Providing Psychological Support to Parents of Childhood Cancer Survivors: ‘Cascade’ Intervention Trial Results and Lessons for the Future
Abstract
:Simple Summary
Abstract
1. Background
- Is it feasible to conduct a national trial of Cascade, indexed by timeliness and trial participation?
- Is it feasible to simultaneously deliver Cascade to parents of children treated at multiple cancer centers across Australia (eight hospitals across five states), indexed by treatment fidelity, participant engagement, reach, organizational impacts and technical difficulties?
- Is Cascade acceptable to parents of children treated at multiple cancer centers across Australia, assessed through intervention satisfaction, perceived benefit/burden, group cohesion between group members and working alliance with the psychologist?
- Is it psychologically safe to deliver Cascade to parents of children treated at multiple cancer centers across Australia from one lead site (assessed by between-session distress ratings)?
- Compared with an attention control (videoconferencing peer-support group) and a waitlist control, is Cascade able to:
- Improve parents’ health-related QOL (HRQL, primary outcome)?
- Improve parents’ psychological outcomes (depression, anxiety, fear of cancer recurrence, perceived parenting self-agency)?
- Increase parents’ confidence to use CBT skills and actual use of CBT skills?
- Improve parent-reported HRQL in their child who had cancer?
2. Materials and Methods
2.1. Study Design
2.2. Participants
2.3. Procedures
2.4. Study Arms
2.4.1. Cascade
2.4.2. Attention Control (Peer-Support Group)
2.4.3. Waitlist Controls
2.5. Randomization of Groups and Blinding
2.6. Measures
2.6.1. Feasibility of Conducting the National Trial
2.6.2. Feasibility of Delivering Cascade Nationally
2.6.3. Acceptability/Satisfaction
2.6.4. Safety
2.6.5. Efficacy
2.6.6. Measures Not Reported in This Paper
2.7. Data Analysis
2.8. Feasibility of the National Trial
2.9. Feasibility of Delivering Cascade Nationally
2.10. Acceptability
2.11. Psychological Safety
2.12. Efficacy
2.12.1. Primary Outcome: Parents’ Health-Related Quality of Life (HRQL)
2.12.2. Secondary Outcomes
Parents’ Psychological Outcomes
Parent-Reported Child Survivor HRQL
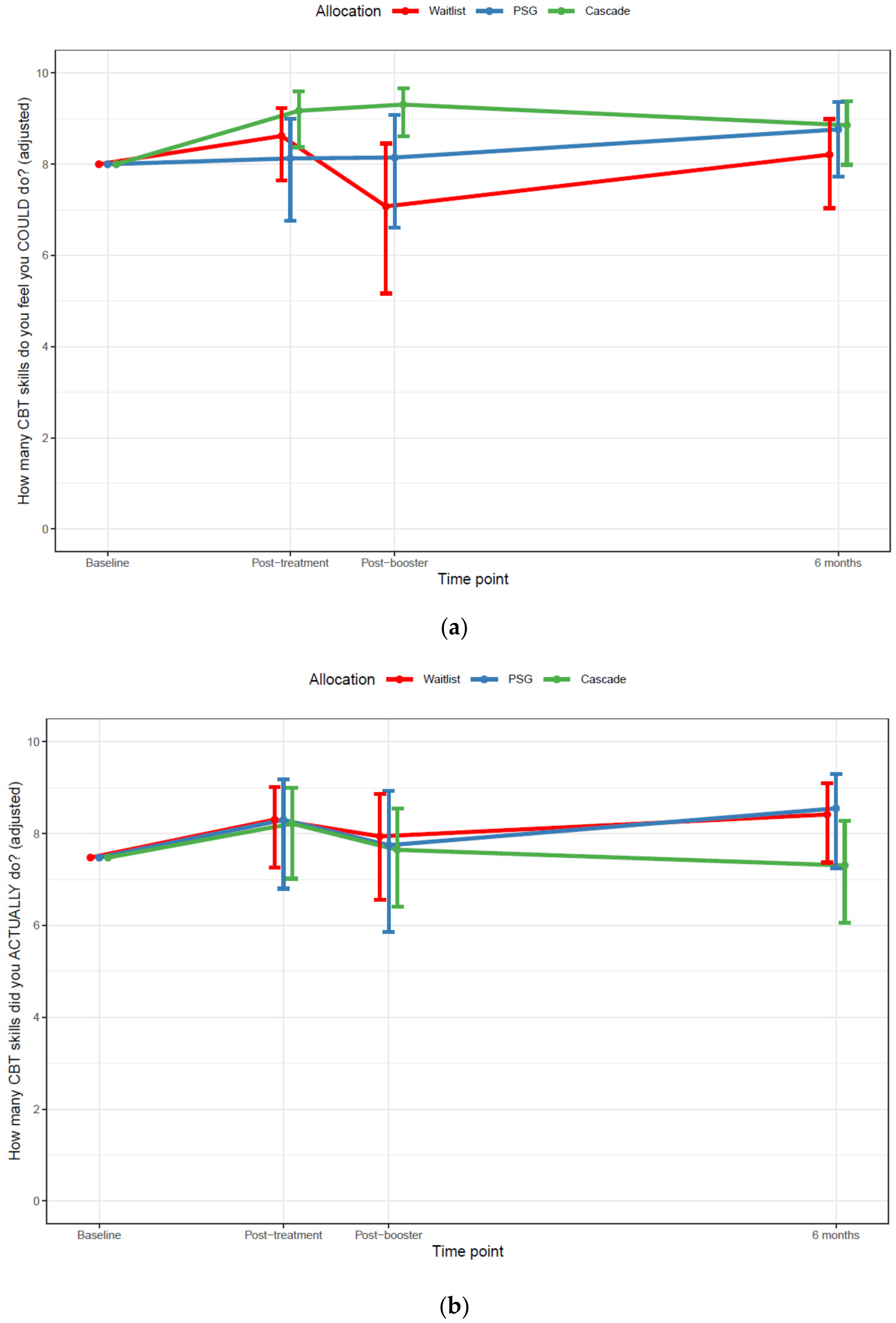
2.12.3. CBT Skills Use
Parents’ Mental Health Service Use in the Last Six Months
Parents’ Other Health Service Use in the Last Six Months
Parents’ Hospital Use in the Last Six Months
Parents’ Psychotropic Medication Use in the Last 4 Weeks
2.12.4. Days Engaged with Productive Activities in the Last 4 Weeks
3. Discussion
3.1. Feasibility
3.2. Acceptability
3.3. Efficacy
3.4. Study Strengths and Limitations
3.5. Future Directions
4. Conclusions
Supplementary Materials
Author Contributions
Funding
Institutional Review Board Statement
Informed Consent Statement
Data Availability Statement
Acknowledgments
Conflicts of Interest
References
- Ward, Z.J.; Yeh, J.M.; Bhakta, N.; Frazier, A.L.; Girardi, F.; Atun, R. Global childhood cancer survival estimates and priority-setting: A simulation-based analysis. Lancet Oncol. 2019, 20, 972–983. [Google Scholar] [CrossRef] [Green Version]
- Noone, A.; Howlader, N.; Krapcho, M.; Miller, D.; Brest, A.; Yu, M.; Ruhl, J.; Tatalovich, Z.; Mariotto, A.; Lewis, D. SEER Cancer Statistics Review,1975–2015; National Cancer Institute: Bethesda, MD, USA, 2018. [Google Scholar]
- Maurice-Stam, H.; Oort, F.J.; Last, B.F.; Grootenhuis, M.A. Emotional functioning of parents of children with cancer: The first five years of continuous remission after the end of treatment. Psycho-Oncology 2008, 17, 448–459. [Google Scholar] [CrossRef] [PubMed]
- Wakefield, C.E.; McLoone, J.K.; Butow, P.; Lenthen, K.; Cohn, R.J. Parental adjustment to the completion of their child’s cancer treatment: A systematic review. Pediatr. Blood Cancer 2011, 56, 524–531. [Google Scholar] [CrossRef]
- Ljungman, L.; Cernvall, M.; Grönqvist, H.; Ljótsson, B.; Ljungman, G.; von Essen, L. Long-term positive and negative psychological late effects for parents of childhood cancer survivors: A systematic review. PLoS ONE 2014, 9, e103340. [Google Scholar] [CrossRef] [Green Version]
- Conway Keller, M.; King, C.; Hart, L.; Engelke, K.; Needham, A.; Holden, E.; Foy, K.; Lucas, R. The end of cancer treatment experience for children, adolescents, and their parents: A systematic review of the literature. J. Psychosoc. Oncol. 2020, 38, 573–591. [Google Scholar] [CrossRef] [PubMed]
- Michel, G.; Brinkman, T.; Wakefield, C.; Grootenhuis, M. Psychological outcomes, health-related quality of life, and neurocognitive functioning in survivors of childhood cancer and their parents. Pediatr. Clin. 2020, 67, 1103–1134. [Google Scholar] [CrossRef] [PubMed]
- Baenziger, J.; Roser, K.; Mader, L.; Harju, E.; Ansari, M.; Waespe, N.; Scheinemann, K.; Michel, G. Post-traumatic stress in parents of long-term childhood cancer survivors compared to parents of the Swiss general population. J. Psychosoc. Oncol. Res. Pract. 2020, 2, e024. [Google Scholar] [CrossRef] [PubMed]
