Heavy Metals in the Environment and Thyroid Cancer
Abstract
Simple Summary
Abstract
1. Changes in Thyroid Cancer Epidemiology
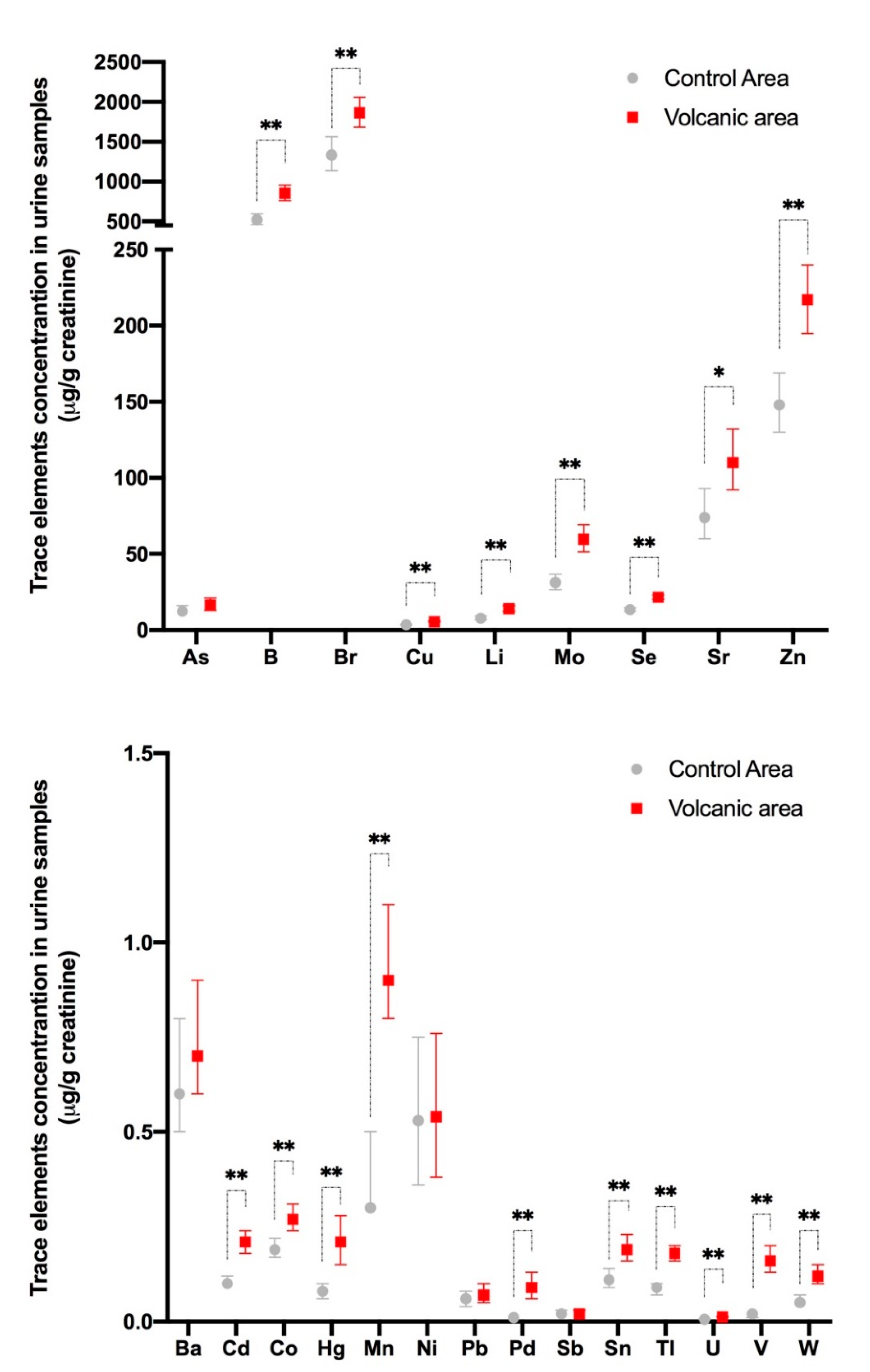
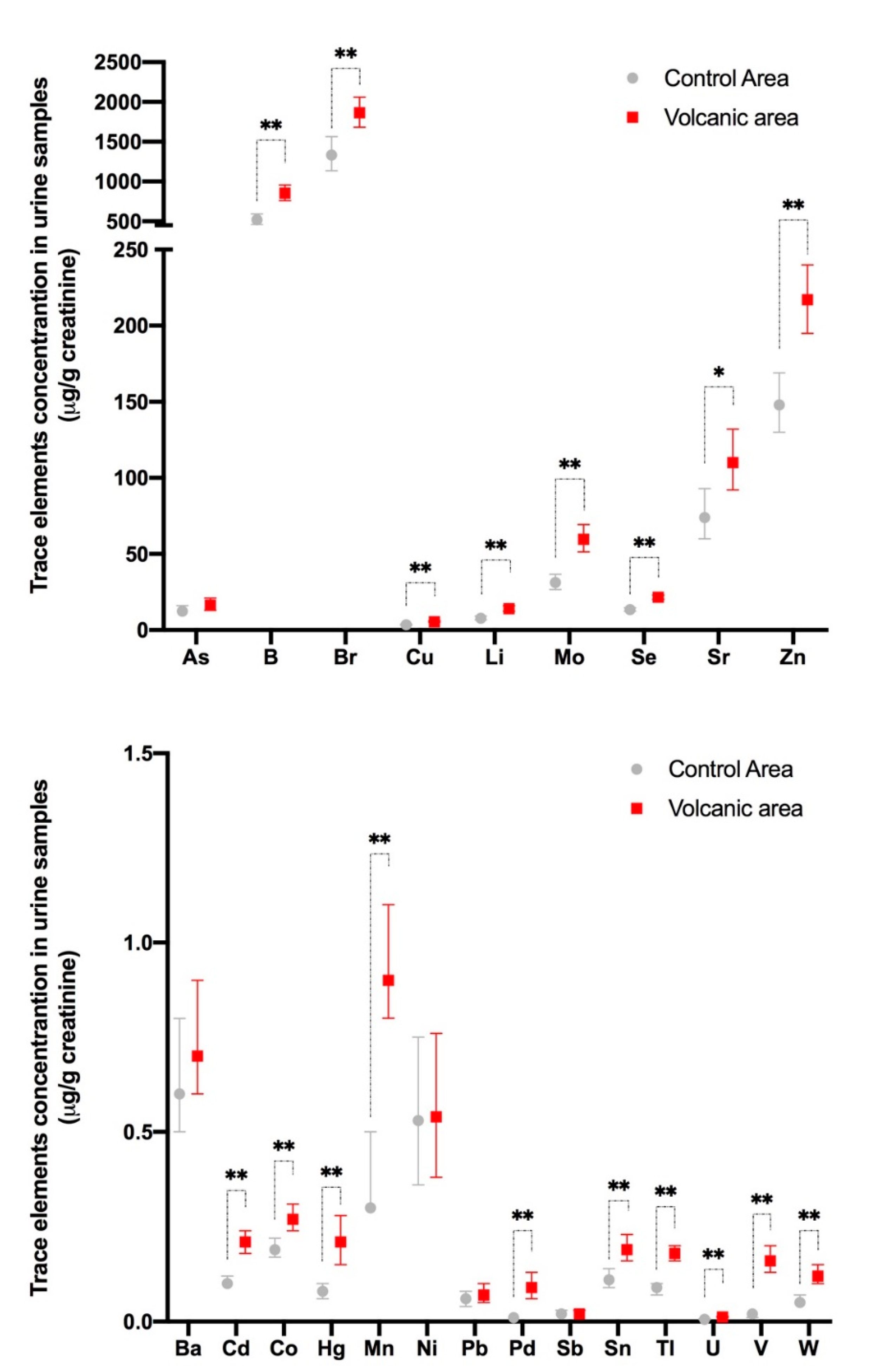
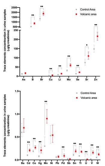
2. Volcanic Environment, Metals, and Thyroid Cancer
3. Metal Interactions with Living Cells
4. Metals and the Thyroid
5. Effects of Metals in Mature and Immature Thyroid Cells
5.1. In Vitro Studies with Single Metals
5.2. In Vitro Effects of a Metal Mixture
6. In Vivo Studies in Experimental Animals
7. Molecular Mechanisms of Action
8. Conclusions
Author Contributions
Funding
Institutional Review Board Statement
Informed Consent Statement
Data Availability Statement
Acknowledgments
Conflicts of Interest
References
- La Vecchia, C.; Negri, E. The Thyroid Cancer Epidemic—Overdiagnosis or a Real Increase? Nat. Rev. Endocrinol. 2017, 13, 318–319. [Google Scholar] [CrossRef]
- Kim, J.; Gosnell, J.E.; Roman, S.A. Geographic Influences in the Global Rise of Thyroid Cancer. Nat. Rev. Endocrinol. 2020, 16, 17–29. [Google Scholar] [CrossRef]
- Davies, L.; Welch, H.G. Current Thyroid Cancer Trends in the United States. JAMA Otolaryngol. Neck Surg. 2014, 140, 317–322. [Google Scholar] [CrossRef] [PubMed]
- Pereira, M.; Williams, V.L.; Hallanger Johnson, J.; Valderrabano, P. Thyroid Cancer Incidence Trends in the United States: Association with Changes in Professional Guideline Recommendations. Thyroid 2020, 30, 1132–1140. [Google Scholar] [CrossRef] [PubMed]
- Jensen, C.B.; Saucke, M.C.; Francis, D.O.; Voils, C.I.; Pitt, S.C. From Overdiagnosis to Overtreatment of Low-Risk Thyroid Cancer: A Thematic Analysis of Attitudes and Beliefs of Endocrinologists, Surgeons, and Patients. Thyroid 2020, 30, 696–703. [Google Scholar] [CrossRef] [PubMed]
- Vigneri, R.; Malandrino, P.; Vigneri, P. The Changing Epidemiology of Thyroid Cancer: Why Is Incidence Increasing? Curr. Opin. Oncol. 2015, 27, 1–7. [Google Scholar] [CrossRef]
- Kitahara, C.M.; Sosa, J.A. Understanding the Ever-Changing Incidence of Thyroid Cancer. Nat. Rev. Endocrinol. 2020, 16, 617–618. [Google Scholar] [CrossRef] [PubMed]
- Vigneri, R.; Malandrino, P.; Russo, M. Is Thyroid Cancer Increasing in Incidence and Aggressiveness? J. Clin. Endocrinol. Metab. 2020, 105, e2639–e2640. [Google Scholar] [CrossRef]
- Lim, H.; Devesa, S.S.; Sosa, J.A.; Check, D.; Kitahara, C.M. Trends in Thyroid Cancer Incidence and Mortality in the United States, 1974–2013. JAMA 2017, 317, 1338–1348. [Google Scholar] [CrossRef]
- Simard, E.P.; Ward, E.M.; Siegel, R.; Jemal, A. Cancers with Increasing Incidence Trends in the United States: 1999 through 2008. CA. Cancer J. Clin. 2012, 62, 118–128. [Google Scholar] [CrossRef]
- Yan, K.L.; Li, S.; Tseng, C.-H.; Kim, J.; Nguyen, D.T.; Dawood, N.B.; Livhits, M.J.; Yeh, M.W.; Leung, A.M. Rising Incidence and Incidence-Based Mortality of Thyroid Cancer in California, 2000–2017. J. Clin. Endocrinol. Metab. 2020, 105, 1770–1777. [Google Scholar] [CrossRef]
- Elisei, R. Molecular Profiles of Papillary Thyroid Tumors Have Been Changing in the Last Decades: How Could We Explain It? J. Clin. Endocrinol. Metab. 2014, 99, 412–414. [Google Scholar] [CrossRef] [PubMed]
- Jung, C.K.; Little, M.P.; Lubin, J.H.; Brenner, A.V.; Wells, S.A.; Sigurdson, A.J.; Nikiforov, Y.E. The Increase in Thyroid Cancer Incidence During the Last Four Decades Is Accompanied by a High Frequency of BRAF Mutations and a Sharp Increase in RAS Mutations. J. Clin. Endocrinol. Metab. 2014, 99, E276–E285. [Google Scholar] [CrossRef] [PubMed]
