Cancerous Tumor Controlled Treatment Using Search Heuristic (GA)-Based Sliding Mode and Synergetic Controller
Abstract
:Simple Summary
Abstract
1. Introduction
- This paper introduces a novel drug that eliminates CCs;
- Elimination of CCs but also reduction of the effect of chemotherapy on NCs and ICs was also used to bring NCs up to threshold level.
- A new controller was designed to obtain optimal results where SMC and SC are utilized as drugs;
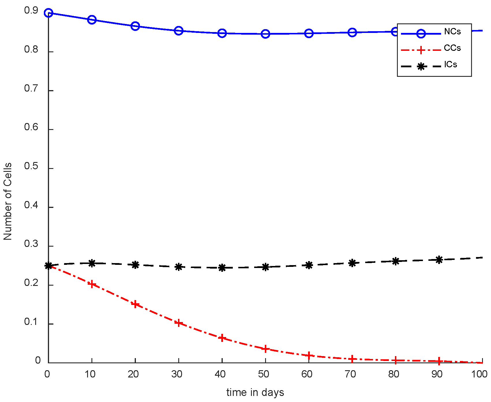
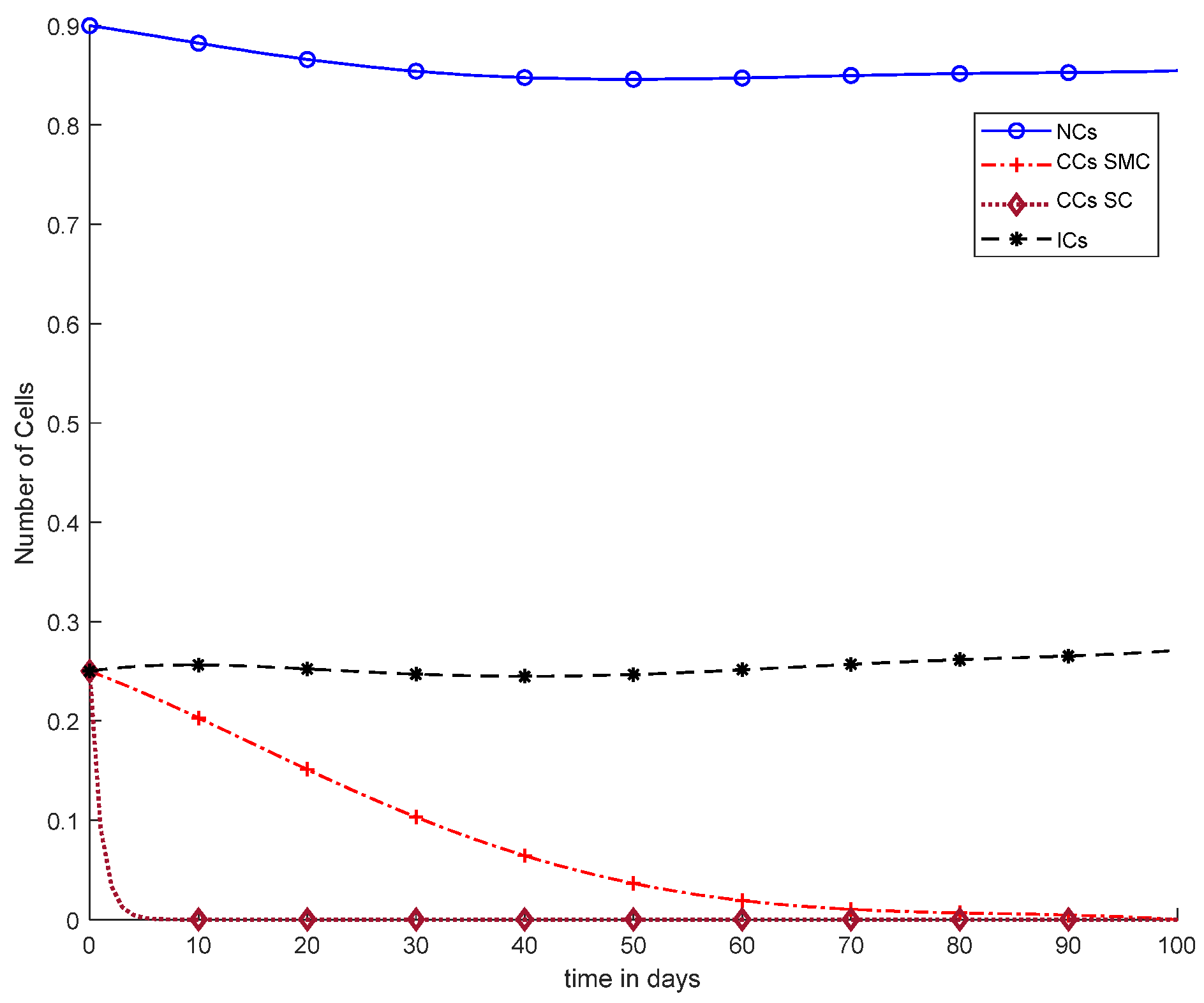
- The proposed solution eliminates CCs within five days;
- Various methods were incorporated to check the performance of the proposed solution with traditional approaches. Further, two basic approaches such as theoretical and simulation were performed to evaluate the results.
2. Literature Study
3. Cancer Model with Proposed Methodology
- CCs and NCs follow logistic growth.
- ICs and drugs must have natural death rates.
- NCs have controlled growth, but CCs possess uncontrolled behavior; therefore, population growth will be variable.
- Drug sources can be either constant or exponential.
3.1. Cancer Tumor Model
3.2. Bernstein Polynomial (BSP)
3.3. Heuristic Algorithm
- Random population having unknown length of chromosomes;
- Candidate solution and mutation are used in genetic algorithm, which is considered the classical method for optimization;
- Fitness function is utilized to check the desired solution;
- Crossover, mutation, and selection are found for fitness criteria.
