Image-Guided Liver Stereotactic Body Radiotherapy Using VMAT and Real-Time Adaptive Tumor Gating: Evaluation of the Efficacy and Toxicity for Hepatocellular Carcinoma
Abstract
Simple Summary
Abstract
1. Introduction
2. Materials and Methods
2.1. Population
2.2. Planification and Delivery of Treatment
2.3. Patient Follow-Up
- Complete response if the hypervascularization or lesion had completely resolved;
- Partial response in case of reduction of at least 30% of the enhanced part of the target lesion or its size;
- Progression if there was an increase in size of at least 20% of the enhanced part of the target lesion, or in the size of the lesion or if a new lesion appeared;
- Stable if there was no argument for partial response or progression.
2.4. Endpoints
2.5. Statistical Analysis
3. Results
3.1. Patients
3.2. Treatment
3.3. Local Control and Response
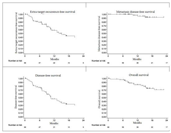
3.4. Survival Data
3.5. Analysis of Prognostic Factors
3.6. Tolerance of Treatment
4. Discussion
4.1. Comparison of Our Results with Data from the Literature
4.2. SBRT and Prior Treatments
4.3. Limits and Bias
4.4. SBRT as a Bridge Therapy
4.5. The Role of Liver SBRT for HCC
5. Conclusions
Supplementary Materials
Author Contributions
Funding
Institutional Review Board Statement
Informed Consent Statement
Data Availability Statement
Conflicts of Interest
References
- Global Burden of Disease Liver Cancer Collaboration; Akinyemiju, T.; Abera, S.; Ahmed, M.; Alam, N.; Alemayohu, M.A.; Allen, C.; Al-Raddadi, R.; Alvis-Guzman, N.; Amoako, Y.; et al. The Burden of Primary Liver Cancer and Underlying Etiologies From 1990 to 2015 at the Global, Regional, and National Level. JAMA Oncol. 2017, 3, 1683–1691. [Google Scholar] [CrossRef]
- Siegel, R.; Ma, J.; Zou, Z.; Jemal, A. Cancer statistics, 2014. CA A Cancer J. Clin. 2014, 64, 9–29. [Google Scholar] [CrossRef] [PubMed]
- European Association for the Study of the Liver; European Organisation for Research and Treatment of Cancer EASL–EORTC Clinical Practice Guidelines: Management of hepatocellular carcinoma. J. Hepatol. 2012, 56, 908–943. [CrossRef] [PubMed]
- Sanyal, A.J.; Yoon, S.K.; Lencioni, R. The Etiology of Hepatocellular Carcinoma and Consequences for Treatment. Oncology 2010, 15, 14–22. [Google Scholar] [CrossRef] [PubMed]
- Pelletier, G. Cirrhose et complications. Rev. Prat. 2005, 55, 1135–1141. [Google Scholar]
- Llovet, J.M.; Schwartz, M.; Mazzaferro, V.M. Resection and Liver Transplantation for Hepatocellular Carcinoma. Semin. Liver Dis. 2005, 25, 181–200. [Google Scholar] [CrossRef]
- Bruix, J.; Sherman, M. Management of hepatocellular carcinoma: An update. Hepatology 2011, 53, 1020–1022. [Google Scholar] [CrossRef]
- Shiina, S.; Tateishi, R.; Arano, T.; Uchino, K.; Enooku, K.; Nakagawa, H.; Asaoka, Y.; Sato, T.; Masuzaki, R.; Kondo, Y.; et al. Radiofrequency Ablation for Hepatocellular Carcinoma: 10-Year Outcome and Prognostic Factors. Am. J. Gastroenterol. 2012, 107, 569–577. [Google Scholar] [CrossRef]
- Llovet, J.M.; Real, M.I.; Montaña, X.; Planas, R.; Coll, S.; Aponte, J.; Ayuso, C.; Sala, M.; Muchart, J.; Solà, R.; et al. Arterial embolisation or chemoembolisation versus symptomatic treatment in patients with unresectable hepatocellular carcinoma: A randomised controlled trial. Lancet 2002, 359, 1734–1739. [Google Scholar] [CrossRef]
- Chen, L.-T.; Martinelli, E.; Cheng, A.-L.; Pentheroudakis, G.; Qin, S.; Bhattacharyya, G.; Ikeda, M.; Lim, H.-Y.; Ho, G.; Choo, S.; et al. Pan-Asian adapted ESMO Clinical Practice Guidelines for the management of patients with intermediate and advanced/relapsed hepatocellular carcinoma: A TOS–ESMO initiative endorsed by CSCO, ISMPO, JSMO, KSMO, MOS and SSO. Ann. Oncol. 2020, 31, 334–351. [Google Scholar] [CrossRef]
