Evaluation of Cervical Lymph Node Metastasis in Papillary Thyroid Carcinoma Using Clinical-Ultrasound Radiomic Machine Learning-Based Model
Abstract
Simple Summary
Abstract
1. Introduction
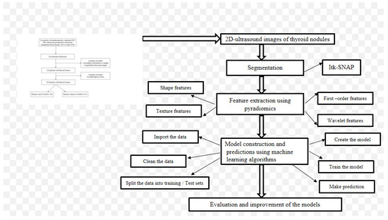
2. Materials and Methods
2.1. Ultrasound Examination
2.2. Region of Interests (ROIs) Segmentation
2.3. Radiomic Features Extraction
2.4. Feature Selection and Construction of USR Model
2.5. Construction of Clinical Model
2.6. Development of the Clinical-USR Model
2.7. Statistical Analysis
3. Results
3.1. Clinical Characteristics
3.2. Clinical Model Construction
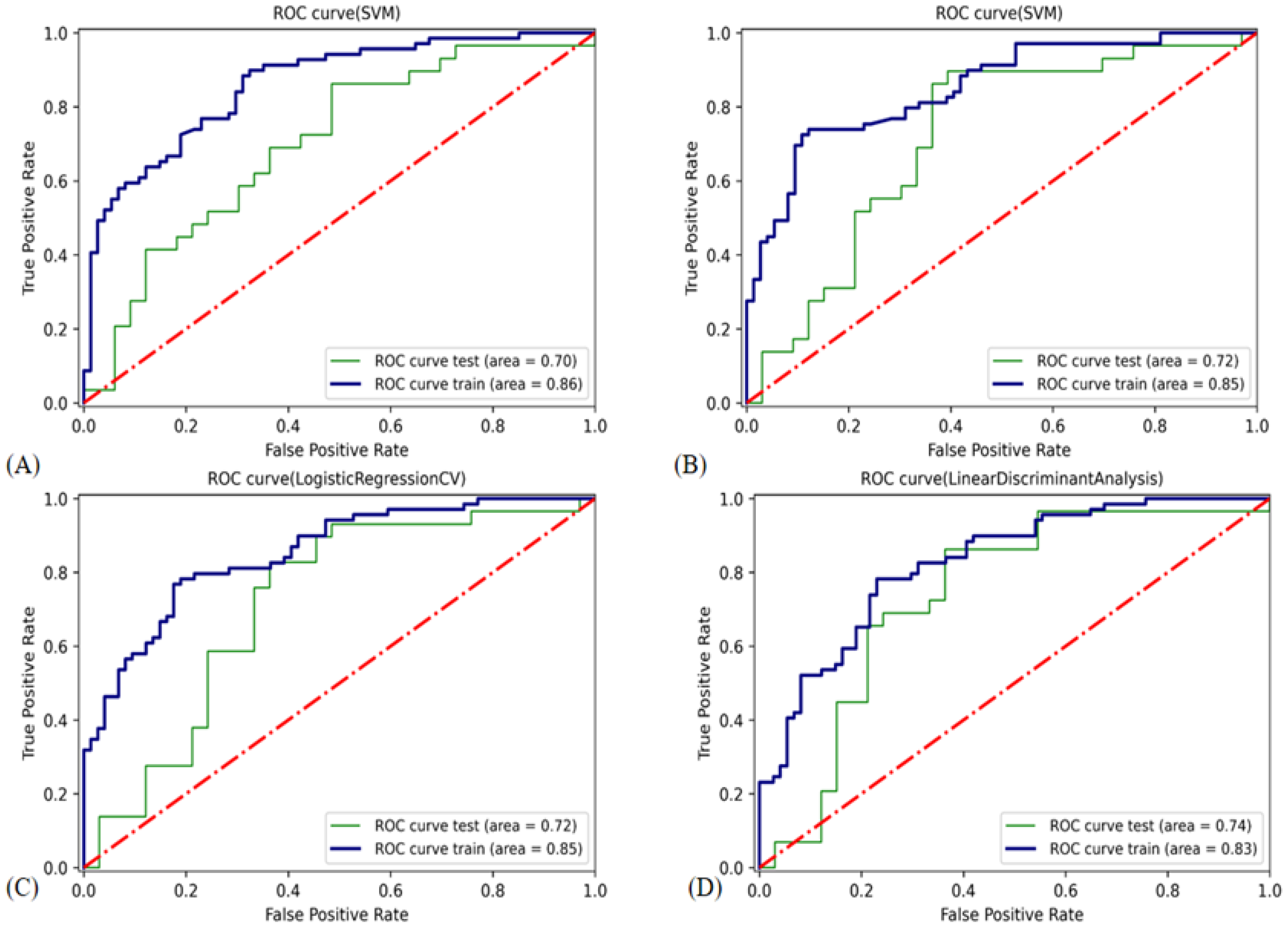
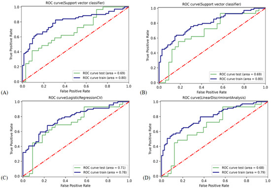
3.3. Construction of USR Model

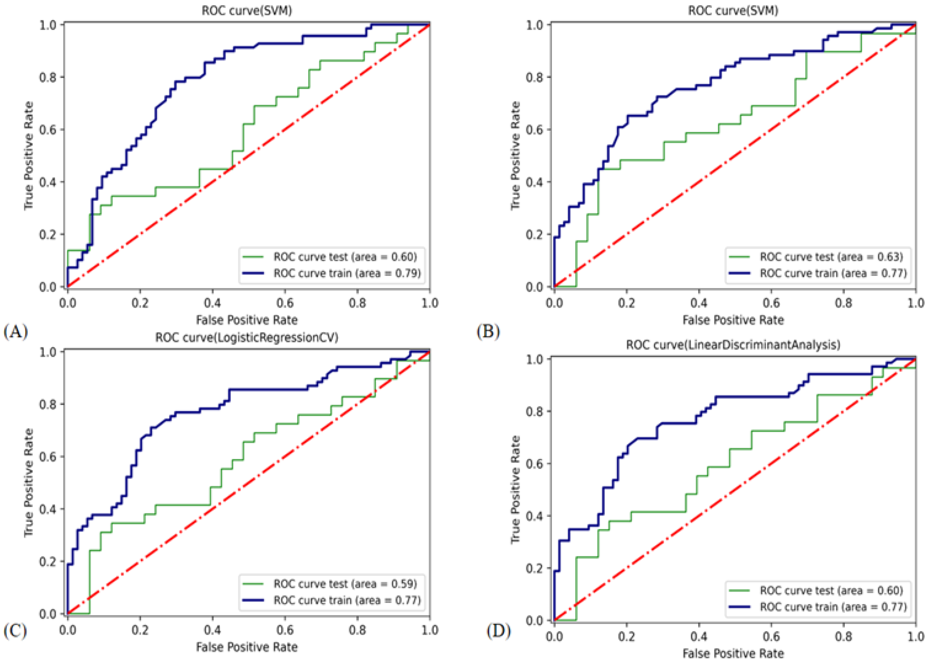
3.4. Construction of Clinical-USR Model
4. Discussion
5. Conclusions
Author Contributions
Funding
Institutional Review Board Statement
Informed Consent Statement
Data Availability Statement
Conflicts of Interest
References
- Bonjoc, K.-J.; Young, H.; Warner, S.; Gernon, T.; Maghami, E.; Chaudhry, A. Thyroid cancer diagnosis in the era of precision imaging. J. Thorac. Dis. 2020, 12, 5128–5139. [Google Scholar] [CrossRef]
- Qiu, Z.; Li, H.; Wang, J.; Sun, C. miR-146a and miR-146b in the diagnosis and prognosis of papillary thyroid carcinoma. Oncol. Rep. 2017, 38, 2735–2740. [Google Scholar] [CrossRef]
- Lonjou, C.; Damiola, F.; Moissonnier, M.; Durand, G.; Malakhova, I.; Masyakin, V.; Calvez-Kelm, L.; Cardis, E.; Byrnes, G.; Kesminiene, A.; et al. Investigation of DNA re-pair-related SNPs underlying susceptibility to papillary thyroid carcinoma reveals MGMT as a novel candidate gene in Belarusian children exposed to radiation. BMC Cancer 2017, 17, 328. [Google Scholar] [CrossRef]
- Schneider, D.F.; Chen, H. New developments in the diagnosis and treatment of thyroid cancer. CA Cancer J. Clin. 2013, 63, 373–394. [Google Scholar] [CrossRef]
- Lopez-Campistrous, A.; Adewuyi, E.E.; Benesch, M.G.; Ko, Y.M.; Lai, R.; Thiesen, A.; Dewald, J.; Wang, P.; Chu, K.; Ghosh, S.; et al. PDGFRα Regulates Follicular Cell Differentiation Driving Treatment Resistance and Disease Recurrence in Papillary Thyroid Cancer. eBioMedicine 2016, 12, 86–97. [Google Scholar] [CrossRef]
- Chen, F.; Jin, Y.; Feng, L.; Zhang, J.; Tai, J.; Shi, J.; Yu, Y.; Lu, J.; Wang, S.; Li, X.; et al. RRS1 gene expression involved in the progression of papillary thyroid carcinoma. Cancer Cell Int. 2018, 18, 20. [Google Scholar] [CrossRef]