- Pascal, J.; Johnson, N.; Dickson-Swift, V.; Kenny, A. Returning home: Psychosocial care during the re-entry phase of cancer survivorship in rural Australia. Eur. J. Cancer Care 2015, 24, 39–49. [Google Scholar] [CrossRef] [PubMed]
- Warner, E.L.; Montenegro, R.E.; Stroup, A.; Kinney, A.Y.; Kirchhoff, A.C. Health care concerns of rural childhood cancer survivors. J. Health Care Poor Underserved 2014, 25, 901–912. [Google Scholar] [CrossRef] [PubMed]
- Roser, K.; Erdmann, F.; Michel, G.; Winther, J.F.; Mader, L. The impact of childhood cancer on parents’ socio-economic situation—A systematic review. Psycho-Oncology 2019, 28, 1207–1226. [Google Scholar] [CrossRef] [PubMed] [Green Version]
- Aitken, T.J.; Hathaway, G. Long distance related stressors and coping behaviors in parents of children with cancer. J. Ped. Oncol. Nurs. 1993, 10, 3–12. [Google Scholar] [CrossRef] [PubMed]
- Vetsch, J.; Fardell, J.E.; Wakefield, C.E.; Signorelli, C.; Michel, G.; McLoone, J.K.; Walwyn, T.; Tapp, H.; Truscott, J.; Cohn, R.J. “Forewarned and forearmed”: Long-term childhood cancer survivors’ and parents’ information needs and implications for survivorship models of care. Patient Educ. Couns. 2017, 100, 355–363. [Google Scholar] [CrossRef] [PubMed] [Green Version]
- Kupst, M.J.; Natta, M.B.; Richardson, C.C.; Schulman, J.L.; Lavigne, J.V.; Das, L. Family coping with pediatric leukemia: Ten years after treatment. J. Pediatr. Psychol. 1995, 20, 601–617. [Google Scholar] [CrossRef]
- Schepers, S.A.; Okado, Y.; Russell, K.; Long, A.M.; Phipps, S. Adjustment in childhood cancer survivors, healthy peers, and their parents: The mediating role of the parent-child relationship. J. Pediatr. Psychol. 2019, 44, 186–196. [Google Scholar] [CrossRef] [PubMed]
- Robinson, K.E.; Gerhardt, C.A.; Vannatta, K.; Noll, R.B. Parent and family factors associated with child adjustment to pediatric cancer. J. Pediatr. Psychol. 2007, 32, 400–410. [Google Scholar] [CrossRef] [PubMed] [Green Version]
- Racine, N.; Khu, M.; Reynolds, K.; Guilcher, G.; Schulte, F. Quality of life in pediatric cancer survivors: Contributions of parental distress and psychosocial family risk. Curr. Oncol. Rep. 2018, 25, 41. [Google Scholar] [CrossRef] [PubMed] [Green Version]
- Page, M.C.; Fedele, D.A.; Pai, A.L.H.; Anderson, J.; Wolfe-Christensen, C.; Ryan, J.L.; Mullins, L.L. The Relationship of Maternal and Child Illness Uncertainty to Child Depressive Symptomotology: A Mediational Model. J. Pediatr. Psychol. 2012, 37, 97–105. [Google Scholar] [CrossRef] [PubMed]
- Overholser, J.C.; Fritz, G.K. The Impact of Childhood Cancer on the Family. J. Psychosoc. Oncol. 1991, 8, 71–85. [Google Scholar] [CrossRef]
- Patterson, P.; Medlow, S.; McDonald, F. Recent developments in supporting adolescent and young adult siblings of cancer patients. Curr. Opin. Oncol. 2015, 27, 311–315. [Google Scholar] [CrossRef] [PubMed]
- Kearney, J.A.; Salley, C.G.; Muriel, A.C. Standards of psychosocial care for parents of children with cancer. Pediatr. Blood Cancer 2015, 62, S632–S683. [Google Scholar] [CrossRef] [PubMed] [Green Version]
- Muscara, F.; McCarthy, M.C.; Rayner, M.; Nicholson, J.M.; Dimovski, A.; McMillan, L.; Hearps, S.J.; Yamada, J.; Burke, K.; Walser, R. Effect of a Videoconference-Based Online Group Intervention for Traumatic Stress in Parents of Children with Life-threatening Illness: A Randomized Clinical Trial. JAMA Netw. Open 2020, 3, e208507. [Google Scholar] [CrossRef]
- Canter, K.S.; McIntyre, R.; Babb, R.; Ramirez, A.P.; Vega, G.; Lewis, A.; Bottrell, C.; Lawlor, C.; Kazak, A.E. A community-based trial of a psychosocial eHealth intervention for parents of children with cancer. Pediatr. Blood Cancer 2021, e29352. [Google Scholar] [CrossRef]
- Meyler, E.; Guerin, S.; Kiernan, G.; Breatnach, F. Review of Family-Based Psychosocial Interventions for Childhood Cancer. J. Pediatr. Psychol. 2010, 35, 1116. [Google Scholar] [CrossRef] [PubMed] [Green Version]
- Ogez, D.; Péloquin, K.; Bertout, L.; Bourque, C.-J.; Curnier, D.; Drouin, S.; Laverdière, C.; Marcil, V.; Ribeiro, R.; Callaci, M. Psychosocial intervention programs for parents of children with cancer: A systematic review and critical comparison of programs’ models and development. J. Clin. Psychol. Med. Settings 2019, 26, 550–574. [Google Scholar] [CrossRef] [PubMed]
- Peikert, M.L.; Inhestern, L.; Bergelt, C. Psychosocial interventions for rehabilitation and reintegration into daily life of pediatric cancer survivors and their families: A systematic review. PLoS ONE 2018, 13, e0196151. [Google Scholar] [CrossRef] [PubMed]
- Luo, Y.-H.; Xia, W.; He, X.-L.; Zhang, J.-P.; Li, H.C.W. Psychological interventions for enhancing resilience in parents of children with cancer: A systematic review and meta-analysis. Support. Care Cancer 2021, 29, 7101–7110. [Google Scholar] [CrossRef]
