Fully Automated MR Based Virtual Biopsy of Cerebral Gliomas
Abstract
:Simple Summary
Abstract
1. Introduction
2. Methods
2.1. Ethics Statement
2.2. Study Design and Cohort
2.3. Magnetic Resonance Imaging
2.4. Preprocessing
2.5. Train Test Split
2.6. Clinical Features
2.7. Radiomics Feature Extraction
2.8. Feature Selection
2.9. Parameter Optimization
2.10. Model Evaluation
2.11. Validation of Segmentations
3. Results
3.1. Radiomics Analysis to Predict Grading
3.2. Radiomics Analysis to Predict the Genetic Profile
4. Discussion
5. Conclusions
Author Contributions
Funding
Institutional Review Board Statement
Informed Consent Statement
Data Availability Statement
Conflicts of Interest
References
- Lohmann, P.; Galldiks, N.; Kocher, M.; Heinzel, A.; Filss, C.P.; Stegmayr, C.; Mottaghy, F.M.; Fink, G.R.; Jon Shah, N.; Langen, K.-J. Radiomics in neuro-oncology: Basics, workflow, and applications. Methods 2020, 188, 112–121. [Google Scholar] [CrossRef]
- Louis, D.N.; Perry, A.; Reifenberger, G.; von Deimling, A.; Figarella-Branger, D.; Cavenee, W.K.; Ohgaki, H.; Wiestler, O.D.; Kleihues, P.; Ellison, D.W. The 2016 World Health Organization Classification of Tumors of the Central Nervous System: A summary. Acta Neuropathol. 2016, 131, 803–820. [Google Scholar] [CrossRef] [PubMed] [Green Version]
- Malone, H.; Yang, J.; Hershman, D.L.; Wright, J.D.; Bruce, J.N.; Neugut, A.I. Complications Following Stereotactic Needle Biopsy of Intracranial Tumors. World Neurosurg 2015, 84, 1084–1089. [Google Scholar] [CrossRef] [PubMed]
- Haubold, J.; Demircioglu, A.; Gratz, M.; Glas, M.; Wrede, K.; Sure, U.; Antoch, G.; Keyvani, K.; Nittka, M.; Kannengiesser, S.; et al. Non-invasive tumor decoding and phenotyping of cerebral gliomas utilizing multiparametric 18F-FET PET-MRI and MR Fingerprinting. Eur. J. Nucl. Med. Mol. Imaging 2020, 47, 1435–1445. [Google Scholar] [CrossRef]
- Gutta, S.; Acharya, J.; Shiroishi, M.S.; Hwang, D.; Nayak, K.S. Improved Glioma Grading Using Deep Convolutional Neural Networks. Am. J. Neuroradiol. 2020, 42, 233–239. [Google Scholar] [CrossRef]
- Cluceru, J.; Interian, Y.; Phillips, J.J.; Molinaro, A.M.; Luks, T.L.; Alcaide-Leon, P.; Olson, M.P.; Nair, D.; LaFontaine, M.; Shai, A.; et al. Improving the noninvasive classification of glioma genetic subtype with deep learning and diffusion-weighted imaging. Neuro. Oncol. 2021, 23, noab238. [Google Scholar] [CrossRef]
- Kawaguchi, R.K.; Takahashi, M.; Miyake, M.; Kinoshita, M.; Takahashi, S.; Ichimura, K.; Hamamoto, R.; Narita, Y.; Sese, J. Assessing Versatile Machine Learning Models for Glioma Radiogenomic Studies across Hospitals. Cancers 2021, 13, 3611. [Google Scholar] [CrossRef] [PubMed]