- Forest, V.I.; Clark, J.R.; Ebrahimi, A.; Cho, E.A.; Sneddon, L.; Gao, K.; O’brien, C.J. Central compartment dissection in thy-roid papillary carcinoma. Ann. Surg. 2011, 253, 123–130. [Google Scholar] [CrossRef] [PubMed]
- Moo, T.A.; McGill, J.; Allendorf, J.; Lee, J.; Fahey, T.; Zarnegar, R. Impact of prophylactic central neck lymph node dissection on early recurrence in papillary thyroid carcinoma. World J Surg. 2010, 34, 1187–1191. [Google Scholar] [CrossRef] [PubMed]
- Lundgren, C.I.; Hall, P.; Dickman, P.W.; Zedenius, J. Clinically significant prognostic factors for differentiated thyroid carcinoma: A population-based, nested case-control study. Cancer 2006, 106, 524–531. [Google Scholar] [CrossRef]
- Sivanandan, R.; Soo, K.C. Pattern of cervical lymph node metastases from papillary carcinoma of the thyroid. Br. J. Surg. 2001, 88, 1241–1244. [Google Scholar] [CrossRef]
- Robenshtok, E.; Fish, S.; Bach, A.; Domínguez, J.M.; Shaha, A.; Tuttle, R.M. Suspicious Cervical Lymph Nodes Detected after Thyroidectomy for Papillary Thyroid Cancer Usually Remain Stable Over Years in Properly Selected Patients. J. Clin. Endocrinol. Metab. 2012, 97, 2706–2713. [Google Scholar] [CrossRef] [PubMed]
- Randolph, G.W.; Duh, Q.-Y.; Heller, K.S.; LiVolsi, V.A.; Mandel, S.J.; Steward, D.L.; Tufano, R.P.; Tuttle, R.M. The Prognostic Significance of Nodal Metastases from Papillary Thyroid Carcinoma Can Be Stratified Based on the Size and Number of Metastatic Lymph Nodes, as Well as the Presence of Extranodal Extension. Thyroid 2012, 22, 1144–1152. [Google Scholar] [CrossRef] [PubMed]
- Johnson, N.A.; Tublin, M.E. Postoperative Surveillance of Differentiated Thyroid Carcinoma: Rationale, Techniques, and Controversies. Radiology 2008, 249, 429–444. [Google Scholar] [CrossRef] [PubMed]
- Zheng, B.-W.; Wang, J.-F.; Ju, J.-X.; Wu, T.; Tong, G.; Ren, J. Efficacy and safety of cooled and uncooled microwave ablation for the treatment of benign thyroid nodules: A systematic review and meta-analysis. Endocrine 2018, 62, 307–317. [Google Scholar] [CrossRef] [PubMed]
- Zhao, H.; Li, H. Meta-analysis of ultrasound for cervical lymph nodes in papillary thyroid cancer: Diagnosis of central and lateral compartment nodal metastases. Eur. J. Radiol. 2019, 112, 14–21. [Google Scholar] [CrossRef]
