Effects of 1-Year Hospital Volume on Surgical Margin and Biochemical-Failure-Free Survival in Patients Undergoing Robotic versus Nonrobotic Radical Prostatectomy: A Nationwide Cohort Study from the National Taiwan Cancer Database
Abstract
Simple Summary
Abstract
1. Introduction
2. Patients and Methods
2.1. Data Source
2.2. Study Cohort
2.3. Endpoint
2.4. Statistical Analysis
2.4.1. Demographics
2.4.2. Risk Factors for Positive Surgical Margin and Biochemical Failure
3. Results
3.1. Clinicopathologic Characteristics
3.2. Association of Positive Surgical Margin Status and Surgical Approach
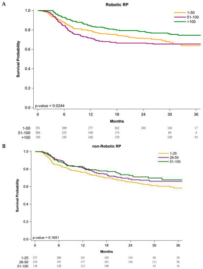
3.3. Association Between BFS and Surgical Approach
4. Discussion
5. Conclusions
Author Contributions
Funding
Institutional Review Board Statement
Informed Consent Statement
Data Availability Statement
Conflicts of Interest
References
- Annual Report. 2017: Taiwan Cancer Registry; Health Promotion Administration, Ministry of Health and Welfare: Taipei, Taiwan, 2017; p. 606.
- Humphrey, P.A.; Schuz, J. Cancers of the Male Reproductive Organs; World Health Organization: Lyon, France, 2014. [Google Scholar]
- Barry, M.J.; Nelson, J.B. Patients Present with More Advanced Prostate Cancer since the USPSTF Screening Recommendations. J. Urol. 2015, 194, 1534–1536. [Google Scholar] [CrossRef]
- National Comprehensive Cancer Network, NCCN Clinical Practice Guidelines in Oncology. Available online: http://www.nccn.org/professionals/physician_gls/f_guidelines.asp (accessed on 17 November 2020).
- Trinh, Q.-D.; Sammon, J.D.; Sun, M.; Ravi, P.; Ghani, K.R.; Bianchi, M.; Jeong, W.; Shariat, S.F.; Hansen, J.; Schmitges, J.; et al. Perioperative Outcomes of Robot-Assisted Radical Prostatectomy Compared With Open Radical Prostatectomy: Results From the Nationwide Inpatient Sample. Eur. Urol. 2012, 61, 679–685. [Google Scholar] [CrossRef]
- Sooriakumaran, P.; Srivastava, A.; Shariat, S.F.; Stricker, P.D.; Ahlering, T.E.; Eden, C.G.; Wiklund, P.N.; Sanchez-Salas, R.; Mottrie, A.; Lee, D.; et al. A Multinational, Multi-institutional Study Comparing Positive Surgical Margin Rates Among 22393 Open, Laparoscopic, and Robot-assisted Radical Prostatectomy Patients. Eur. Urol. 2014, 66, 450–456. [Google Scholar] [CrossRef]
- Wilt, T.J.; Brawer, M.K.; Jones, K.M.; Barry, M.J.; Aronson, W.J.; Fox, S.; Gingrich, J.R.; Wei, J.T.; Gilhooly, P.; Grob, B.M.; et al. Radical Prostatectomy versus Observation for Localized Prostate Cancer. N. Engl. J. Med. 2012, 367, 203–213. [Google Scholar] [CrossRef]
- Michalski, J.M.; Yan, Y.; Watkins-Bruner, D.; Bosch, W.R.; Winter, K.; Galvin, J.M.; Bahary, J.-P.; Morton, G.C.; Parliament, M.B.; Sandler, H.M. Preliminary toxicity analysis of 3-dimensional conformal radiation therapy versus intensity modulated radiation therapy on the high-dose arm of the radiation therapy oncology group 0126 prostate cancer trial. Int. J. Radiat. Oncol. Biol. Phys. 2013, 87, 932–938. [Google Scholar] [CrossRef]