- KLCA Korean Liver Cancer Association. 2018 Korean Liver Cancer Association–National Cancer Center Korea Practice Guidelines for the Management of Hepatocellular Carcinoma. Gut Liver 2019, 13, 227–299. [Google Scholar] [CrossRef]
- Lu, S.-N.; Wang, J.-H.; Su, C.-W.; Wang, T.-E.; Dai, C.-Y.; Chen, C.-H.; Chen, R.-C.; Yang, S.-S.; Hung, C.-F.; Huang, S.-F.; et al. Management consensus guideline for hepatocellular carcinoma: 2016 updated by the Taiwan Liver Cancer Association and the Gastroenterological Society of Taiwan. J. Formos. Med Assoc. 2017, 117, 381–403. [Google Scholar] [CrossRef]
- Park, S.; Yoon, W.S.; Rim, C.H. Indications of external radiotherapy for hepatocellular carcinoma from updated clinical guidelines: Diverse global viewpoints. World J. Gastroenterol. 2020, 26, 393–403. [Google Scholar] [CrossRef] [PubMed]
- Mornex, F.; Girard, N.; Beziat, C.; Kubas, A.; Khodri, M.; Trepo, C.; Merle, P. Feasibility and efficacy of high-dose three-dimensional-conformal radiotherapy in cirrhotic patients with small-size hepatocellular carcinoma non-eligible for curative therapies—mature results of the French Phase II RTF-1 trial. Int. J. Radiat. Oncol. 2006, 66, 1152–1158. [Google Scholar] [CrossRef]
- Pan, C.C.; Kavanagh, B.D.; Dawson, L.A.; Li, X.A.; Das, S.K.; Miften, M.; Haken, R.T. Radiation-Associated Liver Injury. Int. J. Radiat. Oncol. 2010, 76, S94–S100. [Google Scholar] [CrossRef]
- Riou, O.; Azria, D.; Mornex, F. Radiothérapie en conditions stéréotaxiques des tumeurs hépatiques: État de l’art. Cancer/Radiothérapie 2017, 21, 563–573. [Google Scholar] [CrossRef]
- Riou, O.; Valdenaire, S.; Debuire, P.; Fenoglietto, P.; Debrigode, C.; Mazard, T.; Assenat; Aillères, N.; Azria, D. Radiothérapie stéréotaxique hépatique: Particularités cliniques et implications techniques, résultats. Quelle machine pour quelle situation? Cancer/Radiothérapie 2019, 23, 636–650. [Google Scholar] [CrossRef]
- Tse, R.V.; Hawkins, M.; Lockwood, G.; Kim, J.J.; Cummings, B.; Knox, J.; Sherman, M.; Dawson, L.A. Phase I Study of Individualized Stereotactic Body Radiotherapy for Hepatocellular Carcinoma and Intrahepatic Cholangiocarcinoma. J. Clin. Oncol. 2008, 26, 657–664. [Google Scholar] [CrossRef]
- Romero, A.M.; Wunderink, W.; Hussain, S.M.; de Pooter, J.; Heijmen, B.J.M.; Nowak, P.C.J.M.; Nuyttens, J.J.; Brandwijk, R.P.; Verhoef, C.; Ijzermans, J.N.M.; et al. Stereotactic body radiation therapy for primary and metastatic liver tumors: A single institution phase i-ii study. Acta Oncol. 2006, 45, 831–837. [Google Scholar] [CrossRef] [PubMed]
- Cárdenes, H.R.; Price, T.R.; Perkins, S.M.; Maluccio, M.; Kwo, P.; Breen, T.E.; Henderson, M.A.; Schefter, T.E.; Tudor, K.; DeLuca, J.; et al. Phase I feasibility trial of stereotactic body radiation therapy for primary hepatocellular carcinoma. Clin. Transl. Oncol. 2010, 12, 218–225. [Google Scholar] [CrossRef] [PubMed]
- Kang, J.-K.; Kim, M.-S.; Cho, C.K.; Yang, K.M.; Yoo, H.J.; Kim, J.H.; Bae, S.H.; Jung, D.H.; Kim, K.B.; Lee, D.H.; et al. Stereotactic body radiation therapy for inoperable hepatocellular carcinoma as a local salvage treatment after incomplete transarterial chemoembolization. Cancer 2012, 118, 5424–5431. [Google Scholar] [CrossRef]
- Bujold, A.; Massey, C.A.; Kim, J.J.; Brierley, J.; Cho, C.; Wong, R.K.; Dinniwell, R.E.; Kassam, Z.; Ringash, J.; Cummings, B.; et al. Sequential Phase I and II Trials of Stereotactic Body Radiotherapy for Locally Advanced Hepatocellular Carcinoma. J. Clin. Oncol. 2013, 31, 1631–1639. [Google Scholar] [CrossRef] [PubMed]