- Rosenberg, A.R.; Bradford, M.C.; Junkins, C.C.; Taylor, M.; Zhou, C.; Sherr, N.; Kross, E.; Curtis, J.R.; Joyce, P. Effect of the promoting resilience in stress management intervention for parents of children with cancer (PRISM-P): A randomized clinical trial. JAMA Netw. Open 2019, 2, e1911578. [Google Scholar] [CrossRef]
- Douma, M.; Maurice-Stam, H.; Gorter, B.; Krol, Y.; Verkleij, M.; Wiltink, L.; Scholten, L.; Grootenhuis, M.A. Online psychosocial group intervention for parents: Positive effects on anxiety and depression. J. Pediatr. Psychol. 2021, 46, 123–134. [Google Scholar] [CrossRef]
- Greening, L.; Stoppelbein, L. Brief report: Pediatric cancer, parental coping style, and risk for depressive, posttraumatic stress, and anxiety symptoms. J. Pediatr. Psychol. 2007, 32, 1272–1277. [Google Scholar] [CrossRef] [Green Version]
- Ogez, D.; Péloquin, K.; Bertout, L.; Bourque, C.-J.; Curnier, D.; Drouin, S.; Laverdière, C.; Marcil, V.; Aramideh, J.; Ribeiro, R. “Taking back control together”: Definition of a new intervention designed to support parents confronted with childhood cancer. Cogent Med. 2021, 8, 1944476. [Google Scholar] [CrossRef]
- Kazak, A.E.; Abrams, A.N.; Banks, J.; Christofferson, J.; DiDonato, S.; Grootenhuis, M.A.; Kabour, M.; Madan-Swain, A.; Patel, S.K.; Zadeh, S. Psychosocial assessment as a standard of care in pediatric cancer. Pediatr. Blood Cancer 2015, 62, S426–S459. [Google Scholar] [CrossRef] [Green Version]
- Allison, K.R.; Patterson, P.; Guilbert, D.; Noke, M.; Husson, O. Logging On, Reaching Out, and Getting By: A Review of Self-reported Psychosocial Impacts of Online Peer Support for People Impacted by Cancer. Proc. ACM Hum.-Comput. Interact. 2021, 5, 1–35. [Google Scholar] [CrossRef]
- Wakefield, C.E.; Sansom-Daly, U.M.; McGill, B.C.; Ellis, S.J.; Doolan, E.L.; Robertson, E.G.; Mathur, S.; Cohn, R.J. Acceptability and feasibility of an e-mental health intervention for parents of childhood cancer survivors:“Cascade”. Support. Care Cancer 2016, 24, 2685–2694. [Google Scholar] [CrossRef] [PubMed]
- Wakefield, C.E.; Sansom-Daly, U.M.; McGill, B.C.; McCarthy, M.; Girgis, A.; Grootenhuis, M.; Barton, B.; Patterson, P.; Osborn, M.; Lowe, C. Online parent-targeted cognitive-behavioural therapy intervention to improve quality of life in families of young cancer survivors: Study protocol for a randomised controlled trial. Trials 2015, 16, 1. [Google Scholar] [CrossRef] [PubMed] [Green Version]
- Wakefield, C.E.; McLoone, J.K.; Evans, N.T.; Ellis, S.J.; Cohn, R.J. It’s More than Dollars and Cents: The Impact of Childhood Cancer on Parents’ Occupational and Financial Health. J. Psychosoc. Oncol. 2014, 32, 602–621. [Google Scholar] [CrossRef]
- Wakefield, C.E.; Butow, P.; Fleming, C.A.; Daniel, G.; Cohn, R.J. Family information needs at childhood cancer treatment completion. Pediatr. Blood Cancer 2012, 58, 621–626. [Google Scholar] [CrossRef]
- Robertson, E.G.; Wakefield, C.E.; Shaw, J.; Darlington, A.-S.; McGill, B.C.; Cohn, R.J.; Fardell, J.E. Decision-making in childhood cancer: Parents’ and adolescents’ views and perceptions. Support. Care Cancer 2019, 27, 4331–4340. [Google Scholar] [CrossRef]
- McLoone, J.K.; Wakefield, C.E.; Butow, P.; Fleming, C.; Cohn, R.J. Returning to School After Adolescent Cancer: A Qualitative Examination of Australian Survivors’ and Their Families’ Perspectives. J. Adolesc. Young Adult Oncol. 2011, 1, 87–94. [Google Scholar] [CrossRef]
- World Health Organization. Prevention of Mental Disorders: Effective Interventions and Policy Options; World Health Organization: Geneva, Switzerland, 2004. [Google Scholar]
- Wakefield, C.E.; McLoone, J.K.; Butow, P.; Lenthen, K.; Cohn, R.J. Support after the completion of cancer treatment: Perspectives of Australian adolescents and their families. Eur. J. Cancer Care 2013, 22, 530–539. [Google Scholar] [CrossRef]
- Cancer Australia. Cancer Support Groups: A Guide to Setting Up Peer Facilitated Supports; Cancer Australia: Canberra, Australia, 2009. [Google Scholar]
- Primakoff, L.; Epstein, N.; Covi, L. Homework compliance: An uncontrolled variable in cognitive therapy outcome research. Behav. Ther. 1986, 17, 433–446. [Google Scholar] [CrossRef]
- Reynolds, B.C.; Windebank, K.P.; Leonard, R.C.; Wallace, W.H.; Leonard, R.C.F.; Wallace, W.H.B. A comparison of self-reported satisfaction between adolescents treated in a “teenage” unit with those treated in adult or paediatric units. Pediatr. Blood Cancer 2005, 44, 259–263. [Google Scholar] [CrossRef] [PubMed]
- Sansom-Daly, U.M.; Wakefield, C.E.; Bryant, R.A.; Patterson, P.; Anazodo, A.; Butow, P.; Sawyer, S.M.; McGill, B.C.; Evans, H.E.; Cohn, R.J. Feasibility, acceptability, and safety of the Recapture Life videoconferencing intervention for adolescent and young adult cancer survivors. Psycho-Oncology 2019, 28, 284–292. [Google Scholar] [CrossRef] [PubMed]
- Gaston, L.; Marmar, C.R. The California Psychotherapy Alliance Scales; John Wiley & Sons, Inc.: New York, NY, USA, 1994; pp. 85–108. [Google Scholar]