- Xia, L.; Sperling, C.D.; Taylor, B.L.; Talwar, R.; Chelluri, R.R.; Raman, J.D.; Lee, D.J.; Lee, D.I.; Guzzo, T.J. Associations between Hospital Volume and Outcomes of Robot-Assisted Radical Prostatectomy. J. Urol. 2020, 203, 926–932. [Google Scholar] [CrossRef]
- Nishikawa, M.; Watanabe, H.; Kurahashi, T. Safety and feasibility of robot-assisted radical prostatectomy for clinically localized prostate cancer in elderly Japanese patients. Prostate Int. 2017, 5, 13–16. [Google Scholar] [CrossRef]
- Yu, H.-Y.; Hevelone, N.D.; Lipsitz, S.R.; Kowalczyk, K.J.; Nguyen, P.L.; Hu, J.C. Hospital Volume, Utilization, Costs and Outcomes of Robot-Assisted Laparoscopic Radical Prostatectomy. J. Urol. 2012, 187, 1632–1638. [Google Scholar] [CrossRef]
- Bekelman, J.E.; Rumble, R.B.; Chen, R.C.; Pisansky, T.M.; Finelli, A.; Feifer, A.; Nguyen, P.L.; Loblaw, D.A.; Tagawa, S.T.; Gillessen, S.; et al. Clinically Localized Prostate Cancer: ASCO Clinical Practice Guideline Endorsement of an American Urological Association/American Society for Radiation Oncology/Society of Urologic Oncology Guideline. J. Clin. Oncol. 2018, 36, 3251–3258. [Google Scholar] [CrossRef]
- Von Bodman, C.J.; Matikainen, M.P.; Yunis, L.H.; Laudone, V.; Scardino, P.T.; Akin, O.; Rabbani, F. Ethnic variation in pelvimetric measures and its impact on positive surgical margins at radical prostatectomy. Urology 2010, 76, 1092–1096. [Google Scholar] [CrossRef][Green Version]
- Rabbani, F.; Yunis, L.H.; Vora, K.; Eastham, J.A.; Guillonneau, B.; Scardino, P.T.; Touijer, K. Impact of ethnicity on surgical margins at radical prostatectomy. BJU Int. 2009, 104, 904–908. [Google Scholar] [CrossRef] [PubMed]
- Jalloh, M.; Myers, F.; Cowan, J.E.; Carroll, P.R.; Cooperberg, M.R. Racial Variation in Prostate Cancer Upgrading and Upstaging Among Men with Low-risk Clinical Characteristics. Eur. Urol. 2015, 67, 451–457. [Google Scholar] [CrossRef] [PubMed]
- Kadono, Y.; Ueno, S.; Makino, T.; Ofude, M.; Izumi, K.; Gabata, T.; Namiki, M. Intrapelvic fat makes robot-assisted radical prostatectomy difficult. Anticancer. Res. 2014, 34, 5523–5528. [Google Scholar] [PubMed]
- Yao, A.; Iwamoto, H.; Masago, T.; Morizane, S.; Honda, M.; Sejima, T.; Takenaka, A. Anatomical dimensions using preoperative magnetic resonance imaging: Impact on the learning curve of robot-assisted laparoscopic prostatectomy. Int. J. Urol. 2014, 22, 74–79. [Google Scholar] [CrossRef]
- Chen, R.; Ren, S.; Yiu, M.K.; Fai, N.C.; Cheng, W.S.; Ian, L.H.; Naito, S.; Matsuda, T.; O Kehinde, E.; Kural, A.R.; et al. Prostate cancer in Asia: A collaborative report. Asian J. Urol. 2014, 1, 15–29. [Google Scholar] [CrossRef]
- Chiang, C.-J.; You, S.-L.; Chen, C.-J.; Yang, Y.-W.; Lo, W.-C.; Lai, M.-S. Quality assessment and improvement of nationwide cancer registration system in Taiwan: A review. Jpn. J. Clin. Oncol. 2015, 45, 291–296. [Google Scholar] [CrossRef]