- Scorsetti, M.; Comito, T.; Cozzi, L.; Clerici, E.; Tozzi, A.; Franzese, C.; Navarria, P.; Fogliata, A.; Tomatis, S.; D’Agostino, G.; et al. The challenge of inoperable hepatocellular carcinoma (HCC): Results of a single-institutional experience on stereotactic body radiation therapy (SBRT). J. Cancer Res. Clin. Oncol. 2015, 141, 1301–1309. [Google Scholar] [CrossRef] [PubMed]
- Kim, J.W.; Seong, J.; Lee, I.J.; Woo, J.Y.; Han, K.-H. Phase I dose-escalation study of helical intensity-modulated radiotherapy-based stereotactic body radiotherapy for hepatocellular carcinoma. Oncotarget 2016, 7, 40756–40766. [Google Scholar] [CrossRef] [PubMed]
- Bedos, L.; Riou, O.; Aillères, N.; Braccini, A.; Molinier, J.; Moscardo, C.L.; Azria, D.; Fenoglietto, P. Evaluation of reproducibility of tumor repositioning during multiple breathing cycles for liver stereotactic body radiotherapy treatment. Rep. Pr. Oncol. Radiother. 2017, 22, 132–140. [Google Scholar] [CrossRef]
- Llacer-Moscardo, C.; Riou, O.; Azria, D.; Bedos, L.; Ailleres, N.; Quenet, F.; Rouanet, P.; Ychou, M.; Fenoglietto, P. Imaged-guided liver stereotactic body radiotherapy using VMAT and real-time adaptive tumor gating. Concerns about technique and preliminary clinical results. Rep. Pr. Oncol. Radiother. 2017, 22, 141–149. [Google Scholar] [CrossRef][Green Version]
- Prunaretty, J.; Boisselier, P.; Aillères, N.; Riou, O.; Simeon, S.; Bedos, L.; Azria, D.; Fenoglietto, P. Tracking, gating, free-breathing, which technique to use for lung stereotactic treatments? A dosimetric comparison. Rep. Pr. Oncol. Radiother. 2019, 24, 97–104. [Google Scholar] [CrossRef] [PubMed]
- Riou, O.; Moscardo, C.L.; Fenoglietto, P.; Deshayes, E.; Tetreau, R.; Molinier, J.; Lenglet, A.; Assenat, E.; Ychou, M.; Guiu, B.; et al. SBRT planning for liver metastases: A focus on immobilization, motion management and planning imaging techniques. Rep. Pr. Oncol. Radiother. 2017, 22, 103–110. [Google Scholar] [CrossRef] [PubMed]
- Deshayes, E.; Santoro, L.; Eberle, M.; Guillemard, S.; Marre, F.; Ailleres, N.; Fenoglietto, P.; Azria, D.; Kotzki, P.; Riou, O. Feasibility and Clinical Utility of 4D PET/CT for SBRT Planning of Liver Tumors. Eur. J. Nucl. Med. Mol. Imaging 2015, 42, S267–S268. [Google Scholar]
- Riou, O.; Serrano, B.; Azria, D.; Paulmier, B.; Villeneuve, R.; Fenoglietto, P.; Artenie, A.; Ortholan, C.; Faraggi, M.; Thariat, J. Integrating respiratory-gated PET-based target volume delineation in liver SBRT planning, a pilot study. Radiat. Oncol. 2014, 9, 127. [Google Scholar] [CrossRef] [PubMed]
- Timmerman, R.D. An Overview of Hypofractionation and Introduction to This Issue of Seminars in Radiation Oncology. Semin. Radiat. Oncol. 2008, 18, 215–222. [Google Scholar] [CrossRef]
- Grimm, J.; Lacouture, T.; Croce, R.; Yeo, I.; Zhu, Y.; Xue, J. Dose tolerance limits and dose volume histogram evaluation for stereotactic body radiotherapy. J. Appl. Clin. Med Phys. 2011, 12, 267–292. [Google Scholar] [CrossRef]
- Hanna, G.; Murray, L.; Patel, R.; Jain, S.; Aitken, K.; Franks, K.; van As, N.; Tree, A.; Hatfield, P.; Harrow, S.; et al. UK Consensus on Normal Tissue Dose Constraints for Stereotactic Radiotherapy. Clin. Oncol. 2018, 30, 5–14. [Google Scholar] [CrossRef]
- Blomgren, H.; Lax, I.; Näslund, I.; Svanström, R. Stereotactic High Dose Fraction Radiation Therapy of Extracranial Tumors Using An Accelerator: Clinical experience of the first thirty-one patients. Acta Oncol. 1995, 34, 861–870. [Google Scholar] [CrossRef]