- Cho, H.; Lee, S.; Kim, J.; Park, H. Classification of the glioma grading using radiomics analysis. PeerJ 2018, 6, e5982. [Google Scholar] [CrossRef] [PubMed] [Green Version]
- Li, Y.; Liu, X.; Qian, Z.; Sun, Z.; Xu, K.; Wang, K.; Fan, X.; Zhang, Z.; Li, S.; Wang, Y.; et al. Genotype prediction of ATRX mutation in lower-grade gliomas using an MRI radiomics signature. Eur. Radiol. 2018, 28, 2960–2968. [Google Scholar] [CrossRef] [PubMed]
- Arita, H.; Kinoshita, M.; Kawaguchi, A.; Takahashi, M.; Narita, Y.; Terakawa, Y.; Tsuyuguchi, N.; Okita, Y.; Nonaka, M.; Moriuchi, S.; et al. Lesion location implemented magnetic resonance imaging radiomics for predicting IDH and TERT promoter mutations in grade II/III gliomas. Sci. Rep. 2018, 8, 11773. [Google Scholar] [CrossRef] [PubMed] [Green Version]
- Shofty, B.; Artzi, M.; Ben Bashat, D.; Liberman, G.; Haim, O.; Kashanian, A.; Bokstein, F.; Blumenthal, D.T.; Ram, Z.; Shahar, T. MRI radiomics analysis of molecular alterations in low-grade gliomas. Int. J. Comput Assist. Radiol. Surg. 2018, 13, 563–571. [Google Scholar] [CrossRef] [PubMed]
- Yogananda, C.G.B.; Shah, B.R.; Nalawade, S.S.; Murugesan, G.K.; Yu, F.F.; Pinho, M.C.; Wagner, B.C.; Mickey, B.; Patel, T.R.; Fei, B.; et al. MRI-Based Deep-Learning Method for Determining Glioma MGMT Promoter Methylation Status. AJNR Am. J. Neuroradiol. 2021, 42, 845–852. [Google Scholar] [CrossRef] [PubMed]
- Pati, S.; Verma, R.; Akbari, H.; Bilello, M.; Hill, V.B.; Sako, C.; Correa, R.; Beig, N.; Venet, L.; Thakur, S.; et al. Reproducibility analysis of multi-institutional paired expert annotations and radiomic features of the Ivy Glioblastoma Atlas Project (Ivy GAP) dataset. Med. Phys. 2020, 47, 6039–6052. [Google Scholar] [CrossRef]
- Akbari, H.; Bakas, S.; Pisapia, J.M.; Nasrallah, M.P.; Rozycki, M.; Martinez-Lage, M.; Morrissette, J.J.D.; Dahmane, N.; O’Rourke, D.M.; Davatzikos, C. In vivo evaluation of EGFRvIII mutation in primary glioblastoma patients via complex multiparametric MRI signature. Neuro-Oncology 2018, 20, 1068–1079. [Google Scholar] [CrossRef] [PubMed] [Green Version]
- Kebir, S.; Weber, M.; Lazaridis, L.; Deuschl, C.; Schmidt, T.; Mönninghoff, C.; Keyvani, K.; Umutlu, L.; Pierscianek, D.; Forsting, M.; et al. Hybrid 11C-MET PET/MRI Combined With “Machine Learning” in Glioma Diagnosis According to the Revised Glioma WHO Classification 2016. Clin. Nucl. Med. 2019, 44, 214–220. [Google Scholar] [CrossRef] [PubMed]
