Neutrophil-to-Lymphocyte Ratio Is a Predictive Biomarker in Patients with Epidermal Growth Factor Receptor (EGFR) Mutated Advanced Non-Small Cell Lung Cancer (NSCLC) Treated with Tyrosine Kinase Inhibitor (TKI) Therapy
Abstract
Simple Summary
Abstract
1. Introduction
2. Materials and Methods
2.1. Patient Selection and Data Collection
2.2. Statistics
3. Results
3.1. Patient Characteristics
3.2. Univariable Analysis on NLR and Survival Outcomes
3.3. Univariable Analysis on BMI and Studied Outcomes
3.4. Total Number of Disease Sites, Adverse Drug Events and ECOG Score on NLR
3.5. Multivariable Analysis on Baseline Patient Characteristics and Survival Outcomes at Treatment Start
3.6. Multivariable Analysis of NLR at Treatment Start, 6 Weeks and 12 Weeks of Therapy
4. Discussion
5. Conclusions
Supplementary Materials
Author Contributions
Funding
Institutional Review Board Statement
Informed Consent Statement
Data Availability Statement
Conflicts of Interest
References
- Siegel, R.L.; Miller, K.D.; Jemal, A. Cancer statistics, 2020. CA Cancer J. Clin. 2020, 70, 7–30. [Google Scholar] [CrossRef]
- Aguiar-Bujanda, D.; Dueñas-Comino, A.; Saura-Grau, S.; Ros-Sanjuan, L.; Blanco-Sanchez, M.J.; Hernandez-Sosa, M.; Santiago, M.M.-D.; Galvan-Ruiz, S.; Lorenzo-Barreto, J.E.; Vargas-Prado, A.M.; et al. Neutrophil to Lymphocyte Ratio as a Prognostic Factor in European Patients with Epidermal Growth Factor Receptor-Mutant Non-Small Cell Lung Cancer Treated with Tyrosine Kinase Inhibitors. Oncol. Res. Treat. 2018, 41, 755–761. [Google Scholar] [CrossRef]
- Ramalingam, S.S.; Vansteenkiste, J.; Planchard, D.; Cho, B.C.; Gray, J.E.; Ohe, Y.; Zhou, C.; Reungwetwattana, T.; Cheng, Y.; Chewaskulyong, B.; et al. Overall Survival with Osimertinib in Untreated, EGFR-Mutated Advanced NSCLC. N. Engl. J. Med. 2020, 382, 41–50. [Google Scholar] [CrossRef]
- Fang, W.; Huang, Y.; Hong, S.; Zhang, Z.; Wang, M.; Gan, J.; Wang, W.; Guo, H.; Wang, K.; Zhang, L. EGFR exon 20 insertion mutations and response to osimertinib in non-small-cell lung cancer. BMC Cancer 2019, 19, 595. [Google Scholar] [CrossRef]
- Derman, B.A.; Macklis, J.N.; Azeem, M.S.; Sayidine, S.; Basu, S.; Batus, M.; Esmail, F.; Borgia, J.A.; Bonomi, P.; Fidler, M.J. Relationships between longitudinal neutrophil to lymphocyte ratios, body weight changes, and overall survival in patients with non-small cell lung cancer. BMC Cancer 2017, 17, 141. [Google Scholar] [CrossRef] [PubMed]