- Dong, W.; Zhang, H.; Zhang, P.; Li, X.; He, L.; Wang, Z.; Liu, Y. The Changing Incidence of Thyroid Carcinoma in Shenyang, China before and after Universal Salt Iodization. Med. Sci. Monit. 2013, 19, 49–53. [Google Scholar] [CrossRef]
- Zhao, H.; Tian, Y.; Liu, Z.; Li, X.; Feng, M.; Huang, T. Correlation between Iodine Intake and Thyroid Disorders: A Cross-Sectional Study from the South of China. Biol. Trace Elem. Res. 2014, 162, 87–94. [Google Scholar] [CrossRef]
- Aschebrook-Kilfoy, B.; Shu, X.-O.; Gao, Y.-T.; Ji, B.-T.; Yang, G.; Li, H.L.; Rothman, N.; Chow, W.-H.; Zheng, W.; Ward, M.H. Thyroid Cancer Risk and Dietary Nitrate and Nitrite Intake in the Shanghai Women’s Health Study. Int. J. Cancer 2013, 132, 897–904. [Google Scholar] [CrossRef]
- Marcello, M.A.; Malandrino, P.; Almeida, J.F.M.; Martins, M.B.; Cunha, L.L.; Bufalo, N.E.; Pellegriti, G.; Ward, L.S. The Influence of the Environment on the Development of Thyroid Tumors: A New Appraisal. Endocr. Relat. Cancer 2014, 21, T235–T254. [Google Scholar] [CrossRef]
- Pellegriti, G.; De Vathaire, F.; Scollo, C.; Attard, M.; Giordano, C.; Arena, S.; Dardanoni, G.; Frasca, F.; Malandrino, P.; Vermiglio, F.; et al. Papillary Thyroid Cancer Incidence in the Volcanic Area of Sicily. JNCI J. Natl. Cancer Inst. 2009, 101, 1575–1583. [Google Scholar] [CrossRef] [PubMed]
- Goodman, M.T.; Yoshizawa, C.N.; Kolonel, L.N. Descriptive Epidemiology of Thyroid Cancer in Hawaii. Cancer 1988, 61, 1272–1281. [Google Scholar] [CrossRef]
- Hrafnkelsson, J.; Tulinius, H.; Jonasson, J.G.; Ólafsdottir, G.; Sigvaldason, H. Papillary Thyroid Carcinoma in Iceland: A Study of the Occurrence in Families and the Coexistence of Other Primary Tumours. Acta Oncol. 1989, 28, 785–788. [Google Scholar] [CrossRef]
- Paksoy, N.; Montaville, B.; McCarthy, S. Cancer Occurrence in Vanuatu in the South Pacific, 1980–1986. Asia Pac. J. Public Health 1989, 3, 231–236. [Google Scholar] [CrossRef]
- Truong, T.; Rougier, Y.; Dubourdieu, D.; Guihenneuc-Jouyaux, C.; Orsi, L.; Hémon, D.; Guénel, P. Time Trends and Geographic Variations for Thyroid Cancer in New Caledonia, a Very High Incidence Area (1985–1999). Eur. J. Cancer Prev. 2007, 16, 62–70. [Google Scholar] [CrossRef] [PubMed][Green Version]
- Malandrino, P.; Scollo, C.; Marturano, I.; Russo, M.; Tavarelli, M.; Attard, M.; Richiusa, P.; Violi, M.A.; Dardanoni, G.; Vigneri, R.; et al. Descriptive Epidemiology of Human Thyroid Cancer: Experience From a Regional Registry and The “Volcanic Factor”. Front. Endocrinol. 2013, 4, 65. [Google Scholar] [CrossRef]
- Copat, C.; Arena, G.; Fiore, M.; Ledda, C.; Fallico, R.; Sciacca, S.; Ferrante, M. Heavy Metals Concentrations in Fish and Shellfish from Eastern Mediterranean Sea: Consumption Advisories. Food Chem. Toxicol. 2013, 53, 33–37. [Google Scholar] [CrossRef]
- Malandrino, P.; Russo, M.; Ronchi, A.; Minoia, C.; Cataldo, D.; Regalbuto, C.; Giordano, C.; Attard, M.; Squatrito, S.; Trimarchi, F.; et al. Increased Thyroid Cancer Incidence in a Basaltic Volcanic Area Is Associated with Non-Anthropogenic Pollution and Biocontamination. Endocrine 2016, 53, 471–479. [Google Scholar] [CrossRef] [PubMed]
- Varrica, D.; Tamburo, E.; Dongarrà, G.; Sposito, F. Trace Elements in Scalp Hair of Children Chronically Exposed to Volcanic Activity (Mt. Etna, Italy). Sci. Total Environ. 2014, 470–471, 117–126. [Google Scholar] [CrossRef] [PubMed]
- Liotta, M.; D’Alessandro, W.; Bellomo, S.; Brusca, L. Volcanic Plume Fingerprint in the Groundwater of a Persistently Degassing Basaltic Volcano: Mt. Etna. Chem. Geol. 2016, 433, 68–80. [Google Scholar] [CrossRef]
