Pre-Treatment Neutrophil-to-Lymphocyte Ratio (NLR) as a Predictive Marker of Pazopanib Treatment for Soft-Tissue Sarcoma
Abstract
:Simple Summary
Abstract
1. Introduction
2. Patients and Methods
2.1. Patients
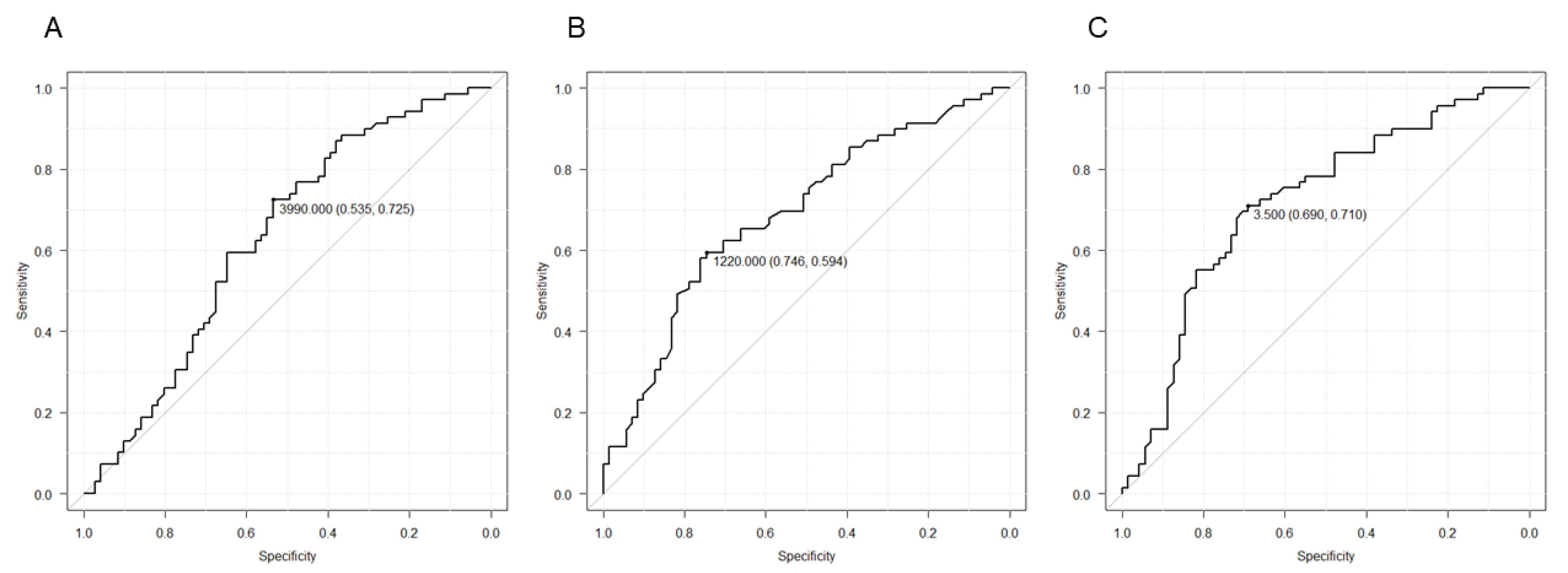
2.2. Statistical Analysis
3. Results
3.1. Patient Characteristics
3.2. Clinical Efficacy of Pazopanib
3.3. Predictive Factors for DCB, PFS, and OS
4. Discussion
5. Conclusions
Author Contributions
Funding
Institutional Review Board Statement
Informed Consent Statement
Data Availability Statement
Acknowledgments
Conflicts of Interest
References
- Sonpavde, G.; Hutson, T.E. Pazopanib: A novel multitargeted tyrosine kinase inhibitor. Curr. Oncol. Rep. 2007, 9, 115–119. [Google Scholar] [CrossRef] [PubMed]
- Sternberg, C.N.; Davis, I.D.; Mardiak, J.; Szczylik, C.; Lee, E.; Wagstaff, J.; Barrios, C.H.; Salman, P.; Gladkov, O.A.; Kavina, A.; et al. Pazopanib in Locally Advanced or Metastatic Renal Cell Carcinoma: Results of a Randomized Phase III Trial. J. Clin. Oncol. 2010, 28, 1061–1068. [Google Scholar] [CrossRef] [PubMed]
- van der Graaf, W.T.; Blay, J.-Y.; Chawla, S.P.; Kim, D.-W.; Bui-Nguyen, B.; Casali, P.G.; Schöffski, P.; Aglietta, M.; Staddon, A.P.; Beppu, Y.; et al. Pazopanib for metastatic soft-tissue sarcoma (PALETTE): A randomised, double-blind, placebo-controlled phase 3 trial. Lancet 2012, 379, 1879–1886. [Google Scholar] [CrossRef]
- Kawai, A.; Araki, N.; Hiraga, H.; Sugiura, H.; Matsumine, A.; Ozaki, T.; Ueda, T.; Ishii, T.; Esaki, T.; Machida, M.; et al. A randomized, double-blind, placebo-controlled, Phase III study of pazopanib in patients with soft tissue sarcoma: Results from the Japanese subgroup. Jpn. J. Clin. Oncol. 2016, 46, 248–253. [Google Scholar] [CrossRef] [PubMed]
- Guthrie, G.J.; Charles, K.A.; Roxburgh, C.S.; Horgan, P.G.; McMillan, D.; Clarke, S.J. The systemic inflammation-based neutrophil–lymphocyte ratio: Experience in patients with cancer. Crit. Rev. Oncol. 2013, 88, 218–230. [Google Scholar] [CrossRef] [PubMed]
- Templeton, A.J.; Mcnamara, M.; Šeruga, B.; Vera-Badillo, F.E.; Aneja, P.; Ocana, A.; Leibowitz-Amit, R.; Sonpavde, G.; Knox, J.J.; Tran, B.; et al. Prognostic Role of Neutrophil-to-Lymphocyte Ratio in Solid Tumors: A Systematic Review and Meta-Analysis. J. Natl. Cancer Inst. 2014, 106, dju124. [Google Scholar] [CrossRef] [PubMed] [Green Version]