3.4. Controllers
3.5. Sliding Mode Controllers (SMC)
3.6. Synergetic Controllers (SC)
4. Proposed Methodology
| Algorithm 1 [24,25,26,27]: Model approximation using GA-tuned BSP along with a controller as the proposed drug |
| 1. Model approximation using BSP 2. Coefficients’ tuning using GA a. Initialization phase b. Set parameters for each stage i. Approximation ii. Assign number of generation iii. Generate initial population 1. While a. Calculate fitness b. Selection 2. Do a. Crossover b. Mutate P(t) 3. End while 4. P(t+1) = New Population 3. Applying SMC a. Set parameters b. Define sliding surface c. Design controller to drive initial states to the sliding surface d. Applying on model e. Repeat step 1 and 2 4. Applying SC a. Assume macro-variable b. Design sliding manifold c. Force the initial states to sliding manifold d. Repeat step 1 and 2 5. Compare SMC and SC Stop |
4.1. The Error Function
4.1.1. Case-1
4.1.2. Case-2
4.1.3. Case-3
4.1.4. Case-4
4.1.5. Case-5
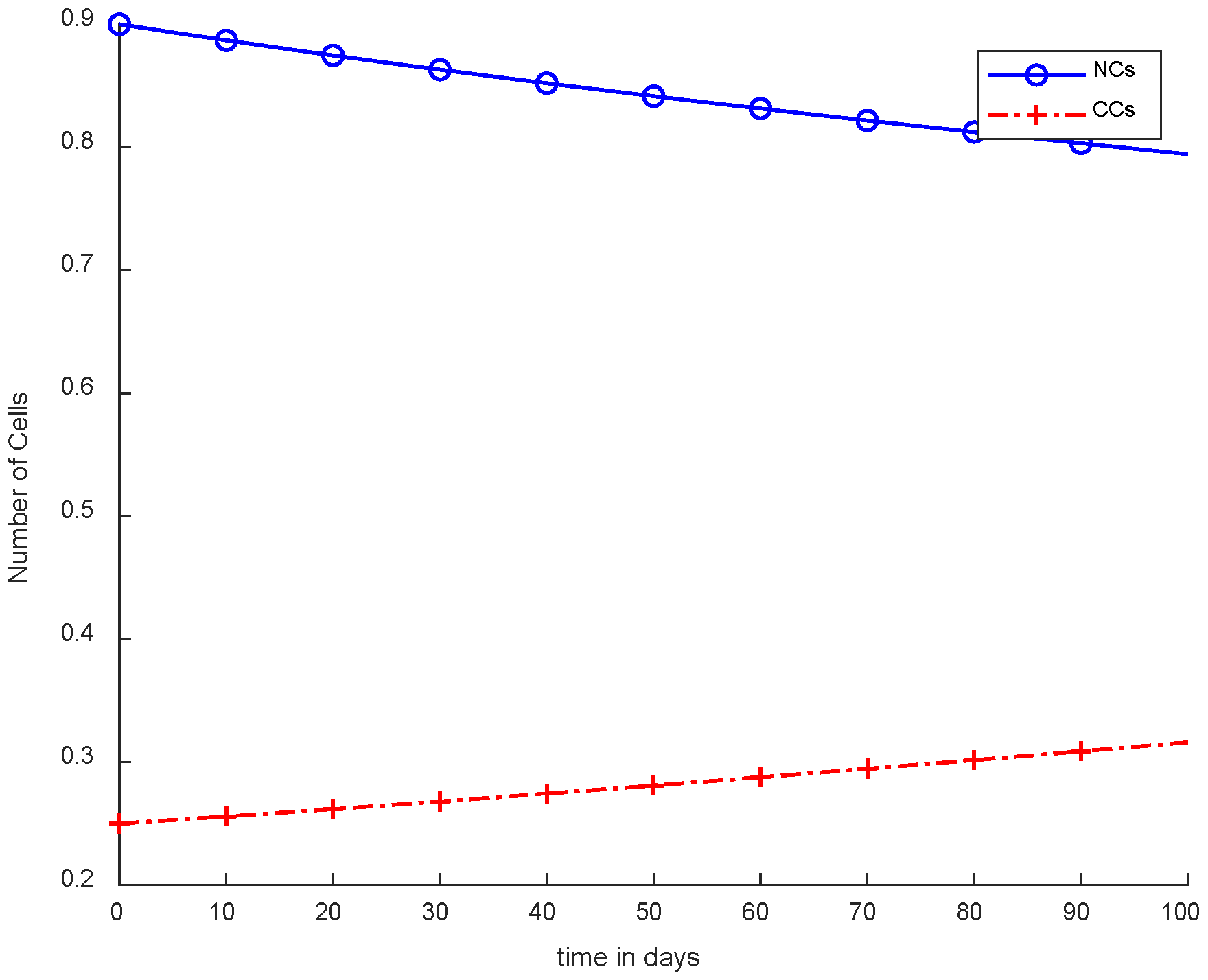
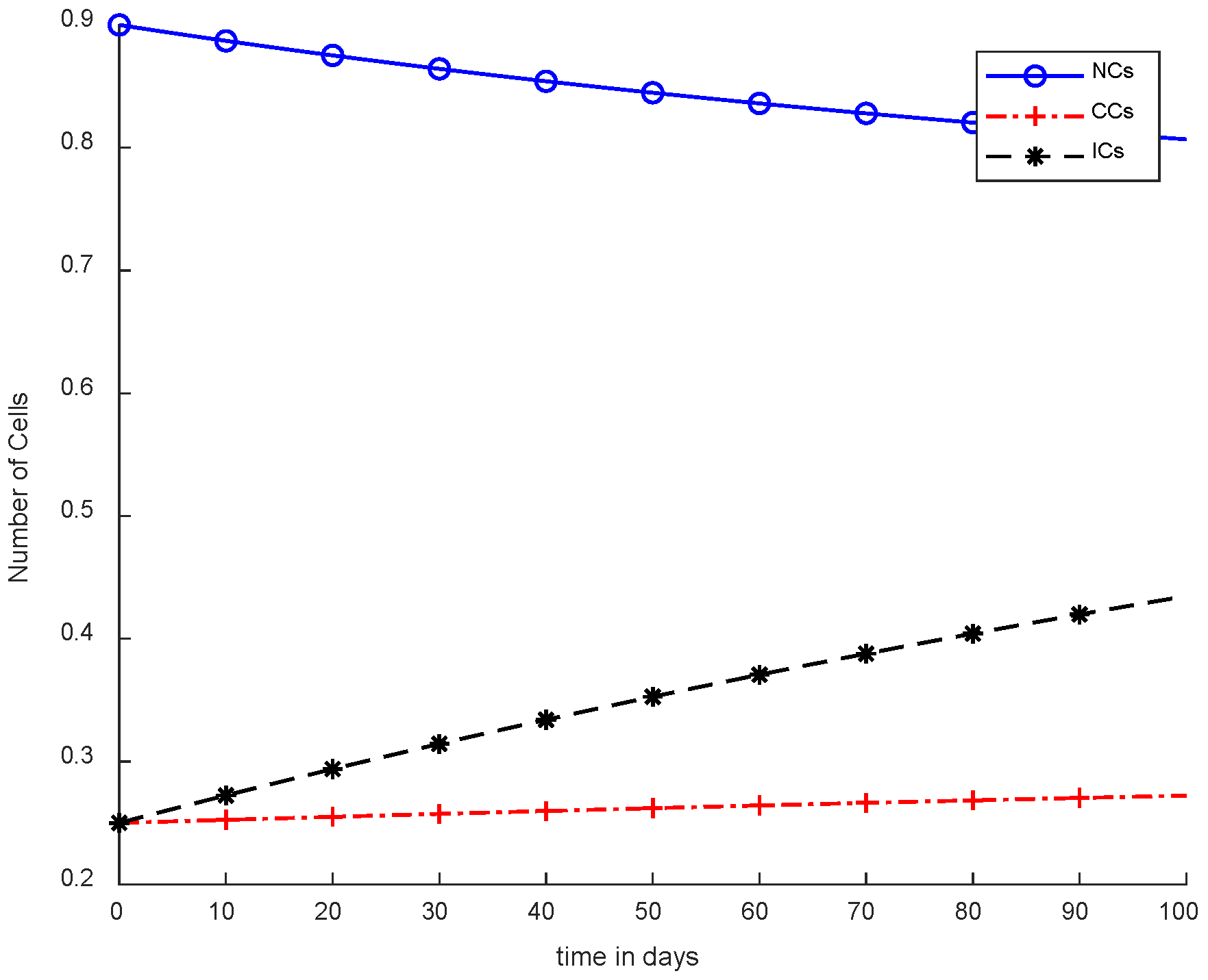