- Boffetta, P.; Memeo, L.; Giuffrida, D.; Ferrante, M.; Sciacca, S. Exposure to Emissions from Mount Etna (Sicily, Italy) and Incidence of Thyroid Cancer: A Geographic Analysis. Sci. Rep. 2020, 10, 21298. [Google Scholar] [CrossRef] [PubMed]
- Russo, M.; Malandrino, P.; Addario, W.P.; Dardanoni, G.; Vigneri, P.; Pellegriti, G.; Squatrito, S.; Vigneri, R. Several Site-Specific Cancers Are Increased in the Volcanic Area in Sicily. Anticancer Res. 2015, 35, 3995–4001. [Google Scholar]
- Pelser, C.; Dazzi, C.; Graubard, B.I.; Lauria, C.; Vitale, F.; Goedert, J.J. Risk of Classic Kaposi Sarcoma with Residential Exposure to Volcanic and Related Soils in Sicily. Ann. Epidemiol. 2009, 19, 597–601. [Google Scholar] [CrossRef]
- Rodrigues, A.S.; Arruda, M.S.C.; Garcia, P.V. Evidence of DNA Damage in Humans Inhabiting a Volcanically Active Environment: A Useful Tool for Biomonitoring. Environ. Int. 2012, 49, 51–56. [Google Scholar] [CrossRef]
- Vigneri, R.; Malandrino, P.; Gianì, F.; Russo, M.; Vigneri, P. Heavy Metals in the Volcanic Environment and Thyroid Cancer. Mol. Cell. Endocrinol. 2017, 457, 73–80. [Google Scholar] [CrossRef]
- Lu, Q.; Xu, X.; Liang, L.; Xu, Z.; Shang, L.; Guo, J.; Xiao, D.; Qiu, G. Barium Concentration, Phytoavailability, and Risk Assessment in Soil-Rice Systems from an Active Barium Mining Region. Appl. Geochem. 2019, 106, 142–148. [Google Scholar] [CrossRef]
- Rodríguez Martin, J.A.; Gutiérrez, C.; Torrijos, M.; Nanos, N. Wood and Bark of Pinus Halepensis as Archives of Heavy Metal Pollution in the Mediterranean Region. Environ. Pollut. 2018, 239, 438–447. [Google Scholar] [CrossRef]
- Sodango, T.H.; Li, X.; Sha, J.; Bao, Z. Review of the Spatial Distribution, Source and Extent of Heavy Metal Pollution of Soil in China: Impacts and Mitigation Approaches. J. Health Pollut. 2018, 8, 53–70. [Google Scholar] [CrossRef]
- Nriagu, J.O. A History of Global Metal Pollution. Science 1996, 272, 223. [Google Scholar] [CrossRef]
- Ali, H.; Khan, E. Environmental Chemistry in the Twenty-First Century. Environ. Chem. Lett. 2017, 15, 329–346. [Google Scholar] [CrossRef]
- Xing, M. Oxidative Stress: A New Risk Factor for Thyroid Cancer. Endocr. Relat. Cancer 2012, 19, C7–C11. [Google Scholar] [CrossRef] [PubMed]
- Coclet, J.; Foureau, F.; Ketelbant, P.; Galand, P.; Dumont, J.E. Cell population kinetics in dog and human adult thyroid. Clin. Endocrinol. 1989, 31, 655–666. [Google Scholar] [CrossRef] [PubMed]
- Maier, J.; van Steeg, H.; van Oostrom, C.; Karger, S.; Paschke, R.; Krohn, K. Deoxyribonucleic Acid Damage and Spontaneous Mutagenesis in the Thyroid Gland of Rats and Mice. Endocrinology 2006, 147, 3391–3397. [Google Scholar] [CrossRef] [PubMed]
- Malandrino, P.; Russo, M.; Ronchi, A.; Moretti, F.; Gianì, F.; Vigneri, P.; Masucci, R.; Pellegriti, G.; Belfiore, A.; Vigneri, R. Concentration of Metals and Trace Elements in the Normal Human and Rat Thyroid: Comparison with Muscle and Adipose Tissue and Volcanic Versus Control Areas. Thyroid 2020, 30, 290–299. [Google Scholar] [CrossRef]
- Desforges, J.F.; Mazzaferri, E.L. Management of a Solitary Thyroid Nodule. N. Engl. J. Med. 1993, 328, 553–559. [Google Scholar] [CrossRef]
- Popoveniuc, G.; Jonklaas, J. Thyroid Nodules. Med. Clin. N. Am. 2012, 96, 329–349. [Google Scholar] [CrossRef]
- Pamphlett, R.; Doble, P.A.; Bishop, D.P. Mercury in the Human Thyroid Gland: Potential Implications for Thyroid Cancer, Autoimmune Thyroiditis, and Hypothyroidism. PLoS ONE 2021, 16, e0246748. [Google Scholar] [CrossRef]
- Jiang, G.; Duan, W.; Xu, L.; Song, S.; Zhu, C.; Wu, L. Biphasic Effect of Cadmium on Cell Proliferation in Human Embryo Lung Fibroblast Cells and Its Molecular Mechanism. Toxicol. In Vitro 2009, 23, 973–978. [Google Scholar] [CrossRef] [PubMed]