- Baert, T.; Van Camp, J.; Vanbrabant, L.; Busschaert, P.; Laenen, A.; Han, S.; Van Nieuwenhuysen, E.; Vergote, I.; Coosemans, A. Influence of CA125, platelet count and neutrophil to lymphocyte ratio on the immune system of ovarian cancer patients. Gynecol. Oncol. 2018, 150, 31–37. [Google Scholar] [CrossRef] [PubMed]
- Sato, Y.; Nakano, K.; Fukuda, N.; Wang, X.; Urasaki, T.; Ohmoto, A.; Yunokawa, M.; Ono, M.; Tomomatsu, J.; Hayakawa, K.; et al. Pre-treatment Neutrophil-to-Lymphocyte Ratio Predicts Efficacy of Eribulin for Soft-tissue Sarcoma. Anticancer Res. 2021, 41, 527–532. [Google Scholar] [CrossRef] [PubMed]
- Sato, Y.; Nakano, K.; Kawaguchi, K.; Fukuda, N.; Wang, X.; Urasaki, T.; Ohmoto, A.; Hayashi, N.; Yunokawa, M.; Ono, M.; et al. Changes in Neutrophil-to-lymphocyte Ratio Predict Efficacy of Trabectedin for Soft-tissue Sarcoma. Cancer Diagn. Progn. 2021, 1, 303–308. [Google Scholar] [CrossRef]
- Eisenhauer, E.; Therasse, P.; Bogaerts, J.; Schwartz, L.; Sargent, D.; Ford, R.; Dancey, J.; Arbuck, S.; Gwyther, S.; Mooney, M.; et al. New response evaluation criteria in solid tumours: Revised RECIST guideline (version 1.1). Eur. J. Cancer 2009, 45, 228–247. [Google Scholar] [CrossRef] [PubMed]
- Kanda, Y. Investigation of the freely available easy-to-use software ‘EZR’ for medical statistics. Bone Marrow Transplant. 2012, 48, 452–458. [Google Scholar] [CrossRef] [PubMed] [Green Version]
- Rosenberg, S.A. Progress in human tumour immunology and immunotherapy. Nat. Cell Biol. 2001, 411, 380–384. [Google Scholar] [CrossRef] [PubMed]
- Chen, Z.-Y.; Raghav, K.; Lieu, C.H.; Jiang, Z.-Q.; Eng, C.; Vauthey, J.-N.; Chang, G.J.; Qiao, W.; Morris, J.; Hong, D.; et al. Cytokine profile and prognostic significance of high neutrophil-lymphocyte ratio in colorectal cancer. Br. J. Cancer 2015, 112, 1088–1097. [Google Scholar] [CrossRef] [PubMed]
- Chen, D.; Mellman, I. Oncology Meets Immunology: The Cancer-Immunity Cycle. Immunity 2013, 39, 1–10. [Google Scholar] [CrossRef] [PubMed] [Green Version]
- Keizman, D.; Ish-Shalom, M.; Huang, P.; Eisenberger, M.A.; Pili, R.; Hammers, H.; Carducci, M.A. The association of pre-treatment neutrophil to lymphocyte ratio with response rate, progression free survival and overall survival of patients treated with sunitinib for metastatic renal cell carcinoma. Eur. J. Cancer 2012, 48, 202–208. [Google Scholar] [CrossRef] [PubMed] [Green Version]