- Wen, C.P.; Tsai, D.S.P.; Chung, W.-S.I. A 10-Year Experience with Universal Health Insurance in Taiwan: Measuring Changes in Health and Health Disparity. Ann. Intern. Med. 2008, 148, 258–267. [Google Scholar] [CrossRef]
- Lin, W.-C.; Ding, Y.-F.; Hsu, H.-L.; Chang, J.-H.; Yuan, K.S.-P.; Wu, A.T.H.; Chow, J.-M.; Chang, C.-L.; Chen, S.-U.; Wu, S. Value and application of trimodality therapy or definitive concurrent chemoradiotherapy in thoracic esophageal squamous cell carcinoma. Cancer 2017, 123, 3904–3915. [Google Scholar] [CrossRef]
- Yen, Y.-C.; Chang, J.-H.; Lin, W.-C.; Chiou, J.-F.; Chang, Y.-C.; Chang, C.-L.; Hsu, H.-L.; Chow, J.-M.; Yuan, K.S.-P.; Wu, A.T.H.; et al. Effectiveness of esophagectomy in patients with thoracic esophageal squamous cell carcinoma receiving definitive radiotherapy or concurrent chemoradiotherapy through intensity-modulated radiation therapy techniques. Cancer 2017, 123, 2043–2053. [Google Scholar] [CrossRef]
- Chang, C.-L.; Yuan, K.S.-P.; Wu, A.T.; Wu, S. Toxicity Profiles of Fractionated Radiotherapy, Contemporary Stereotactic Radiosurgery, and Transsphenoidal Surgery in Nonfunctioning Pituitary Macroadenomas. Cancers 2019, 11, 1658. [Google Scholar] [CrossRef]
- Chang, C.-L.; Yuan, K.S.-P.; Wu, A.T.; Wu, S. Adjuvant Therapy for High-Risk Stage II or III Colon Adenocarcinoma: A Propensity Score-Matched, Nationwide, Population-Based Cohort Study. Cancers 2019, 11, 2003. [Google Scholar] [CrossRef] [PubMed]
- Lin, W.-C.; Chang, C.-L.; Hsu, H.-L.; Yuan, K.S.-P.; Wu, A.T.; Wu, S. Three-Dimensional Conformal Radiotherapy-Based or Intensity-Modulated Radiotherapy-Based Concurrent Chemoradiotherapy in Patients with Thoracic Esophageal Squamous Cell Carcinoma. Cancers 2019, 11, 1529. [Google Scholar] [CrossRef] [PubMed]
- Qin, L.; Chen, T.-M.; Kao, Y.-W.; Lin, K.-C.; Yuan, K.S.-P.; Wu, A.T.; Shia, B.-C.; Wu, S. Predicting 90-Day Mortality in Locoregionally Advanced Head and Neck Squamous Cell Carcinoma after Curative Surgery. Cancers 2018, 10, 392. [Google Scholar] [CrossRef] [PubMed]
- Shia, B.-C.; Qin, L.; Lin, K.-C.; Fang, C.-Y.; Tsai, L.-L.; Kao, Y.-W.; Wu, S. Outcomes for Elderly Patients Aged 70 to 80 Years or Older with Locally Advanced Oral Cavity Squamous Cell Carcinoma: A Propensity Score–Matched, Nationwide, Oldest Old Patient–Based Cohort Study. Cancers 2020, 12, 258. [Google Scholar] [CrossRef]
- Wu, S.; Fang, S.-C.; Hwang, O.R.; Shih, H.-J.; Mhs, Y.J.S. Influence of Baseline Cardiovascular Comorbidities on Mortality after Androgen Deprivation Therapy for Metastatic Prostate Cancer. Cancers 2020, 12, 189. [Google Scholar] [CrossRef]
- Wu, S.; Mhs, Y.J.S.; Shih, H.-J.; Wen, Y.-C.; Mhs, Y.J.S. Mortality associated with statins in men with advanced prostate cancer treated with androgen deprivation therapy. Eur. J. Cancer 2019, 112, 109–117. [Google Scholar] [CrossRef]