- Baumann, B.; Wei, J.; Plastaras, J.P.; Lukens, J.N.; Damjanov, N.; Hoteit, M.; Hsu, C.; Levine, M.; Mondschein, J.; Nadolski, G.; et al. Stereotactic Body Radiation Therapy (SBRT) for Hepatocellular Carcinoma. Am. J. Clin. Oncol. 2018, 41, 1118–1124. [Google Scholar] [CrossRef]
- Choi, B.O.; Choi, I.B.; Jang, H.S.; Kang, Y.N.; Jang, J.S.; Bae, S.H.; Yoon, S.K.; Chai, G.Y.; Kang, K.M. Stereotactic body radiation therapy with or without transarterial chemoembolization for patients with primary hepatocellular carcinoma: Preliminary analysis. BMC Cancer 2008, 8, 351. [Google Scholar] [CrossRef]
- Seo, Y.S.; Kim, M.-S.; Yoo, S.Y.; Cho, C.K.; Choi, C.W.; Kim, J.H.; Han, C.J.; Park, S.C.; Lee, B.H.; Kim, Y.H.; et al. Preliminary result of stereotactic body radiotherapy as a local salvage treatment for inoperable hepatocellular carcinoma. J. Surg. Oncol. 2010, 102, 209–214. [Google Scholar] [CrossRef]
- Kwon, J.H.; Bae, S.H.; Kim, J.Y.; Choi, B.O.; Jang, H.S.; Jang, J.W.; Choi, J.Y.; Yoon, S.K.; Chung, K.W. Long-term effect of stereotactic body radiation therapy for primary hepatocellular carcinoma ineligible for local ablation therapy or surgical resection. Stereotactic radiotherapy for liver cancer. BMC Cancer 2010, 10, 475. [Google Scholar] [CrossRef]
- Andolino, D.L.; Johnson, C.S.; Maluccio, M.; Kwo, P.; Tector, A.J.; Zook, J.; Johnstone, P.A.; Cardenes, H.R. Stereotactic Body Radiotherapy for Primary Hepatocellular Carcinoma. Int. J. Radiat. Oncol. 2011, 81, e447–e453. [Google Scholar] [CrossRef]
- Dewas, S.; Mirabel, X.; Kramar, A.; Jarraya, H.; Lacornerie, T.; Dewas-Vautravers, C.; Fumagalli, I.; Lartigau, E. Radiothérapie stéréotaxique hépatique par CyberKnife®: L’expérience lilloise. Cancer/Radiothérapie 2012, 16, 58–69. [Google Scholar] [CrossRef]
- Bibault, J.-E.; Dewas, S.; Vautravers-Dewas, C.; Hollebecque, A.; Jarraya, H.; Lacornerie, T.; Lartigau, E.; Mirabel, X. Stereotactic Body Radiation Therapy for Hepatocellular Carcinoma: Prognostic Factors of Local Control, Overall Survival, and Toxicity. PLoS ONE 2013, 8, e77472. [Google Scholar] [CrossRef]
- Yoon, S.M.; Lim, Y.-S.; Park, M.J.; Kim, S.Y.; Cho, B.; Shim, J.H.; Kim, K.M.; Lee, H.C.; Chung, Y.-H.; Lee, Y.S.; et al. Stereotactic Body Radiation Therapy as an Alternative Treatment for Small Hepatocellular Carcinoma. PLoS ONE 2013, 8, e79854. [Google Scholar] [CrossRef]
- Jang, W.I.; Kim, M.-S.; Bae, S.H.; Cho, C.K.; Yoo, H.J.; Seo, Y.S.; Kang, J.-K.; Kim, S.Y.; Lee, D.H.; Han, C.J.; et al. High-dose stereotactic body radiotherapy correlates increased local control and overall survival in patients with inoperable hepatocellular carcinoma. Radiat. Oncol. 2013, 8, 250. [Google Scholar] [CrossRef]
- Sanuki, N.; Takeda, A.; Oku, Y.; Mizuno, T.; Aoki, Y.; Eriguchi, T.; Iwabuchi, S.; Kunieda, E. Stereotactic body radiotherapy for small hepatocellular carcinoma: A retrospective outcome analysis in 185 patients. Acta Oncol. 2013, 53, 399–404. [Google Scholar] [CrossRef]
- Lo, C.-H.; Huang, W.-Y.; Lee, M.-S.; Lin, K.-T.; Lin, T.-P.; Chang, P.-Y.; Fan, C.-Y.; Jen, Y.-M. Stereotactic ablative radiotherapy for unresectable hepatocellular carcinoma patients who failed or were unsuitable for transarterial chemoembolization. Eur. J. Gastroenterol. Hepatol. 2014, 26, 345–352. [Google Scholar] [CrossRef]
- Takeda, A.; Sanuki, N.; Eriguchi, T.; Kobayashi, T.; Iwabutchi, S.; Matsunaga, K.; Mizuno, T.; Yashiro, K.; Nisimura, S.; Kunieda, E. Stereotactic ablative body radiotherapy for previously untreated solitary hepatocellular carcinoma. J. Gastroenterol. Hepatol. 2014, 29, 372–379. [Google Scholar] [CrossRef]