- Fukuda, N.; Wang, X.; Ohmoto, A.; Urasaki, T.; Sato, Y.; Nakano, K.; Nishizawa, M.; Yunokawa, M.; Ono, M.; Tomomatsu, J.; et al. Sequential Analysis of Neutrophil-to-lymphocyte Ratio for Differentiated Thyroid Cancer Patients Treated with Lenvatinib. In Vivo 2020, 34, 709–714. [Google Scholar] [CrossRef] [PubMed] [Green Version]
- Fukuda, N.; Toda, K.; Fujiwara, Y.U.; Wang, X.; Ohmoto, A.; Urasaki, T.; Hayashi, N.; Sato, Y.; Nakano, K.; Yunokawa, M.; et al. Neutrophil-to-Lymphocyte Ratio as a Prognostic Marker for Anaplastic Thyroid Cancer Treated with Lenvatinib. In Vivo 2020, 34, 2859–2864. [Google Scholar] [CrossRef]
- Sleijfer, S.; Ray-Coquard, I.; Papai, Z.; Le Cesne, A.; Scurr, M.; Schöffski, P.; Collin, F.; Pandite, L.; Marreaud, S.; De Brauwer, A.; et al. Pazopanib, a Multikinase Angiogenesis Inhibitor, in Patients with Relapsed or Refractory Advanced Soft Tissue Sarcoma: A Phase II Study from the European Organisation for Research and Treatment of Cancer–Soft Tissue and Bone Sarcoma Group (EORTC Study 62043). J. Clin. Oncol. 2009, 27, 3126–3132. [Google Scholar] [CrossRef] [PubMed]


| Characteristic | Category | n (%) |
|---|---|---|
| Age | ≥40 years | 105 (74) |
| ≥65 years | 24 (17) | |
| Gender | Male | 73 (52) |
| Histology | L-sarcoma | 54 (38) |
| Liposarcoma | 25 (18) | |
| Location of primary lesion | Extremity | 46 (33) |
| ECOG PS | 0 | 80 (57) |
| ≥1 | 61 (43) | |
| No. of previous chemotherapies | 0 | 9 (6) |
| 1 | 54 (38) | |
| ≥2 | 78 (55) | |
| pre-ALC | ≥1500 cells/μL | 30 (21) |
| <1500 cells/μL | 110 (78) | |
| Unevaluated | 1 (1) | |
| pre-NLR | ≥3.0 | 82 (58) |
| <3.0 | 58 (41) | |
| Unevaluated | 1 (1) | |
| pre-CRP | ≥0.3 mg/dL | 74 (52) |
| <0.3 mg/dL | 66 (47) | |
| Unevaluated | 1 (1) |
| n (%) | ||
|---|---|---|
| Best overall response | CR | 0 (0) |
| PR | 8 (6) | |
| SD | 62 (44) | |
| Non-CR/non-PD | 4 (3) | |
| PD | 66 (47) | |
| Not evaluable | 1 (1) | |
| Objective response | CR + PR | 8 (6) |
| Disease control | CR + PR + SD | 70 (50) |
| Durable clinical benefit | 45 (32) |
| Characteristic | Category | Univariate | Multivariate | ||
|---|---|---|---|---|---|