- Forget, P.; Khalifa, C.; Defour, J.P.; Latinne, D.; Van Pel, M.C.; De Kock, M. What is the normal value of the neutrophil-to-lymphocyte ratio? BMC Res Notes 2017, 10, 12. [Google Scholar] [CrossRef] [PubMed]
- Proctor, M.J.; McMillan, D.C.; Morrison, D.S.; Fletcher, C.D.; Horgan, P.G.; Clarke, S.J. A derived neutrophil to lymphocyte ratio predicts survival in patients with cancer. Br. J. Cancer 2012, 107, 695–699. [Google Scholar] [CrossRef]
- Zhang, Y.; Feng, Y.-C.; Zhu, H.-G.; Xiong, T.-C.; Hou, Y.-S.; Song, J.; Jiang, W.; Zhu, C.-J. The peripheral blood neutrophil-to-lymphocyte ratio is a prognostic predictor for survival of EGFR-mutant nonsmall cell lung cancer patients treated with EGFR-TKIs. Medicine 2018, 97, e11648. [Google Scholar] [CrossRef]
- Wang, Z.; Zhan, P.; Lv, Y.; Shen, K.; Wei, Y.; Liu, H.; Song, Y. Prognostic role of pretreatment neutrophil-to-lymphocyte ratio in non-small cell lung cancer patients treated with systemic therapy: A meta-analysis. Transl. Lung Cancer Res. 2019, 8, 214–226. [Google Scholar] [CrossRef] [PubMed]
- Minami, S.; Ogata, Y.; Ihara, S.; Yamamoto, S.; Komuta, K. Neutrophil-to-Lymphocyte Ratio Predicts Overall Survival of Advanced Non-Small Cell Lung Cancer Harboring Mutant Epidermal Growth Factor Receptor. World J. Oncol. 2017, 8, 180–187. [Google Scholar] [CrossRef][Green Version]
- Phan, T.T.; Ho, T.T.; Nguyen, H.T.; Nguyen, H.T.; Tran, T.B.; Nguyen, S.T. The prognostic impact of neutrophil to lymphocyte ratio in advanced non-small cell lung cancer patients treated with EGFR TKI. Int. J. Gen. Med. 2018, 11, 423–430. [Google Scholar] [CrossRef]
- Deng, H.Y.; Hou, L.; Zha, P.; Huang, K.L.; Peng, L. Sarcopenia is an independent unfavorable prognostic factor of non-small cell lung cancer after surgical resection: A comprehensive systematic review and meta-analysis. Eur. J. Surg. Oncol. 2019, 45, 728–735. [Google Scholar] [CrossRef]
- Ono, T.; Igawa, S.; Kurahayashi, S.; Okuma, Y.; Sugimoto, A.; Kusuhara, S.; Ozawa, T.; Fukui, T.; Sasaki, J.; Mitsufuji, H.; et al. Impact of neutrophil-to-lymphocyte ratio in patients with EGFR-mutant NSCLC treated with tyrosine kinase inhibitors. Investig. New Drugs 2020. [Google Scholar] [CrossRef]
- Meriggi, F.; Codignola, C.; Beretta, G.D.; Ceresoli, G.L.; Caprioli, A.; Scartozzi, M.; Fraccon, A.P.; Prochilo, T.; Ogliosi, C.; Zaniboni, A. Significance of neutrophil-to-lymphocyte ratio in Western advanced EGFR-mutated non-small cell lung cancer receiving a targeted therapy. Tumori J. 2017, 103, 443–448. [Google Scholar] [CrossRef] [PubMed]