- Horvath, A.O.; Greenberg, L.S. Development and validation of the Working Alliance Inventory. J. Couns. Psychol. 1989, 36, 223. [Google Scholar] [CrossRef]
- Mitchell, A.J.; Baker-Glenn, E.A.; Granger, L.; Symonds, P. Can the Distress Thermometer be improved by additional mood domains? Part I. Initial validation of the Emotion Thermometers tool. Psycho-Oncol. J. Psychol. Soc. Behav. Dimens. Cancer 2010, 19, 125–133. [Google Scholar] [CrossRef] [PubMed]
- Varni, J.W.; Sherman, S.A.; Burwinkle, T.M.; Dickinson, P.E.; Dixon, P. The PedsQL™ family impact module: Preliminary reliability and validity. Health Qual. Life Outcomes 2004, 2, 55. [Google Scholar] [CrossRef] [PubMed] [Green Version]
- Herdman, M.; Gudex, C.; Lloyd, A.; Janssen, M.; Kind, P.; Parkin, D.; Bonsel, G.; Badia, X. Development and preliminary testing of the new five-level version of EQ-5D (EQ-5D-5L). Qual. Life Res. 2011, 20, 1727–1736. [Google Scholar] [CrossRef] [PubMed] [Green Version]
- Norman, R.; Cronin, P.; Viney, R. A pilot discrete choice experiment to explore preferences for EQ-5D-5L health states. Appl. Health Econ. Health Policy 2013, 11, 287–298. [Google Scholar] [CrossRef] [PubMed]
- Cella, D.; Riley, W.; Stone, A.; Rothrock, N.; Reeve, B.; Yount, S.; Amtmann, D.; Bode, R.; Buysse, D.; Choi, S. The Patient-Reported Outcomes Measurement Information System (PROMIS) developed and tested its first wave of adult self-reported health outcome item banks: 2005–2008. J. Clin. Epidemiol. 2010, 63, 1179–1194. [Google Scholar] [CrossRef] [Green Version]
- Dumka, L.E.; Stoerzinger, H.D.; Jackson, K.M.; Roosa, M.W. Examination of the cross-cultural and cross-language equivalence of the parenting self-agency measure. Fam. Relat. 1996, 45, 216–222. [Google Scholar] [CrossRef]
- Peng, L.; Huang, W.; Zhang, W.; Xu, Y.; Lu, F.; Zhong, L.; Chen, X.; Xu, S.; Chen, W.; Li, M. Psychometric Properties of the Short Form of the Fear of Cancer Recurrence Inventory (FCRI) in Chinese Breast Cancer Survivors. Front. Psychiatry 2019, 10, 537. [Google Scholar] [CrossRef] [Green Version]
- Varni, J.W.; Seid, M.; Kurtin, P.S. PedsQL™ 4.0: Reliability and validity of the Pediatric Quality of Life Inventory™ Version 4.0 Generic Core Scales in healthy and patient populations. Med. Care 2001, 39, 800–812. [Google Scholar] [CrossRef]
- Eiser, C.; Morse, R. A review of measures of quality of life for children with chronic illness. Arch. Dis. Child. 2001, 84, 205–211. [Google Scholar] [CrossRef] [PubMed] [Green Version]
- Sansom-Daly, U.M.; Wakefield, C.E.; Ellis, S.J.; McGill, B.C.; Donoghoe, M.W.; Butow, P.; Bryant, R.A.; Sawyer, S.M.; Patterson, P.; Anazodo, A. Online, Group-Based Psychological Support for Adolescent and Young Adult Cancer Survivors: Results from the Recapture Life Randomized Trial. Cancers 2021, 13, 2460. [Google Scholar] [CrossRef] [PubMed]
- McCaffrey, N.; Kaambwa, B.; Currow, D.C.; Ratcliffe, J. Health-related quality of life measured using the EQ-5D–5L: South Australian population norms. Health Qual. Life Outcomes 2016, 14, 1–12. [Google Scholar] [CrossRef] [PubMed] [Green Version]
- Derogatis, L.R. The psychosocial adjustment to illness scale (PAIS). J. Psychosom. Res. 1986, 30, 77–91. [Google Scholar] [CrossRef]
- Baenziger, J.; Hetherington, K.; Wakefield, C.E.; Carlson, L.; McGill, B.C.; Cohn, R.J.; Michel, G.; Sansom-Daly, U.M. Understanding parents’ communication experiences in childhood cancer: A qualitative exploration and model for future research. Support. Care Cancer 2020, 28, 4467–4476. [Google Scholar] [CrossRef]
- Kelada, L.; Wakefield, C.E.; Vetsch, J.; Schofield, D.; Sansom-Daly, U.M.; Hetherington, K.; O’Brien, T.; Cohn, R.J.; Anazodo, A.; Viney, R. Financial toxicity of childhood cancer and changes to parents’ employment after treatment completion. Pediatr. Blood Cancer 2020, 67, e28345. [Google Scholar] [CrossRef]
- Kelada, L.; Wakefield, C.E.; Carlson, L.; Hetherington, K.; McGill, B.C.; McCarthy, M.C.; Miles, G.; Cohn, R.J.; Sansom-Daly, U.M. How parents of childhood cancer survivors perceive support from their extended families. J. Child Fam. Stud. 2019, 28, 1537–1547. [Google Scholar] [CrossRef]
- SPSS Inc. Statistical Program for the Social Sciences: Release 24.0; SPSS Inc.: Chicago, IL, USA, 2021. [Google Scholar]
- R Core Team. R: A Language and Environment for Statistical Computing; R Core Team: Vienna, Austria, 2021. [Google Scholar]
- Hsieh, H.-F.; Shannon, S.E. Three approaches to qualitative content analysis. Qual. Health Res. 2005, 15, 1277–1288. [Google Scholar] [CrossRef]
- Sansom-Daly, U.M.; Wakefield, C.E.; McGill, B.C.; Wilson, H.L.; Patterson, P. Consensus Among International Ethical Guidelines for the Provision of Videoconferencing-Based Mental Health Treatments. JMIR Ment. Health 2016, 3, e17. [Google Scholar] [CrossRef] [Green Version]
- Australian Bureau of Statistics. Household Use of Information Technology; 8146.0; Australian Bureau of Statistics: Canberra, Australia, 2018.