- Lepor, H. A Review of Surgical Techniques for Radical Prostatectomy. Rev. Urol. 2005, 7, S11–S17. [Google Scholar]
- Hernandez, D.J.; Nielsen, M.E.; Han, M.; Partin, A.W. Contemporary Evaluation of the D’Amico Risk Classification of Prostate Cancer. Urology 2007, 70, 931–935. [Google Scholar] [CrossRef]
- Cookson, M.S.; Aus, G.; Burnett, A.L.; Canby-Hagino, E.D.; D’Amico, A.V.; Dmochowski, R.R.; Eton, D.T.; Forman, J.D.; Goldenberg, S.L.; Hernandez, J.; et al. Variation in the Definition of Biochemical Recurrence in Patients Treated for Localized Prostate Cancer: The American Urological Association Prostate Guidelines for Localized Prostate Cancer Update Panel Report and Recommendations for a Standard in the Reporting of Surgical Outcomes. J. Urol. 2007, 177, 540–545. [Google Scholar] [CrossRef]
- Ilic, D.; Evans, S.M.; Allan, C.A.; Jung, J.H.; Murphy, D.; Frydenberg, M. Laparoscopic and robotic-assisted versus open radical prostatectomy for the treatment of localised prostate cancer. Cochrane Database Syst. Rev. 2017, 9, CD009625. [Google Scholar] [CrossRef]
- Gershman, B.; Meier, S.K.; Jeffery, M.M.; Moreira, D.M.; Tollefson, M.K.; Kim, S.P.; Karnes, R.J.; Shah, N.D. Redefining and Contextualizing the Hospital Volume-Outcome Relationship for Robot-Assisted Radical Prostatectomy: Implications for Centralization of Care. J. Urol. 2017, 198, 92–99. [Google Scholar] [CrossRef]
- National Health Insurance Administration, Ministry of Health and Welfare. 2016. Available online: https://www.hpa.gov.tw/Pages/List.aspx?nodeid=1192020 (accessed on 29 December 2020).
- Antonelli, A.; Sodano, M.; Peroni, A.; Mittino, I.; Palumbo, C.; Furlan, M.; Carobbio, F.; Tardanico, R.; Fisogni, S.; Simeone, C. Positive surgical margins and early oncological outcomes of robotic vs open radical prostatectomy at a medium case-load institution. Minerva Urol. Nefrol. Ital. J. Urol. Nephrol. 2016, 69, 63–68. [Google Scholar] [CrossRef]
- Rulli, E.; Ghilotti, F.; Biagioli, E.; Porcu, L.; Marabese, M.; D’Incalci, M.; Bellocco, R.; Torri, V. Assessment of proportional hazard assumption in aggregate data: A systematic review on statistical methodology in clinical trials using time-to-event endpoint. Br. J. Cancer 2018, 119, 1456–1463. [Google Scholar] [CrossRef]
- Coughlin, G.D.; Yaxley, J.W.; Chambers, S.; Occhipinti, S.; Samaratunga, H.; Zajdlewicz, L.; Teloken, P.; Dunglison, N.; Williams, S.; Lavin, M.F.; et al. Robot-assisted laparoscopic prostatectomy versus open radical retropubic prostatectomy: 24-month outcomes from a randomised controlled study. Lancet Oncol. 2018, 19, 1051–1060. [Google Scholar] [CrossRef]

| Surgical Modality | Nonrobotic RP n = 591 | Robotic RP n = 816 | ||||
|---|---|---|---|---|---|---|
| Characteristic | n | (%) | n | (%) | p-Value | |
| Age, years | Mean (SD) | 66.5 | (6.7) | 66.1 | (6.7) | 0.5450 |
| Median (IQR) | 67 | (62–71) | 66 | (62–71) | ||
| 20–59 | 90 | (15.2) | 130 | (15.9) | 0.9102 | |