- Xie, L.; Hu, W.-Y.; Hu, D.-P.; Shi, G.; Li, Y.; Yang, J.; Prins, G.S. Effects of Inorganic Arsenic on Human Prostate Stem-Progenitor Cell Transformation, Autophagic Flux Blockade, and NRF2 Pathway Activation. Environ. Health Perspect. 2020, 128, 067008. [Google Scholar] [CrossRef] [PubMed]
- Scharf, P.; Broering, M.F.; Oliveira da Rocha, G.H.; Farsky, S.H.P. Cellular and Molecular Mechanisms of Environmental Pollutants on Hematopoiesis. Int. J. Mol. Sci. 2020, 21, 6996. [Google Scholar] [CrossRef]
- Prins, G.S.; Hu, W.-Y.; Shi, G.-B.; Hu, D.-P.; Majumdar, S.; Li, G.; Huang, K.; Nelles, J.L.; Ho, S.-M.; Walker, C.L.; et al. Bisphenol A Promotes Human Prostate Stem-Progenitor Cell Self-Renewal and Increases In Vivo Carcinogenesis in Human Prostate Epithelium. Endocrinology 2014, 155, 805–817. [Google Scholar] [CrossRef] [PubMed]
- Gianì, F.; Vella, V.; Nicolosi, M.L.; Fierabracci, A.; Lotta, S.; Malaguarnera, R.; Belfiore, A.; Vigneri, R.; Frasca, F. Thyrospheres From Normal or Malignant Thyroid Tissue Have Different Biological, Functional, and Genetic Features. J. Clin. Endocrinol. Metab. 2015, 100, E1168–E1178. [Google Scholar] [CrossRef] [PubMed]
- Fuchs, E.; Chen, T. A Matter of Life and Death: Self-renewal in Stem Cells. EMBO Rep. 2013, 14, 39–48. [Google Scholar] [CrossRef]
- Malandrino, P.; Russo, M.; Gianì, F.; Pellegriti, G.; Vigneri, P.; Belfiore, A.; Rizzarelli, E.; Vigneri, R. Increased Thyroid Cancer Incidence in Volcanic Areas: A Role of Increased Heavy Metals in the Environment? Int. J. Mol. Sci. 2020, 21, 3425. [Google Scholar] [CrossRef]
- Calabrese, E.J. Hormesis: A Revolution in Toxicology, Risk Assessment and Medicine: Re-framing the Dose–Response Relationship. EMBO Rep. 2004, 5. [Google Scholar] [CrossRef]
- Damelin, L.H.; Vokes, S.; Whitcutt, J.M.; Damelin, S.B.; Alexander, J.J. Hormesis: A Stress Response in Cells Exposed to Low Levels of Heavy Metals. Hum. Exp. Toxicol. 2000, 19, 420–430. [Google Scholar] [CrossRef] [PubMed]
- Schmidt, C.M.; Cheng, C.N.; Marino, A.; Konsoula, R.; Barile, F.A. Hormesis Effect of Trace Metals on Cultured Normal and Immortal Human Mammary Cells. Toxicol. Ind. Health 2004, 20, 57–68. [Google Scholar] [CrossRef]
- Calabrese, E.J.; Baldwin, L.A. Inorganics and Hormesis. Crit. Rev. Toxicol. 2003, 33, 215–304. [Google Scholar] [CrossRef] [PubMed]
- Gianì, F.; Masto, R.; Trovato, M.A.; Franco, A.; Pandini, G.; Vigneri, R. Thyroid Stem Cells but Not Differentiated Thyrocytes Are Sensitive to Slightly Increased Concentrations of Heavy Metals. Front. Endocrinol. 2021, 12, 652675. [Google Scholar] [CrossRef] [PubMed]
- Harris, R.M.; Williams, T.D.; Waring, R.H.; Hodges, N.J. Molecular Basis of Carcinogenicity of Tungsten Alloy Particles. Toxicol. Appl. Pharmacol. 2015, 283, 223–233. [Google Scholar] [CrossRef]
- Laulicht, F.; Brocato, J.; Cartularo, L.; Vaughan, J.; Wu, F.; Kluz, T.; Sun, H.; Oksuz, B.A.; Shen, S.; Peana, M.; et al. Tungsten-Induced Carcinogenesis in Human Bronchial Epithelial Cells. Toxicol. Appl. Pharmacol. 2015, 288, 33–39. [Google Scholar] [CrossRef]
- Kelly, A.D.R.; Lemaire, M.; Young, Y.K.; Eustache, J.H.; Guilbert, C.; Molina, M.F.; Mann, K.K. In Vivo Tungsten Exposure Alters B-Cell Development and Increases DNA Damage in Murine Bone Marrow. Toxicol. Sci. 2013, 131, 434–446. [Google Scholar] [CrossRef]
- Koutsospyros, A.; Braida, W.; Christodoulatos, C.; Dermatas, D.; Strigul, N. A Review of Tungsten: From Environmental Obscurity to Scrutiny. J. Hazard. Mater. 2006, 136, 1–19. [Google Scholar] [CrossRef]
