Inflammation- and Metastasis-Related Proteins Expression Changes in Early Stages in Tumor and Non-Tumor Adjacent Tissues of Colorectal Cancer Samples
Abstract
Simple Summary
Abstract
1. Introduction
2. Materials and Methods
2.1. Reagents
2.2. Patients and Tissue Samples
2.3. Tissue Homogenization and Protein Quantification
2.4. Western Blotting
2.5. Kaplan–Meier Survival Curves
2.6. Statistical Analysis
3. Results
3.1. Epithelium-Mesenchymal Transition Proteins Expression Levels
3.2. Inflammatory-Related Proteins Expression Levels
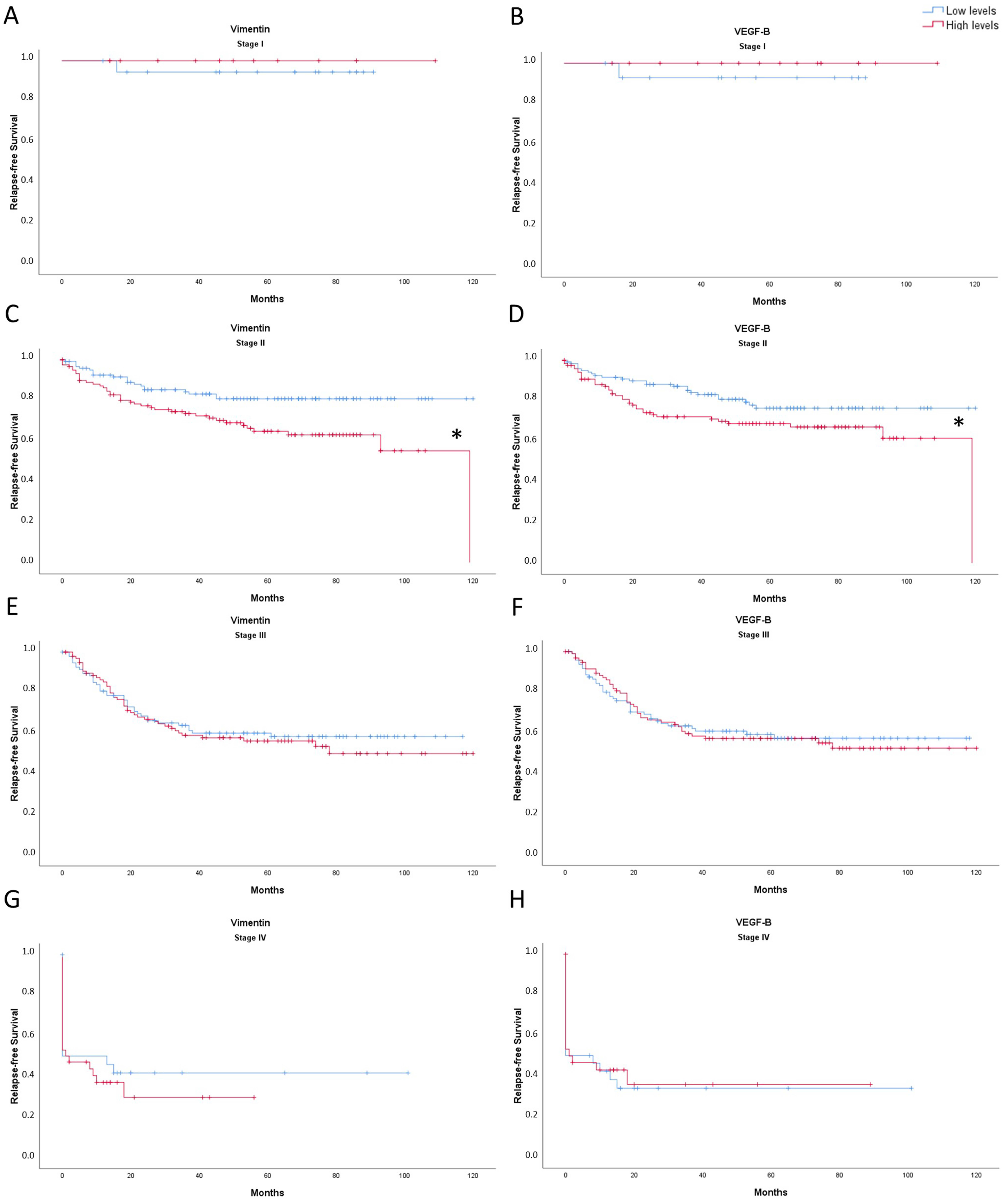
