adam, R.; Sobrero, A.; Van Krieken, J.H.; Aderka, D.; Aranda Aguilar, E.; Bardelli, A.; Benson, A.; Bodoky, G.; et al. ESMO consensus guidelines for the management of patients with metastatic cancer. Ann. Oncol. 2016, 27, 1386–1422. [Google Scholar] [CrossRef]
- Chinese Society of Clinical Oncology (CSCO) Diagnosis and Treatment Guidelines for Colorectal Cancer Working Group. Chinese Society of Clinical Oncology (CSCO) diagnosis and treatment guidelines for colorectal cancer 2018 (English version). Chin. J. Cancer Res. 2019, 31, 117–134. [Google Scholar] [CrossRef]
- Benson, A.B.; Venook, A.P.; Al-Hawary, M.M.; Arain, M.A.; Chen, Y.J.; Ciombor, K.K.; Cohen, S.; Cooper, H.S.; Deming, D.; Garrido-Laguna, I.; et al. NCCN Guidelines Insights: Rectal Cancer, Version 6.2020. J. Natl. Compr. Cancer Netw. JNCCN 2020, 18, 806–815. [Google Scholar] [CrossRef] [PubMed]
- Benson, A.B.; Venook, A.P.; Al-Hawary, M.M.; Arain, M.A.; Chen, Y.J.; Ciombor, K.K.; Cohen, S.; Cooper, H.S.; Deming, D.; Farkas, L.; et al. Colon Cancer, Version 2.2021, NCCN Clinical Practice Guidelines in Oncology. J. Natl. Compr. Cancer Netw. JNCCN 2021, 19, 329–359. [Google Scholar] [CrossRef] [PubMed]
- Hackl, C.; Neumann, P.; Gerken, M.; Loss, M.; Klinkhammer-Schalke, M.; Schlitt, H.J. Treatment of colorectal liver metastases in Germany: A ten-year population-based analysis of 5772 cases of primary colorectal adenocarcinoma. BMC Cancer 2014, 14, 810. [Google Scholar] [CrossRef] [PubMed]
- Meijerink, M.R.; van den Tol, M.P.; Puijk, R.S. The rapidly expanding role of thermal ablation in the treatment of colorectal liver metastases. Hepatobiliary Surg. Nutr. 2020, 9, 522–525. [Google Scholar] [CrossRef]
- Hao, W.; Binbin, J.; Wei, Y.; Kun, Y. Can Radiofrequency Ablation Replace Liver Resection for Solitary Colorectal Liver Metastasis? A Systemic Review and Meta-Analysis. Front. Oncol. 2020, 10, 561669. [Google Scholar] [CrossRef]
- Hasselgren, K.; Isaksson, B.; Ardnor, B.; Lindell, G.; Rizell, M.; Strömberg, C.; Loftås, P.; Björnsson, B.; Sandström, P. Liver resection is beneficial for patients with colorectal liver metastases and extrahepatic disease. Ann. Transl. Med. 2020, 8, 109. [Google Scholar] [CrossRef]
- Yang, G.; Wang, G.; Sun, J.; Xiong, Y.; Li, W.; Tang, T.; Li, J. The prognosis of radiofrequency ablation versus hepatic resection for patients with colorectal liver metastases: A systematic review and meta-analysis based on 22 studies. Int. J. Surg. 2021, 87, 105896. [Google Scholar] [CrossRef]
- Wong, S.L.; Mangu, P.B.; Choti, M.A.; Crocenzi, T.S.; Dodd, G.D., 3rd; Dorfman, G.S.; Eng, C.; Fong, Y.; Giusti, A.F.; Lu, D.; et al. American Society of Clinical Oncology 2009 clinical evidence review on radiofrequency ablation of hepatic metastases from colorectal cancer. J. Clin. Oncol. Off. J. Am. Soc. Clin. Oncol. 2010, 28, 493–508. [Google Scholar] [CrossRef]