- Guang, Y.; He, W.; Zhang, W.; Zhang, H.; Zhang, Y.; Wan, F. Clinical Study of Ultrasonographic Risk Factors for Central Lymph Node Metastasis of Papillary Thyroid Carcinoma. Front. Endocrinol. 2021, 12, 1635. [Google Scholar] [CrossRef]
- Xiaoyin, T.; Ping, L.; Dan, C.; Min, D.; Jiachang, C.; Tao, W.; Yaoping, S.; Zhi, W.; Bo, Z. Risk Assessment and Hydrodissection Technique for Radiofrequency Ablation of Thyroid Benign Nodules. J. Cancer 2018, 9, 3058–3066. [Google Scholar] [CrossRef]
- Limkin, E.J.; Sun, R.; Dercle, L.; Zacharaki, E.I.; Robert, C.; Reuzé, S.; Schernberg, A.; Paragios, N.; Deutsch, E.; Ferté, C. Promises and challenges for the implementation of computational medical imaging (radiomics) in oncology. Ann. Oncol. 2017, 28, 1191–1206. [Google Scholar] [CrossRef]
- Lambin, P.; Leijenaar, R.T.H.; Deist, T.M.; Peerlings, J.; de Jong, E.E.C.; van Timmeren, J.; Sanduleanu, S.; Larue, R.T.H.M.; Even, A.J.G.; Jochems, A.; et al. Radiomics: The bridge between medical imaging and personalized medicine. Nat. Rev. Clin. Oncol. 2017, 14, 749–762. [Google Scholar] [CrossRef]
- Gillies, R.J.; Kinahan, P.E.; Hricak, H. Radiomics: Images Are More than Pictures, They Are Data. Radiology 2016, 278, 563–577. [Google Scholar] [CrossRef] [PubMed]
- Aerts, H.J.W.L.; Velazquez, E.R.; Leijenaar, R.T.H.; Parmar, C.; Grossmann, P.; Carvalho, S.; Bussink, J.; Monshouwer, R.; Haibe-Kains, B.; Rietveld, D.; et al. Decoding tumour phenotype by noninvasive imaging using a quantitative radiomics approach. Nat. Commun. 2014, 5, 4006. [Google Scholar] [CrossRef] [PubMed]
- Parmar, C.; Grossmann, P.; Bussink, J.; Lambin, P.; Aerts, H.J.W.L. Machine Learning methods for Quantitative Radiomic Biomarkers. Sci. Rep. 2015, 5, 13087. [Google Scholar] [CrossRef] [PubMed]
- Pedregosa, F.; Varoquaux, G.; Gramfort, A.; Michel, V.; Thirion, B.; Grisel, O.; Blondel, M.; Prettenhofer, P.; Weiss, R.; Dubourg, V.; et al. Scikit-learn: Machine Learning in Python. J. Mach. Learn. Res. 2011, 12, 2825–2830. [Google Scholar]
- Siegel, R.L.; Miller, K.D.; Jemal, A. Cancer statistics, 2019. CA Cancer J. Clin. 2019, 69, 7–34. [Google Scholar] [CrossRef] [PubMed]
- Tran, B.; Roshan, D.; Abraham, E.; Wang, L.; Garibotto, N.; Wykes, J.; Campbell, P.; Ebrahimi, A. An Analysis of The American Joint Commit-tee on Cancer 8 th Edition T Staging System for Papillary Thyroid Carcinoma. J. Clin. Endocrinol. Metab. 2018, 103, 2199–2206. [Google Scholar] [CrossRef]