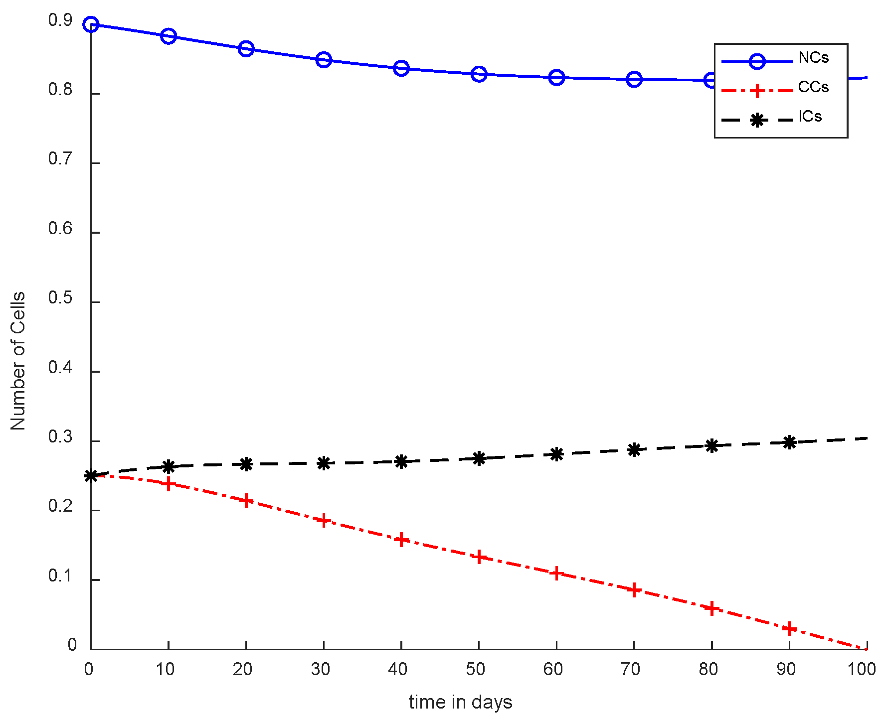
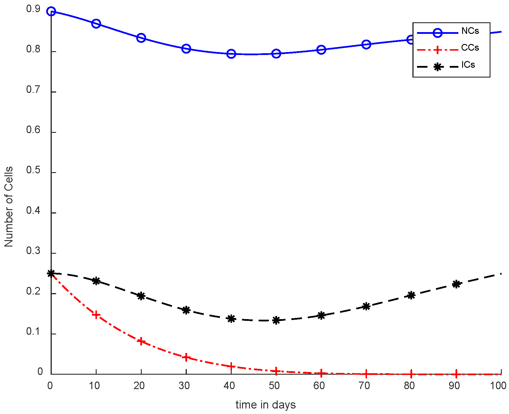
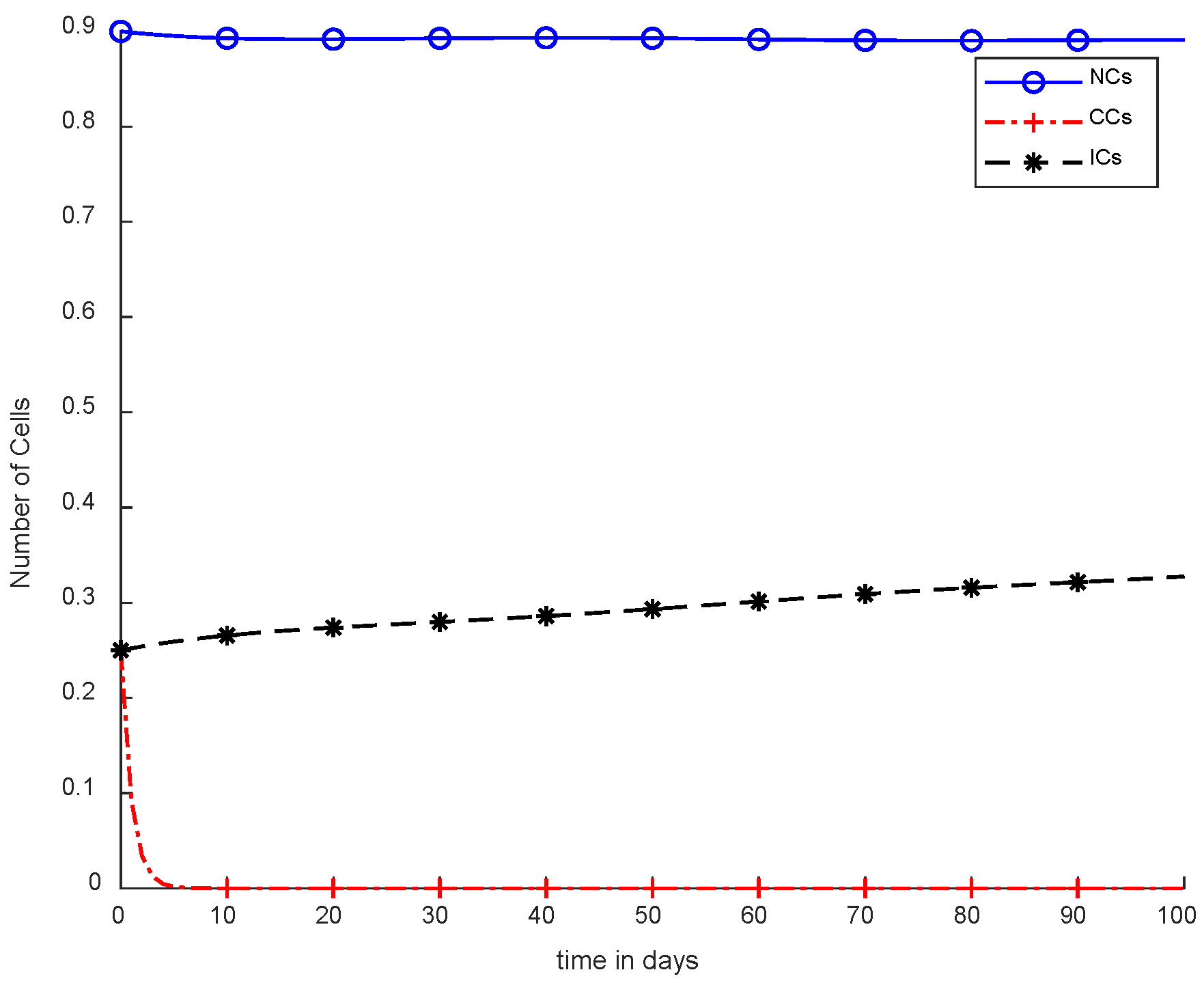
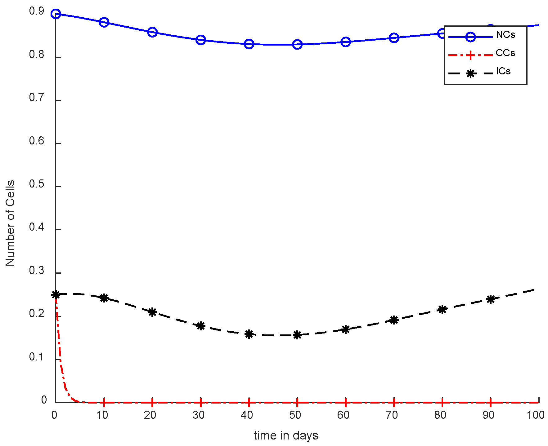
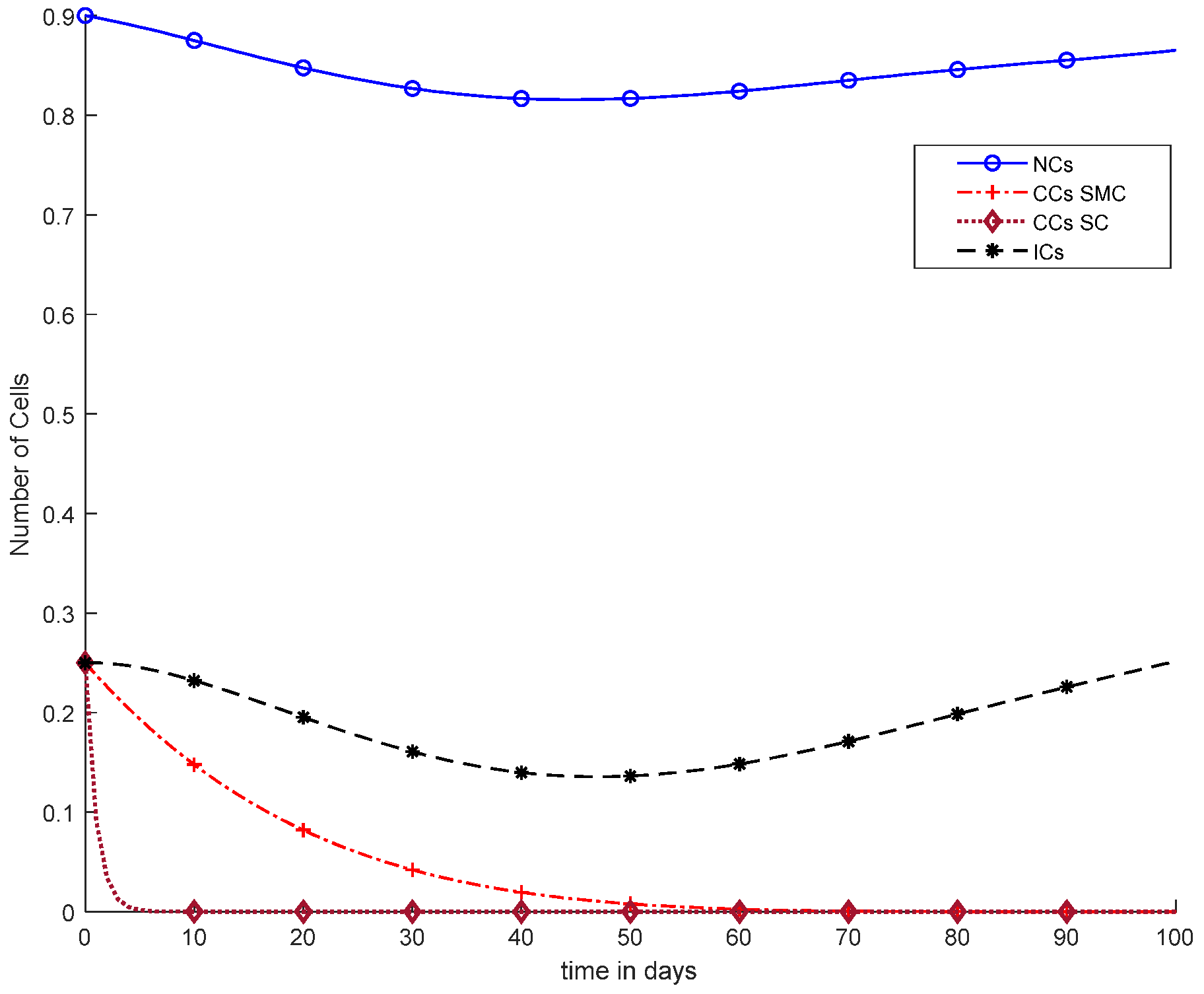
5. Numerical Results and Discussion
6. Comparative Discussion
7. Conclusions
Author Contributions
Funding
Institutional Review Board Statement
Informed Consent Statement
Data Availability Statement
Acknowledgments
Conflicts of Interest
Abbreviations
| Notation | Description |
| NCs | Normal cells |
| CCs | Cancerous tumor cells |
| ICs | Immune cells |
| GA | Genetic algorithm |
| BP | Bernstein polynomial |
| SMC | Sliding mode controller |
| SC | Synergetic controller |
| MOS | Multi-objective swarms |
| ODE | Ordinary differential equation |
| NCODE | Nonlinear ordinary coupled differential equation |
| PSO | Particle swarm optimization |
| WHO | World health organization |
| COVID-19 | Coronavirus disease of 2019 |
| T-cells | Thymus cells |
| CAR-T-cells | Chimeric antigen receptor T-cells |
| 1. IFN | Type-1 Interferon receptor |