- Mandaliya, H.; Jones, M.; Oldmeadow, C.; Nordman, I.I. Prognostic biomarkers in stage IV non-small cell lung cancer (NSCLC): Neutrophil to lymphocyte ratio (NLR), lymphocyte to monocyte ratio (LMR), platelet to lymphocyte ratio (PLR) and advanced lung cancer inflammation index (ALI). Transl. Lung Cancer Res. 2019, 8, 886–894. [Google Scholar] [CrossRef] [PubMed]
- Wislez, M.; Fleury-Feith, J.; Rabbe, N.; Moreau, J.; Cesari, D.; Milleron, B.; Mayaud, C.; Antoine, M.; Soler, P.; Cadranel, J. Tumor-derived granulocyte-macrophage colony-stimulating factor and granulocyte colony-stimulating factor prolong the survival of neutrophils infiltrating bronchoalveolar subtype pulmonary adenocarcinoma. Am. J. Pathol. 2001, 159, 1423–1433. [Google Scholar] [CrossRef][Green Version]
- Tavakkoli, M.; Wilkins, C.R.; Mones, J.V.; Mauro, M.J. A Novel Paradigm Between Leukocytosis, G-CSF Secretion, Neutrophil-to-Lymphocyte Ratio, Myeloid-Derived Suppressor Cells, and Prognosis in Non-small Cell Lung Cancer. Front Oncol. 2019, 9, 295. [Google Scholar] [CrossRef]
- Tcyganov, E.; Mastio, J.; Chen, E.; Gabrilovich, D.I. Plasticity of myeloid-derived suppressor cells in cancer. Curr. Opin. Immunol. 2018, 51, 76–82. [Google Scholar] [CrossRef]
- Singel, K.L.; Segal, B.H. Neutrophils in the tumor microenvironment: Trying to heal the wound that cannot heal. Immunol. Rev. 2016, 273, 329–343. [Google Scholar] [CrossRef]
- Yang, L.-Y.; Luo, Q.; Lu, L.; Zhu, W.-W.; Sun, H.-T.; Wei, R.; Lin, Z.-F.; Wang, X.-Y.; Wang, C.-Q.; Lu, M.; et al. Increased neutrophil extracellular traps promote metastasis potential of hepatocellular carcinoma via provoking tumorous inflammatory response. J. Hematol. Oncol. 2020, 13, 3. [Google Scholar] [CrossRef]
- Hurt, B.; Schulick, R.; Edil, B.; El Kasmi, K.C.; Barnett, C., Jr. Cancer-promoting mechanisms of tumor-associated neutrophils. Am. J. Surg. 2017, 214, 938–944. [Google Scholar] [CrossRef]
- Jaillon, S.; Ponzetta, A.; Di Mitri, D.; Santoni, A.; Bonecchi, R.; Mantovani, A. Neutrophil diversity and plasticity in tumour progression and therapy [published online ahead of print, 2020 Jul 21]. Nat. Rev. Cancer 2020. [Google Scholar] [CrossRef]
- Rebuzzi, S.E.; Alfieri, R.; La Monica, S.; Minari, R.; Petronini, P.G.; Tiseo, M. Combination of EGFR-TKIs and chemotherapy in advanced EGFR mutated NSCLC: Review of the literature and future perspectives. Crit. Rev. Oncol. Hematol. 2020, 146, 102820. [Google Scholar] [CrossRef]