- Liu, M.; Huang, G.L.; Xu, M.; Pan, F.S.; Lu, M.D.; Zheng, K.G.; Kuang, M.; Xie, X.Y. Percutaneous thermal ablation for the treatment of colorectal liver metastases and hepatocellular carcinoma: A comparison of local therapeutic efficacy. Int. J. Hyperth. Off. J. Eur. Soc. Hyperthermic Oncol. N. Am. Hyperth. Group 2017, 33, 446–453. [Google Scholar] [CrossRef]
- Chen, Y.; Xu, Y.; Xu, L.; Han, F.; Huang, Y.; Jiang, H.; Wu, J.; Zhang, Y. Neoadjuvant Chemotherapy Followed by Radiofrequency Ablation Prolongs Survival for Ablatable Colorectal Liver Metastasis: A Propensity Score Matching Comparative Study. Front. Oncol. 2021, 11, 758552. [Google Scholar] [CrossRef] [PubMed]
- Hellingman, T.; Kuiper, B.I.; Buffart, L.M.; Meijerink, M.R.; Versteeg, K.S.; Swijnenburg, R.J.; van Delden, O.M.; Haasbeek, C.J.A.; de Vries, J.J.J.; van Waesberghe, J.; et al. Survival Benefit of Repeat Local Treatment in Patients Suffering From Early Recurrence of Colorectal Cancer Liver Metastases. Clin. Color. Cancer 2021, 20, 263–272. [Google Scholar] [CrossRef] [PubMed]
- Gillams, A.; Goldberg, N.; Ahmed, M.; Bale, R.; Breen, D.; Callstrom, M.; Chen, M.H.; Choi, B.I.; de Baere, T.; Dupuy, D.; et al. Thermal ablation of colorectal liver metastases: A position paper by an international panel of ablation experts, The Interventional Oncology Sans Frontieres meeting 2013. Eur. Radiol. 2015, 25, 3438–3454. [Google Scholar] [CrossRef]
- Kurilova, I.; Bendet, A.; Petre, E.N.; Boas, F.E.; Kaye, E.; Gonen, M.; Covey, A.; Brody, L.A.; Brown, K.T.; Kemeny, N.E.; et al. Factors Associated with Local Tumor Control and Complications after Thermal Ablation of Colorectal Cancer Liver Metastases: A 15-year Retrospective Cohort Study. Clin. Color. Cancer 2021, 20, 82–95. [Google Scholar] [CrossRef]
- Armato, S.G., 3rd; Nowak, A.K. Revised Modified Response Evaluation Criteria in Solid Tumors for Assessment of Response in Malignant Pleural Mesothelioma (Version 1.1). J. Thorac. Oncol. 2018, 13, 1012–1021. [Google Scholar] [CrossRef] [PubMed]
- Jones, R.P.; Poston, G.J. Resection of Liver Metastases in Colorectal Cancer in the Era of Expanding Systemic Therapy. Annu. Rev. Med. 2017, 68, 183–196. [Google Scholar] [CrossRef] [PubMed]
- Hellingman, T.; de Swart, M.E.; Joosten, J.J.A.; Meijerink, M.R.; de Vries, J.J.J.; de Waard, J.W.D.; van Zweeden, A.A.; Zonderhuis, B.M.; Kazemier, G. The value of a dedicated multidisciplinary expert panel to assess treatment strategy in patients suffering from colorectal cancer liver metastases. Surg. Oncol. 2020, 35, 412–417. [Google Scholar] [CrossRef]