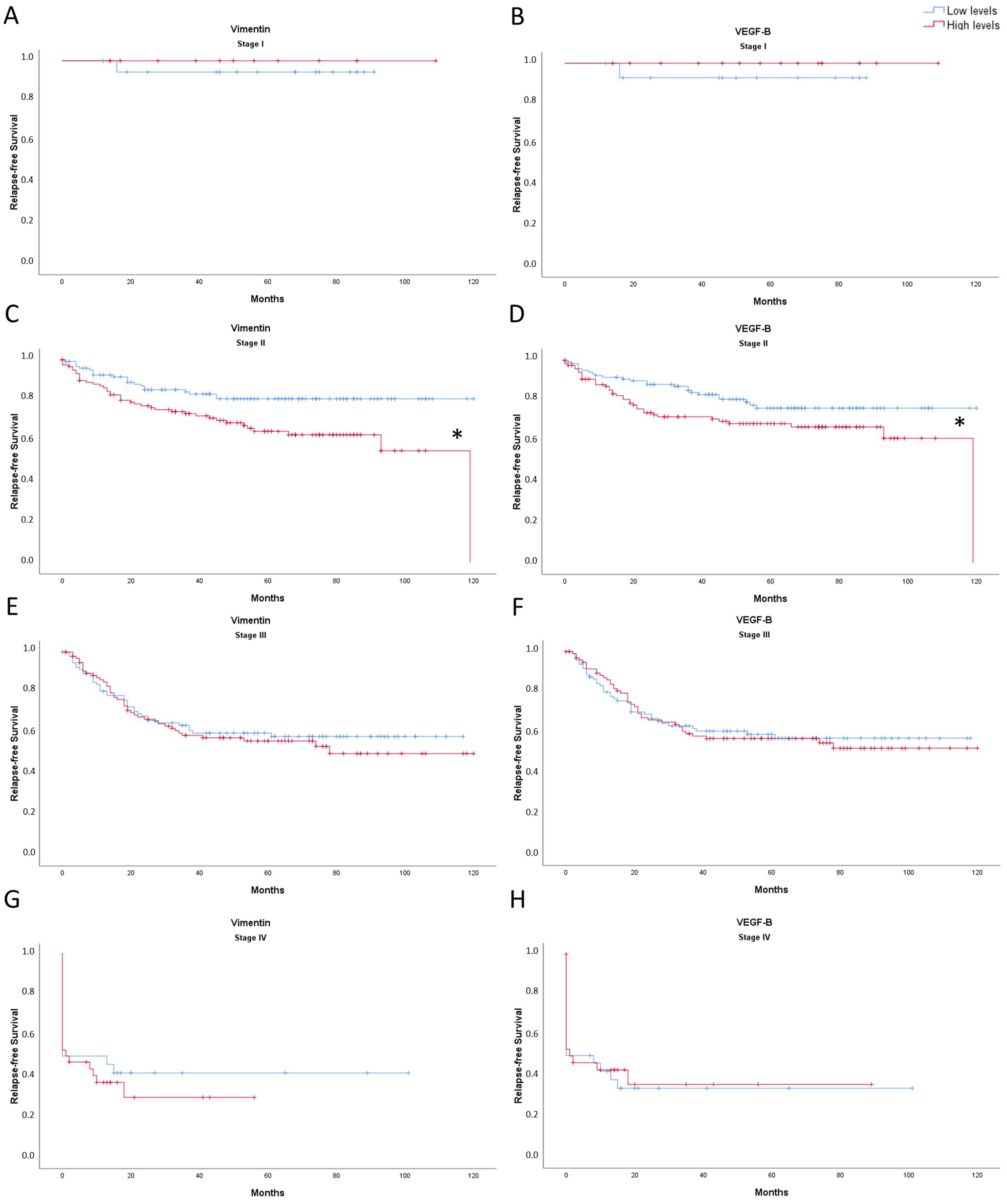
3.3. Vimentin and VEGF-B Expression Levels Are Related to Relapse-Free Survival of Colorectal Cancer Patients in Stage II
4. Discussion
5. Conclusions
Supplementary Materials
Author Contributions
Funding
Institutional Review Board Statement
Informed Consent Statement
Data Availability Statement
Acknowledgments
Conflicts of Interest
References
- Ferlay, J.; Ervik, M.; Lam, F.; Colombet, M.; Mery, L.; Piñeros, M.; Znaor, A.; Soerjomataram, I.B.F. Global Cancer Observatory: Cancer Today. Available online: https://gco.iarc.fr/today (accessed on 1 December 2021).