- Yu, H.A.; Schoenfeld, A.J.; Makhnin, A.; Kim, R.; Rizvi, H.; Tsui, D.; Falcon, C.; Houck-Loomis, B.; Meng, F.; Yang, J.L.; et al. Effect of Osimertinib and Bevacizumab on Progression-Free Survival for Patients With Metastatic EGFR-Mutant Lung Cancers: A Phase 1/2 Single-Group Open-Label Trial. JAMA Oncol. 2020, 6, 1048–1054. [Google Scholar] [CrossRef]
- Nakagawa, K.; Garon, E.B.; Seto, T.; Nishio, M.; Ponce Aix, S.; Paz-Ares, L.; Chiu, C.H.; Park, K.; Novello, S.; Nadal, E.; et al. Ramucirumab plus erlotinib in patients with untreated, EGFR-mutated, advanced non-small-cell lung cancer (RELAY): A randomised, double-blind, placebo-controlled, phase 3 trial. Lancet Oncol. 2019, 1655–1669. [Google Scholar] [CrossRef]
- Marcoux, N.; Gettinger, S.N.; O’Kane, G.; Arbour, K.C.; Neal, J.W.; Husain, H.; Evans, T.L.; Brahmer, J.R.; Muzikansky, A.; Bonomi, P.D.; et al. EGFR-Mutant Adenocarcinomas That Transform to Small-Cell Lung Cancer and Other Neuroendocrine Carcinomas: Clinical Outcomes. J. Clin. Oncol. 2019, 278–285. [Google Scholar] [CrossRef]
- Zhou, C.; Imamura, F.; Cheng, Y.; Okamoto, I.; Cho, B.C.; Lin, M.C.; Majem, M.; Gautschi, O.; Gray, J.E.; Boyer, M.J.; et al. Early clearance of plasma EGFR mutations as a predictor of response to Osimertinib and comparator EGFR-TKIs in the FLAURA trial. J. Clin. Oncol. 2019, 37 (Suppl. 15), 9020. [Google Scholar] [CrossRef]
- Cheng, H.; Hosgood, H.D.; Deng, L.; Ye, K.; Su, C.; Sharma, J.; Yang, Y.; Halmos, B.; Perez-Soler, R. Survival Disparities in Black Patients With EGFR-mutated Non-small-cell Lung Cancer. Clin. Lung Cancer 2020, 177–185. [Google Scholar] [CrossRef] [PubMed]
- Leduc, N.; Atallah, V.; Agossou, M.; Vinh-Hung, V.; Orre, M.; Sargos, P.; Molinie, V. Lung Adenocarcinoma Survival in EGFR-Mutated African-Caribbean Patients: A Multicenter Study in the French West Indies. Target Oncol. 2017, 689–693. [Google Scholar] [CrossRef] [PubMed]
- Jones, C.C.; Mercaldo, S.F.; Blume, J.D.; Wenzlaff, A.S.; Schwartz, A.G.; Chen, H.; Deppen, S.A.; Bush, W.S.; Crawford, D.C.; Chanock, S.J.; et al. Racial Disparities in Lung Cancer Survival: The Contribution of Stage, Treatment, and Ancestry. J. Thorac. Oncol. 2018, 1464–1473. [Google Scholar] [CrossRef]
- Ellis, L.; Canchola, A.J.; Spiegel, D.; Ladabaum, U.; Haile, R.; Gomez, S.L. Racial and Ethnic Disparities in Cancer Survival: The Contribution of Tumor, Sociodemographic, Institutional, and Neighborhood Characteristics. J. Clin. Oncol. 2018, 36, 25–33. [Google Scholar] [CrossRef]