- Hof, J.; Wertenbroek, M.W.; Peeters, P.M.; Widder, J.; Sieders, E.; de Jong, K.P. Outcomes after resection and/or radiofrequency ablation for recurrence after treatment of colorectal liver metastases. Br. J. Surg. 2016, 103, 1055–1062. [Google Scholar] [CrossRef]
- Ruers, T.; Van Coevorden, F.; Punt, C.J.; Pierie, J.E.; Borel-Rinkes, I.; Ledermann, J.A.; Poston, G.; Bechstein, W.; Lentz, M.A.; Mauer, M.; et al. Local Treatment of Unresectable Colorectal Liver Metastases: Results of a Randomized Phase II Trial. J. Natl. Cancer Inst. 2017, 109, 15. [Google Scholar] [CrossRef]
- Van Amerongen, M.J.; Jenniskens, S.F.M.; van den Boezem, P.B.; Futterer, J.J.; de Wilt, J.H.W. Radiofrequency ablation compared to surgical resection for curative treatment of patients with colorectal liver metastases—A meta-analysis. HPB 2017, 19, 749–756. [Google Scholar] [CrossRef]
- Di Martino, M.; Rompianesi, G.; Mora-Guzman, I.; Martin-Perez, E.; Montalti, R.; Troisi, R.I. Systematic review and meta-analysis of local ablative therapies for resectable colorectal liver metastases. Eur. J. Surg. Oncol. 2020, 46, 772–781. [Google Scholar] [CrossRef] [PubMed]
- Tanaka, K.; Adam, R.; Shimada, H.; Azoulay, D.; Levi, F.; Bismuth, H. Role of neoadjuvant chemotherapy in the treatment of multiple colorectal metastases to the liver. Br. J. Surg. 2003, 90, 963–969. [Google Scholar] [CrossRef] [PubMed]
- Strowitzki, M.J.; Schmidt, T.; Keppler, U.; Ritter, A.S.; Mahmoud, S.; Klose, J.; Mihaljevic, A.L.; Schneider, M.; Buchler, M.W.; Ulrich, A.B. Influence of neoadjuvant chemotherapy on resection of primary colorectal liver metastases: A propensity score analysis. J. Surg. Oncol. 2017, 116, 149–158. [Google Scholar] [CrossRef] [PubMed]
- Nielsen, K.; Scheffer, H.J.; Volders, J.H.; van der Vorst, M.J.; van Tilborg, A.A.; Comans, E.F.; de Lange-de Klerk, E.S.; Sietses, C.; Meijer, S.; Meijerink, M.R.; et al. Radiofrequency Ablation to Improve Survival After Conversion Chemotherapy for Colorectal Liver Metastases. World J. Surg. 2016, 40, 1951–1958. [Google Scholar] [CrossRef] [PubMed]
- Shady, W.; Petre, E.N.; Gonen, M.; Erinjeri, J.P.; Brown, K.T.; Covey, A.M.; Alago, W.; Durack, J.C.; Maybody, M.; Brody, L.A.; et al. Percutaneous Radiofrequency Ablation of Colorectal Cancer Liver Metastases: Factors Affecting Outcomes—A 10-year Experience at a Single Center. Radiology 2016, 278, 601–611. [Google Scholar] [CrossRef] [PubMed]
- Han, K.; Kim, J.H.; Yang, S.G.; Park, S.H.; Choi, H.K.; Chun, S.Y.; Kim, P.N.; Park, J.; Lee, M. A Single-Center Retrospective Analysis of Periprocedural Variables Affecting Local Tumor Progression after Radiofrequency Ablation of Colorectal Cancer Liver Metastases. Radiology 2021, 298, 212–218. [Google Scholar] [CrossRef]