- Sansom-Daly, U.M.; Bradford, N. Grappling with the ‘human’problem hiding behind the technology: Telehealth during and beyond COVID-19. Psycho-Oncology 2020. [Google Scholar] [CrossRef] [PubMed]
- McLoone, J.; Wakefield, C.E.; Taylor, N.; Johnston, K.; Sansom-Daly, U.M.; Cohen, J.; O’Brien, T.A.; Cohn, R.J.; Signorelli, C. The COVID-19 pandemic: Distance-delivered care for childhood cancer survivors. Pediatr. Blood Cancer 2020, 67, e28715. [Google Scholar] [CrossRef] [PubMed]
- Shilling, V.; Morris, C.; Thompson-Coon, J.; Ukoumunne, O.; Rogers, M.; Logan, S. Peer support for parents of children with chronic disabling conditions: A systematic review of quantitative and qualitative studies. Dev. Med. Child Neurol. 2013, 55, 602–609. [Google Scholar] [CrossRef] [PubMed]
- Tapp, B.; Gandy, M.; Fogliati, V.J.; Karin, E.; Fogliati, R.J.; Newall, C.; McLellan, L.; Titov, N.; Dear, B.F. Psychological distress, help-seeking, and perceived barriers to psychological treatment among Australian parents. Aust. J. Psychol. 2018, 70, 113–121. [Google Scholar] [CrossRef]
- McCarthy, M.C.; Marks, I.R.; Mulraney, M.; Downie, P.; Matson, A.; De Luca, C.R. Parental adjustment following their child’s completion of acute lymphoblastic leukemia treatment. Pediatr. Blood Cancer 2021, 68, e29302. [Google Scholar] [CrossRef]
- Alderfer, M.A.; Cnaan, A.; Annunziato, R.A.; Kazak, A.E. Patterns of posttraumatic stress symptoms in parents of childhood cancer survivors. J. Fam. Psychol. 2005, 19, 430–440. [Google Scholar] [CrossRef]
- Kazak, A.E.; Alderfer, M.; Rourke, M.T.; Simms, S.; Streisand, R.; Grossman, J.R. Posttraumatic Stress Disorder (PTSD) and Posttraumatic Stress Symptoms (PTSS) in Families of Adolescent Childhood Cancer Survivors. J. Pediatr. Psychol. 2004, 29, 211–219. [Google Scholar] [CrossRef]
- Fardell, J.; Wakefield, C.; De Abreu Lourenco, R.; Signorelli, C.; McCarthy, M.; McLoone, J.; Osborn, M.; Gabriel, M.; Anazodo, A.; Alvaro, F.; et al. Long-term health-related quality of life in young childhood cancer survivors and their parents. Pediatr. Blood Cancer 2021, 68, e29398. [Google Scholar] [CrossRef]
- Rosenberg, A.R.; Zhou, C.; Bradford, M.C.; Barton, K.; Junkins, C.C.; Taylor, M.; Kross, E.K.; Curtis, J.R.; Dionne-Odom, J.N.; Yi-Frazier, J.P. Parent Perspectives after the PRISM-P Randomized Trial: A Mixed-Methods Analysis. J. Palliat. Med. 2021. [Google Scholar] [CrossRef]
- Van Ballegooijen, W.; Cuijpers, P.; Van Straten, A.; Karyotaki, E.; Andersson, G.; Smit, J.H.; Riper, H. Adherence to Internet-based and face-to-face cognitive behavioural therapy for depression: A meta-analysis. PLoS ONE 2014, 9, e100674. [Google Scholar]
- Woodford, J.; Farrand, P.; Hagström, J.; Hedenmalm, L.; von Essen, L. Internet-Administered Cognitive Behavioral Therapy for Common Mental Health Difficulties in Parents of Children Treated for Cancer: Intervention Development and Description Study. JMIR Form. Res. 2021, 5, e22709. [Google Scholar] [CrossRef]
- Kazak, A.E.; Simms, S.; Barakat, L.; Hobbie, W.; Foley, B.; Golomb, V.; Best, M. Surviving cancer competently intervention program (SCCIP): A cognitive-behavioral and family therapy intervention for adolescent survivors of childhood cancer and their families. Fam. Process. 1999, 38, 175–191. [Google Scholar] [CrossRef]
- Wakefield, C.E.; Fardell, J.E.; Doolan, E.L.; Aaronson, N.K.; Jacobsen, P.B.; Cohn, R.J.; King, M. Participation in psychosocial oncology and quality-of-life research: A systematic review. Lancet Oncol. 2017, 18, e153–e165. [Google Scholar] [CrossRef]
- Sansom-Daly, U.M.; Peate, M.; Wakefield, C.E.; Bryant, R.A.; Cohn, R.J. A systematic review of psychological interventions for adolescents and young adults living with chronic illness. Health Psychol. 2012, 31, 380. [Google Scholar] [CrossRef]
- Sansom-Daly, U.M.; Evans, H.E.; Ellis, S.J.; McGill, B.C.; Hetherington, K.; Wakefield, C.E. Something’s got to give: Time-cost trade-offs in site-specific research approval can negatively impact patient recruitment in multi-institutional studies. Intern. Med. J. 2017, 47, 1088–1089. [Google Scholar] [CrossRef]
- Weston, J.; Hannah, M.; Downes, J. Evaluating the benefits of a patient information video during the informed consent process. Patient Educ. Couns. 1997, 30, 239–245. [Google Scholar] [CrossRef]
- Signorelli, C.; Wakefield, C.E.; McLoone, J.K.; Mateos, M.K.; Aaronson, N.K.; Lavoipierre, A.; Cohn, R.J.; Group, A.S.S. A cost-effective approach to increasing participation in patient-reported outcomes research in cancer: A randomized trial of video invitations. Int. J. Cancer 2021, 148, 971–980. [Google Scholar] [CrossRef]








| Module | Cascade Program Content | Cognitive Behavior Therapy Components |
|---|---|---|
| 1: ‘What just happened to us?’ Introduction and behavioral activation |
|
|
| 2: How has cancer changed the way I think? Identifying and challenging unhelpful thoughts |
|
|
| 3: Out of your head and back into your life Mindfulness and disengagement |
|
|
| 4: Looking forward Skills for fostering relationships and living a rich life after cancer |
|
|
| Booster session |
|
|
| Domain | Outcome Measure | Details |
|---|---|---|
| Feasibility of the national trial | ||
| Timeliness | Length of trial: Time taken to recruit sufficient participant numbers | We assessed the number of months from the study opening at the first site to the study close out date. Original recruitment target was 15 months. |
| Data flow-through: Data systematically recorded in study files | We assessed time from baseline questionnaire (Q1) completion to commencement of Cascade or the peer-support group in days. | |
| Trial participation | Trial response rate: Proportion of participants opting in to the trial | Total number of trial opt ins divided by the total number of potential participants provided with study information [only able to be calculated at one site, Sydney Children’s Hospital] (target > 40%). |