- Zinn, P.O.; Singh, S.K.; Kotrotsou, A.; Hassan, I.; Thomas, G.; Luedi, M.M.; Elakkad, A.; Elshafeey, N.; Idris, T.; Mosley, J.; et al. A co-clinical radiogenomic validation study—Conserved magnetic resonance radiomic appearance of Periostin expressing Glioblastoma in patients and xenograft models. Clin. Cancer Res. 2018, 24, 6288–6299. [Google Scholar] [CrossRef] [Green Version]
- Zhuge, Y.; Ning, H.; Mathen, P.; Cheng, J.Y.; Krauze, A.V.; Camphausen, K.; Miller, R.W. Automated glioma grading on conventional MRI images using deep convolutional neural networks. Med. Phys. 2020, 47, 3044–3053. [Google Scholar] [CrossRef] [PubMed]
- Kamnitsas, K.; Ledig, C.; Newcombe, V.F.J.; Simpson, J.P.; Kane, A.D.; Menon, D.K.; Rueckert, D.; Glocker, B. Efficient multi-scale 3D CNN with fully connected CRF for accurate brain lesion segmentation. Med. Image Anal. 2017, 36, 61–78. [Google Scholar] [CrossRef] [PubMed]
- Isensee, F.; Schell, M.; Pflueger, I.; Brugnara, G.; Bonekamp, D.; Neuberger, U.; Wick, A.; Schlemmer, H.-P.; Heiland, S.; Wick, W.; et al. Automated brain extraction of multisequence MRI using artificial neural networks. Hum. Brain Mapp. 2019, 40, 4952–4964. [Google Scholar] [CrossRef] [Green Version]
- van Griethuysen, J.J.M.; Fedorov, A.; Parmar, C.; Hosny, A.; Aucoin, N.; Narayan, V.; Beets-Tan, R.G.H.; Fillion-Robin, J.-C.; Pieper, S.; Aerts, H.J.W.L. Computational Radiomics System to Decode the Radiographic Phenotype. Cancer Res. 2017, 77, e104–e107. [Google Scholar] [CrossRef] [PubMed] [Green Version]
- Kursa, M.B.; Rudnicki, W.R. Feature Selection with the Boruta Package. J. Stat. Softw. 2010, 36, 1–13. [Google Scholar] [CrossRef] [Green Version]
- Chen, T.; Guestrin, C. XGBoost: A Scalable Tree Boosting System, Proceedings of the 22nd ACM SIGKDD International Conference on Knowledge Discovery and Data Mining, San Francisco, CA, USA, 13–17 August 2016; Association for Computing Machinery: New York, NY, USA, 2016; pp. 785–794. [Google Scholar]
- Akiba, T.; Sano, S.; Yanase, T.; Ohta, T.; Koyama, M. Optuna: A Next-generation Hyperparameter Optimization Framework. In Proceedings of the 25th ACM SIGKDD International Conference on Knowledge Discovery & Data Mining, Anchorage, AK, USA, 4–8 August 2019; Association for Computing Machinery: New York, NY, USA, 2019; pp. 2623–2631. [Google Scholar]