- Tang, M.; Gao, X.; Sun, H.; Tian, S.; Dong, J.; Liu, Z.; Liu, W. Neutrophil-Lymphocyte Ratio as a Prognostic Parameter in NSCLC Patients Receiving EGFR-TKIs: A Systematic Review and Meta-Analysis. J. Oncol. 2021, 2021, 6688346. [Google Scholar] [CrossRef] [PubMed]

| Patient Characteristics | NLR 1 < 5 | NLR ≥ 5 | NLR N/A 2 | Total |
|---|---|---|---|---|
| Age at Diagnosis | ||||
| <65 | 46 | 23 | 4 | 73 |
| ≥65 | 42 | 17 | 5 | 64 |
| Gender | ||||
| Male | 19 | 14 | 2 | 35 |
| Female | 69 | 26 | 7 | 102 |
| Race | ||||
| White | 53 | 26 | 7 | 86 |
| Asian | 9 | 3 | 0 | 12 |
| Black/African American | 20 | 8 | 2 | 30 |
| Other | 4 | 1 | 0 | 5 |
| More than one | 1 | 0 | 0 | 1 |
| Not reported | 1 | 2 | 0 | 3 |
| Smoking Status | ||||
| Never | 41 | 17 | 4 | 62 |
| ≤15 pack years | 30 | 12 | 2 | 44 |
| >15 pack years | 17 | 10 | 3 | 30 |
| Former (not counted) | 0 | 1 | 0 | 1 |
| Baseline BMI 3 | ||||
| ≤18.5 | 0 | 2 | 0 | 2 |
| >18.5 to ≤25 | 36 | 23 | 3 | 62 |
| >25 to ≤30 | 31 | 10 | 3 | 44 |
| >30 | 20 | 5 | 3 | 28 |
| Not available | 1 | 0 | 0 | 1 |
| Number of Metastatic Sites | ||||
| 1 | 8 | 1 | 1 | 10 |
| 2 | 29 | 1 | 3 | 33 |
| 3 | 25 | 14 | 3 | 42 |
| 4 | 16 | 11 | 1 | 28 |
| 5 | 8 | 8 | 0 | 16 |
| 6 | 0 | 1 | 0 | 1 |
| 7 | 2 | 4 | 1 | 7 |
| CNS 4 Metastases | ||||
| Present | 25 | 21 | 1 | 47 |
| Not present | 63 | 19 | 8 | 90 |
| Histology | ||||
| Adenocarcinoma | 86 | 40 | 9 | 135 |
| Mixed/poorly differentiated NSCLC 5 | 2 | 0 | 0 | 2 |
| Baseline Mutations | ||||
| Exon 19 Deletion (Total with All Co-mutations) | 49 | 21 | 2 | 72 |
| Exon 19 alone | 46 | 21 | 2 | 69 |
| +T790M | 2 | 0 | 0 | 2 |
| +EGFR 6 amplification | 1 | 0 | 0 | 1 |
| +L858R | 1 | 0 | 0 | 1 |
| L858R (Total with All Co-mutations) | 30 | 15 | 2 | 47 |
| L858R alone | 24 | 14 | 2 | 40 |
| +T790M | 4 | 1 | 0 | 5 |
| +Exon 19 | 1 | 0 | 0 | 1 |
| +L833V | 1 | 0 | 0 | 1 |
| T790M (Total with All Co-mutations) | 6 | 1 | 0 | 7 |
| +Exon 19 | 2 | 0 | 0 | 2 |
| +L858R | 4 | 1 | 0 | 5 |
| G719X (Total with All Co-mutations) | 6 | 3 | 0 | 9 |
| G719A alone | 1 | 1 | 0 | 2 |
| G719A + L833_V834delinsFL | 1 | 0 | 0 | 1 |
| G719A + S768I | 1 | 0 | 0 | 1 |
| G719C + S768I | 1 | 0 | 0 | 1 |
| G719A + E709A | 1 | 0 | 0 | 1 |
| G719S + G709A | 1 | 0 | 0 | 1 |
| G719S + E709A | 0 | 2 | 0 | 2 |
| S768I (Total with All Co-mutations) | 3 | 0 | 1 | 4 |
| S768I alone | 1 | 0 | 1 | 2 |
| S768I +G719X | 2 | 0 | 0 | 2 |
| L861Q Alone | 1 | 0 | 1 | 2 |
| Others | ||||
| Exon 18 del p.E709_T710delinsD | 0 | 0 | 1 | 1 |