- Huertas, A.; Baumann, A.-S.; Saunier-Kubs, F.; Salleron, J.; Oldrini, G.; Croisé-Laurent, V.; Barraud, H.; Ayav, A.; Bronowicki, J.-P.; Peiffert, D. Stereotactic body radiation therapy as an ablative treatment for inoperable hepatocellular carcinoma. Radiother. Oncol. 2015, 115, 211–216. [Google Scholar] [CrossRef] [PubMed]
- Zhang, T.; Sun, J.; He, W.; Li, H.; Piao, J.; Xu, H.; Duan, X. Stereotactic body radiation therapy as an effective and safe treatment for small hepatocellular carcinoma. BMC Cancer 2018, 18, 451. [Google Scholar] [CrossRef] [PubMed]
- Yeung, R.; Beaton, L.; Rackley, T.; Weber, B.; Hamm, J.; Lee, R.; Camborde, M.; Pearson, M.; Duzenli, C.; Loewen, S.; et al. Stereotactic Body Radiotherapy for Small Unresectable Hepatocellular Carcinomas. Clin. Oncol. 2019, 31, 365–373. [Google Scholar] [CrossRef] [PubMed]
- Scher, N.; Janoray, G.; Riet, F.-G.; Le Bayon, A.-G.; Debbi, K.; Lévy, S.; Louisot, P.; Garaud, P.; Chajon, E.; Barillot, I.; et al. Radiothérapie en conditions stéréotaxiques du carcinome hépatocellulaire: Résultats d’une étude rétrospective multicentrique. Cancer/Radiothérapie 2019, 23, 104–115. [Google Scholar] [CrossRef]
- Rim, C.H.; Kim, H.J.; Seong, J. Clinical feasibility and efficacy of stereotactic body radiotherapy for hepatocellular carcinoma: A systematic review and meta-analysis of observational studies. Radiother. Oncol. 2019, 131, 135–144. [Google Scholar] [CrossRef]
- Lee, J.; Shin, I.-S.; Yoon, W.S.; Koom, W.S.; Rim, C.H. Comparisons between radiofrequency ablation and stereotactic body radiotherapy for liver malignancies: Meta-analyses and a systematic review. Radiother. Oncol. 2020, 145, 63–70. [Google Scholar] [CrossRef]
- Scorsetti, M.; Comito, T.; Clerici, E.; Franzese, C.; Tozzi, A.; Iftode, C.; Di Brina, L.; Navarria, P.; Mancosu, P.; Reggiori, G.; et al. Phase II trial on SBRT for unresectable liver metastases: Long-term outcome and prognostic factors of survival after 5 years of follow-up. Radiat. Oncol. 2018, 13, 1–10. [Google Scholar] [CrossRef]
- Debbi, K.; Janoray, G.; Scher, N.; Deutsch.; Mornex, F. Doses aux organes à risque en radiothérapie conformationnelle et en radiothérapie stéréotaxique: Le foie. Cancer/Radiothérapie 2017, 21, 604–612. [Google Scholar] [CrossRef]
- O’Connor, J.K.; Trotter, J.; Davis, G.L.; Dempster, J.; Klintmalm, G.B.; Goldstein, R.M. Long-term outcomes of stereotactic body radiation therapy in the treatment of hepatocellular cancer as a bridge to transplantation. Liver Transplant. 2012, 18, 949–954. [Google Scholar] [CrossRef] [PubMed]
- Moore, A.; Cohen-Naftaly, M.; Tobar, A.; Kundel, Y.; Benjaminov, O.; Braun, M.; Issachar, A.; Mor, E.; Sarfaty, M.; Bragilovski, D.; et al. Stereotactic body radiation therapy (SBRT) for definitive treatment and as a bridge to liver transplantation in early stage inoperable Hepatocellular carcinoma. Radiat. Oncol. 2017, 12, 1–8. [Google Scholar] [CrossRef] [PubMed]
- Wahl, D.R.; Stenmark, M.H.; Tao, Y.; Pollom, E.L.; Caoili, E.M.; Lawrence, T.S.; Schipper, M.J.; Feng, M. Outcomes After Stereotactic Body Radiotherapy or Radiofrequency Ablation for Hepatocellular Carcinoma. J. Clin. Oncol. 2016, 34, 452–459. [Google Scholar] [CrossRef] [PubMed]
- Benson, A.B.; Abrams, T.A.; Ben-Josef, E.; Bloomston, P.M.; Botha, J.; Clary, B.M.; Covey, A.; Curley, S.A.; D’Angelica, M.I.; Davila, R.; et al. Hepatobiliary Cancers. J. Natl. Compr. Cancer Netw. 2009, 7, 350–391. [Google Scholar] [CrossRef] [PubMed]