- Society, A.C. Survival rates for Colorectal Cancer. Available online: https://www.cancer.org/cancer/colon-rectal-cancer/detection-diagnosis-staging/survival-rates.html (accessed on 2 September 2022).
- AJCC. AJCC Cancer Staging Manual, 8th ed.; Springer International Publishing: Chicago, IL, USA, 2017. [Google Scholar]
- Landskron, G.; De Fuente, M.; Thuwajit, P.; Thuwajit, C.; Hermoso, M.A. Chronic Inflammation and Cytokines in the Tumor Microenvironment. J. Immunol. Res. 2014, 2014, 149185. [Google Scholar] [CrossRef] [PubMed]
- Hanahan, D.; Weinberg, R.A. Hallmarks of cancer: The next generation. Cell 2011, 144, 646–674. [Google Scholar] [CrossRef] [PubMed]
- Suarez-Carmona, M.; Lesage, J.; Cataldo, D.; Gilles, C. EMT and inflammation: Inseparable actors of cancer progression. Mol. Oncol. 2017, 11, 805–823. [Google Scholar] [CrossRef] [PubMed]
- Terzić, J.; Grivennikov, S.; Karin, E.; Karin, M. Inflammation and Colon Cancer. Gastroenterology 2010, 138, 2101–2114. [Google Scholar] [CrossRef] [PubMed]
- Hernández-López, R.; Torrens-mas, M.; Pons, D.G.; Company, M.M.; Falcó, E.; Fernández, T.; Ibarra de la Rosa, J.M.; Sastre-Serra, J.; Oliver, J.; Roca, P. Non-tumor adjacent tissue of advanced stage from CRC shows activated antioxidant response. Free Radic. Biol. Med. 2018, 126, 249–258. [Google Scholar] [CrossRef] [PubMed]
- Balkwill, F.; Mantovani, A. Inflammation and cancer: Back to Virchow? Lancet 2001, 357, 539–545. [Google Scholar] [CrossRef]
- Ieda, T.; Tazawa, H.; Okabayashi, H.; Yano, S.; Shigeyasu, K. Visualization of epithelial-mesenchymal transition in an inflammatory microenvironment—Colorectal cancer network. Sci. Rep. 2019, 9, 16378. [Google Scholar] [CrossRef]
- Gaya-Bover, A.; Hernández-López, R.; Alorda-Clara, M.; Ibarra de la Rosa, J.M.; Falcó, E.; Fernández, T.; Margarita, M.; Torrens-mas, M.; Roca, P.; Oliver, J.; et al. Antioxidant enzymes change in different non-metastatic stages in tumoral and peritumoral tissues of colorectal cancer. Int. J. Biochem. Cell Biol. 2020, 120, 105698. [Google Scholar] [CrossRef]
- Bradford, M.M. A rapid and sensitive method for the quantitation of microgram quantities of protein utilizing the principle of protein-dye binding. Anal. Biochem. 1976, 72, 248–254. [Google Scholar] [CrossRef]
- Hernández-López, R.; Torrens-Mas, M.; Pons, D.G.; Company, M.M.; Falcó, E.; Fernández, T.; Ibarra de la Rosa, J.M.; Roca, P.; Oliver, J.; Sastre-Serra, J. Mitochondrial Function Differences between Tumor Tissue of Human Metastatic and Premetastatic CRC. Biology 2022, 11, 293. [Google Scholar] [CrossRef]
- Marisa, L.; de Reyniès, A.; Duval, A.; Selves, J.; Gaub, M.P.; Vescovo, L.; Etienne-Grimaldi, M.-C.; Schiappa, R.; Guenot, D.; Ayadi, M.; et al. Gene expression classification of colon cancer into molecular subtypes: Characterization, validation, and prognostic value. PLoS Med. 2013, 10, e1001453. [Google Scholar] [CrossRef] [PubMed]