- Zhao, S.-S.; Feng, X.-L.; Hu, Y.-C.; Han, Y.; Tian, Q.; Sun, Y.-Z.; Zhang, J.; Ge, X.-W.; Cheng, S.-C.; Li, X.-L.; et al. Better efficacy in differentiating WHO grade II from III oligodendrogliomas with machine-learning than radiologist’s reading from conventional T1 contrast-enhanced and fluid attenuated inversion recovery images. BMC Neurol. 2020, 20, 48. [Google Scholar] [CrossRef] [PubMed]
- Peng, H.; Huo, J.; Li, B.; Cui, Y.; Zhang, H.; Zhang, L.; Ma, L. Predicting Isocitrate Dehydrogenase (IDH) Mutation Status in Gliomas Using Multiparameter MRI Radiomics Features. J. Magn. Reson. Imaging 2020, 53, 1399–1407. [Google Scholar] [CrossRef]
- Kong, Z.; Jiang, C.; Zhang, Y.; Liu, S.; Liu, D.; Liu, Z.; Chen, W.; Liu, P.; Yang, T.; Lyu, Y.; et al. Thin-Slice Magnetic Resonance Imaging-Based Radiomics Signature Predicts Chromosomal 1p/19q Co-deletion Status in Grade II and III Gliomas. Front. Neurol. 2020, 11, 551771. [Google Scholar] [CrossRef]
- Li, Z.-C.; Bai, H.; Sun, Q.; Li, Q.; Liu, L.; Zou, Y.; Chen, Y.; Liang, C.; Zheng, H. Multiregional radiomics features from multiparametric MRI for prediction of MGMT methylation status in glioblastoma multiforme: A multicentre study. Eur. Radiol. 2018, 28, 3640–3650. [Google Scholar] [CrossRef] [PubMed]
- Qiu, Q.; Duan, J.; Duan, Z.; Meng, X.; Ma, C.; Zhu, J.; Lu, J.; Liu, T.; Yin, Y. Reproducibility and non-redundancy of radiomic features extracted from arterial phase CT scans in hepatocellular carcinoma patients: Impact of tumor segmentation variability. Quant. Imaging Med. Surg. 2019, 9, 45364–45464. [Google Scholar] [CrossRef] [PubMed]
- Bakas, S.; Reyes, M.; Jakab, A.; Bauer, S.; Rempfler, M.; Crimi, A.; Shinohara, R.T.; Berger, C.; Ha, S.M.; Rozycki, M.; et al. Identifying the Best Machine Learning Algorithms for Brain Tumor Segmentation, Progression Assessment, and Overall Survival Prediction in the BRATS Challenge. arXiv 2019, arXiv:1811.02629. [Google Scholar]
- Menze, B.H.; Jakab, A.; Bauer, S.; Kalpathy-Cramer, J.; Farahani, K.; Kirby, J.; Burren, Y.; Porz, N.; Slotboom, J.; Wiest, R.; et al. The Multimodal Brain Tumor Image Segmentation Benchmark (BRATS). IEEE Trans. Med. Imaging 2015, 34, 1993–2024. [Google Scholar] [CrossRef]
- Bakas, S.; Akbari, H.; Sotiras, A.; Bilello, M.; Rozycki, M.; Kirby, J.S.; Freymann, J.B.; Farahani, K.; Davatzikos, C. Advancing The Cancer Genome Atlas glioma MRI collections with expert segmentation labels and radiomic features. Sci. Data 2017, 4, 170117. [Google Scholar] [CrossRef] [Green Version]
- Lopes-Ramos, C.M.; Quackenbush, J.; DeMeo, D.L. Genome-Wide Sex and Gender Differences in Cancer. Front. Oncol. 2020, 10, 2486. [Google Scholar] [CrossRef] [PubMed]