| Trial enrolment rate: Proportion of participants who moved through to randomization after opting in to the trial | Total number of randomized parents divided by the total number of parents who opted in (target not pre-specified). | |
| Trial attrition rate: Proportion of participants who did not complete their final questionnaire | Total number of baseline (Q1) participants–number of 6 month follow-up questionnaire completions divided by the total number of baseline participants (target < 20%). | |
| Feasibility of delivering the Cascade intervention | ||
| Treatment fidelity | Independent ratings of the adherence of the content to the Cascade manual | Independent raters (blind to allocated arm) watched > 15% of randomly selected sessions. Raters then indicated which arm the session belonged to and how adequately key Cascade treatment components were covered on a 7-point scale (0 = not covered, 1 = marginal, 4 = acceptable, 6 = high). |
| Participant engagement | Session engagement (total sessions attended/parent) | Psychologists recorded every session attended by each parent. |
| Session length | Recorded by psychologists at every session and confirmed by research officers. | |
| Engagement in home practice activities set by Cascade | Cascade parents reported the amount of home practice activities they completed after each module (‘none’, ‘some’, ‘all’). This information was not shared with the psychologist running each Cascade session to avoid parent desirability reporting bias. Adapted from the Homework Compliance Scale [43]. | |
| Reach | Proportion of participants participating from regional/remote locations | We recorded participants’ home postcode in order to categorize their residential area as urban versus regional/remote. |
| Number of sessions delivered to participants in different states | We recorded the state from which each participant joined each session. Session length was calculated as the difference between actual start time and end time in minutes. | |
| Organizational impacts | Proportion of sessions that occurred outside business hours | Data systematically recorded in study files. We considered any session start or end time before 9am or after 5pm as ‘out of business hours’). |
| Technological difficulties | Time for session to commence | Data systematically recorded in study files. Time for session to commence was calculated as the difference between the scheduled start time and time the last group member joined in minutes. |
| Loaned equipment | We assessed the number of participants who needed to borrow technology to participate. | |
| Technological issues | The psychologist recorded all technological issues that occurred during each session (categorized as ‘audio’/‘visual’/‘login’/‘other’) and the perceived disruptiveness of the issue (1 = ‘not at all disruptive’ to 10 = ‘completely disrupted session’). | |
| Acceptability | ||
| Intervention satisfaction; Q2 Cascade parents only | Adapted satisfaction questionnaire [44] | The adapted satisfaction questions included 10 items assessing parents’ perceptions of the key components of Cascade, including the usability of the online format, relevance of the modules to their own child cancer experience, the amount and quality of information provided by Cascade, new skills learnt in Cascade, relevance of the skills learnt, usefulness of skills learnt, helpfulness of talking about new skills, enjoyment in discussing issues with other parents in the group, helpfulness of the home practice activities and the helpfulness of the Cascade workbook. (0 = ‘strongly disagree’ to 5 = ‘strongly agree’). |
| Perceived benefit and burden; Q2 only | Purposely developed and previously tested in a cancer sample [45] | We collected parents’ ratings regarding whether Cascade/peer-support group was beneficial/burdensome in any way (0 = ‘not at all’, 1 = ‘somewhat’, 2 = ‘quite a bit’, to 4 = ‘very much’), with an open-ended question inviting further elaboration. |
| Group cohesion | California Psychotherapy Alliance Scale for Groups (CALPAS-G) [46]: administered after each Cascade and peer-support group module | Following each session, Cascade and peer-support group participants rated the perceived openness, acceptance, appropriateness, and understanding in their group using four items from the CALPAS-G (1 = ‘not at all’ to 7 = ‘very much so’). We calculated an overall group cohesion score by averaging all responses. |
| Working alliance | Working Alliance Inventory (WAI) [47]: administered after each Cascade and peer-support group module | Cascade and peer-support group members completed four items from the WAI after their first and last modules to rate participants’ perceptions of their working alliance and bond with their facilitator (1 = ‘doesn’t correspond at all’ to 7 = ‘corresponds exactly’). |
| Psychological safety of Cascade | ||
| Emotional distress and need for help | Emotion Thermometers Tool [48]: administered after each Cascade and peer-support group module | Between each Cascade/peer-support group session, parents rated their emotions in the past week (distress, anxiety, depression, anger) and their need for help on a scale of 0 = ‘no distress’ to 10 = ‘high/extreme distress’ on a visual ‘thermometer’. Based on the clinical consensus of the multidisciplinary investigator team (oncologists/psychologists/nurses/social workers) [45], we defined a ‘clinically concerning occasion’ as reporting a score of ≥7 on any thermometer or an increase of >3 points from the previous score. |
| Efficacy | ||