- Provenzani, A.; Fronza, R.; Loreni, F.; Pascale, A.; Amadio, M.; Quattrone, A. Global alterations in mRNA polysomal recruitment in a cell model of colorectal cancer progression to metastasis. Carcinogenesis 2006, 27, 1323–1333. [Google Scholar] [CrossRef] [PubMed]
- Friedmann, Y.; Vlodavsky, I.; Aingorn, H.; Aviv, A.; Peretz, T.; Pecker, I.; Pappo, O. Expression of heparanase in normal, dysplastic, and neoplastic human colonic mucosa and stroma: Evidence for its role in colonic tumorigenesis. Am. J. Pathol. 2000, 157, 1167–1175. [Google Scholar] [CrossRef]
- Vlodavsky, I.; Beckhove, P.; Lerner, I.; Pisano, C.; Meirovitz, A.; Ilan, N.; Elkin, M. Significance of heparanase in cancer and inflammation. Cancer Microenviron. 2012, 5, 115–132. [Google Scholar] [CrossRef] [PubMed]
- Masola, V.; Zaza, G.; Gambaro, G.; Franchi, M.; Onisto, M. Role of heparanase in tumor progression: Molecular aspects and therapeutic options. Semin. Cancer Biol. 2020, 62, 86–98. [Google Scholar] [CrossRef]
- Mylona, E.; Nomikos, A.; Magkou, C.; Kamberou, M.; Papassideri, I.; Keramopoulos, A.; Nakopoulou, L. The clinicopathological and prognostic significance of membrane type 1 matrix metalloproteinase (MT1-MMP) and MMP-9 according to their localization in invasive breast carcinoma. Histopathology 2007, 50, 338–347. [Google Scholar] [CrossRef]
- Zhang, Y.; Guan, X.Y.; Dong, B.; Zhao, M.; Wu, J.H.; Tian, X.Y.; Hao, C.Y. Expression of MMP-9 and WAVE3 in colorectal cancer and its relationship to clinicopathological features. J. Cancer Res. Clin. Oncol. 2012, 138, 2035–2044. [Google Scholar] [CrossRef]
- Zheng, C.G.; Chen, R.; Xie, J.B.; Liu, C.B.; Jin, Z.; Jin, C. Immunohistochemical expression of Notch1, Jagged1, NF-κB and MMP-9 in colorectal cancer patients and the relationship to clinicopathological parameters. Cancer Biomark. 2015, 15, 889–897. [Google Scholar] [CrossRef]
- Niknami, Z.; Eslamifar, A.; Emamirazavi, A.; Ebrahimi, A.; Shirkoohi, R. The association of vimentin and fibronectin gene expression with epithelial-mesenchymal transition and tumor malignancy in colorectal carcinoma. EXCLI J. 2017, 16, 1009–1017. [Google Scholar]
- Zhao, Q.; Zhou, H.; Qifei, L.; Ye, C.; Gang, W.; Anla, H.; Liang, R.; Sufang, W.; Qingli, B.; Wenjun, C.; et al. Prognostic value of the expression of cancer stem cell-related markers CD133 and CD44 in hepatocellular carcinoma: From patients to patient-derived tumor xenograft modelst. Oncotarget 2016, 7, 47431–47443. [Google Scholar] [CrossRef]
- Yan, X.; Yan, L.; Liu, S.; Shan, Z.; Tian, Y.; Jin, Z. N-cadherin, a novel prognostic biomarker, drives malignant progression of colorectal cancer. Mol. Med. Rep. 2015, 12, 2999–3006. [Google Scholar] [CrossRef] [PubMed]
- Chang, K.; Jiang, L.; Sun, Y.; Li, H. Effect of E-cadherin on Prognosis of Colorectal Cancer: A Meta-Analysis Update. Mol. Diagn. Ther. 2022, 26, 397–409. [Google Scholar] [CrossRef] [PubMed]