- Liu, L.; Yi, X.; Lu, C.; Qi, L.; Zhang, Y.; Li, M.; Xiao, Q.; Wang, C.; Zhang, L.; Pang, Y.; et al. Applications of radiomics in genitourinary tumors. Am. J. Cancer Res. 2020, 10, 2293–2308. [Google Scholar]
- Forst, D.A.; Nahed, B.V.; Loeffler, J.S.; Batchelor, T.T. Low-Grade Gliomas. Oncologist 2014, 19, 403–413. [Google Scholar] [CrossRef] [PubMed] [Green Version]
- Sim, H.-W.; Morgan, E.R.; Mason, W.P. Contemporary management of high-grade gliomas. CNS Oncol. 2018, 7, 51–65. [Google Scholar] [CrossRef] [PubMed] [Green Version]
- Zhang, X.; Yan, L.-F.; Hu, Y.-C.; Li, G.; Yang, Y.; Han, Y.; Sun, Y.-Z.; Liu, Z.-C.; Tian, Q.; Han, Z.-Y.; et al. Optimizing a machine learning based glioma grading system using multi-parametric MRI histogram and texture features. Oncotarget 2017, 8, 47816–47830. [Google Scholar] [CrossRef]
- Zhang, S.; Sun, H.; Su, X.; Yang, X.; Wang, W.; Wan, X.; Tan, Q.; Chen, N.; Yue, Q.; Gong, Q. Automated machine learning to predict the co-occurrence of isocitrate dehydrogenase mutations and O6 -methylguanine-DNA methyltransferase promoter methylation in patients with gliomas. J. Magn. Reson. Imaging 2021, 54, 197–205. [Google Scholar] [CrossRef]
- Ren, Y.; Zhang, X.; Rui, W.; Pang, H.; Qiu, T.; Wang, J.; Xie, Q.; Jin, T.; Zhang, H.; Chen, H.; et al. Noninvasive Prediction of IDH1 Mutation and ATRX Expression Loss in Low-Grade Gliomas Using Multiparametric MR Radiomic Features. J. Magn. Reson. Imaging 2019, 49, 808–817. [Google Scholar] [CrossRef] [PubMed]
- Xi, Y.-B.; Guo, F.; Xu, Z.-L.; Li, C.; Wei, W.; Tian, P.; Liu, T.-T.; Liu, L.; Chen, G.; Ye, J.; et al. Radiomics signature: A potential biomarker for the prediction of MGMT promoter methylation in glioblastoma. J. Magn. Reson. Imaging 2018, 47, 1380–1387. [Google Scholar] [CrossRef] [PubMed]
- Carré, A.; Klausner, G.; Edjlali, M.; Lerousseau, M.; Briend-Diop, J.; Sun, R.; Ammari, S.; Reuzé, S.; Alvarez Andres, E.; Estienne, T.; et al. Standardization of brain MR images across machines and protocols: Bridging the gap for MRI-based radiomics. Sci. Rep. 2020, 10, 12340. [Google Scholar] [CrossRef]




| Label | Total (pos/neg) | Train (pos/neg), %Female, Mean Age + SD | Test (pos/neg) %Female, Mean Age + SD |
|---|---|---|---|
| MGMT | 164 (81/83) | 131 (65/66), 45.0%, 57.0 ± 14.3 years | 33 (16/17), 30.3%, 60.6 ± 13.1 years |
| IDH1/2 | 145 (34/111) | 116 (27/89), 37.9%, 55.5 ± 16.9 years | 29 (7/22), 41.4%, 50.2 ± 17.8 years |
| 1p19q | 30 (5/25) | 24 (4/20), 45.8%, 45.3 ± 14 years | 6 (1/5), 33.3%, 56.7 ± 6.9 years |