| Health-related quality of life (HR-HRQL) [primary outcome]; Q1–Q5 | PedsQL Family Impact Module [49] | We assessed HRQL using 18 items from the physical, emotional, social and cognitive functioning scales of the PedsQL Family Impact Module [49], The PedsQL uses a 5-point response scale (0 = ‘never a problem’ to 4 = ‘always a problem’). The validated summary HRQL score is computed as the sum of the items divided by the number of items, where higher scores indicate better functioning (i.e., less negative impact). Cronbach’s alpha for this study, 18 items: 0.95 (0.94, 0.95). |
| 6-item EQ-5D-5L (including the EQ Visual Analogue Scale [EQ-VAS]) [50] | The EQ-5D-5L assesses mobility, self-care, ability to participate in usual activities, pain/discomfort, anxiety/depression, and overall perceived health. Using Norman et al.’s (2013) Model D [51], we converted EQ-5D-5L responses into a quality-adjusted life-year weight, where 1.0 represents full health. The EQ-VAS accompanies the EQ-5D-5L, where parents self-rate their health on a visual analogue scale (100 = ‘the best health you can imagine’ to 0 = ‘the worst health you can imagine’). | |
| Parents’ psychological outcomes; Q1–Q5 | Communication, worry about child’s health, daily activities and family relationships assessed with PedsQL Family Impact Module [49] | The PedsQL Family Impact Module includes an additional four subscales which are not included in the HRQL summary score. These subscales assess how much of a problem participants have had with communication (3 items), worry about the child’s health and its impacts (5 items), daily activities (3 items) and family relationships (5 items). The subscales use a 5-point response scale (0 = ‘never a problem’ to 4 = ‘always a problem’). Cronbach’s alpha for this study, 3-item communication subscale: 0.82 (0.77, 0.87); Cronbach’s alpha, 5-item worry subscale: 0.85 (0.92, 0.88); Cronbach’s alpha, 3-item daily activities subscale: 0.91 (0.89, 0.94); Cronbach’s alpha, 3-item family relationships subscale: 0.95 (0.94, 0.96). |
| Anxiety and depression assessed with PROMIS Anxiety Short Form PROMIS Depression Short Form [52] | We assessed anxiety using the 7-item PROMIS Anxiety Short Form and depression using the 8-item PROMIS Depression Short Form [52]. Higher scores represent worse anxiety/depression (1 = ‘never’ to 5 = ‘always’). Cronbach’s alpha for this study, 7-item anxiety subscale: 0.94 (0.93, 0.95); Cronbach’s alpha, 8-item depression subscale: 0.92 (0.91, 0.93). | |
| Parenting self-agency assessed with the Parent Self-Agency Measure (Revised) (PSAM-R) [53] | We assessed parents’ level of confidence in their ability to engage in successful parenting behaviors via the 5-item PSAM-R (1 = ‘rarely’ to 7 = ‘always’). Cronbach’s alpha for this study, 5 items: 0.80 (0.75, 0.83). | |
| Fear of cancer recurrence: Fear of Cancer Recurrence Inventory (FCRI) [54] | Parents reported their fear of recurrence in their child using three items from the 3-item severity subscale of the FCRI, assessing perceived risk (‘not at all’ to ‘a great deal of risk’, worry (‘not at all’ to ‘a great deal’, and frequency of thinking about recurrence (‘never’ to ‘everyday’). Cronbach’s alpha for this study, 3 items: 0.77 (0.70, 0.83). | |
| Confidence to use, and actual use of, CBT skills; Q1–Q5 | Purposely developed and previously tested in a cancer sample [45] | We used 10 purposely developed items to assess parents’ confidence to use a series of cognitive and/or behavioral coping skills (yes/no), and the extent to which had used these skills within the past 4 weeks (not at all/a little/a lot). |
| Parents’ perceptions of their child’s quality of life; Q1–Q5 | PedsQL Generic Core Module–parent proxy report [55] | 23 items assessing the child’s quality of life, including the child’s physical, emotional, social and school functioning. PedsQL is designed to provide greater measurement sensitivity to patient populations and is widely used in cancer [56]. Cronbach’s alpha for this study, 20 items total score *: 0.93 (0.92, 0.93); Cronbach’s alpha for this study, 8 items physical health subscale *: 0.93 (0.92, 0.94); Cronbach’s alpha for this study, 12 items psychosocial health subscale *: 0.87 (0.85, 0.88)._ENREF_64 |
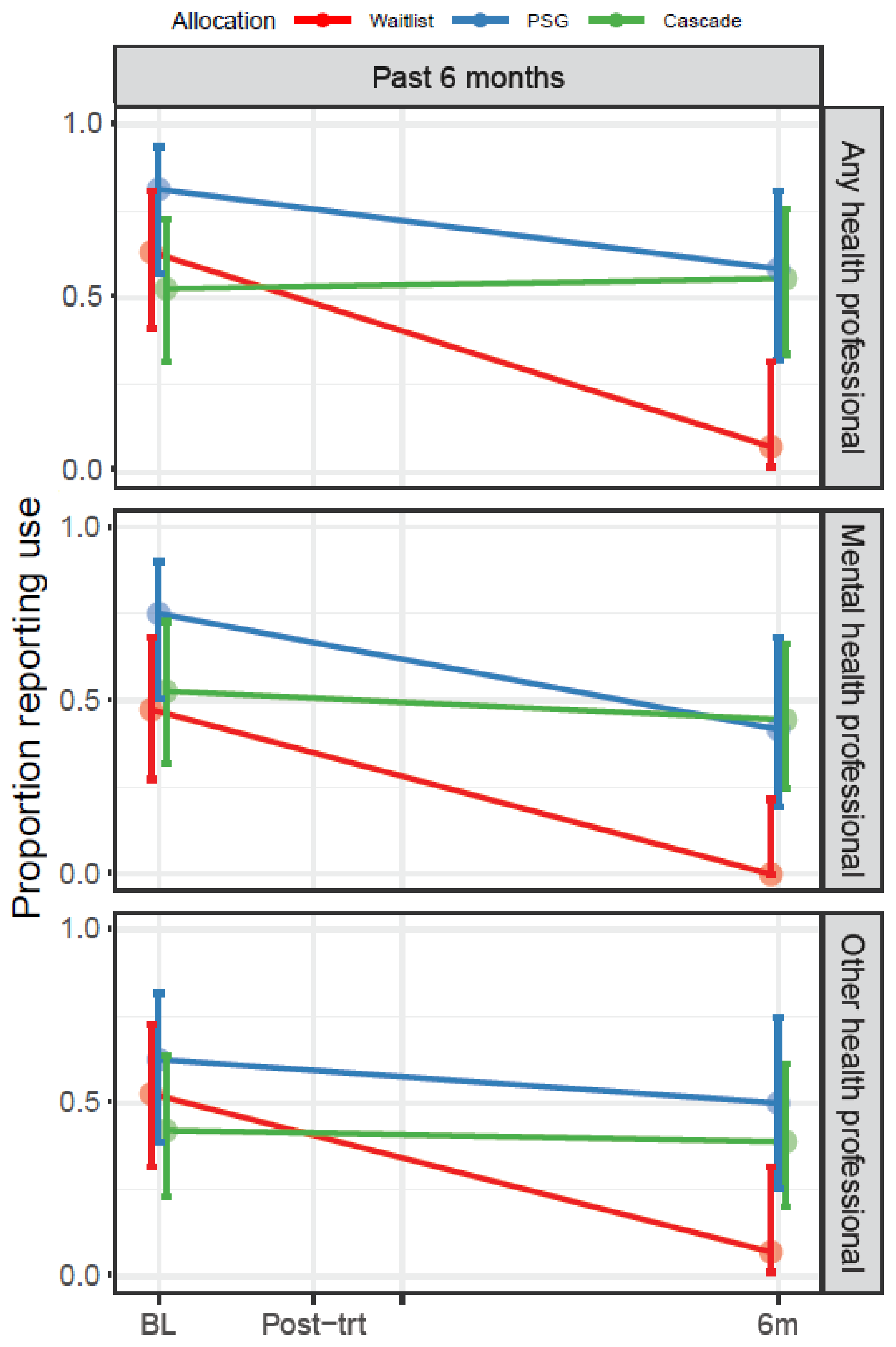
| Health and mental health service use in the last six months; Q1 and Q4 | Items based on those used in a previous study [57] | Mental health services included visiting a psychologist, social worker, counselor, or psychiatrist, as well as community-based cancer support organizations. Other health service use included visiting a general practitioner (family doctor), oncologist/radiation oncologist, nurse in hospital, or nurse in the community. |
| General functioning; Q1–Q5 | Indexed by time spent engaging in productive activities and days absent from work over the past four weeks. Items based on those used in a previous study [57] | Parents indicated the number of days they spent engaging in productive activities and days absent from work in the last four weeks. Productive activities included ‘Paid work of any kind’, ‘Exercise or sports’, and ‘Personal hobbies’ (e.g., art, music, films, books, outdoor activities, cooking)’, ‘Socializing with friends’, and ‘Socializing with other parents of child cancer survivors (including connecting online)’. |
| Characteristic | Total Sample (n = 56) | Cascade (n = 19) | Peer-Support Group (18) | Waitlist (n = 19) |
|---|---|---|---|---|
| Participants’ recruiting site: n (%) (n = 56 a) | ||||
| Children’s Hospital Westmead (NSW) | 4 (7) | 0 (0) | 4 (22) | 0 (0) |
| John Hunter Children’s Hospital (NSW) | 1 (2) | 0 (0) | 0 (0) | 1 (5) |
| Queensland Children’s Hospital (QLD) | 4 (7) | 2 (11) | 1 (6) | 1 (5) |
| Monash Children’s Hospital (VIC) | 1 (2) | 0 (0) | 0 (0) | 1 (5) |
| Princess Margaret Hospital (WA) | 4 (7) | 0 (0) | 0 (0) | 4 (21) |