- Lee, D.Y.; Kwon, T.-K.; Sung, M.-W.; Kim, K.H.; Hah, J.H. Prediction of Extrathyroidal Extension Using Ultrasonography and Computed Tomography. Int. J. Endocrinol. 2014, 2014, 1–6. [Google Scholar] [CrossRef]
- Choi, J.S.; Kim, J.; Kwak, J.Y.; Kim, M.J.; Chang, H.S.; Kim, E.-K. Preoperative Staging of Papillary Thyroid Carcinoma: Comparison of Ultrasound Imaging and CT. Am. J. Roentgenol. 2009, 193, 871–878. [Google Scholar] [CrossRef]
- Li, T.; Li, H.; Xue, J.; Miao, J.; Kang, C. Shear wave elastography combined with gray-scale ultrasound for predicting central lymph node metastasis of papillary thyroid carcinoma. Surg. Oncol. 2021, 36, 1–6. [Google Scholar] [CrossRef]
- Zhang, H.; Hu, S.; Wang, X.; He, J.; Liu, W.; Yu, C.; Sun, Z.; Ge, Y.; Duan, S. Prediction of Cervical Lymph Node Metastasis Using MRI Radiomics Approach in Papillary Thyroid Carcinoma: A Feasibility Study. Technol. Cancer Res. Treat. 2020, 19, 1533033820969451. [Google Scholar] [CrossRef]
- Jiang, M.; Li, C.; Tang, S.; Lv, W.; Yi, A.; Wang, B.; Yu, S.; Cui, X.; Dietrich, C.F. Nomogram Based on Shear-Wave Elastography Radiomics Can Improve Preoperative Cervical Lymph Node Staging for Papillary Thyroid Carcinoma. Thyroid 2020, 30, 885–897. [Google Scholar] [CrossRef]
- Guo, L.; Ma, Y.-Q.; Yao, Y.; Wu, M.; Deng, Z.-H.; Zhu, F.-W.; Luo, Y.-K.; Tang, J. Role of ultrasonographic features and quantified BRAFV600E mutation in lymph node metastasis in Chinese patients with papillary thyroid carcinoma. Sci. Rep. 2019, 9, 75. [Google Scholar] [CrossRef] [PubMed]
- Park, V.; Han, K.; Kim, H.J.; Lee, E.; Youk, J.H.; Kim, E.-K.; Moon, H.J.; Yoon, J.H.; Kwak, J.Y. Radiomics signature for prediction of lateral lymph node metastasis in conventional papillary thyroid carcinoma. PLoS ONE 2020, 15, e0227315. [Google Scholar] [CrossRef] [PubMed]
- Thibault, G.; Fertil, B.; Navarro, C.; Pereira, S.; Cau, P.; Levy, N.; Sequeira, J.; Mari, J.-L. Texture Indexes and Gray Level Size Zone Matrix. Application to Cell Nuclei Classification. Pattern Recognit. Inf. Process. 2009, 2009, 140–145. [Google Scholar]
- Amadasun, M.; King, R. Textural features corresponding to textural properties. IEEE Trans. Syst. Man Cybern. 1989, 19, 1264–1274. [Google Scholar] [CrossRef]
- Li, Y.Y.; Sun, W.X.; Liao, X.D.; Zhang, M.B.; Xie, F.; Chen, D.H.; Zhang, Y.; Luo, Y.K. A Thyroid Ultrasound Image-based Artificial Intel-ligence Model for Diagnosis of Central Compartment Lymph Node Metastasis in Papillary Thyroid Carcinoma. Zhongguo Yi Xue Ke Xue Yuan Xue Bao 2021, 43, 911–916. [Google Scholar] [CrossRef]