| WHO | 215 (28/187) | 172 (22/150), 41.9%, 56.0 ± 16.2 years | 43 (6/37), 41.9%, 52.6 ± 15.4 years |
| ATRX | 67 (13/54) | 53 (10/43), 32.1%, 56.8 ± 13.3 years | 14 (3/11), 64.3%, 56.9 ± 9.5 years |
| Scanner | 1.5 T Magnetom Aera | 3 T Magnetom Skyra | 1.5 T Magnetom Espree | 3 T Biograph_mMR | 1.5 T Magnetom Avanto | 1.5 T Magnetom Sonata | 1.5 T Magnetom Symphony |
|---|---|---|---|---|---|---|---|
| n | 68 | 57 | 35 | 19 | 19 | 12 | 10 |
| Labels | Magnetic Field Strength | Genetic Profile | ||||
|---|---|---|---|---|---|---|
| MGMT | IDH1/2 | ATRX | 1p19Q | WHO_HIGH | ||
| 0 (train) | 1.5 | 45 | 53 | 21 | 11 | 15 |
| 3.0 | 21 | 36 | 22 | 9 | 7 | |
| 1 (train) | 1.5 | 38 | 14 | 6 | 2 | 76 |
| 3.0 | 27 | 13 | 4 | 2 | 74 | |
| 0 (test) | 1.5 | 14 | 15 | 7 | 3 | 3 |
| 3.0 | 3 | 7 | 4 | 2 | 3 | |
| 1 (test) | 1.5 | 10 | 4 | 2 | 0 | 26 |
| 3.0 | 6 | 3 | 1 | 1 | 11 | |
| MGMT | WHO | IDH 1/2 | 1p19q | ATRX | |
|---|---|---|---|---|---|
| Volume | neg: 9.9 × 104 ± 5.5 × 104 | neg: 1 × 105 ± 5.8 × 104 | neg: 9.9 × 104 ± 5.8 × 104 | neg: 9.1 × 104 ± 7 × 104 | neg: 1.1 × 105 ± 6.5 × 104 |
| pos: 1.1 × 105 ± 6.3 × 104 | pos: 5.8 × 104 ± 6.8 × 104 | pos: 9.1 × 104 ± 8.2 × 104 | pos: 1 × 105 ± 1.2 × 105 | pos: 9.2 ×104 ± 6.4 × 104 | |
| p = 0.340 | p < 0.0001 | p = 0.070 | p = 0.434 | p = 0.194 | |
| Flatness | neg: 0.59 ± 0.12 | neg: 0.58 ± 0.12 | neg: 0.59 ± 0.13 | neg: 0.57 ± 0.13 | neg: 0.59 ± 0.13 |
| pos: 0.58 ± 0.12 | pos: 0.65 ± 0.1 | pos: 0.63 ± 0.11 | pos: 0.65 ± 0.091 | pos: 0.62 ± 0.1 | |
| p = 0.276 | p = 0.002 | p = 0.013 | p = 0.110 | p = 0.177 | |
| Surface Area | neg: 2.1 × 104 ± 9.9 × 103 | neg: 2.2 × 104 ± 1.1 × 104 | neg: 2.1 × 104 ± 1.1 × 104 | neg: 2.1 × 104 ± 1.5 × 104 | neg = 2.2 × 104 ± 1.2 × 104 |
| pos: 2.2 × 104 ± 1.2 × 104 | pos: 1.3 × 104 ± 1.4 × 104 | pos: 1.8 × 104 ± 1.6 × 104 | pos: 2.2 × 104 ± 2.4 × 104 | pos: 1.9 × 104 ± 1.2 × 104 | |
| p = 0.358 | p < 0.0001 | p = 0.012 | p = 0.348 | p = 0.177 |
| Hyperparameter | |
|---|---|
| n_estimators | [100, 1500] stepsize: 100 |
| max_depth | [1, 6] stepsize: 1 |
| learning_rate | [0.05, 0.03] stepsize: loguniform |
| gamma | [0, 20] stepsize: uniform |
| min_child_weight | [1, 20] stepsize: 1 |
| subsample | [0.5, 1.0] stepsize: 0.05 |
| colsample_bytree | [0.1, 1.0] stepsize: 0.05 |
| reg_landa | [1 × 10−8, 1.0] stepsize: loguniform |
| reg_landa | [1 × 10−8, 1.0] stepsize: loguniform |
| Dataset | AUC | Accuracy | Precision | Sensitivity | Specificity |
|---|---|---|---|---|---|
| Grading-Validation | 0.981 ± 0.015 | 0.925 ± 0.042 | 0.685 ± 0.168 | 0.868 ± 0.035 | 0.932 ± 0.048 |