| LUL: Exon 19; RUL: pT790M and L861Q | 0 | 0 | 1 | 1 |
| EGFR amplification and E709_T710 > D; | 0 | 0 | 1 | 1 |
| Not known | 1 | 1 | 0 | 2 |
| First-line TKI 7 | ||||
| Erlotinib | 48 | 21 | 7 | 76 |
| Osimertinib | 26 | 9 | 1 | 36 |
| Afatinib | 13 | 10 | 1 | 24 |
| Gefitinib | 1 | 0 | 0 | 1 |
| TKI Began 1+ Years after Advanced Stage Diagnosis | ||||
| Yes | 7 | 3 | 0 | 10 |
| No | 81 | 37 | 9 | 127 |
| Other Systemic Treatment for Metastatic Disease before Starting TKI | ||||
| Yes | 28 | 8 | 0 | 36 |
| No | 60 | 32 | 9 | 101 |
| ECOG 8 Score | ||||
| 0 | 30 | 9 | 5 | 44 |
| 1 | 49 | 23 | 4 | 76 |
| 2 | 6 | 6 | 0 | 12 |
| 3 | 2 | 2 | 0 | 4 |
| Not reported | 1 | 0 | 0 | 1 |
| Toxicity Grade | ||||
| Grade 0–2 | 62 | 31 | 5 | 98 |
| Grade 3–4 | 25 | 8 | 4 | 37 |
| Grade 5 | 1 | 1 | 0 | 2 |
| TKI | Therapy Start | 6 Weeks | 12 Weeks | |||
|---|---|---|---|---|---|---|
| Drug | NLR < 5 | NLR ≥ 5 | NLR < 5 | NLR ≥ 5 | NLR < 5 | NLR ≥ 5 |
| Afatinib | 15% | 15% | 19% | 12% | 19% | 15% |
| Erlotinib | 54.50% | 32% | 50% | 69% | 59% | 50% |
| Gefitinib | 1% | 0% | 1% | 0% | 1% | 0% |
| Osimertinib | 29.50% | 53% | 30% | 19% | 21% | 35% |
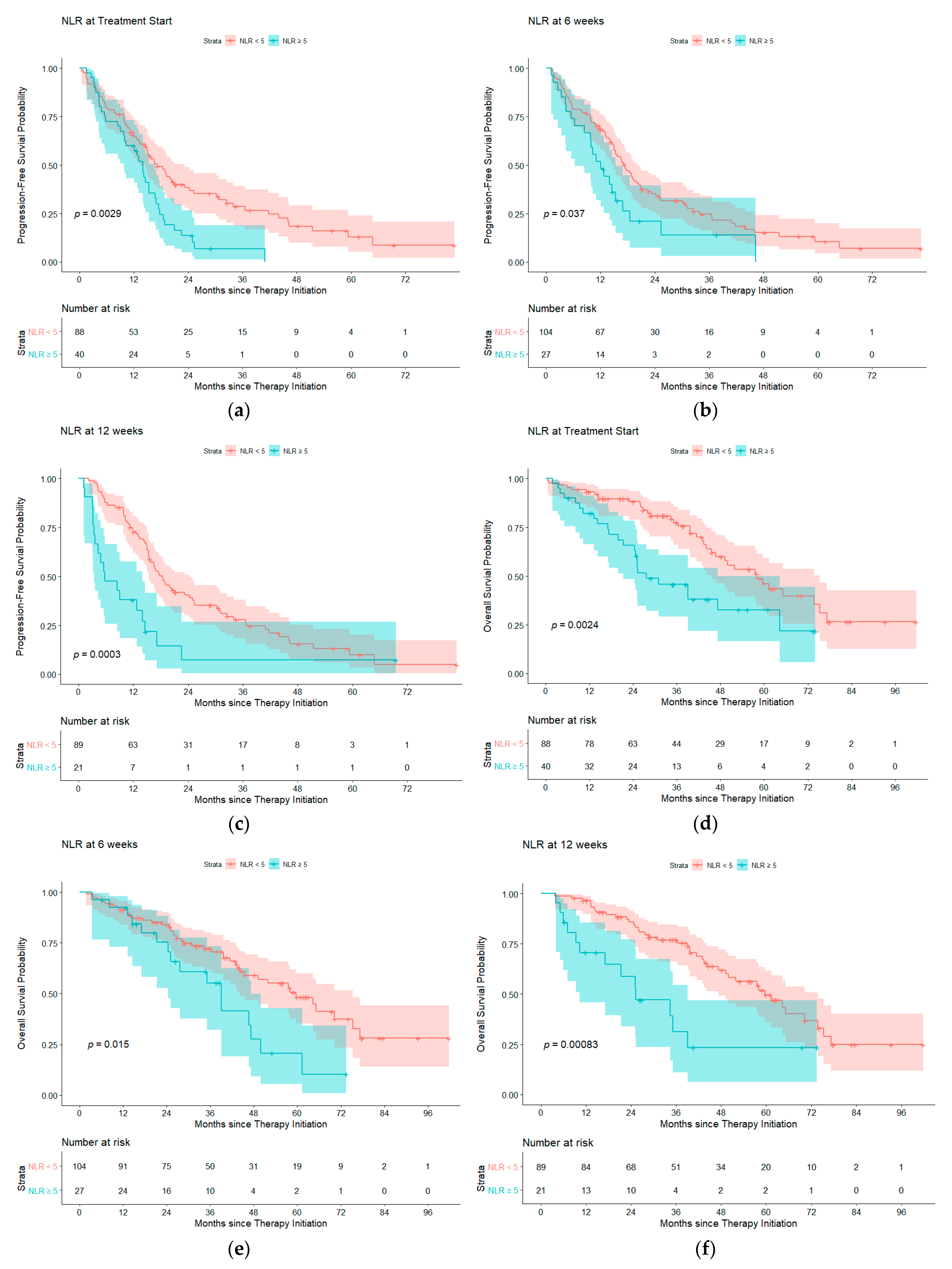
| Outcome | NLR | Measurement Time | n | Median (Months) | 95% CI | p-Value |
|---|---|---|---|---|---|---|
| OS | <5 | Treatment Start | 88 | 58 | (45.5, 75.3) | 0.0024 |
| OS | ≥5 | Treatment Start | 40 | 27.6 | (21.3, 47.3) | |
| OS | <5 | 6 weeks after Treatment Start | 104 | 59.7 | (44.2, 75.3) | 0.015 |
| OS | ≥5 | 6 weeks after Treatment Start | 27 | 39.1 | (24.3, 47.3) | |
| OS | <5 | 12 weeks after Treatment Start | 89 | 59.7 | (47.3, 73.8) | 0.00083 |
| OS | ≥5 | 12 weeks after Treatment Start | 21 | 25.2 | (10.2, 39.1) | |
| PFS | <5 | Treatment Start | 88 | 17.2 | (13.3, 23.3) | 0.0029 |
| PFS | ≥5 | Treatment Start | 40 | 14 | (9.8, 16.7) | |
| PFS | <5 | 6 weeks after Treatment Start | 104 | 17.4 | (14.9, 20.5) | 0.037 |
| PFS | ≥5 | 6 weeks after Treatment Start | 27 | 12.1 | (6.3, 15.4) | |
| PFS | <5 | 12 weeks after Treatment Start | 89 | 18.4 | (15.4, 24.3) | 0.0003 |
| PFS | ≥5 | 12 weeks after Treatment Start | 21 | 5.8 | (3.4, 14.0) | |
| OS | <5 | Progression | 71 | 33.4 | (25.2, 42.5) | 0.00022 |
| OS | ≥5 | Progression | 31 | 10.2 | (3.7, 17.9) |
| OS | PFS | ||||||
|---|---|---|---|---|---|---|---|
| Group | HR 1 | 95% CI | p | Group | HR | 95% CI | p |
| NLR (pre-treatment) | NLR (pre-treatment) | ||||||
| ≥5 (vs. <5) | 1.935 | (0.911, 4.106) | 0.086 | ≥5 (vs. <5) | 1.077 | (0.602, 1.925) | 0.803 |