- Gianì, F.; Pandini, G.; Scalisi, N.M.; Vigneri, P.; Fazzari, C.; Malandrino, P.; Russo, M.; Masucci, R.; Belfiore, A.; Pellegriti, G.; et al. Effect of Low-Dose Tungsten on Human Thyroid Stem/Precursor Cells and Their Progeny. Endocr. Relat. Cancer 2019, 26, 713–725. [Google Scholar] [CrossRef] [PubMed]
- Fadda, G.; Basolo, F.; Bondi, A.; Bussolati, G.; Crescenzi, A.; Nappi, O.; Nardi, F.; Papotti, M.; Taddei, G.; Palombini, L.; et al. Cytological Classification of Thyroid Nodules. Proposal of the SIAPEC-IAP Italian Consensus Working Group. Pathologica 2010, 102, 405–408. [Google Scholar] [PubMed]
- Sakr, H.I.; Chute, D.J.; Nasr, C.; Sturgis, C.D. CMYC Expression in Thyroid Follicular Cell-Derived Carcinomas: A Role in Thyroid Tumorigenesis. Diagn. Pathol. 2017, 12, 71. [Google Scholar] [CrossRef][Green Version]
- Kim, H.S.; Kim, D.H.; Kim, J.Y.; Jeoung, N.H.; Lee, I.K.; Bong, J.G.; Jung, E.D. Microarray Analysis of Papillary Thyroid Cancers in Korean. Korean J. Intern. Med. 2010, 25, 399–407. [Google Scholar] [CrossRef]
- Ivashkevich, A.; Redon, C.E.; Nakamura, A.J.; Martin, R.F.; Martin, O.A. Use of the γ-H2AX Assay to Monitor DNA Damage and Repair in Translational Cancer Research. Cancer Lett. 2012, 327, 123–133. [Google Scholar] [CrossRef]
- Panier, S.; Boulton, S.J. Double-Strand Break Repair: 53BP1 Comes into Focus. Nat. Rev. Mol. Cell Biol. 2014, 15, 7–18. [Google Scholar] [CrossRef]
- Wu, X.; Cobbina, S.J.; Mao, G.; Xu, H.; Zhang, Z.; Yang, L. A Review of Toxicity and Mechanisms of Individual and Mixtures of Heavy Metals in the Environment. Environ. Sci. Pollut. Res. 2016, 23, 8244–8259. [Google Scholar] [CrossRef]
- Su, H.; Li, Z.; Fiati Kenston, S.; Shi, H.; Wang, Y.; Song, X.; Gu, Y.; Barber, T.; Aldinger, J.; Zou, B.; et al. Joint Toxicity of Different Heavy Metal Mixtures after a Short-Term Oral Repeated-Administration in Rats. Int. J. Environ. Res. Public. Health 2017, 14, 1164. [Google Scholar] [CrossRef]
- Wang, Y.; Tang, Y.; Li, Z.; Hua, Q.; Wang, L.; Song, X.; Zou, B.; Ding, M.; Zhao, J.; Tang, C. Joint Toxicity of a Multi-Heavy Metal Mixture and Chemoprevention in Sprague Dawley Rats. Int. J. Environ. Res. Public Health 2020, 17, 1451. [Google Scholar] [CrossRef]
- Altenburger, R.; Backhaus, T.; Boedeker, W.; Faust, M.; Scholze, M. Simplifying Complexity: Mixture Toxicity Assessment in the Last 20 Years: Simplifying Complexity. Environ. Toxicol. Chem. 2013, 32, 1685–1687. [Google Scholar] [CrossRef] [PubMed]
- Rana, S.V.S. Perspectives in Endocrine Toxicity of Heavy Metals—A Review. Biol. Trace Elem. Res. 2014, 160, 1–14. [Google Scholar] [CrossRef]
- Gore, A.C.; Chappell, V.A.; Fenton, S.E.; Flaws, J.A.; Nadal, A.; Prins, G.S.; Toppari, J.; Zoeller, R.T. Executive Summary to EDC-2: The Endocrine Society’s Second Scientific Statement on Endocrine-Disrupting Chemicals. Endocr. Rev. 2015, 36, 593–602. [Google Scholar] [CrossRef]
- Petrosino, V.; Motta, G.; Tenore, G.; Coletta, M.; Guariglia, A.; Testa, D. The Role of Heavy Metals and Polychlorinated Biphenyls (PCBs) in the Oncogenesis of Head and Neck Tumors and Thyroid Diseases: A Pilot Study. BioMetals 2018, 31, 285–295. [Google Scholar] [CrossRef] [PubMed]
- Tchounwou, P.B.; Yedjou, C.G.; Patlolla, A.K.; Sutton, D.J. Heavy Metal Toxicity and the Environment. In Molecular, Clinical and Environmental Toxicology; Luch, A., Ed.; Experientia Supplementum; Springer: Basel, Switzerland, 2012; Volume 101, pp. 133–164. ISBN 978-3-7643-8339-8. [Google Scholar]
- Tabrez, S.; Priyadarshini, M.; Priyamvada, S.; Khan, M.S.; Na, A.; Zaidi, S.K. Gene–Environment Interactions in Heavy Metal and Pesticide Carcinogenesis. Mutat. Res. Toxicol. Environ. Mutagen. 2014, 760, 1–9. [Google Scholar] [CrossRef] [PubMed]