- Angelescu, C.; Burada, F.; Ioana, M.; Angelescu, R.; Moraru, E.; Riza, A.; Marchian, S.; Mixich, F.; Cruce, M.; Săftoiu, A. VEGF-A and VEGF-B mRNA expression in gastro-oesophageal cancers. Clin. Transl. Oncol. 2013, 15, 313–320. [Google Scholar] [CrossRef] [PubMed]
- Li, X.; Kumar, A.; Zhang, F.; Lee, C.; Tang, Z. Complicated life, complicated VEGF-B. Trends Mol. Med. 2012, 18, 119–127. [Google Scholar] [CrossRef]
- Eppenberger, M.; Zlobec, I.; Baumhoer, D.; Terracciano, L.; Lugli, A. Role of the VEGF ligand to receptor ratio in the progression of mismatch repair-proficient colorectal cancer. BMC Cancer 2010, 10, 93. [Google Scholar] [CrossRef]
- André, T.; Kotelevets, L.; Vaillant, J.C.; Coudray, A.M.; Weber, L.; Prévot, S.; Parc, R.; Gespach, C.; Chastre, E. VEGF, VEGF-B, VEGF-C, and their receptors KDR, FLT-1 and FLT-4 during the neoplastic progression of human colonic mucosa. Int. J. Cancer 2000, 86, 174–181. [Google Scholar] [CrossRef]
- Wang, S.; Liu, Z.; Wang, L.; Zhang, X. NF-kappaB signaling pathway, inflammation and colorectal cancer. Cell. Mol. Immunol. 2009, 6, 327–334. [Google Scholar] [CrossRef]
- Desai, S.J.; Prickril, B.; Avraham, R. Mechanisms of phytonutrient modulation of Cyclooxygenase-2 (COX-2) and inflammation related to cancer. Nutr. Cancer 2018, 70, 350–375. [Google Scholar] [CrossRef]
- Sheng, J.; Sun, H.; Yu, F.B.; Li, B.; Zhang, Y.; Zhu, Y.T. The role of cyclooxygenase-2 in colorectal cancer. Int. J. Med. Sci. 2020, 17, 1095–1101. [Google Scholar] [CrossRef]
- Jorgovanovic, D.; Song, M.; Wang, L.; Zhang, Y. Roles of IFN-γin tumor progression and regression: A review. Biomark. Res. 2020, 8, 1–16. [Google Scholar] [CrossRef]
- Paintlia, A.S.; Paintlia, M.K.; Singh, I.; Singh, A.K. IL-4-Induced Peroxisome Proliferator-Activated Receptor γ Activation Inhibits NF-κB Trans Activation in Central Nervous System (CNS) Glial Cells and Protects Oligodendrocyte Progenitors under Neuroinflammatory Disease Conditions: Implication for CNS-Demy. J. Immunol. 2006, 176, 4385–4398. [Google Scholar] [CrossRef] [PubMed]
- Hong, C.; Tontonoz, P. Coordination of inflammation and metabolism by PPAR and LXR nuclear receptors. Curr. Opin. Genet. Dev. 2008, 18, 461–467. [Google Scholar] [CrossRef] [PubMed]
- Wahli, W. A gut feeling of the PXR, PPAR and NF-κB connection. J. Intern. Med. 2008, 263, 613–619. [Google Scholar] [CrossRef] [PubMed]
- Carter, A.B.; Misyak, S.A.; Hontecillas, R.; Bassaganya-Riera, J. Dietary modulation of inflammation-induced colorectal cancer through PPARγ. PPAR Res. 2009, 2009, 498352. [Google Scholar] [CrossRef] [PubMed]
- DuBois, R.N.; Gupta, R.; Brockman, J.; Reddy, B.S.; Krakow, S.L.; Lazar, M.A. The nuclear eicosanoid receptor, PPARγ, is aberrantly expressed in colonic cancers. Carcinogenesis 1998, 19, 49–53. [Google Scholar] [CrossRef]
- Nii, T.; Makino, K.; Tabata, Y. Three-Dimensional Culture System of Cancer Cells Combined with Biomaterials for Drug Screening. Cancers 2020, 12, 2754. [Google Scholar] [CrossRef]