| Odds Ratio (95% CI) | p-Value | Odds Ratio (95% CI) | p-Value | ||
| Age | ≥40 vs. <40 Years | 1.09 (0.48–2.47) | 0.84 | ||
| ≥65 vs. <65 Years | 1.28 (0.60–2.74) | 0.54 | 0.86 (0.35–2.12) | 0.74 | |
| Gender | Male vs. female | 0.74 (0.36–1.51) | 0.41 | 0.87 (0.38–1.99) | 0.74 |
| Histology | L-Sarcoma vs. other | 0.34 (0.15–0.76) | 0.0088 | 0.31 (0.12–0.79) | 0.014 |
| liposarcoma vs. other | 0.48 (0.17–1.36) | 0.17 | |||
| Primary lesion | Extremity vs. other | 1.62 (0.77–3.40) | 0.20 | ||
| ECOG PS | ≥1 vs. 0 | 0.72 (0.35–1.48) | 0.37 | ||
| No. of previous chemotherapies | ≥2 vs. 0–1 | 0.41 (0.19–0.86) | 0.018 | 0.47 (0.21–1.08) | 0.075 |
| ALC | <1500 vs. ≥1500/μl | 1.41 (0.64–3.10) | 0.39 | ||
| NLR | <3.0 vs. ≥3.0 | 2.35 (1.14–4.84) | 0.021 | 2.61 (1.02–6.67) | 0.045 |
| CRP | <0.3 vs. ≥0.3 mg/dl | 2.15 (1.05–4.44) | 0.038 | 2.03 (0.83–4.97) | 0.123 |
| Characteristic | Category | Univariate | Multivariate | ||
|---|---|---|---|---|---|
| HR (95% CI) | p-Value | HR (95% CI) | p-Value | ||
| Age | ≥40 vs. <40 Years | 0.91 (0.61–1.37) | 0.66 | ||
| ≥65 vs. <65 Years | 0.80 (0.54–1.19) | 0.27 | 0.84 (0.56–1.25) | 0.397 | |
| Gender | Male vs. female | 0.92 (0.65–1.32) | 0.66 | 0.87 (0.59–1.29) | 0.492 |
| Histology | L-Sarcoma vs. other | 1.05 (0.73–1.51) | 0.799 | ||
| liposarcoma vs. other | 1.49 (0.93–2.38) | 0.096 | 1.78 (1.09–2.91) | 0.022 | |
| Primary lesion | Extremity vs. other | 0.48 (0.32–0.72) | <0.001 | 0.48 (0.31–0.75) | 0.0010 |
| ECOG PS | ≥1 vs. 0 | 1.52 (1.06–2.18) | 0.024 | 1.62 (1.08–2.42) | 0.019 |
| No. of previous chemotherapies | ≥2 vs. 0–1 | 1.20 (0.84–1.73) | 0.32 | ||
| ALC | <1500 vs. ≥1500/μL | 0.61 (0.41–0.92) | 0.020 | ||
| NLR | <3.0 vs. ≥3.0 | 0.45 (0.30–0.65) | <0.001 | 0.55 (0.36–0.84) | 0.0057 |
| CRP | <0.3 vs. ≥0.3 mg/dL | 0.37 (0.25–0.55) | <0.001 | 0.52 (0.33–0.82) | 0.0050 |
| Characteristic | Category | Univariate | Multivariate | ||
|---|---|---|---|---|---|
| HR (95% CI) | p-Value | HR (95% CI) | p-Value | ||
| Age | ≥40 vs. <40 Years | 0.93 (0.63–1.36) | 0.706 | ||
| ≥65 vs. <65 Years | 0.73 (0.51–1.06) | 0.099 | 0.70 (0.48–1.02) | 0.062 | |
| Gender | Male vs. female | 1.21 (0.86–1.70) | 0.272 | 1.18 (0.82–1.69) | 0.38 |
| Histology | L-Sarcoma vs. other | 1.56 (1.10–2.23) | 0.014 | 1.61 (1.1–2.37) | 0.015 |