| CRPC | Castrate-resistant prostate cancer |
| Anti-CTLA4 | Anti-cytotoxic T-lymphocytes associated protein 4 |
References
- Fiore, M.C.; D’Angelo, H.; Baker, T. Effective Cessation Treatment for Patients with Cancer Who Smoke—The Fourth Pillar of Cancer Care. JAMA Netw. Open 2019, 2, e1912264. [Google Scholar] [CrossRef] [PubMed]
- Enderling, H.; Chaplain, A.J.M. Mathematical modeling of tumor growth and treatment. Curr. Pharm. Des. 2014, 20, 4934–4940. [Google Scholar] [PubMed]
- Weidner, N.; Semple, J.P.; Welch, W.R.; Folkman, J. Tumor angiogenesis and metastasis—Correlation in invasive breast carcinoma. N. Engl. J. Med. 1991, 324, 1–8. [Google Scholar] [CrossRef] [PubMed]
- Ganesan, S.; Lingeshwaran, S. Galerkin finite element method for cancer invasion mathematical model. Comput. Math. Appl. 2017, 73, 2603–2617. [Google Scholar] [CrossRef]
- World Health Organization. WHO Methods and Data Sources for Country Level Causes of Death, 2000–2019. Global Health Estimates Technical Paper WHO/DDI/DNA/GHE/2020.2; World Health Organization: Geneva, Switzerland, 2020.