- Yorita Christensen, K.L. Metals in Blood and Urine, and Thyroid Function among Adults in the United States 2007–2008. Int. J. Hyg. Environ. Health 2013, 216, 624–632. [Google Scholar] [CrossRef]
- Meeker, J.D.; Rossano, M.G.; Protas, B.; Diamond, M.P.; Puscheck, E.; Daly, D.; Paneth, N.; Wirth, J.J. Multiple Metals Predict Prolactin and Thyrotropin (TSH) Levels in Men. Environ. Res. 2009, 109, 869–873. [Google Scholar] [CrossRef]
- Boulyga, S.F.; Loreti, V.; Bettmer, J.; Heumann, K.G. Application of SEC-ICP-MS for Comparative Analyses of Metal-Containing Species in Cancerous and Healthy Human Thyroid Samples. Anal. Bioanal. Chem. 2004, 380, 198–203. [Google Scholar] [CrossRef] [PubMed]
- Yaman, M. Comprehensive Comparison of Trace Metal Concentrations in Cancerous and Non-Cancerous Human Tissues. Curr. Med. Chem. 2006, 13, 2513–2525. [Google Scholar] [CrossRef]
- Chung, H.-K.; Nam, J.S.; Ahn, C.W.; Lee, Y.S.; Kim, K.R. Some Elements in Thyroid Tissue Are Associated with More Advanced Stage of Thyroid Cancer in Korean Women. Biol. Trace Elem. Res. 2016, 171, 54–62. [Google Scholar] [CrossRef] [PubMed]
- Zaichick, V.; Zaichick, S. Levels of Chemical Element Contents in Thyroid as Potential Biomarkers for Cancer Diagnosis (a Preliminary Study). J. Cancer Metastasis Treat. 2018, 4, 60. [Google Scholar] [CrossRef]
- Axelrad, A.A.; Leblond, C.P. Induction of Thyroid Tumors in Rats by a Low Iodine Diet. Cancer 1955, 8, 339–367. [Google Scholar] [CrossRef]
- Kanno, J.; Matsuoka, C.; Furuta, K.; Onodera, H.; Miyajima, H.; Maekawa, A.; Hayashi, Y. Tumor Promoting Effect of Goitrogens on the Rat Thyroid. Toxicol. Pathol. 1990, 18, 239–246. [Google Scholar] [CrossRef]
- Luca, E.; Fici, L.; Ronchi, A.; Marandino, F.; Rossi, E.D.; Caristo, M.E.; Malandrino, P.; Russo, M.; Pontecorvi, A.; Vigneri, R.; et al. Intake of Boron, Cadmium, and Molybdenum Enhances Rat Thyroid Cell Transformation. J. Exp. Clin. Cancer Res. 2017, 36, 73. [Google Scholar] [CrossRef]
- Armstrong, T.A.; Spears, J.W.; Lloyd, K.E. Inflammatory Response, Growth, and Thyroid Hormone Concentrations Are Affected by Long-Term Boron Supplementation in Gilts. J. Anim. Sci. 2001, 79, 1549–1556. [Google Scholar] [CrossRef] [PubMed]
- Faure, R.; Dussault, J.H. Interaction of Sodium Molybdate with the Thyroid Hormone Receptor. Biochem. Cell Biol. 1990, 68, 630–634. [Google Scholar] [CrossRef] [PubMed]
- Jancic, S.A.; Stosic, B.Z. Cadmium Effects on the Thyroid Gland. In Vitamins & Hormones; Elsevier: Amsterdam, The Netherlands, 2014; Volume 94, pp. 391–425. ISBN 978-0-12-800095-3. [Google Scholar]
- Nuttall, J.R.; Oteiza, P.I. Zinc and the ERK Kinases in the Developing Brain. Neurotox. Res. 2012, 21, 128–141. [Google Scholar] [CrossRef] [PubMed]
- Jain, S.; Muneer, S.; Guerriero, G.; Liu, S.; Vishwakarma, K.; Chauhan, D.K.; Dubey, N.K.; Tripathi, D.K.; Sharma, S. Tracing the Role of Plant Proteins in the Response to Metal Toxicity: A Comprehensive Review. Plant Signal. Behav. 2018, 13, e1507401. [Google Scholar] [CrossRef] [PubMed]
- Qian, Y.; Castranova, V.; Shi, X. New Perspectives in Arsenic-Induced Cell Signal Transduction. J. Inorg. Biochem. 2003, 96, 271–278. [Google Scholar] [CrossRef]
- Singh, K.B.; Maret, W. The Interactions of Metal Cations and Oxyanions with Protein Tyrosine Phosphatase 1B. BioMetals 2017, 30, 517–527. [Google Scholar] [CrossRef]
- Pula, B.; Domoslawski, P.; Podhorska-Okolow, M.; Dziegiel, P. Role of Metallothioneins in Benign and Malignant Thyroid Lesions. Thyroid Res. 2012, 5, 26. [Google Scholar] [CrossRef]