| liposarcoma vs. other | 1.70 (1.09–2.65) | 0.020 | |||
| Primary lesion | Extremity vs. other | 0.69 (0.47–0.99) | 0.043 | 0.76 (0.51–1.13) | 0.179 |
| ECOG PS | ≥1 vs. 0 | 1.36 (0.97–1.92) | 0.074 | 1.39 (0.96–2.01) | 0.086 |
| No. of previous chemotherpies | ≥2 vs. 0–1 | 1.23 (0.87–1.73) | 0.236 | ||
| ALC | <1500 vs. ≥1500/μL | 0.86 (0.59–1.26) | 0.438 | ||
| NLR | <3.0 vs. ≥3.0 | 0.74 (0.52–1.04) | 0.082 | 0.78(0.53–1.16) | 0.219 |
| CRP | 0.62 (0.44–0.87) | 0.006 | 0.7(0.47–1.05) | 0.083 | |
Publisher’s Note: MDPI stays neutral with regard to jurisdictional claims in published maps and institutional affiliations. |
© 2021 by the authors. Licensee MDPI, Basel, Switzerland. This article is an open access article distributed under the terms and conditions of the Creative Commons Attribution (CC BY) license (https://creativecommons.org/licenses/by/4.0/).
Share and Cite
Sato, Y.; Nakano, K.; Wang, X.; Fukuda, N.; Urasaki, T.; Ohmoto, A.; Hayashi, N.; Yunokawa, M.; Ono, M.; Tomomatsu, J.; et al. Pre-Treatment Neutrophil-to-Lymphocyte Ratio (NLR) as a Predictive Marker of Pazopanib Treatment for Soft-Tissue Sarcoma. Cancers 2021, 13, 6266. https://doi.org/10.3390/cancers13246266
Sato Y, Nakano K, Wang X, Fukuda N, Urasaki T, Ohmoto A, Hayashi N, Yunokawa M, Ono M, Tomomatsu J, et al. Pre-Treatment Neutrophil-to-Lymphocyte Ratio (NLR) as a Predictive Marker of Pazopanib Treatment for Soft-Tissue Sarcoma. Cancers. 2021; 13(24):6266. https://doi.org/10.3390/cancers13246266
Chicago/Turabian StyleSato, Yasuyoshi, Kenji Nakano, Xiaofei Wang, Naoki Fukuda, Tetsuya Urasaki, Akihiro Ohmoto, Naomi Hayashi, Mayu Yunokawa, Makiko Ono, Junichi Tomomatsu, and et al. 2021. "Pre-Treatment Neutrophil-to-Lymphocyte Ratio (NLR) as a Predictive Marker of Pazopanib Treatment for Soft-Tissue Sarcoma" Cancers 13, no. 24: 6266. https://doi.org/10.3390/cancers13246266
APA StyleSato, Y., Nakano, K., Wang, X., Fukuda, N., Urasaki, T., Ohmoto, A., Hayashi, N., Yunokawa, M., Ono, M., Tomomatsu, J., Saito, M., Minami, Y., Hayakawa, K., Funauchi, Y., Tanizawa, T., Ae, K., Matsumoto, S., & Takahashi, S. (2021). Pre-Treatment Neutrophil-to-Lymphocyte Ratio (NLR) as a Predictive Marker of Pazopanib Treatment for Soft-Tissue Sarcoma. Cancers, 13(24), 6266. https://doi.org/10.3390/cancers13246266