- Siegel, R.L.; Miller, K.D.; Fuchs, H.E.; Jemal, A. Cancer statistics, 2021. CA. Cancer J. Clin. 2021, 71, 7–33. [Google Scholar]
- Konstorum, A.; Vella, A.T.; Adler, A.J.; Laubenbacher, R.C. Addressing current challenges in cancer immunotherapy with mathematical and computational modelling. J. R. Soc. Interface 2017, 14, 20170150. [Google Scholar] [CrossRef]
- Ansarizadeh, F.; Singh, M.; Richards, D. Modelling of tumor cells regression in response to chemotherapeutic treatment. Appl. Math. Model. 2017, 48, 96–112. [Google Scholar] [CrossRef]
- DePillis, L.G.; Eladdadi, A.; Radunskaya, A.E. Modeling cancer-immune responses to therapy. J. Pharmacokinet. Pharmacodyn. 2014, 41, 461–478. [Google Scholar] [CrossRef]
- Khalili, P.; Vatankhah, R. Derivation of an optimal trajectory and nonlinear adaptive controller design for drug delivery in cancerous tumor chemotherapy. Comput. Biol. Med. 2019, 109, 195–206. [Google Scholar] [CrossRef]
- Zouhri, S.; Saadi, S.; Hamdache, A. The Optimal Impulsive Drug Schedule for Cancer Immunotherapy. Int. J. Sci. Res. 2017, 6, 1643–1652. [Google Scholar]
- De Pillis, L.G.; Radunskaya, A. A mathematical tumor model with immune resistance and drug therapy: An optimal control approach. Comput. Math. Methods Med. 2001, 3, 79–100. [Google Scholar]
- Saleem, M.; Agrawal, T. Chaos in a Tumor Growth Model with Delayed Responses of the Immune System. J. Appl. Math. 2012, 2012, 891095. [Google Scholar] [CrossRef]
- Rocha, A.M.A.C.; Costa, M.F.P.; Fernandes, E.M.G.P. On a multiobjective optimal control of a tumor growth model with immune response and drug therapies. Int. Trans. Oper. Res. 2018, 25, 269–294. [Google Scholar] [CrossRef]
- Dhiman, G.; Kumar, V. Multi-objective spotted hyena optimizer: A Multi-objective optimization algorithm for engineering problems. Knowl. Based Syst. 2018, 150, 175–197. [Google Scholar] [CrossRef]
- Ahrabi, S.S. Optimal control in cancer immunotherapy by the application of particle swarm optimization. arXiv 2018, arXiv:1806.04752. [Google Scholar]
- Srinivasu, P.N.; Ahmed, S.; Alhumam, A.; Kumar, A.B.; Ijaz, M.F. An AW-HARIS Based Automated Segmentation of Human Liver Using CT Images. Comput. Mater. Contin. 2021, 69, 3303–3319. [Google Scholar] [CrossRef]
- Liu, S.; Yang, B.; Wang, Y.; Tian, J.; Yin, L.; Zheng, W. 2D/3D Multimode Medical Image Registration Based on Normalized Cross-Correlation. Appl. Sci. 2022, 12, 2828. [Google Scholar] [CrossRef]
- Ijaz, M.F.; Attique, M.; Son, Y. Data-Driven Cervical Cancer Prediction Model with Outlier Detection and Over-Sampling Methods. Sensors 2020, 20, 2809. [Google Scholar] [CrossRef]
- Mandal, M.; Singh, P.K.; Ijaz, M.F.; Shafi, J.; Sarkar, R. A Tri-Stage Wrapper-Filter Feature Selection Framework for Disease Classification. Sensors 2021, 21, 5571. [Google Scholar] [CrossRef]
- Srinivasu, P.N.; SivaSai, J.G.; Ijaz, M.F.; Bhoi, A.K.; Kim, W.; Kang, J.J. Classification of skin disease using deep learning neural networks with MobileNet V2 and LSTM. Sensors 2021, 21, 2852. [Google Scholar] [CrossRef]
- Moussa, K.; Fiacchini, M.; Alamir, M. Robust Optimal Control-based Design of Combined Chemo- and Immunotherapy Delivery Profiles. IFAC-PapersOnLine 2019, 52, 76–81. [Google Scholar] [CrossRef]
- Malinzi, J.; Ouifki, R.; Eladdadi, A.; Torres, D.F.M.; White, K.A.J. Enhancement of chemotherapy using oncolytic virotherapy: Mathematical and optimal control analysis. arXiv 2018, arXiv:1807.04329. [Google Scholar] [CrossRef] [PubMed]