- Bizoń, A.; Jędryczko, K.; Milnerowicz, H. The Role of Metallothionein in Oncogenesis and Cancer Treatment. Postepy Hig. Med. Doswiadczalnej 2017, 71, 98–109. [Google Scholar] [CrossRef]
- Kawada, J.; Shirakawa, Y.; Yoshimura, Y.; Nishida, M. Thyroid Xanthine Oxidase and Its Role in Thyroid Iodine Metabolism in the Rat: Difference between Effects of Allopurinol and Tungstate. J. Endocrinol. 1982, 95, 117–124. [Google Scholar] [CrossRef]
- Morales, M.E.; Derbes, R.S.; Ade, C.M.; Ortego, J.C.; Stark, J.; Deininger, P.L.; Roy-Engel, A.M. Heavy Metal Exposure Influences Double Strand Break DNA Repair Outcomes. PLoS ONE 2016, 11, e0151367. [Google Scholar] [CrossRef]
- Donaldson, K.; Stone, V.; Borm, P.J.A.; Jimenez, L.A.; Gilmour, P.S.; Schins, R.P.F.; Knaapen, A.M.; Rahman, I.; Faux, S.P.; Brown, D.M.; et al. Oxidative Stress and Calcium Signaling in the Adverse Effects of Environmental Particles (PM10). Free Radic. Biol. Med. 2003, 34, 1369–1382. [Google Scholar] [CrossRef]
- Valko, M.; Morris, H.; Cronin, M. Metals, Toxicity and Oxidative Stress. Curr. Med. Chem. 2005, 12, 1161–1208. [Google Scholar] [CrossRef] [PubMed]
- Barthel, A.; Ostrakhovitch, E.A.; Walter, P.L.; Kampkötter, A.; Klotz, L.-O. Stimulation of Phosphoinositide 3-Kinase/Akt Signaling by Copper and Zinc Ions: Mechanisms and Consequences. Arch. Biochem. Biophys. 2007, 463, 175–182. [Google Scholar] [CrossRef] [PubMed]
- Carpenter, R.L.; Jiang, B.-H. Roles of EGFR, PI3K, AKT, and MTOR in Heavy Metal-Induced Cancer. Curr. Cancer Drug Targets 2013, 13, 252–266. [Google Scholar] [CrossRef]
- Samet, J.M.; Graves, L.M.; Quay, J.; Dailey, L.A.; Devlin, R.B.; Ghio, A.J.; Wu, W.; Bromberg, P.A.; Reed, W. Activation of MAPKs in Human Bronchial Epithelial Cells Exposed to Metals. Am. J. Physiol.-Lung Cell. Mol. Physiol. 1998, 275, L551–L558. [Google Scholar] [CrossRef] [PubMed]
- Azriel-Tamir, H.; Sharir, H.; Schwartz, B.; Hershfinkel, M. Extracellular Zinc Triggers ERK-Dependent Activation of Na+/H+ Exchange in Colonocytes Mediated by the Zinc-Sensing Receptor. J. Biol. Chem. 2004, 279, 51804–51816. [Google Scholar] [CrossRef] [PubMed]
- Hao, C.; Hao, W.; Wei, X.; Xing, L.; Jiang, J.; Shang, L. The Role of MAPK in the Biphasic Dose-Response Phenomenon Induced by Cadmium and Mercury in HEK293 Cells. Toxicol. Vitr. 2009, 23, 660–666. [Google Scholar] [CrossRef] [PubMed]
- Calabrese, E.J. Hormetic Mechanisms. Crit. Rev. Toxicol. 2013, 43, 580–606. [Google Scholar] [CrossRef]
- Zafra, D.; Nocito, L.; Domínguez, J.; Guinovart, J.J. Sodium Tungstate Activates Glycogen Synthesis through a Non-Canonical Mechanism Involving G-Proteins. FEBS Lett. 2013, 587, 291–296. [Google Scholar] [CrossRef]
- Fernández-Mariño, A.I.; Cidad, P.; Zafra, D.; Nocito, L.; Domínguez, J.; Oliván-Viguera, A.; Köhler, R.; López-López, J.R.; Pérez-García, M.T.; Valverde, M.Á.; et al. Tungstate-Targeting of BKαβ1 Channels Tunes ERK Phosphorylation and Cell Proliferation in Human Vascular Smooth Muscle. PLoS ONE 2015, 10, e0118148. [Google Scholar] [CrossRef]
- Thévenod, F.; Lee, W.-K. Cadmium and Cellular Signaling Cascades: Interactions between Cell Death and Survival Pathways. Arch. Toxicol. 2013, 87, 1743–1786. [Google Scholar] [CrossRef]
- Li, D.; Wei, Y.; Xu, S.; Niu, Q.; Zhang, M.; Li, S.; Jing, M. A Systematic Review and Meta-Analysis of Bidirectional Effect of Arsenic on ERK Signaling Pathway. Mol. Med. Rep. 2018, 17, 4422–4432. [Google Scholar] [CrossRef] [PubMed]
- Zaichick, V.Y.; Tsyb, A.F.; Vtyurin, B.M. Trace Elements and Thyroid Cancer. Analyst 1995, 120, 817–821. [Google Scholar] [CrossRef] [PubMed]