| Grading-Test | 0.885 ± 0.021 | 0.774 ± 0.032 | 0.369 ± 0.042 | 0.826 ± 0.035 | 0.766 ± 0.040 |
| Dataset | AUC | Accuracy | Precision | Sensitivity | Specificity |
|---|---|---|---|---|---|
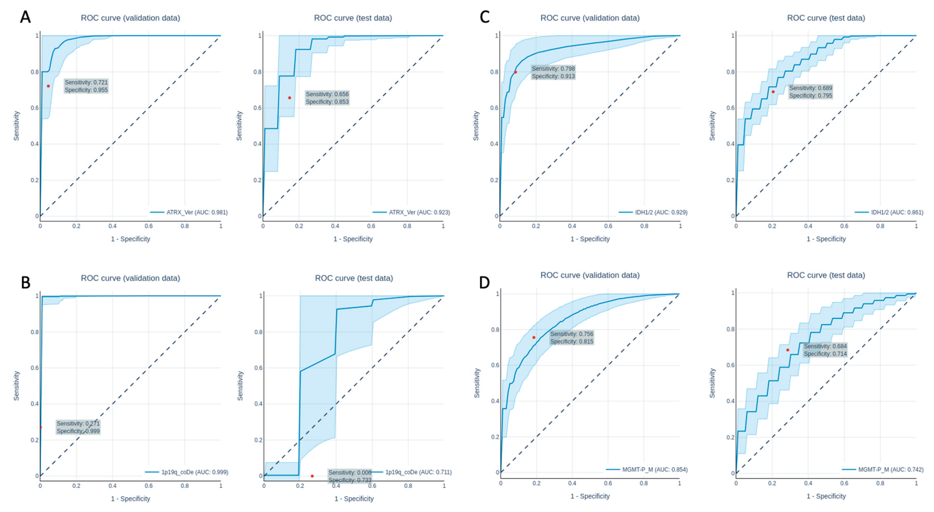
| ATRX-Validation | 0.981 ± 0.028 | 0.914 ± 0.048 | 0.844 ± 0.193 | 0.721 ± 0.089 | 0.955 ± 0.060 |
| ATRX-Test | 0.923 ± 0.045 | 0.810 ± 0.066 | 0.593 ± 0.174 | 0.656 ± 0.059 | 0.853 ± 0.086 |
| 1p19q-Validation | 0.999 ± 0.005 | 0.889 ± 0.032 | 0.521 ± 0.497 | 0.271 ± 0.260 | 0.999 ± 0.012 |
| 1p19q-Test | 0.711 ± 0.128 | 0.611 ± 0.094 | 0.000 ± 0.000 | 0.000 ± 0.000 | 0.733 ± 0.113 |
| IDH1/2-Validation | 0.929 ± 0.042 | 0.888 ± 0.045 | 0.751 ± 0.131 | 0.798 ± 0.087 | 0.913 ± 0.059 |
| IDH1/2-Test | 0.861 ± 0.023 | 0.769 ± 0.053 | 0.544 ± 0.113 | 0.689 ± 0.095 | 0.795 ± 0.091 |
| MGMT-Validation | 0.854 ± 0.046 | 0.786 ± 0.044 | 0.807 ± 0.076 | 0.756 ± 0.094 | 0.815 ± 0.091 |
| MGMT-Test | 0.742 ± 0.050 | 0.699 ± 0.046 | 0.705 ± 0.077 | 0.684 ± 0.125 | 0.714 ± 0.117 |
.Publisher’s Note: MDPI stays neutral with regard to jurisdictional claims in published maps and institutional affiliations. |
© 2021 by the authors. Licensee MDPI, Basel, Switzerland. This article is an open access article distributed under the terms and conditions of the Creative Commons Attribution (CC BY) license (https://creativecommons.org/licenses/by/4.0/).
Share and Cite
Haubold, J.; Hosch, R.; Parmar, V.; Glas, M.; Guberina, N.; Catalano, O.A.; Pierscianek, D.; Wrede, K.; Deuschl, C.; Forsting, M.; et al. Fully Automated MR Based Virtual Biopsy of Cerebral Gliomas. Cancers 2021, 13, 6186. https://doi.org/10.3390/cancers13246186
Haubold J, Hosch R, Parmar V, Glas M, Guberina N, Catalano OA, Pierscianek D, Wrede K, Deuschl C, Forsting M, et al. Fully Automated MR Based Virtual Biopsy of Cerebral Gliomas. Cancers. 2021; 13(24):6186. https://doi.org/10.3390/cancers13246186
Chicago/Turabian StyleHaubold, Johannes, René Hosch, Vicky Parmar, Martin Glas, Nika Guberina, Onofrio Antonio Catalano, Daniela Pierscianek, Karsten Wrede, Cornelius Deuschl, Michael Forsting, and et al. 2021. "Fully Automated MR Based Virtual Biopsy of Cerebral Gliomas" Cancers 13, no. 24: 6186. https://doi.org/10.3390/cancers13246186
APA StyleHaubold, J., Hosch, R., Parmar, V., Glas, M., Guberina, N., Catalano, O. A., Pierscianek, D., Wrede, K., Deuschl, C., Forsting, M., Nensa, F., Flaschel, N., & Umutlu, L. (2021). Fully Automated MR Based Virtual Biopsy of Cerebral Gliomas. Cancers, 13(24), 6186. https://doi.org/10.3390/cancers13246186