- Lestari, D.; Sari, E.R.; Arifah, H. Dynamics of a mathematical model of cancer cells with chemotherapy. J. Physics Conf. Ser. 2019, 1320, 012026. [Google Scholar] [CrossRef]
- De Pillis, L.; Radunskaya, A. The dynamics of an optimally controlled tumor model: A case study. Math. Comput. Model. 2003, 37, 1221–1244. [Google Scholar] [CrossRef]
- Lobato, F.S.; Machado, V.S.; Steffen, V., Jr. Determination of an optimal control strategy for drug administration in tumor treatment using multi-objective optimization differential evolution. Comput. Methods Programs Biomed. 2016, 131, 51–61. [Google Scholar] [CrossRef]
- Shindi, O.; Kanesan, J.; Kendall, G.; Ramanathan, A. The combined effect of optimal control and swarm intelligence on optimization of cancer chemotherapy. Comput. Methods Programs Biomed. 2020, 189, 105327. [Google Scholar] [CrossRef]
- Subhan, F.; Aziz, M.A.; Shah, J.A.; Kadir, K.A.; Qureshi, I.M. Tumor Treatment Protocol by Using Genetic Algorithm Based Bernstein Polynomials and Sliding Mode Controller. IEEE Access 2021, 9, 152503–152513. [Google Scholar] [CrossRef]
- Mehdizadeh, R.; Shariatpanahi, S.P.; Goliaei, B.; Peyvandi, S.; Rüegg, C. Dormant Tumor Cell Vaccination: A Mathematical Model of Immunological Dormancy in Triple-Negative Breast Cancer. Cancers 2021, 13, 245. [Google Scholar] [CrossRef]
- Coletti, R.; Pugliese, A.; Lunardi, A.; Caffo, O.; Marchetti, L. A Model-Based Framework to Identify Optimal Administration Protocols for Immunotherapies in Castration-Resistance Prostate Cancer. Cancers 2021, 14, 135. [Google Scholar] [CrossRef]
- Subhan, F.; Malik, S.A.; Khan, M.A.; Aziz, M.A.; Uddin, M.I.; Ullah, I. Numerical Investigation of Thin Film Flow of a Third-Grade Fluid on a Moving Belt Using Evolutionary Algorithm-Based Heuristic Technique. J. Circuits Syst. Comput. 2021, 31, 2250011. [Google Scholar] [CrossRef]
- Utkin, V. Discontinuous Control Systems: State of Art in Theory and Applications. IFAC Proc. 1987, 20, 25–44. [Google Scholar] [CrossRef]
- Skruch, P.; Długosz, M. Design of Terminal Sliding Mode Controllers for Disturbed Non-Linear Systems Described by Matrix Differential Equations of the Second and First Orders. Appl. Sci. 2019, 9, 2325. [Google Scholar] [CrossRef]
- Kolesnikov, A.A. Introduction of synergetic control. In Proceedings of the 2014 American control conference, Portland, OR, USA, 4–6 June 2014; pp. 3013–3016. [Google Scholar]
- Das, P.; Das, S.; Upadhyay, R.K.; Das, P. Optimal treatment strategies for delayed cancer-immune system with multiple therapeutic approach. Chaos Solitons Fractals 2020, 136, 109806. [Google Scholar] [CrossRef]
- Dehingia, K.; Sarmah, H.K.; Hosseini, K.; Sadri, K.; Salahshour, S.; Park, C. An optimal control problem of immuno-chemotherapy in presence of gene therapy. AIMS Math. 2021, 6, 11530–11549. [Google Scholar] [CrossRef]
- Barros, L.R.C.; Paixão, E.A.; Valli, A.M.P.; Naozuka, G.T.; Fassoni, A.C.; Almeida, R.C. CART math—A Mathematical Model of CAR-T Immunotherapy in Preclinical Studies of Hematological Cancers. Cancers 2021, 13, 2941. [Google Scholar] [CrossRef]
- Khan, I.U.; Qureshi, I.M.; Aziz, M.A.; Cheema, T.A.; Shah, S.B.H. Smart IoT Control-Based Nature Inspired Energy Efficient Routing Protocol for Flying Ad Hoc Network (FANET). IEEE Access 2020, 8, 56371–56378. [Google Scholar] [CrossRef]