- Solbiati, L.; Ahmed, M.; Cova, L.; Ierace, T.; Brioschi, M.; Goldberg, S.N. Small liver colorectal metastases treated with percutaneous radiofrequency ablation: Local response rate and long-term survival with up to 10-year follow-up. Radiology 2012, 265, 958–968. [Google Scholar] [CrossRef]
- Nieuwenhuizen, S.; Puijk, R.S.; van den Bemd, B.; Aldrighetti, L.; Arntz, M.; van den Boezem, P.B.; Bruynzeel, A.M.E.; Burgmans, M.C.; de Cobelli, F.; Coolsen, M.M.E.; et al. Resectability and Ablatability Criteria for the Treatment of Liver Only Colorectal Metastases: Multidisciplinary Consensus Document from the COLLISION Trial Group. Cancers 2020, 12, 1779. [Google Scholar] [CrossRef]
- Sotirchos, V.S.; Petrovic, L.M.; Gonen, M.; Klimstra, D.S.; Do, R.K.; Petre, E.N.; Garcia, A.R.; Barlas, A.; Erinjeri, J.P.; Brown, K.T.; et al. Colorectal Cancer Liver Metastases: Biopsy of the Ablation Zone and Margins Can Be Used to Predict Oncologic Outcome. Radiology 2016, 280, 949–959. [Google Scholar] [CrossRef]
- Abdalla, E.K.; Vauthey, J.N.; Ellis, L.M.; Ellis, V.; Pollock, R.; Broglio, K.R.; Hess, K.; Curley, S.A. Recurrence and outcomes following hepatic resection, radiofrequency ablation, and combined resection/ablation for colorectal liver metastases. Ann. Surg. 2004, 239, 818–825; discussion 825–827. [Google Scholar] [CrossRef]
- Nieuwenhuizen, S.; Dijkstra, M.; Puijk, R.S.; Geboers, B.; Ruarus, A.H.; Schouten, E.A.; Nielsen, K.; de Vries, J.J.J.; Bruynzeel, A.M.E.; Scheffer, H.J.; et al. Microwave Ablation, Radiofrequency Ablation, Irreversible Electroporation, and Stereotactic Ablative Body Radiotherapy for Intermediate Size (3–5 cm) Unresectable Colorectal Liver Metastases: A Systematic Review and Meta-analysis. Curr. Oncol. Rep. 2022, 24, 793–808. [Google Scholar] [CrossRef] [PubMed]
- Gavriilidis, P.; Roberts, K.J.; de’Angelis, N.; Aldrighetti, L.; Sutcliffe, R.P. Recurrence and survival following microwave, radiofrequency ablation, and hepatic resection of colorectal liver metastases: A systematic review and network meta-analysis. Hepatobiliary Pancreat. Dis. Int. HBPD INT 2021, 20, 307–314. [Google Scholar] [CrossRef] [PubMed]
- Fong, Y.; Fortner, J.; Sun, R.L.; Brennan, M.F.; Blumgart, L.H. Clinical score for predicting recurrence after hepatic resection for metastatic colorectal cancer: Analysis of 1001 consecutive cases. Ann. Surg. 1999, 230, 309–321. [Google Scholar] [CrossRef] [PubMed]
- Blazer, D.G., 3rd; Kishi, Y.; Maru, D.M.; Kopetz, S.; Chun, Y.S.; Overman, M.J.; Fogelman, D.; Eng, C.; Chang, D.Z.; Wang, H.; et al. Pathologic response to preoperative chemotherapy: A new outcome end point after resection of hepatic colorectal metastases. J. Clin. Oncol. 2008, 26, 5344–5351. [Google Scholar] [CrossRef] [PubMed]
- Xu, D.; Wang, Y.Y.; Yan, X.L.; Li, J.; Wang, K.; Xing, B.C. Development of a model to predict pathologic response to chemotherapy in patients with colorectal liver metastases. J. Gastrointest. Oncol. 2021, 12, 1498–1508. [Google Scholar] [CrossRef]