- Tian, X.; Luo, Y.; Zhang, Y.; Song, Q.; Ren, L.; Zhang, Y.; Jiang, B. Application of Ultrasound Model for Predicting Central Compartment Lymph Node Metastasis in Papillary Thyroid Carcinoma. Zhongguo Yi Xue Ke Xue Yuan Xue Bao 2020, 42, 626–631. [Google Scholar]
- Zou, Y.; Shi, Y.; Liu, J.; Cui, G.; Yang, Z.; Liu, M.; Sun, F. A Comparative Analysis of Six Machine Learning Models Based on Ultrasound to Distinguish the Possibility of Central Cervical Lymph Node Metastasis in Patients With Papillary Thyroid Carcinoma. Front. Oncol. 2021, 11, 1938. [Google Scholar] [CrossRef]











| Characteristic | Training Cohort (n = 143) | Validation Cohort (n = 62) | p |
|---|---|---|---|
| Age, mean ± SD, years | 47.29 ± 11.31 | 47.06 ± 11.36 | 0.981 |
| Sex, n | |||
| Female | 114 | 46 | |
| Male | 29 | 16 | 0.242 |
| Ultrasound Characteristic | |||
| Tumor size (mass) | 9.22 ± 6.85 | 9.61 ± 6.70 | 0.662 |
| Tumor location | |||
| Left lobe | 60 | 18 | |
| Right lobe | 48 | 29 | |
| Isthmus | 35 | 15 | 0.142 |
| Tumor position | |||
| Upper pole | 73 | 25 | |
| Middle pole | 5 | 2 | |
| Inferior pole | 65 | 35 | 0.346 |
| Internal echo pattern | 0.312 | ||
| Uniform | 29 | 10 | |
| Nonuniform | 114 | 52 | |
| Tumor border | 0.015 * | ||
| Clear | 48 | 11 | |
| unclear | 95 | 51 | |
| Tumor internal vascularization | |||
| Without | 75 | 38 | 0.155 |
| Abundant | 68 | 24 | |
| Tumor Peripheral blood flow | |||
| Without | 80 | 31 | 0.263 |
| Abundant | 63 | 31 | |
| Ultrasound ETE diagnosis | 0.495 | ||
| Without ETE | 133 | 57 | |
| With ETE | 10 | 5 | |
| Aspect ratio | 0.434 | ||
| ≤1 | 91 | 38 | |
| >1 | 52 | 24 | |
| Shape | 0.380 | ||
| Regular | 106 | 44 | |
| Irregular | 37 | 18 | |
| Ultrasound CLNM diagnosis | 0.367 | ||
| Without CLNM | 80 | 37 | |
| With CLNM | 63 | 25 | |
| Postoperative diagnosis | |||
| capsular invasion | 0.432 | ||
| Negative | 75 | 31 | |
| Positive | 68 | 31 | |
| Characteristic | CLNM (−) (n = 107) | CLNM (+) (n = 98) | p |
|---|---|---|---|
| Age, mean ± SD, years | 48.97 ± 10.81 | 45.31 ± 11.56 | 0.035 * |
| Sex, n | |||
| Female | 80 | 80 | |
| Male | 27 | 18 | 0.154 |
| Ultrasound Characteristic | |||
| Tumor size (mass) | 7.30 ± 5.01 | 11.57 ± 7.74 | 0.00 * |
| Tumor location | |||
| Left lobe | 44 | 34 | |
| Right lobe | 40 | 37 | |
| Isthmus | 23 | 27 | 0.515 |
| Tumor position | |||