- Xu, S.; Chen, G.; Peng, W.; Renko, K.; Derwahl, M. Oestrogen Action on Thyroid Progenitor Cells: Relevant for the Pathogenesis of Thyroid Nodules? J. Endocrinol. 2013, 218, 125–133. [Google Scholar] [CrossRef]
- Balali-Mood, M.; Naseri, K.; Tahergorabi, Z.; Khazdair, M.R.; Sadeghi, M. Toxic Mechanisms of Five Heavy Metals: Mercury, Lead, Chromium, Cadmium, and Arsenic. Front. Pharmacol. 2021, 12, 643972. [Google Scholar] [CrossRef] [PubMed]
- Perera, F.P. Environment and Cancer: Who Are Susceptible? Science 1997, 278, 1068–1073. [Google Scholar] [CrossRef]
- Adjadj, E.; Schlumberger, M.; de Vathaire, F. Germ-Line DNA Polymorphisms and Susceptibility to Differentiated Thyroid Cancer. Lancet Oncol. 2009, 10, 181–190. [Google Scholar] [CrossRef]
- Son, H.-Y.; Hwangbo, Y.; Yoo, S.-K.; Im, S.-W.; Yang, S.D.; Kwak, S.-J.; Park, M.S.; Kwak, S.H.; Cho, S.W.; Ryu, J.S.; et al. Genome-Wide Association and Expression Quantitative Trait Loci Studies Identify Multiple Susceptibility Loci for Thyroid Cancer. Nat. Commun. 2017, 8, 15966. [Google Scholar] [CrossRef] [PubMed]
- Wise, J.T.F.; Wang, L.; Zhang, Z.; Shi, X. The 9th Conference on Metal Toxicity and Carcinogenesis: The Conference Overview. Toxicol. Appl. Pharmacol. 2017, 331, 1–5. [Google Scholar] [CrossRef] [PubMed]




| Cu (16 nM) | CuSO4 (nM) | 1 | 10 | 100 | 1000 |
| Thyrospheres | 120.3 ± 10.3 | 136.7 ± 6.9 *** | 128.2 ± 7.8 ** | 111.3 ± 6.1 | |
| Thyrocytes | 101.6 ± 8.3 | 113.9 ± 15.0 | 103.2 ± 7.1 | 98.7 ± 7.5 | |
| Hg (0.02 nM) | HgCl2 (nM) | 0.001 | 0.01 | 0.1 | 1 |
| Thyrospheres | 108.0 ± 6.7 | 122.4 ± 7.0 * | 137.0 ± 10.16 ** | 84,94 ± 9.6 | |
| Thyrocytes | 102.5 ± 11.44 | 101.7 ± 7.0 | 104.3 ± 5.1 | 98.3 ± 12.45 | |
| Pd (0.03 nM) | PdCl2 (nM) | 0.001 | 0.01 | 0.1 | 1 |
| Thyrospheres | 129.7 ± 6.7 ** | 136.2 ± 7.2 *** | 120.9 ± 7.4 * | 114.5 ± 7.3 | |
| Thyrocytes | 92.8 ± 14.5 | 90.7 ± 6.0 | 104.1 ± 8.7 | 74.8 ± 8 | |
| W (1.1 nM) | Na2WO4 (nM) | 1 | 10 | 100 | 1000 |
| Thyrospheres | 129.9 ± 7.5 * | 159.5 ± 13.0 ** | 158.5 ± 18.6 * | 109.7 ± 8.8 | |
| Thyrocytes | 106.4 ± 8.6 | 102.5 ± 7.4 | 97.2 ± 9 | 99.7 ± 11.3 | |
| Zn (47 nM) | ZnCl2 (nM) | 10 | 100 | 1000 | 10,000 |
| Thyrospheres | 130.8 ± 10.8 * | 158.8 ± 10.1 *** | 162.2 ± 13.3 ** | 133.4 ± 11.3 | |
| Thyrocytes | 100.8 ± 10.5 | 116.5 ± 10.13 | 98.8 ± 13.32 | 97.1 ± 11.26 |
Publisher’s Note: MDPI stays neutral with regard to jurisdictional claims in published maps and institutional affiliations. |
© 2021 by the authors. Licensee MDPI, Basel, Switzerland. This article is an open access article distributed under the terms and conditions of the Creative Commons Attribution (CC BY) license (https://creativecommons.org/licenses/by/4.0/).
Share and Cite
Gianì, F.; Masto, R.; Trovato, M.A.; Malandrino, P.; Russo, M.; Pellegriti, G.; Vigneri, P.; Vigneri, R. Heavy Metals in the Environment and Thyroid Cancer. Cancers 2021, 13, 4052. https://doi.org/10.3390/cancers13164052
Gianì F, Masto R, Trovato MA, Malandrino P, Russo M, Pellegriti G, Vigneri P, Vigneri R. Heavy Metals in the Environment and Thyroid Cancer. Cancers. 2021; 13(16):4052. https://doi.org/10.3390/cancers13164052
Chicago/Turabian StyleGianì, Fiorenza, Roberta Masto, Maria Antonietta Trovato, Pasqualino Malandrino, Marco Russo, Gabriella Pellegriti, Paolo Vigneri, and Riccardo Vigneri. 2021. "Heavy Metals in the Environment and Thyroid Cancer" Cancers 13, no. 16: 4052. https://doi.org/10.3390/cancers13164052
APA StyleGianì, F., Masto, R., Trovato, M. A., Malandrino, P., Russo, M., Pellegriti, G., Vigneri, P., & Vigneri, R. (2021). Heavy Metals in the Environment and Thyroid Cancer. Cancers, 13(16), 4052. https://doi.org/10.3390/cancers13164052