- Takahashi, H.; Berber, E. Role of thermal ablation in the management of colorectal liver metastasis. Hepatobiliary Surg. Nutr. 2020, 9, 49–58. [Google Scholar] [CrossRef]
- Torres-Jiménez, J.; Esteban-Villarrubia, J.; Ferreiro-Monteagudo, R.; Carrato, A. Local Treatments in the Unresectable Patient with Colorectal Cancer Metastasis: A Review from the Point of View of the Medical Oncologist. Cancers 2021, 13, 5938. [Google Scholar] [CrossRef]
- Fretland, Å.A.; Dagenborg, V.J.; Bjørnelv, G.M.W.; Kazaryan, A.M.; Kristiansen, R.; Fagerland, M.W.; Hausken, J.; Tønnessen, T.I.; Abildgaard, A.; Barkhatov, L.; et al. Laparoscopic Versus Open Resection for Colorectal Liver Metastases: The OSLO-COMET Randomized Controlled Trial. Ann. Surg. 2018, 267, 199–207. [Google Scholar] [CrossRef]
- Khuri, S.F.; Henderson, W.G.; DePalma, R.G.; Mosca, C.; Healey, N.A.; Kumbhani, D.J. Determinants of long-term survival after major surgery and the adverse effect of postoperative complications. Ann. Surg. 2005, 242, 326–341; discussion 341–343. [Google Scholar] [CrossRef]
- Ribeiro, H.S.; Costa, W.L., Jr.; Diniz, A.L.; Godoy, A.L.; Herman, P.; Coudry, R.A.; Begnami, M.D.; Mello, C.A.; Silva, M.J.; Zurstrassen, C.E.; et al. Extended preoperative chemotherapy, extent of liver resection and blood transfusion are predictive factors of liver failure following resection of colorectal liver metastasis. Eur. J. Surg. Oncol. 2013, 39, 380–385. [Google Scholar] [CrossRef]
- Froelich, M.F.; Schnitzer, M.L.; Rathmann, N.; Tollens, F.; Unterrainer, M.; Rennebaum, S.; Seidensticker, M.; Ricke, J.; Rübenthaler, J.; Kunz, W.G. Cost-Effectiveness Analysis of Local Ablation and Surgery for Liver Metastases of Oligometastatic Colorectal Cancer. Cancers 2021, 13, 1507. [Google Scholar] [CrossRef] [PubMed]
- Zhao, J.; van Mierlo, K.M.C.; Gómez-Ramírez, J.; Kim, H.; Pilgrim, C.H.C.; Pessaux, P.; Rensen, S.S.; van der Stok, E.P.; Schaap, F.G.; Soubrane, O.; et al. Systematic review of the influence of chemotherapy-associated liver injury on outcome after partial hepatectomy for colorectal liver metastases. Br. J. Surg. 2017, 104, 990–1002. [Google Scholar] [CrossRef] [PubMed]
- Vigano, L.; De Rosa, G.; Toso, C.; Andres, A.; Ferrero, A.; Roth, A.; Sperti, E.; Majno, P.; Rubbia-Brandt, L. Reversibility of chemotherapy-related liver injury. J. Hepatol. 2017, 67, 84–91. [Google Scholar] [CrossRef] [PubMed]
- Buisman, F.E.; Galjart, B.; Buettner, S.; Groot Koerkamp, B.; Grünhagen, D.J.; Verhoef, C. Primary tumor location and the prognosis of patients after local treatment of colorectal liver metastases: A systematic review and meta-analysis. HPB 2020, 22, 351–357. [Google Scholar] [CrossRef] [PubMed]