| Upper pole | 53 | 45 | |
| Middle pole | 4 | 3 | |
| Inferior pole | 50 | 50 | 0.818 |
| Internal echo pattern | 0.033 * | ||
| Uniform | 26 | 13 | |
| Nonuniform | 81 | 85 | |
| Tumor border | 0.463 | ||
| Clear | 30 | 29 | |
| unclear | 77 | 69 | |
| Tumor internal vascularization | 0.001 * | ||
| Without | 71 | 42 | |
| Abundant | 36 | 56 | |
| Tumor Peripheral blood flow | 0.236 | ||
| Without | 61 | 50 | |
| Abundant | 46 | 48 | |
| Ultrasound ETE diagnosis | 0.009 * | ||
| Without ETE | 104 | 86 | |
| With ETE | 3 | 12 | |
| Aspect ratio | 0.000 * | ||
| ≤1 | 55 | 74 | |
| >1 | 52 | 24 | |
| Shape | 0.025 * | ||
| Regular | 85 | 65 | |
| Irregular | 22 | 33 | |
| Ultrasound CLNM diagnosis | 0.035 * | ||
| Without CLNM | 68 | 49 | |
| With CLNM | 39 | 49 | |
| Postoperative diagnosis | |||
| Capsular Invasion | 0.022 * | ||
| Negative | 63 | 43 | |
| Positive | 44 | 55 | |
| Training Cohort | Validation Cohort | |||||||||||
|---|---|---|---|---|---|---|---|---|---|---|---|---|
| ACC | AUC | SEN | SPEC | PPV | NPV | ACC | AUC | SEN | SPEC | PPV | NPV | |
| Clinical model | ||||||||||||
| LDA | 0.71 | 0.77 | 0.58 | 0.82 | 0.75 | 0.68 | 0.56 | 0.60 | 0.55 | 0.58 | 0.53 | 0.59 |
| LRCV | 0.71 | 0.77 | 0.61 | 0.81 | 0.75 | 0.69 | 0.55 | 0.59 | 0.55 | 0.55 | 0.52 | 0.58 |
| SVM-L | 0.72 | 0.77 | 0.61 | 0.82 | 0.76 | 0.69 | 0.61 | 0.63 | 0.59 | 0.64 | 0.59 | 0.64 |
| SVM-RBF | 0.73 | 0.79 | 0.78 | 0.69 | 0.70 | 0.77 | 0.56 | 0.60 | 0.69 | 0.45 | 0.52 | 0.63 |
| USR model | ||||||||||||
| LDA | 0.76 | 0.83 | 0.75 | 0.77 | 0.75 | 0.77 | 0.66 | 0.74 | 0.52 | 0.79 | 0.68 | 0.65 |
| LRCV | 0.79 | 0.85 | 0.78 | 0.80 | 0.78 | 0.80 | 0.61 | 0.72 | 0.49 | 0.76 | 0.62 | 0.61 |
| SVM-L | 0.73 | 0.85 | 0.77 | 0.70 | 0.71 | 0.76 | 0.66 | 0.72 | 0.52 | 0.79 | 0.68 | 0.65 |
| SVM-RBF | 0.77 | 0.86 | 0.77 | 0.77 | 0.76 | 0.78 | 0.63 | 0.70 | 0.78 | 0.76 | 0.64 | 0.63 |
| Clinical-USR model | ||||||||||||
| LDA | 0.71 | 0.79 | 0.65 | 0.76 | 0.71 | 0.70 | 0.61 | 0.68 | 0.55 | 0.66 | 0.60 | 0.63 |
| LRCV | 0.70 | 0.78 | 0.61 | 0.78 | 0.72 | 0.68 | 0.68 | 0.71 | 0.62 | 0.73 | 0.67 | 0.69 |
| SVM-L | 0.71 | 0.80 | 0.65 | 0.76 | 0.71 | 0.70 | 0.65 | 0.69 | 0.59 | 0.70 | 0.63 | 0.66 |
| SVM-RBF | 0.73 | 0.80 | 0.64 | 0.82 | 0.77 | 0.71 | 0.63 | 0.69 | 0.55 | 0.70 | 0.62 | 0.63 |
| Feature Name | Coefficient | |
|---|---|---|
| original glszm ZoneEntropy | GLSZM | 0.642 |
| original ngtdm Busyness | NGTM | 0.766 |