| 60–69 | 311 | (52.6) | 444 | (54.4) | ||
| 70+ | 190 | (32.1) | 242 | (29.7) | ||
| Clinical T stage | cT1 | 159 | (26.9) | 195 | (23.9) | 0.3921 |
| cT2 | 282 | (47.7) | 436 | (53.4) | ||
| cT3-4 | 150 | (25.4) | 185 | (22.7) | ||
| ISUP grade group | 1–2 | 101 | (17.1) | 142 | (17.4) | 0.8060 |
| 3 | 199 | (33.7) | 274 | (33.6) | ||
| 4 | 115 | (19.5) | 160 | (19.6) | ||
| 5 | 176 | (29.8) | 240 | (29.4) | ||
| Preoperative PSA, ng/mL | Mean (SD) | 16.6 | (16.7) | 15.8 | (16.6) | 0.431 |
| Median (IQR) | 10.4 | (7.0–18.5) | 10.3 | (6.7–17.6) | ||
| 0–5 | 69 | (11.7) | 94 | (11.5) | 0.9682 | |
| 6–10 | 205 | (34.7) | 285 | (34.9) | ||
| 11–20 | 168 | (28.4) | 233 | (28.6) | ||
| 20+ | 149 | (25.2) | 204 | (25.0) | ||
| D’Amico risk classification | Localized-Low | 38 | (6.4) | 58 | (7.1) | 0.2236 |
| Localized-Intermediate | 162 | (27.4) | 219 | (26.8) | ||
| Localized-High | 232 | (39.3) | 338 | (41.4) | ||
| Locally advanced | 159 | (26.9) | 201 | (24.6) | ||
| Hospital levels | Academic center | 461 | (78.0) | 673 | (82.5) | 0.3476 |
| Nonacademic center | 130 | (22.0) | 143 | (17.5) | ||
| Hospital volume | 1–25 | 237 | (40.1) | 168 | (20.6) | <0.0001 |
| 26–50 | 218 | (36.9) | 183 | (22.4) | ||
| 51–100 | 136 | (23.0) | 266 | (32.6) | ||
| 100+ | 0 | (00.0) | 199 | (24.4) | ||
| Follow-up time, months | Mean (SD) | 37.2 | (5.0) | 36.2 | (4.7) | |
| Surgical margin | Negative | 315 | (53.3) | 454 | (55.6) | 0.5891 |
| Positive | 276 | (46.7) | 362 | (44.4) | ||
| Biochemical failure | 208 | (35.2) | 253 | (31.0) | 0.0502 | |
| Death | 12 | (2.0) | 11 | (1.3) | 0.1534 | |
| Hospital Volume | Patient No | Positive Rate (%) | Unadjusted | Adjusted * | ||
|---|---|---|---|---|---|---|
| Odds Ratio (95% CI) | Type III p Value | Odds Ratio (95% CI) | Type III p Value | |||
| Robotic RP | <0.0001 | <0.0001 | ||||
| 100+ (Reference group) | 199 | 71 (35.7) | 1 | 1 | ||
| 51–100 | 266 | 107 (40.2) | 1.44 (1.01–2.11) | 1.33 (1.13–2.04) | ||
| 26–50 | 183 | 92 (50.2) | 1.53 (1.03–2.27) | 1.42 (1.25–2.23) | ||
| 1–25 | 168 | 92 (54.8) | 2.64 (1.81–3.86) | 2.25 (2.10–3.11) | ||
| Nonrobotic RP | 0.8090 | 0.6564 | ||||
| 51–100 (Reference group) | 136 | 64 (47.1) | 1 | 1 | ||
| 26–50 | 218 | 105 (48.2) | 1.05 (0.68–1.61) | 1.17 (0.71–1.94) | ||
| 1–25 | 237 | 107 (45.2) | 0.93 (0.61–1.41) | 1.15 (0.69–1.93) | ||
| Hospital Volume | Patient No | Positive Rate (%) | Hospital Volume | Patient No | Positive Rate (%) | Adjusted Odds Ratio * (95% CI) | p-Value |
|---|---|---|---|---|---|---|---|
| Robotic RP | Nonrobotic RP (reference group) | ||||||
| 51–100 | 266 | 107 (40.2) | 51–100 | 136 | 64 (47.1) | 0.61 (0.56–0.83) | 0.0114 |
| 26–50 | 183 | 92 (50.2) | 26–50 | 218 | 105 (48.2) | 1.07 (0.70–1.19) | 0.6837 |
| 1–25 | 168 | 92 (54.8) | 1–25 | 237 | 107 (45.2) | 1.29 (1.07–1.81) | 0.0414 |
| Hospital Volume | Patient No | Failure Rate (%) | Unadjusted | Adjusted * | ||
|---|---|---|---|---|---|---|