| Age | Age | ||||||
| ≥65 (vs. <65) | 1.107 | (0.574, 2.135) | 0.7615 | ≥65 (vs. <65) | 0.902 | (0.558, 1.456) | 0.672 |
| Gender | Gender | ||||||
| Male (vs. Female) | 0.892 | (0.410, 1.942) | 0.773 | Male (vs. Female) | 16.7 | (14.5, 20.0) | 0.052 |
| Race | Race | ||||||
| Asian (vs. White) | 4.274 | (1.399, 13.064) | 0.011 | Asian (vs. White) | 0.951 | (0.418, 2.167) | 0.906 |
| Black (vs. White) | 0.998 | (0.424, 2.305) | 0.978 | Black (vs. White) | 0.72 | (0.384, 1.348) | 0.304 |
| Other (vs. White) | 5.169 | (1.191, 22.428) | 0.028 | Other (vs. White) | 1.413 | (0.492, 4.061) | 0.521 |
| Smoking History | Smoking History | ||||||
| ≤15 pack years (vs. never) | 2.036 | (0.884, 4.688) | 0.095 | ≤15 pack years (vs. never) | 1.452 | (0.801, 2.632) | 0.219 |
| >15 pack years (vs. never) | 4.574 | (1.835, 11.401) | 0.001 | >15 pack years (vs. never) | 1.754 | (0.816, 3.771) | 0.15 |
| BMI Therapy Start | BMI Therapy Start | ||||||
| <18.5 (vs. 18.5 to ≤25) | 3.85 | (0.575, 25.762) | 0.165 | <18.5 (vs. 18.5 to ≤25) | 1.601 | (0.263, 9.751) | 0.61 |
| >25 to ≤30 (vs. 18.5 to ≤25) | 1.205 | (0.563, 2.577) | 0.631 | >25 to ≤30 (vs. 18.5 to ≤25) | 1.314 | (0.766, 2.253) | 0.321 |
| >30 (vs. 18.5 to ≤25) | 0.487 | (0.177, 1.337) | 1.625 | >30 (vs. 18.5 to ≤25) | 1.155 | (0.597, 2.234) | 0.669 |
| Number of Disease Sites (continuous) | 1.825 | (1.328, 2.507) | 0.0002 | Number of Disease Sites (continuous) | 1.473 | (1.172,1.851) | 0.0009 |
| TKI | TKI | ||||||
| Afatinib (vs. osimertinib) | 1.123 | (0.310, 4.006) | 0.86 | Afatinib (vs. osimertinib) | 2.267 | (0.958, 5.363) | 0.063 |
| Erlotinib (vs. osimertinib) | 1.562 | (0.586, 4.162) | 0.372 | Erlotinib (vs. osimertinib) | 2.925 | (1.501, 5.699) | 0.0016 |
| TKI Began 1+ Years after Stage IV Diagnosis | 0.529 | (0.126, 2.224) | 0.385 | TKI Began 1+ Years after Stage IV Diagnosis | 0.643 | (0.238, 1.739) | 0.385 |
| Received Other Systemic Treatment before TKI | 2.253 | (0.976, 5.203) | 0.058 | Received Other Systemic Treatment before TKI | 1.491 | (0.815, 2.727) | 0.195 |
| ECOG Score | ECOG Score | ||||||
| 2–3 (vs. 0–1) | 4.39 | (2.037, 9.458) | 0.0002 | (2–3 vs. 0–1) | 3.435 | (1.779, 6.634) | 0.0002 |
| Highest Toxicity Grade | Highest Toxicity Grade | ||||||
| 3–5 (vs. 0–2) | 1.475 | (0.748, 2.909) | 0.262 | 3–5 (vs. 0–2) | 0.837 | (0.500, 1.400) | 0.497 |
| CNS Metastases | 0.526 | (0.235, 1.177) | 0.118 | CNS Metastases | 0.784 | (0.452, 1.358) | 0.385 |