- Lacornerie, T.; Rio, E.; Mahé, M.-A. Radiothérapie stéréotaxique hépatique: Organes à risque, marges d’incertitudes, doses. Cancer/Radiothérapie 2017, 21, 574–579. [Google Scholar] [CrossRef]
- Rio, E.; Mornex, F.; Peiffert, D.; Huertas, A. Radiothérapie des tumeurs hépatiques. Cancer/Radiothérapie 2016, 20, S174–S178. [Google Scholar] [CrossRef]


| OAR | Constraints (5 Fractions) | |
|---|---|---|
| Mean/Max Dose | Dose-Volume | |
| Liver-PTV | 700 cc or more receiving 0 to 15 Gy (if liver > 2000 cc) or 35% or more receiving 0 to 15 Gy | |
| (if liver < 2000 cc) | ||
| Liver-GTV | 700 cc or more receiving 0 to 15 Gy (if liver > 2000 cc) or 35% or more receiving 0 to 15 Gy (if liver < 2000 cc) | |
| Liver-GTV | Dmean < 18 Gy | |
| (>5 fractions) | ||
| Kidneys | Lowest Dmean | V18 ≤ 33% |
| Spinal cord | Dmax ≤ 25 Gy | V22.5 ≤ 0.25 cc |
| V13.5 ≤ 1.2 cc | ||
| Heart | Dmax ≤ 35–38 Gy | V32 ≤ 15 cc |
| Stomach | Dmax ≤ 31 Gy | V28 ≤ 10 cc |
| Duodenum | Dmax ≤ 31 Gy | V18 ≤ 5 cc |
| Small bowel | Dmax ≤ 29 Gy | V19.5 ≤ 5 cc |
| Colon | Dmax ≤ 29 Gy | V25 ≤ 5 cc |
| Esophagus | Dmax ≤ 35 Gy | V19.5/27.5 ≤ 5 cc |
| Ribs | Dmax ≤ 43 Gy | V135 ≤ 1 cc |
| Parameter | n (%) | Median [Min–Max] | |
|---|---|---|---|
| Patients Characteristics | |||
| Gender | Women | 4 (6.1%) | |
| Men | 62 (93.9%) | ||
| Age (years) | 66 | 69 (51–84) | |
| ECOG | 0 | 16 (24.2%) | |
| 1 | 46 (69.7%) | ||
| 2 | 4 (6.1%) | ||
| Etiology of cirrhosis | No cirrhosis | 5 (7.6%) | |
| Alcoholic | 23 (34.9%) | ||
| Viral | 10 (15.1%) | ||
| Mixed | 17 (25.8%) | ||
| NASH | 3 (4.5%) | ||
| Other * | 3 (4.5%) | ||
| Unknown | 5 (7.6%) | ||
| ChildPughscore | A5 | 44 (67.7%) | |
| A6 | 16 (24.6%) | ||
| B7 | 4 (6.2%) | ||
| >B7 | 1 (1.5%) | ||
| Missing | 1 | ||
| BCLC score | 1 | 2 (5%) | |
| 2 | 35 (87.5%) | ||
| 3 | 3 (7.5%) | ||
| Missing | 26 | ||
| Alpha fetoprotein value | Yes No | 60 (90.9%) 6 (8.1%) | 6.6 (0.6–4000) |
| Prior Treatments | |||
| Previous treatment for HCC | Yes | 44 (66.7%) | |
| No | 22 (33.3%) | ||
| Previous treatment for targeted lesion | None | 31(47%) | |
| 1 | 20(30.3%) | ||
| ≥2 | 15(22.7%) | ||
| Surgery | 2 (3%) | ||
| RF | 6 (9.1%) | ||
| TACE | 10 (15.2%) | ||
| RF + TACE | 6 (9.1%) | ||
| Other ** | 11 (16.6%) | ||
| Waiting for transplant | Yes | 4 (6.1%) | |
| No | 62 (93.9%) | ||
| Treated Lesions | |||
| Number of lesions | 1 | 60 (90%) | |
| 2 | 6 (10%) | ||
| Diameter of the lesion (mm) | 66 | 30 (8–100) | |
| Location of the lesion | Dome | 9 (13.6%) | |
| Segment 1 | 4 (6.1%) | ||
| Right side | 31 (47%) | ||
| Left side | 16 (24.2%) | ||
| Others | 6 (9.1%) | ||
| Parameters | Subgroup | n (%) | Median [Min–Max] |
|---|---|---|---|
| Surgical clips | No | 43 (65.2%) | |
| Yes | 23 (34.8%) | ||
| Method used to monitor the lesion | kV dome | 12 (18.2%) | |
| CBCT only | 26 (39.4%) | ||
| kV dome + CBCT | 5 (7.6%) | ||
| Other (fiducials, surgical clips, prosthesis, etc.) | 23 (34.8%) | ||
| 4D PET | No | 30 (45.5%) | |
| Yes | 36 (54.5%) | ||
| PET type | Choline | 24 (66.7%) | |
| 18-FDG | 12 (33.3%) | ||
| Lesion fixation | No | 13 (36.1%) | |
| Yes | 23 (63.9%) | ||
| Usefulness for contouring | No | 14 (38.9%) | |
| Yes | 22 (61.1%) | ||
| Healthy liver | Liver volume (cc) | 66 (100% | 1462 (850–3261) |
| Healthy liver volume (cc) | 66 (100%) | 1367 (599–2967) | |
| PTV/healthy liver ratio | 66 (100%) | 0.1 (0.1–2) | |
| Dmean (Gy) | 66 (100%) | 9.6 (.3–17.5) | |
| V < 15 Gy (cc) | 66 (100%) | 1109.6 (65.1–2446.3) | |
| (Vhealthy liver—V15) | |||
| V15 (cc) | 66 (100%) | 297 (52–1206.7) | |
| Target volumes (cc) | PTV | 66 (100%) | 79.5 (13.3–722.7) |