| Royal Children’s Hospital (VIC) | 7 (12) | 2 (11) | 0 (0) | 5 (26) |
| Sydney Children’s Hospital (NSW) | 34 (61) | 15 (79) | 12 (67) | 7 (37) |
| Women’s and Children’s Hospital (SA) | 1 (2) | 0 (0) | 1 (6) | 0 (0) |
| Gender: n (%) (n = 56) | Female: 49 (88%) | Female: 17 (89%) | Female: 16 (89%) | Female: 16 (84%) |
| Age: median (IQR, range) (n = 53) | 40 years (38–45, 20–55) | 41 years (39–45, 30–49) | 41 years (37–45, 20–55) | 40 years (38–44, 31–49) |
| Residence: n (%) (n = 55) | Major city: 47 (85%) Inner regional: 8 (15%) | Major city: 14 (74%) Inner regional: 5 (26%) | Major city: 16 (94%) Inner regional: 1 (6%) | Major city: 17 (89%) Inner regional: 2 (11%) |
| Distance from state capital: median (IQR, range) (n = 55) | 29 km b (12–102, 5–811) | 30 km (10–180, 5–518) | 59 km (12–292, 7–572) | 25 km (13–49, 6–811) |
| Age of the child who had cancer: median (IQR, range) (n = 53) | 7 years (4–11, 2–17) | 7 years (6–10, 2–15) | 11 years (4–15, 2–16) | 6 years (4–7, 2–17) |
| Diagnosis category: n (%) (n = 54) | Blood cancer: 21 (38%) Brain cancer: 11 (20%) Other solid tumor: 21 (38%) | Blood cancer: 8 (42%) Brain cancer: 2 (11%) Other solid tumor: 8 (42%) | Blood cancer: 4 (24%) Brain cancer: 4 (24%) Other solid tumor: 8 (47%) | Blood cancer: 9 (47%) Brain cancer: 5 (26%) Other solid tumor: 5 (26%) |
| Time since treatment completion: median (IQR, range) (n = 52) | 14 months (9–21, 4–129) | 14 months (11–19, 4–32) | 13 months (10–20, 4–37) | 15 months (6–57, 4–129) |
| Previous relapse: n (%) (n = 54) | Yes: 9 (17%) No: 43 (81%) Don’t know: 1 (2%) | Yes: 2 (11%) No: 16 (89%) Don’t know: 0 (0.0%) | Yes: 4 (25%) No: 12 (75%) Don’t know: 0 (0%) | Yes: 3 (16%) No: 15 (79%) Don’t know: 1 (5%) |
| Organizational impacts | Staff time commitment to deliver groups | We delivered 34.5 hours’ worth of Cascade content (median session time = 91 min, range = 60–115). Peer-support group sessions were delivered over 35 h (median session time = 88 min, range = 60–104). |
| Staff time commitment to deliver booster sessions | We provided 15 one-to-one booster sessions for Cascade participants (totalling 6.3 h) and 3 group booster sessions for peer-support group participants, totalling 2.6 h. | |
| Working hours | Of the 47 group sessions delivered, we conducted 23 sessions (49%) out of business hours. | |
| Timeliness | Group commencement | Median wait time from Q1 completion to group commencement was 35 days (range = 1–211) |
| Median wait time to session commencement | 3 min (range = 0–50). | |
| Technological considerations | Access to equipment | Almost all parents (92%, 48/52 a) had access to the required technology (web-enabled device with microphone/camera). |
| Technical difficulties | Psychologists recorded at least one technical difficulty in 66% of sessions (31/47), most commonly poor-quality audio (16/47, 34%). For the 31 sessions in which at least one technical difficulty occurred, the median psychologist-rated disruptiveness score was 2 out of 10 (SD = 1.3, range = 1–7). | |
| Participant engagement | Percent of sessions completed by participants | Most participants attended at least three sessions (Cascade: 17/18, 94%; peer-support group: 17/20, 85%). Most parents attended all four sessions (Cascade: 13/18, 72%; peer-support group: 16/20, 80%). |
| Perceived benefit | Cascade | Most parents reported that Cascade was ‘quite a bit’ to ‘very’ beneficial (9/13, 69%). |
| Peer-support group | Most peer-support group parents rated the peer-support group as ‘quite a bit’ to ‘very’ beneficial (9/15, 60%) | |
| Perceived burden | Cascade | Almost all Cascade parents reported that participation was ‘not at all’ to ‘a little bit’ burdensome (12/13, 92%). |
| Peer-support group | Most peer-support group participants rated it as ‘not at all’ to ‘a little bit’ burdensome (13/15, 87%). |
Publisher’s Note: MDPI stays neutral with regard to jurisdictional claims in published maps and institutional affiliations. |
© 2021 by the authors. Licensee MDPI, Basel, Switzerland. This article is an open access article distributed under the terms and conditions of the Creative Commons Attribution (CC BY) license (https://creativecommons.org/licenses/by/4.0/).
Share and Cite
Wakefield, C.E.; Sansom-Daly, U.M.; McGill, B.C.; Hetherington, K.; Ellis, S.J.; Robertson, E.G.; Donoghoe, M.W.; McCarthy, M.; Kelada, L.; Girgis, A.; et al. Providing Psychological Support to Parents of Childhood Cancer Survivors: ‘Cascade’ Intervention Trial Results and Lessons for the Future. Cancers 2021, 13, 5597. https://doi.org/10.3390/cancers13225597
Wakefield CE, Sansom-Daly UM, McGill BC, Hetherington K, Ellis SJ, Robertson EG, Donoghoe MW, McCarthy M, Kelada L, Girgis A, et al. Providing Psychological Support to Parents of Childhood Cancer Survivors: ‘Cascade’ Intervention Trial Results and Lessons for the Future. Cancers. 2021; 13(22):5597. https://doi.org/10.3390/cancers13225597
Chicago/Turabian StyleWakefield, Claire E., Ursula M. Sansom-Daly, Brittany C. McGill, Kate Hetherington, Sarah J. Ellis, Eden G. Robertson, Mark W. Donoghoe, Maria McCarthy, Lauren Kelada, Afaf Girgis, and et al. 2021. "Providing Psychological Support to Parents of Childhood Cancer Survivors: ‘Cascade’ Intervention Trial Results and Lessons for the Future" Cancers 13, no. 22: 5597. https://doi.org/10.3390/cancers13225597
APA StyleWakefield, C. E., Sansom-Daly, U. M., McGill, B. C., Hetherington, K., Ellis, S. J., Robertson, E. G., Donoghoe, M. W., McCarthy, M., Kelada, L., Girgis, A., King, M., Grootenhuis, M., Anazodo, A., Patterson, P., Lowe, C., Dalla-Pozza, L., Miles, G., & Cohn, R. J. (2021). Providing Psychological Support to Parents of Childhood Cancer Survivors: ‘Cascade’ Intervention Trial Results and Lessons for the Future. Cancers, 13(22), 5597. https://doi.org/10.3390/cancers13225597