- Vauthey, J.N.; Zimmitti, G.; Kopetz, S.E.; Shindoh, J.; Chen, S.S.; Andreou, A.; Curley, S.A.; Aloia, T.A.; Maru, D.M. RAS mutation status predicts survival and patterns of recurrence in patients undergoing hepatectomy for colorectal liver metastases. Ann. Surg. 2013, 258, 619–626; discussion 626–627. [Google Scholar] [CrossRef] [PubMed]
- Taieb, J.; Zaanan, A.; Le Malicot, K.; Julié, C.; Blons, H.; Mineur, L.; Bennouna, J.; Tabernero, J.; Mini, E.; Folprecht, G.; et al. Prognostic Effect of BRAF and KRAS Mutations in Patients With Stage III Colon Cancer Treated With Leucovorin, Fluorouracil, and Oxaliplatin With or Without Cetuximab: A Post Hoc Analysis of the PETACC-8 Trial. JAMA Oncol. 2016, 2, 643–653. [Google Scholar] [CrossRef]
- Calandri, M.; Yamashita, S.; Gazzera, C.; Fonio, P.; Veltri, A.; Bustreo, S.; Sheth, R.A.; Yevich, S.M.; Vauthey, J.N.; Odisio, B.C. Ablation of colorectal liver metastasis: Interaction of ablation margins and RAS mutation profiling on local tumour progression-free survival. Eur. Radiol. 2018, 28, 2727–2734. [Google Scholar] [CrossRef]



| Variables | NAC plus RFA | NAC plus Liver Resection | p† |
|---|---|---|---|
| N | 61 | 129 | |
| Age (years) | |||
| ≤60/>60 | 38/23 | 70/59 | 0.297 |
| Gender | |||
| Female/Male | 27/34 | 32/97 | 0.007 |
| CEA at diagnosis, ng/mL | |||
| ≤200/>200 | 54/7 | 122/7 | 0.136 |
| Location of primary cancer | |||
| Colon/Rectum | 26/35 | 61/68 | 0.547 |
| T stage of primary tumor | |||
| T1-T2/T3-T4 | 9/52 | 7/122 | 0.031 |
| N stage of primary tumor | |||
| N0/N+ | 11/50 | 35/94 | 0.172 |
| Timing of metastasis | |||
| Metachronous/synchronous | 23/38 | 30/99 | 0.038 |
| Number of liver metastases | |||
| =1/≥2 | 28/33 | 45/84 | 0.145 |
| Largest diameter (cm) | |||
| <3/≥3 | 41/20 | 60/69 | 0.008 |
| Postoperative chemotherapy | |||
| No/Yes | 18/43 | 34/95 | 0.649 |
| Response to NAC | |||
| CR + PR/SD + PD | 30/31 | 49/80 | 0.144 |
| CRS ‡ | |||
| 0–2/3–5 | 38/23 | 72/57 | 0.398 |
| Variables | NAC plus RFA | NAC plus Liver Resection | p† |
|---|---|---|---|
| N | 48 | 48 | |
| Age (years) | |||
| ≤60/>60 | 28/20 | 27/21 | 0.837 |
| Gender | |||
| Female/Male | 17/31 | 17/31 | 1.000 |
| CEA at diagnosis, ng/mL | |||
| ≤200/>200 | 41/7 | 44/4 | 0.336 |
| Location of primary cancer | |||
| Colon/Rectum | 18/30 | 21/27 | 0.533 |
| T stage of primary tumor | |||
| T1–T2/T3–T4 | 3/45 | 3/45 | 1.000 |
| N stage of primary tumor | |||
| N0/N+ | 8/40 | 10/38 | 0.601 |
| Timing of metastasis | |||
| Metachronous/synchronous | 14/34 | 14/34 | 1.000 |
| Number of liver metastases | |||
| =1/≥2 | 21/27 | 19/29 | 0.679 |
| Largest diameter (cm) | |||
| <3/≥3 | 31/17 | 31/17 | 1.000 |
| Postoperative chemotherapy | |||
| No/Yes | 14/34 | 10/38 | 0.346 |