| Hazard Ratio (95% CI) | Type III p Value | Hazard Ratio (95% CI) | Type III p-Value | |||
| Robotic RP | 0.0042 | 0.0011 | ||||
| 100+ (Reference group) | 199 | 50 (25.1) | 1 | 1 | ||
| 51–100 | 266 | 91 (34.2) | 1.61 (1.14–2.27) | 1.31 (1.05–2.15) | ||
| 26–50 | 183 | 60 (32.8) | 1.46 (1.00–2.12) | 1.34 (1.06–1.96) | ||
| 1–25 | 168 | 52 (31.0) | 1.38 (1.04–2.04) | 1.40 (1.04–1.67) | ||
| Nonrobotic RP | 0.1670 | 0.7870 | ||||
| 51–100 (Reference group) | 136 | 41 (30.2) | 1 | 1 | ||
| 26–50 | 218 | 74 (33.9) | 1.10 (0.75–1.62) | 0.91 (0.60–1.37) | ||
| 1–25 | 237 | 93 (39.2) | 1.37 (0.95–1.99) | 1.02 (0.64–1.56) | ||
| Hospital Volume | Patient No | Positive Rate (%) | Hospital Volume | Patient No | Positive Rate (%) | Adjusted Hazard Ratio * (95% CI) | p-Value |
|---|---|---|---|---|---|---|---|
| Robotic RP | Nonrobotic RP (reference group) | ||||||
| 51–100 | 266 | 91 (34.2) | 51–100 | 136 | 41 (30.2) | 1.04 (0.83–1.28) | 0.4401 |
| 26–50 | 183 | 60 (32.8) | 26–50 | 218 | 74 (33.9) | 0.98 (0.88–1.10) | 0.9814 |
| 1–25 | 168 | 52 (31.0) | 1–25 | 237 | 93 (39.2) | 0.88 (0.67–1.17) | 0.1340 |
Publisher’s Note: MDPI stays neutral with regard to jurisdictional claims in published maps and institutional affiliations. |
© 2021 by the authors. Licensee MDPI, Basel, Switzerland. This article is an open access article distributed under the terms and conditions of the Creative Commons Attribution (CC BY) license (http://creativecommons.org/licenses/by/4.0/).
Share and Cite
Chang, S.-C.; Hsu, C.-H.; Lin, Y.-C.; Wu, S.-Y. Effects of 1-Year Hospital Volume on Surgical Margin and Biochemical-Failure-Free Survival in Patients Undergoing Robotic versus Nonrobotic Radical Prostatectomy: A Nationwide Cohort Study from the National Taiwan Cancer Database. Cancers 2021, 13, 488. https://doi.org/10.3390/cancers13030488
Chang S-C, Hsu C-H, Lin Y-C, Wu S-Y. Effects of 1-Year Hospital Volume on Surgical Margin and Biochemical-Failure-Free Survival in Patients Undergoing Robotic versus Nonrobotic Radical Prostatectomy: A Nationwide Cohort Study from the National Taiwan Cancer Database. Cancers. 2021; 13(3):488. https://doi.org/10.3390/cancers13030488
Chicago/Turabian StyleChang, Shyh-Chyi, Chia-Hao Hsu, Yi-Chu Lin, and Szu-Yuan Wu. 2021. "Effects of 1-Year Hospital Volume on Surgical Margin and Biochemical-Failure-Free Survival in Patients Undergoing Robotic versus Nonrobotic Radical Prostatectomy: A Nationwide Cohort Study from the National Taiwan Cancer Database" Cancers 13, no. 3: 488. https://doi.org/10.3390/cancers13030488
APA StyleChang, S.-C., Hsu, C.-H., Lin, Y.-C., & Wu, S.-Y. (2021). Effects of 1-Year Hospital Volume on Surgical Margin and Biochemical-Failure-Free Survival in Patients Undergoing Robotic versus Nonrobotic Radical Prostatectomy: A Nationwide Cohort Study from the National Taiwan Cancer Database. Cancers, 13(3), 488. https://doi.org/10.3390/cancers13030488