| GTV1 | 3 (4.5%) | 27.5 (1.5–463.4) | |
| GTV2 | 3 (4.5%) | 5.9 (4.4–19.7) | |
| ITV1 | 64 (97%) | 30 (2.6–485) | |
| ITV2 | 3 (4.5%) | 7.5 (5.1–39.6) | |
| Treatment scheme | 50 Gy—5 fractions | 44 (71%) | |
| 50 Gy—10 fractions | 7 (11.3%) | ||
| 41 Gy—10 fractions | 4 (6.5%) | ||
| 44 Gy—10 fractions | 1 (1.6%) | ||
| 45 Gy—5 fractions | 3 (4.8%) | ||
| 45 Gy—10 fractions | 1 (1.6%) | ||
| 40 Gy—10 fractions | 1 (1.6%) | ||
| 36 Gy—10 fractions | 1 (1.6%) | ||
| Dose (Gy) | Total dose to PTV | 66 (100%) | 50 (35–50) |
| Dose per fraction | 66 (100%) | 10 (3.5–10) | |
| Staggering (days) | 66 (100%) | 7 (5–18) |
| Survival Data | ||||||||
|---|---|---|---|---|---|---|---|---|
| Survival parameter | Survival Rate (IC 95%) | Median Survival | ||||||
| 6 Months | 12 Months | (IC 95%) | ||||||
| Without local recurrence | 100% | 100% | / | |||||
| (0 event) | / | / | / | |||||
| Without extra-target hepatic | 79.2% | 58.1% | 15.1 months | |||||
| recurrence (31 events) | (66.9–87.4) | (43.4–70.2) | (10.5–38.0) | |||||
| Without metastatic | 100% | 97.7% | / | |||||
| recurrence (3 events) | / | (84.9–99.7) | / | |||||
| Disease free | 76.4% | 46.7% | 10.6 months | |||||
| (41 events) | (64.0–85.1) | (33.2–59.1) | (8.8–15.1) | |||||
| Overall survival | 96.8% | 83.9% | 29.3 months | |||||
| (19 events) | (87.9–99.2) | (71.2–91.3) | (25.1-not reached) | |||||
| Response Rate (mRECIST Criteria) | ||||||||
| Response | 3 months (n = 59) | 6 months (n = 54) | 12 months (n = 35) | 24 months (n = 14) | 36 months (n = 3) | Better response | ||
| n (%) | n (%) (IC 95%) | |||||||
| Objective | 29 (50%) | 37 (68.5%) | 25 (71.4%) | 10 (71.4%) | 2 (66.7%) | 44 (73.3%) (60.3–83.9) | ||
| Complete | 16 (27.6%) | 23 (42.6%) | 18 (51.4%) | 10 (71.4%) | 2 (66.7%) | 31 (51.7%) | ||
| Partial | 13 (22.4%) | 14 (25.9%) | 7 (20%) | 0 | 0 | 13 (21.7%) | ||
| Stability | 23 (39.7%) | 11 (20.4%) | 1 (2.9%) | 0 | 0 | 12 (20%) | ||
| Progression | 6 (10.3%) | 6 (11.1%) | 9 (25.7%) | 4 (28.6%) | 1 (33.3%) | 4 (6.7%) | ||
| Missing | 1 | 0 | 0 | 0 | 0 | 0 | ||
| Overall Survival (Univariate Cox Model) | ||||||||||
|---|---|---|---|---|---|---|---|---|---|---|
| Parameter | Subgroup | N Event/ N Total | 1-Year OS (%) | HR | (95% CI) | p Value * | ||||
| Age | 19/66 | 0.95 | (0.89–1.01) | |||||||
| <70 years | 12/40 | 82.8% | 1 | 0.1 | ||||||
| ≥70 years | 7/26 | 85.9% | 0.7 | (0.27–1.85) | 0.47 | |||||
| Sum of lesion diameters | 0.16 | |||||||||
| <50 mm | 14/54 | 84.6% | 1 | |||||||
| ≥50 mm | 5/12 | 80% | 2.23 | (0.77–6.43) | ||||||
| PTV (cc) | <129 | 8/44 | 90.9% | 1 | 0.025 | |||||
| ≥129 | 11/22 | 71.3% | 2.84 | (1.14–7.08) | ||||||
| <150 | 11/49 | 87% | 1 | 0.027 | ||||||
| ≥150 | 8/17 | 75.3% | 3.12 | (1.17–8.33) | ||||||
| Total Dose | <50 Gy | 3/15 | 79% | 1 | 0.9 | |||||
| ≥50 Gy | 16/51 | 85.5% | 1.08 | (0.31–3.78) | ||||||
| Dose per fraction | <10 Gy | 7/21 | 72.2% | 1 | 0.19 | |||||
| ≥10 Gy | 12/45 | 89.4% | 0.52 | (0.20–1.35) | ||||||
| Number of fractions | 5 | 12/49 | 90.2% | 1 | 0.04 | |||||
| 10 | 7/17 | 65.6% | 2.97 | (1.09–8.07) | ||||||
| Disease-Free Survival (Multivariate Cox) | ||||||||||
| n = 66, events = 41 | Subgroup | HR | (95% CI) | p Value * | ||||||
| Sum of lesion diameters | <50mm | 1 | 0.02 | |||||||
| ≥50 mm | 2.57 | (1.19–5.53) | ||||||||
| Previous treatment | None | 1 | 0.059 | |||||||
| 1 | 1.4 | (0.65–3.01) | ||||||||
| ≥2 | 2.61 | (1.20–5.66) | ||||||||
| Complication | Grade | 3 Months (n = 59) | 6 Months (n = 54) | 12 Months (n = 35) | 24 Months (n = 15) | 36 Months (n = 3) |
|---|---|---|---|---|---|---|
| n (%) | ||||||