| Baseline Mutation | Baseline Mutation | ||||||
| Exon 19 | 0.213 | (0.048, 0.948) | 0.042 | Exon 19 | 0.339 | (0.090, 1.309) | 0.117 |
| L858R | 1.44 | (0.331, 6.270) | 0.627 | L858R | 0.732 | (0.186, 2.889) | 0.656 |
| T790M | 0.337 | (0.101, 1.125) | 0.077 | T790M | 0.714 | (0.280, 1.822) | 0.481 |
| G719X | 6.239 | (1.026, 37.931) | 0.047 | G719X | 1.014 | (0.201, 5.110 | 0.987 |
Publisher’s Note: MDPI stays neutral with regard to jurisdictional claims in published maps and institutional affiliations. |
© 2021 by the authors. Licensee MDPI, Basel, Switzerland. This article is an open access article distributed under the terms and conditions of the Creative Commons Attribution (CC BY) license (http://creativecommons.org/licenses/by/4.0/).
Share and Cite
Yun, N.K.; Rouhani, S.J.; Bestvina, C.M.; Ritz, E.M.; Gilmore, B.A.; Tarhoni, I.; Borgia, J.A.; Batus, M.; Bonomi, P.D.; Fidler, M.J. Neutrophil-to-Lymphocyte Ratio Is a Predictive Biomarker in Patients with Epidermal Growth Factor Receptor (EGFR) Mutated Advanced Non-Small Cell Lung Cancer (NSCLC) Treated with Tyrosine Kinase Inhibitor (TKI) Therapy. Cancers 2021, 13, 1426. https://doi.org/10.3390/cancers13061426
Yun NK, Rouhani SJ, Bestvina CM, Ritz EM, Gilmore BA, Tarhoni I, Borgia JA, Batus M, Bonomi PD, Fidler MJ. Neutrophil-to-Lymphocyte Ratio Is a Predictive Biomarker in Patients with Epidermal Growth Factor Receptor (EGFR) Mutated Advanced Non-Small Cell Lung Cancer (NSCLC) Treated with Tyrosine Kinase Inhibitor (TKI) Therapy. Cancers. 2021; 13(6):1426. https://doi.org/10.3390/cancers13061426
Chicago/Turabian StyleYun, Nicole K., Sherin J. Rouhani, Christine M. Bestvina, Ethan M. Ritz, Brendan A. Gilmore, Imad Tarhoni, Jeffrey A. Borgia, Marta Batus, Philip D. Bonomi, and Mary Jo Fidler. 2021. "Neutrophil-to-Lymphocyte Ratio Is a Predictive Biomarker in Patients with Epidermal Growth Factor Receptor (EGFR) Mutated Advanced Non-Small Cell Lung Cancer (NSCLC) Treated with Tyrosine Kinase Inhibitor (TKI) Therapy" Cancers 13, no. 6: 1426. https://doi.org/10.3390/cancers13061426
APA StyleYun, N. K., Rouhani, S. J., Bestvina, C. M., Ritz, E. M., Gilmore, B. A., Tarhoni, I., Borgia, J. A., Batus, M., Bonomi, P. D., & Fidler, M. J. (2021). Neutrophil-to-Lymphocyte Ratio Is a Predictive Biomarker in Patients with Epidermal Growth Factor Receptor (EGFR) Mutated Advanced Non-Small Cell Lung Cancer (NSCLC) Treated with Tyrosine Kinase Inhibitor (TKI) Therapy. Cancers, 13(6), 1426. https://doi.org/10.3390/cancers13061426