| Response to NAC | |||
| CR + PR/SD+PD | 24/24 | 16/32 | 0.098 |
| CRS ‡ | |||
| 0–2/3–5 | 27/21 | 28/20 | 0.837 |
| Variables | NAC plus RFA | NAC plus Liver Resection | p† |
|---|---|---|---|
| N | 61 | 129 | |
| Overall complications, N (%) | 9 (14.8%) | 28(21.7%) | 0.259 |
| Abdominal infection, N (%) | 6 (9.8%) | 9 (7.0%) | 0.693 |
| Pleural effusion, N (%) | 1 (1.6%) | 10 (7.8%) | 0.176 |
| Liver failure, N (%) | 2 (3.3%) | 2 (1.6%) | 0.815 |
| Abdominal bleeding, N (%) | 0 (0.0%) | 6 (4.7%) | 0.205 |
| Serious complications (CD ≥ 3, N (%)) | 1 (1.6%) | 13 (10.1%) | 0.075 |
| Length of hospital stay (median, days) | 2 (1.2%) | 7 (3.9%) | 0.000 |
| Intraoperative blood transfusion, N (%) | 0 (0.0%) | 11 (8.5%) | 0.044 |
| Prognostic Factor | n | Univariate | Multivariate | ||
|---|---|---|---|---|---|
| HR (95% CI) | p | HR (95% CI) | p | ||
| Group | |||||
| RFA | 61 | ||||
| Liver resection | 129 | 1.734 (1.179–2.550) | 0.005 | 1.850 (1.248–2.743) | 0.002 |
| Gender | |||||
| Female | 59 | ||||
| Male | 131 | 1.161 (0.790–1.705) | 0.447 | ||
| Age (years) | |||||
| ≤60 | 108 | ||||
| >60 | 82 | 1.050 (0.731–1.509) | 0.791 | ||
| CEA at diagnosis (ng/mL) | |||||
| ≤200 | 176 | ||||
| >200 | 14 | 1.056 (0.580–1.923) | 0.858 | ||
| Primary tumor | |||||
| Rectum | 103 | ||||
| Colon | 87 | 1.014 (0.709–1.450) | 0.939 | ||
| T-stage of primary tumor | |||||
| T1/T2 | 16 | ||||
| T3/T4 | 174 | 1.112 (0.581–2.127) | 0.749 | ||
| LN metastasis | |||||
| No | 46 | ||||
| Yes | 144 | 1.373 (0.871–2.164) | 0.172 | ||
| Timing of metastasis | |||||
| Metachronous | 53 | ||||
| Synchronous | 137 | 1.112 (0.750–1.650) | 0.597 | ||
| Number of liver metastases | |||||
| <2 | 73 | ||||
| ≥2 | 117 | 1.361 (0.937–1.977) | 0.105 | ||
| Size of largest lesion (cm) | |||||
| <3 | 101 | ||||
| ≥3 | 89 | 1.258 (0.881–1.797) | 0.207 | ||
| Postoperative chemotherapy | |||||
| No | 52 | ||||
| Yes | 138 | 0.888 (0.592–1.331) | 0.566 | ||
| CRS | |||||
| 1–2 | 110 | ||||
| 3–5 | 80 | 1.452 (1.018–2.070) | 0.040 | 1.555 (1.087–2.225) | 0.016 |
| Response to NAC | |||||
| CR + PR | 79 | ||||
| PD + SD | 111 | 1.593 (1.101–2.305) | 0.013 | 1.643 (1.135–2.379) | 0.009 |
| Post-operation complications | |||||
| No | 153 | ||||
| Yes | 37 | 1.208 (0.777–1.878) | 0.402 | ||
| Prognostic Factor | n | Univariate | Multivariate | ||
|---|---|---|---|---|---|
| HR (95% CI) | p | HR (95% CI) | p | ||
| Group | |||||
| RFA | 61 | ||||
| Liver Resection | 129 | 0.868 (0.547–1.379) | 0.549 | ||
| Gender | |||||
| Female | 59 | ||||
| Male | 131 | 1.288 (0.787–2.110) | 0.314 | ||
| Age (years) | |||||
| ≤60 | 108 | ||||
| >60 | 82 | 1.415 (0.890–2.249) | 0.143 | ||
| CEA at diagnosis (ng/mL) | |||||
| ≤200 | 176 | ||||
| >200 | 14 | 0.753 (0.359–1.578) | 0.452 | ||