| exponential glszm LargeAreaEmphasis | GLSZM | −0.652 |
| waveletLH glszm LargeAreaLowGrayLevelEmphasis | GLSZM | −0.782 |
| Tumor mass | N/A | 1.132 |
| Feature Name | B | SE | Wald | df | p | Exp (B) |
|---|---|---|---|---|---|---|
| Original glszm ZoneEntropy | 0.696 | 0.237 | 8.627 | 1 | 0.003 | 2.006 |
| Original ngtdm Busyness | 1.248 | 0.546 | 5.215 | 1 | 0.022 | 3.482 |
| exponential glszm LargeAreaEmphasis | −2.294 | 2.013 | 1.298 | 1 | 0.254 | 0.101 |
| WaveletLH glszm LargeAreaLow GrayLevelEmphasis | −896 | 0.459 | 3.812 | 1 | 0.051 | 0.408 |
| tumour size(mass) | 1.264 | 0.300 | 17.726 | 1 | 0.000 | 3.541 |
Publisher’s Note: MDPI stays neutral with regard to jurisdictional claims in published maps and institutional affiliations. |
© 2022 by the authors. Licensee MDPI, Basel, Switzerland. This article is an open access article distributed under the terms and conditions of the Creative Commons Attribution (CC BY) license (https://creativecommons.org/licenses/by/4.0/).
Share and Cite
Agyekum, E.A.; Ren, Y.-Z.; Wang, X.; Cranston, S.S.; Wang, Y.-G.; Wang, J.; Akortia, D.; Xu, F.-J.; Gomashie, L.; Zhang, Q.; et al. Evaluation of Cervical Lymph Node Metastasis in Papillary Thyroid Carcinoma Using Clinical-Ultrasound Radiomic Machine Learning-Based Model. Cancers 2022, 14, 5266. https://doi.org/10.3390/cancers14215266
Agyekum EA, Ren Y-Z, Wang X, Cranston SS, Wang Y-G, Wang J, Akortia D, Xu F-J, Gomashie L, Zhang Q, et al. Evaluation of Cervical Lymph Node Metastasis in Papillary Thyroid Carcinoma Using Clinical-Ultrasound Radiomic Machine Learning-Based Model. Cancers. 2022; 14(21):5266. https://doi.org/10.3390/cancers14215266
Chicago/Turabian StyleAgyekum, Enock Adjei, Yong-Zhen Ren, Xian Wang, Sashana Sashakay Cranston, Yu-Guo Wang, Jun Wang, Debora Akortia, Fei-Ju Xu, Leticia Gomashie, Qing Zhang, and et al. 2022. "Evaluation of Cervical Lymph Node Metastasis in Papillary Thyroid Carcinoma Using Clinical-Ultrasound Radiomic Machine Learning-Based Model" Cancers 14, no. 21: 5266. https://doi.org/10.3390/cancers14215266
APA StyleAgyekum, E. A., Ren, Y.-Z., Wang, X., Cranston, S. S., Wang, Y.-G., Wang, J., Akortia, D., Xu, F.-J., Gomashie, L., Zhang, Q., Zhang, D., & Qian, X. (2022). Evaluation of Cervical Lymph Node Metastasis in Papillary Thyroid Carcinoma Using Clinical-Ultrasound Radiomic Machine Learning-Based Model. Cancers, 14(21), 5266. https://doi.org/10.3390/cancers14215266