| Duodenal ulcer | Grade 0 | 57 (96.6%) | 53 (100%) | 29 (100%) | 14 (100%) | 3 (100%) |
| Grade 2 | 2 (3.4%) | 0 | 0 | 0 | 0 | |
| Missing | 0 | 1 | 6 | 1 | 0 | |
| Gastric ulcer | Grade 0 | 58 (98.3%) | 53 (100%) | 29 (100%) | 14 (100%) | 3 (100%) |
| Grade 4 | 1 (1.7%) | 0 | 0 | 0 | 0 | |
| Missing | 0 | 1 | 6 | 1 | 0 | |
| Hepatitis | Grade 0 | 58 (98.3%) | 52 (100%) | 28 (96.6%) | 14 (100%) | 3 (100%) |
| Grade 2 | 1 (1.7%) | 0 | 1 (1.34%) | 0 | 0 | |
| Missing | 0 | 2 | 5 | 1 | 0 | |
| Nausea | Grade 0 | 58 (98.3%) | 52 (100%) | 29 (100%) | 14 (100%) | 3 (100%) |
| Grade 2 | 1 (1.7%) | 0 | 0 | 0 | 0 | |
| Missing | 0 | 2 | 6 | 1 | 0 | |
| Vomiting | Grade 0 | 59 (100%) | 52 (100%) | 29 (100%) | 14 (100%) | 3 (100%) |
| Missing | 0 | 2 | 6 | 1 | 0 | |
| Asthenia | Grade 0 | 46 (78%) | 43 (82.7%) | 21 (72.5%) | 7 (53.9%) | 3 (100%) |
| Grade 1 | 13 (22%) | 8 (15.4%) | 5 (17.2%) | 6 (46.1%) | 0 | |
| Grade 2 | 0 | 1 (1.9%) | 3 (10.3%) | 0 | 0 | |
| Missing | 0 | 2 | 6 | 2 | 0 | |
| Diarrhea | Grade 0 | 59 (100%) | 52 (100%) | 29 (100%) | 14 (100%) | 3 (100%) |
| Missing | 0 | 2 | 6 | 1 | 0 | |
| Ascite | Grade 0 | 54 (91.5%) | 51 (98.1%) | 24 (82.8%) | 11 (73.3%) | 3 (100%) |
| Grade 1 | 5 (8.5%) | 1 (1.9%) | 3 (10.3%) | 4 (26.7%) | 0 | |
| Grade 2 | 0 | 0 | 2 (6.9%) | 0 | 0 | |
| Missing | 0 | 2 | 6 | 0 | 0 | |
| Classic RILD | No | 56 (100%) | 52 (100%) | 29 (100%) | 13 (100%) | 3 (100%) |
| Missing | 3 | 2 | 6 | 2 | 0 | |
| Non-classic RILD | No | 55 (98.2%) | 52 (100%) | 28 (100%) | 13 (100%) | 3 (100%) |
| Yes | 1 (1.8%) | 0 | 0 | 0 | 0 | |
| Missing | 3 | 2 | 7 | 2 | 0 | |
Publisher’s Note: MDPI stays neutral with regard to jurisdictional claims in published maps and institutional affiliations. |
© 2021 by the authors. Licensee MDPI, Basel, Switzerland. This article is an open access article distributed under the terms and conditions of the Creative Commons Attribution (CC BY) license (https://creativecommons.org/licenses/by/4.0/).
Share and Cite
Cantaloube, M.; Castan, F.; Creoff, M.; Prunaretty, J.; Bordeau, K.; Michalet, M.; Assenat, E.; Guiu, B.; Pageaux, G.-P.; Ychou, M.; et al. Image-Guided Liver Stereotactic Body Radiotherapy Using VMAT and Real-Time Adaptive Tumor Gating: Evaluation of the Efficacy and Toxicity for Hepatocellular Carcinoma. Cancers 2021, 13, 4853. https://doi.org/10.3390/cancers13194853
Cantaloube M, Castan F, Creoff M, Prunaretty J, Bordeau K, Michalet M, Assenat E, Guiu B, Pageaux G-P, Ychou M, et al. Image-Guided Liver Stereotactic Body Radiotherapy Using VMAT and Real-Time Adaptive Tumor Gating: Evaluation of the Efficacy and Toxicity for Hepatocellular Carcinoma. Cancers. 2021; 13(19):4853. https://doi.org/10.3390/cancers13194853
Chicago/Turabian StyleCantaloube, Marie, Florence Castan, Morgane Creoff, Jessica Prunaretty, Karl Bordeau, Morgan Michalet, Eric Assenat, Boris Guiu, Georges-Philippe Pageaux, Marc Ychou, and et al. 2021. "Image-Guided Liver Stereotactic Body Radiotherapy Using VMAT and Real-Time Adaptive Tumor Gating: Evaluation of the Efficacy and Toxicity for Hepatocellular Carcinoma" Cancers 13, no. 19: 4853. https://doi.org/10.3390/cancers13194853
APA StyleCantaloube, M., Castan, F., Creoff, M., Prunaretty, J., Bordeau, K., Michalet, M., Assenat, E., Guiu, B., Pageaux, G.-P., Ychou, M., Aillères, N., Fenoglietto, P., Azria, D., & Riou, O. (2021). Image-Guided Liver Stereotactic Body Radiotherapy Using VMAT and Real-Time Adaptive Tumor Gating: Evaluation of the Efficacy and Toxicity for Hepatocellular Carcinoma. Cancers, 13(19), 4853. https://doi.org/10.3390/cancers13194853