| Primary tumor | |||||
| Rectum | 103 | ||||
| Colon | 87 | 0.855 (0.541–1.351) | 0.502 | ||
| T-stage of primary tumor | |||||
| T1/T2 | 16 | ||||
| T3/T4 | 174 | 0.865 (0.374–1.999) | 0.734 | ||
| LN metastasis | |||||
| No | 46 | ||||
| Yes | 144 | 1.148 (0.628–2.097) | 0.654 | ||
| Timing of metastasis | |||||
| Metachronous | 53 | ||||
| Synchronous | 137 | 1.988 (1.177–3.359) | 0.010 | 1.792 (0.994–3.231) | 0.052 |
| Number of liver metastases | |||||
| <2 | 73 | ||||
| ≥2 | 117 | 1.076 (0.680–1.702) | 0.755 | ||
| Size of largest lesion (cm) | |||||
| <3 | 101 | ||||
| ≥3 | 89 | 1.181 (0.749–1.864) | 0.474 | ||
| Postoperative chemotherapy | |||||
| No | 52 | ||||
| Yes | 138 | 0.627 (0.387–1.017) | 0.059 | 0.628 (0.387–1.021) | 0.061 |
| CRS | |||||
| 1–2 | 110 | ||||
| 3–5 | 80 | 1.667 (1.057–2.630) | 0.028 | 1.250 (0.748–2.089) | 0.394 |
| Response to NAC | |||||
| CR + PR | 79 | ||||
| PD + SD | 111 | 1.023 (0.646–1.618) | 0.924 | ||
| Postoperative complications | |||||
| No | 153 | ||||
| Yes | 37 | 0.941 (0.525–1.685) | 0.837 | ||
Publisher’s Note: MDPI stays neutral with regard to jurisdictional claims in published maps and institutional affiliations. |
© 2022 by the authors. Licensee MDPI, Basel, Switzerland. This article is an open access article distributed under the terms and conditions of the Creative Commons Attribution (CC BY) license (https://creativecommons.org/licenses/by/4.0/).
Share and Cite
Chen, Y.; Huang, Y.; Xu, L.; Wu, J.; Han, F.; Jiang, H.; Zheng, P.; Xu, D.; Zhang, Y. Neoadjuvant Chemotherapy Followed by Radiofrequency Ablation May Be a New Treatment Modality for Colorectal Liver Metastasis: A Propensity Score Matching Comparative Study. Cancers 2022, 14, 5320. https://doi.org/10.3390/cancers14215320
Chen Y, Huang Y, Xu L, Wu J, Han F, Jiang H, Zheng P, Xu D, Zhang Y. Neoadjuvant Chemotherapy Followed by Radiofrequency Ablation May Be a New Treatment Modality for Colorectal Liver Metastasis: A Propensity Score Matching Comparative Study. Cancers. 2022; 14(21):5320. https://doi.org/10.3390/cancers14215320
Chicago/Turabian StyleChen, Yizhen, Yurun Huang, Linwei Xu, Jia Wu, Fang Han, Hang Jiang, Pengwen Zheng, Dong Xu, and Yuhua Zhang. 2022. "Neoadjuvant Chemotherapy Followed by Radiofrequency Ablation May Be a New Treatment Modality for Colorectal Liver Metastasis: A Propensity Score Matching Comparative Study" Cancers 14, no. 21: 5320. https://doi.org/10.3390/cancers14215320
APA StyleChen, Y., Huang, Y., Xu, L., Wu, J., Han, F., Jiang, H., Zheng, P., Xu, D., & Zhang, Y. (2022). Neoadjuvant Chemotherapy Followed by Radiofrequency Ablation May Be a New Treatment Modality for Colorectal Liver Metastasis: A Propensity Score Matching Comparative Study. Cancers, 14(21), 5320. https://doi.org/10.3390/cancers14215320