- Abbasi, A.; Sultan, K.; Aziz, M.A.; Khan, A.U.; Khalid, H.A.; Guerrero, J.M.; Zafar, B.A. A Novel Dynamic Appliance Clustering Scheme in a Community Home Energy Management System for Improved Stability and Resiliency of Microgrids. IEEE Access 2021, 9, 142276–142288. [Google Scholar] [CrossRef]
- Khan, I.U.; Abdollahi, A.; Alturki, R.; Alshehri, M.D.; Ikram, M.A.; Alyamani, H.J.; Khan, S. Intelligent Detection System Enabled Attack Probability Using Markov Chain in Aerial Networks. Wirel. Commun. Mob. Comput. 2021, 2021, 1542657. [Google Scholar] [CrossRef]
- Dash, S.; Verma, S.; Kavita; Khan, S.; Wozniak, M.; Shafi, J.; Ijaz, M.F. A Hybrid Method to Enhance Thick and Thin Vessels for Blood Vessel Segmentation. Diagnostics 2021, 11, 2017. [Google Scholar] [CrossRef]
- Vulli, A.; Srinivasu, P.N.; Sashank, M.S.K.; Shafi, J.; Choi, J.; Ijaz, M.F. Fine-Tuned DenseNet-169 for Breast Cancer Metastasis Prediction Using FastAI and 1-Cycle Policy. Sensors 2022, 22, 2988. [Google Scholar] [CrossRef]
- Cao, Z.; Wang, Y.; Zheng, W.; Yin, L.; Tang, Y.; Miao, W.; Liu, S.; Yang, B. The algorithm of stereo vision and shape from shading based on endoscope imaging. Biomed. Signal Process. Control 2022, 76, 103658. [Google Scholar] [CrossRef]















| Treatment and Controller | Behavior | Limitations |
|---|---|---|
| Pulsed chemotherapy protocol [9] | Oscillatory behavior of CCs and ICs | CCs not removed completely |
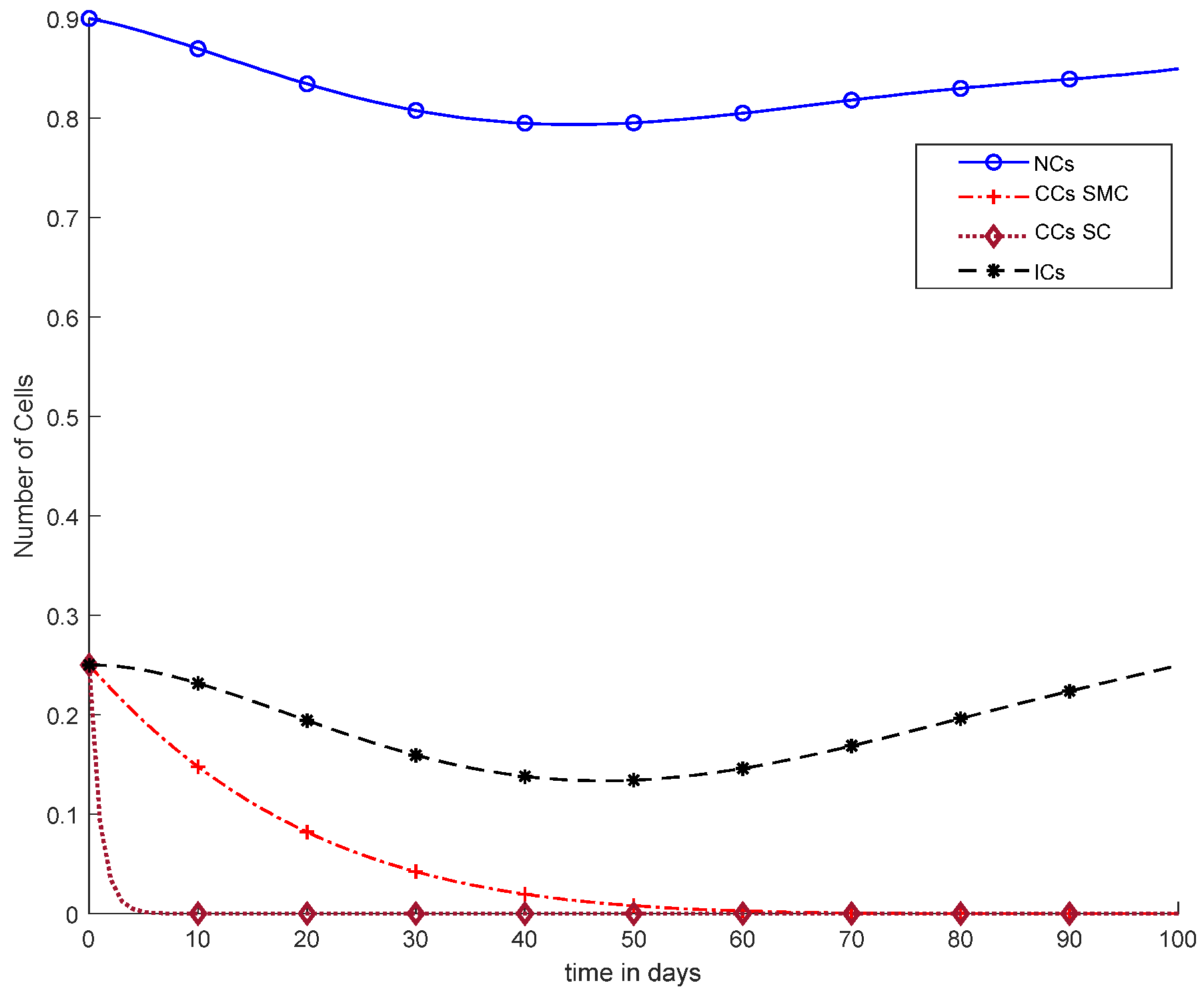
| Direct collocation as an optimal control with continuous chemotherapy [19] | Oscillation in ICs, slow reduction of CCs | CCs eliminated within 70 days, NCs reduced to dangerous level |
| Traditional pulse chemotherapy [20] | Reduction of CCs and NCs | CCs still remaining, NCs die down to minimum threshold |
| Optimal control with chemotherapy [20] | CCs slowly removed | Elimination of CCs within 70 days |
| Chemo-immunotherapy with optimal control [20] | Oscillatory behavior of NCs and ICs | Treatment destroys the CCs, NCs, and ICs |
| Multi-objective swarm as an optimal control with chemotherapy [14] | Nonlinear behavior of treatment, NCs and CCs. | NCs reduced to minimum edge, so for the time being, treatment is stopped to recover NCs to a safe level. |
| Chemo-immunotherapy of triple-negative breast cancer [29] | ICs remain at very low level | CCs eliminated after 60 days |
| Optimal administration protocols for immunotherapies [22] | Nonlinear behavior of CCs elimination | CCs eliminated after 40 days |
| Chemo-immunotherapy with SMC [15] | CCs eliminated from the patient’s body within 45 days. | The CCs elimination is good but can be enhanced. |
| Parameters | Values | Estimated | Description |
|---|---|---|---|
| 1 | 0 to 1 | Reduction coefficient of growth rate of CCs | |
| 0 | 0 to 0.8 | Positive constant | |
| 0 | 0 to 1 | Coefficient of controller nonlinear term | |
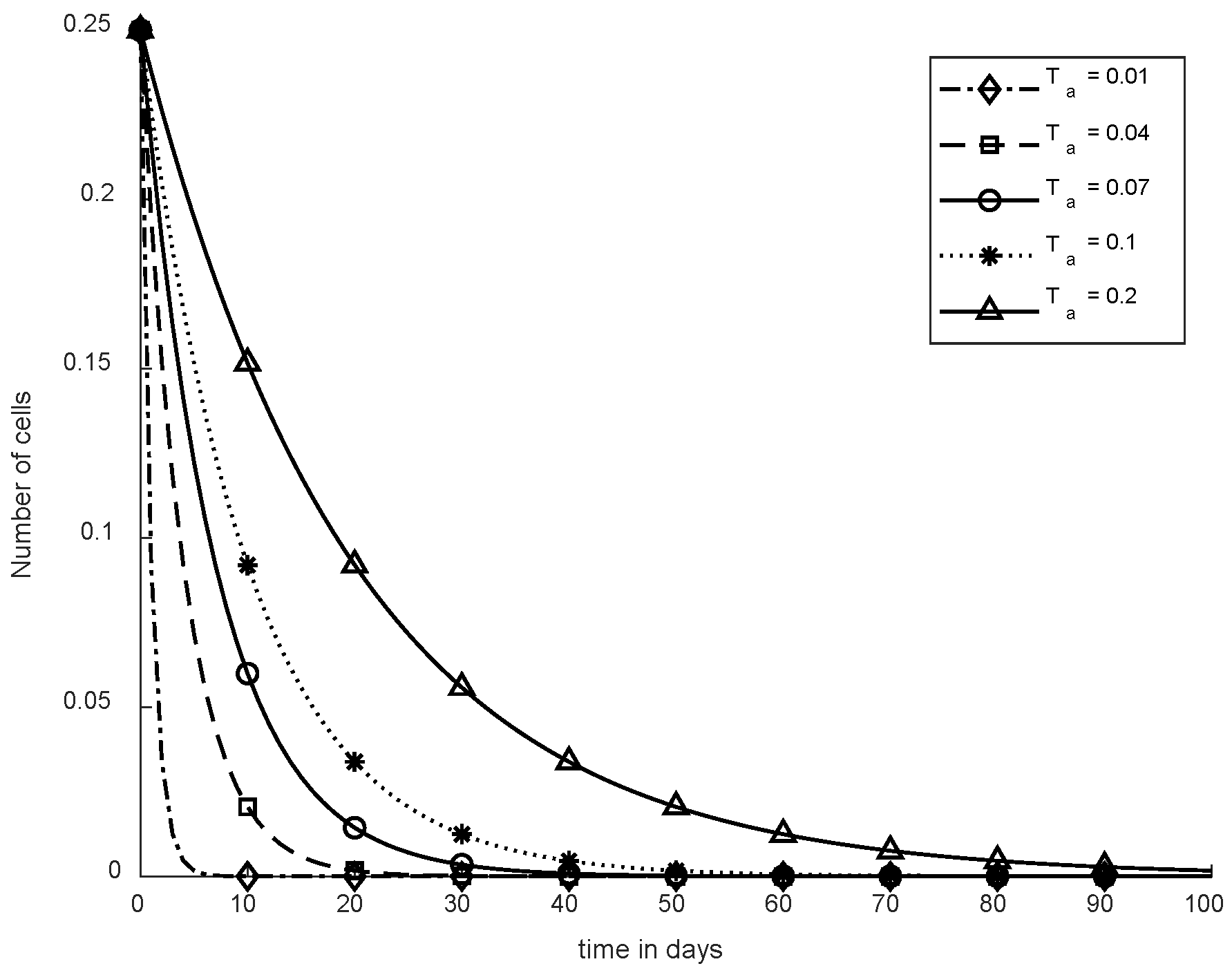
| 0.01 | 0.01 to 0.2 | Convergence time of SC | |
| 1 | 1 | Coefficient of SMC | |
| 1 | 0 to 1 | Coefficient of SMC |
| Treatment and Controller | Cells | Description |
|---|---|---|
| Traditional pulsed chemotherapy without controller [9] | NCs | NCs reduced to minimum level. |
| CCs | CCs held at maximum level. | |
| ICs | Little increase in ICs was observed. | |
| Chemotherapy with optimal control [9] | NCs | NCs hit minimum level and when treatment halted rose to maximum level. |
| CCs | Approximately, in 70 days, CCs fell to zero. | |
| ICs | ICs also increased to a good level. | |