- Cui, H.; Esworthy, T.; Zhou, X.; Hann, S.Y.; Glazer, R.I.; Li, R.; Shang, L.G. Engineering a novel 3D printed vascularized tissue model for investigating breast cancer metastasis to bone. Adv. Healthc. Mater. 2020, 9, e1900924. [Google Scholar] [CrossRef]
- Hao, S.; Ha, L.; Cheng, G.; Wan, Y.; Xia, Y.; Sosnoski, D.M.; Mastro, A.M.; Zheng, S. A Spontaneous 3D Bone-On-a-Chip for Bone Metastasis Study of Breast Cancer Cells. Small 2018, 14, 1702787. [Google Scholar] [CrossRef]
- Póvoa, V.; De Almeida, C.R.; Maia-Gil, M.; Sobral, D.; Domingues, M.; Martinez-lopez, M.; Fuzeta, M.D.A.; Silva, C.; Grosso, A.R.; Fior, R. Innate immune evasion revealed in a colorectal zebrafish xenograft model. Nat. Commun. 2021, 12, 1156. [Google Scholar] [CrossRef]
- Zipper, L.; Batchu, S.; Kaya, N.H.; Antonello, Z.A. The MicroRNA miR-277 Controls Physiology and Pathology of the Adult Drosophila Midgut by Regulating the Expression of Fatty Acid β -Oxidation-Related Genes in Intestinal Stem Cells. Metabolites 2022, 12, 315. [Google Scholar] [CrossRef]






Publisher’s Note: MDPI stays neutral with regard to jurisdictional claims in published maps and institutional affiliations. |
© 2022 by the authors. Licensee MDPI, Basel, Switzerland. This article is an open access article distributed under the terms and conditions of the Creative Commons Attribution (CC BY) license (https://creativecommons.org/licenses/by/4.0/).
Share and Cite
Alorda-Clara, M.; Torrens-Mas, M.; Hernández-López, R.; Ibarra de la Rosa, J.M.; Falcó, E.; Fernández, T.; Company, M.M.; Sastre-Serra, J.; Oliver, J.; Pons, D.G.; et al. Inflammation- and Metastasis-Related Proteins Expression Changes in Early Stages in Tumor and Non-Tumor Adjacent Tissues of Colorectal Cancer Samples. Cancers 2022, 14, 4487. https://doi.org/10.3390/cancers14184487
Alorda-Clara M, Torrens-Mas M, Hernández-López R, Ibarra de la Rosa JM, Falcó E, Fernández T, Company MM, Sastre-Serra J, Oliver J, Pons DG, et al. Inflammation- and Metastasis-Related Proteins Expression Changes in Early Stages in Tumor and Non-Tumor Adjacent Tissues of Colorectal Cancer Samples. Cancers. 2022; 14(18):4487. https://doi.org/10.3390/cancers14184487
Chicago/Turabian StyleAlorda-Clara, Marina, Margalida Torrens-Mas, Reyniel Hernández-López, Javier M. Ibarra de la Rosa, Esther Falcó, Teresa Fernández, Maria Margarita Company, Jorge Sastre-Serra, Jordi Oliver, Daniel Gabriel Pons, and et al. 2022. "Inflammation- and Metastasis-Related Proteins Expression Changes in Early Stages in Tumor and Non-Tumor Adjacent Tissues of Colorectal Cancer Samples" Cancers 14, no. 18: 4487. https://doi.org/10.3390/cancers14184487
APA StyleAlorda-Clara, M., Torrens-Mas, M., Hernández-López, R., Ibarra de la Rosa, J. M., Falcó, E., Fernández, T., Company, M. M., Sastre-Serra, J., Oliver, J., Pons, D. G., & Roca, P. (2022). Inflammation- and Metastasis-Related Proteins Expression Changes in Early Stages in Tumor and Non-Tumor Adjacent Tissues of Colorectal Cancer Samples. Cancers, 14(18), 4487. https://doi.org/10.3390/cancers14184487