| Chemotherapy and angiotherapy along with adaptive controller [10] | NCs | NCs very slowly increased to a healthy state. |
| CCs | More than 80 days needed to decrease to minimum level. | |
| ECs | During treatment, ECs increased and after that decreased | |
| .Multi immunotherapy [11] | CCs | CCs reduced to minimum level within 100 days but were not completely removed. |
| ICs | Also decreased. | |
| Multi objective swarm with optimal control [27] | NCs | When NCs reached minimum threshold, treatment was stopped for a short time for the recovery of NCs. |
| CCs | Approximately, in 50 days, CCs fell to zero. | |
| ICs | ICs increased to a good level. | |
| Chemo-immunotherapy along with SMC controller [15] | NCs | NCs held at maximum level. |
| CCs | CCs eliminated within 45 days. | |
| ICs | ICs achieved a good level. | |
| Multi Chemo-immunotherapy along with Quadratic control [35] | NCs | NCs increased after CCs elimination. |
| CCs | CCs eliminated approximately in 40 days. | |
| ICs | ICs also increased slightly after CCs elimination. | |
| Chemo-immunotherapy along with Quadratic control [28] | CCs | CCs exterminated approximately in 20 days. |
| ICs | ICs rose to maximum level after 100 days. | |
| Optimal administration protocols for cancer immunotherapies [36] | CCs | CCs eliminated approximately at 35 to 40 days. |
| ICs | ICs also rose after CCs elimination. | |
| Mathematical modelling of CAR-T immunotherapy [32] | CCs | CCs eliminated approximately within 50 days. |
| ICs | ICs increased after CCs elimination. | |
| Mathematical modelling of Chemo-immunotherapy in Triple-Negative Breast cancer [21] | CCs | CCs completely removed within 60 days. |
| ICs | ICs achieved maximum level after CCs elimination. | |
| Chemo-immunotherapy along with conjoined SMC and SC controller (proposed) | NCs | NCs held to maximum level. |
| CCs | CCs eliminated within 5 days. | |
| ICs | ICs also held to maximum level |
Publisher’s Note: MDPI stays neutral with regard to jurisdictional claims in published maps and institutional affiliations. |
© 2022 by the authors. Licensee MDPI, Basel, Switzerland. This article is an open access article distributed under the terms and conditions of the Creative Commons Attribution (CC BY) license (https://creativecommons.org/licenses/by/4.0/).
Share and Cite
Subhan, F.; Aziz, M.A.; Khan, I.U.; Fayaz, M.; Wozniak, M.; Shafi, J.; Ijaz, M.F. Cancerous Tumor Controlled Treatment Using Search Heuristic (GA)-Based Sliding Mode and Synergetic Controller. Cancers 2022, 14, 4191. https://doi.org/10.3390/cancers14174191
Subhan F, Aziz MA, Khan IU, Fayaz M, Wozniak M, Shafi J, Ijaz MF. Cancerous Tumor Controlled Treatment Using Search Heuristic (GA)-Based Sliding Mode and Synergetic Controller. Cancers. 2022; 14(17):4191. https://doi.org/10.3390/cancers14174191
Chicago/Turabian StyleSubhan, Fazal, Muhammad Adnan Aziz, Inam Ullah Khan, Muhammad Fayaz, Marcin Wozniak, Jana Shafi, and Muhammad Fazal Ijaz. 2022. "Cancerous Tumor Controlled Treatment Using Search Heuristic (GA)-Based Sliding Mode and Synergetic Controller" Cancers 14, no. 17: 4191. https://doi.org/10.3390/cancers14174191
APA StyleSubhan, F., Aziz, M. A., Khan, I. U., Fayaz, M., Wozniak, M., Shafi, J., & Ijaz, M. F. (2022). Cancerous Tumor Controlled Treatment Using Search Heuristic (GA)-Based Sliding Mode and Synergetic Controller. Cancers, 14(17), 4191. https://doi.org/10.3390/cancers14174191

