Intensity-Modulated Radiation Therapy with Simultaneous Integrated Boost for Clinically Node-Positive Prostate Cancer: A Single-Institutional Retrospective Study
Abstract
:Simple Summary
Abstract
1. Introduction
2. Materials and Methods
2.1. Patient Selection
2.2. Target Delineation
2.3. Intensity-Modulated Radiation Therapy Planning
2.4. Positioning and Treatment
2.5. Androgen Deprived Therapy
2.6. Follow-Up
2.7. Statistical Analyses
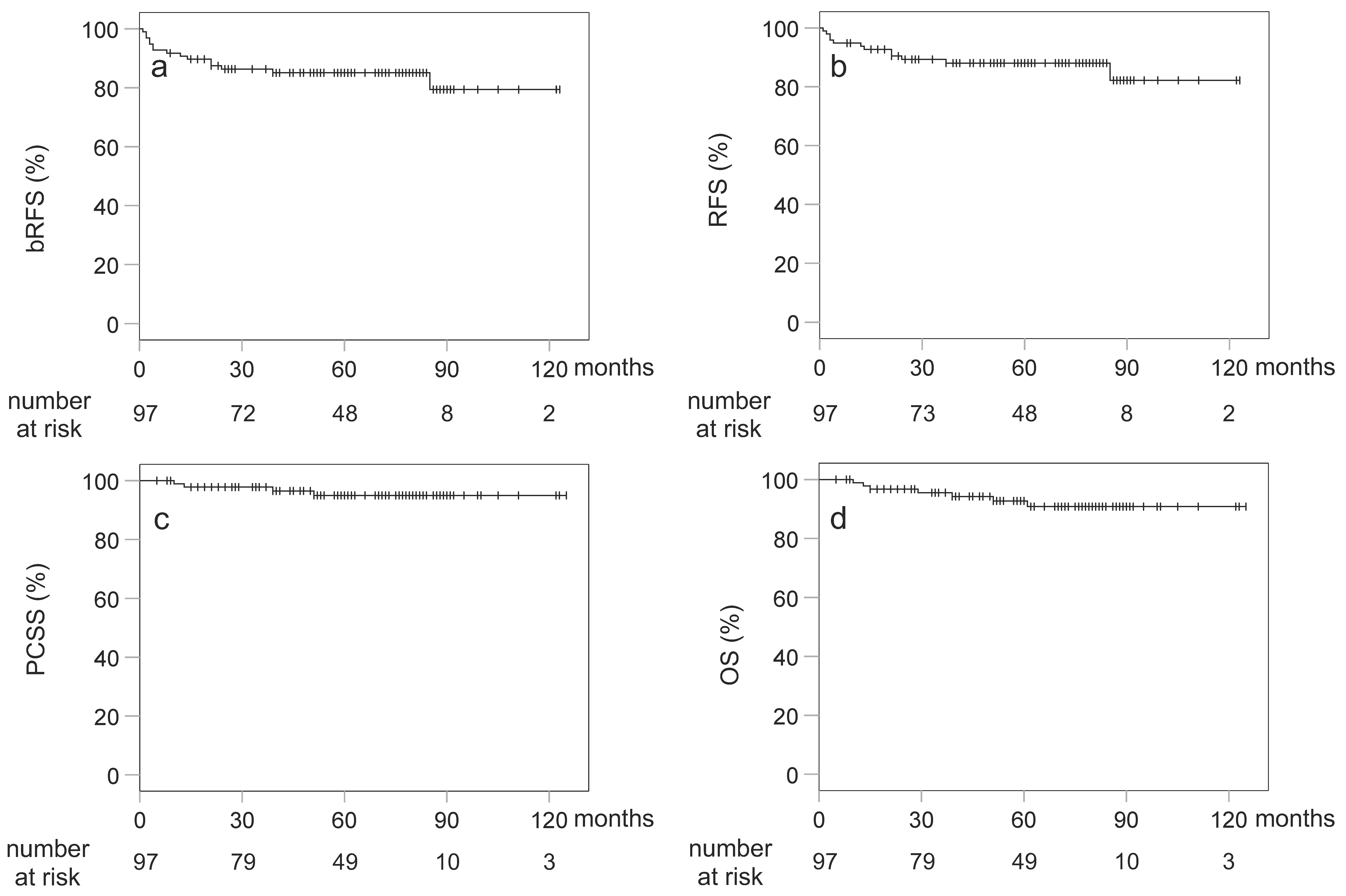
3. Results
4. Discussion
5. Conclusions
Author Contributions
Funding
Institutional Review Board Statement
Informed Consent Statement
Data Availability Statement
Conflicts of Interest
References
- Paner, G.P.; Stadler, W.M.; Hansel, D.E.; Montironi, R.; Lin, D.W.; Amin, M.B. Updates in the eighth edition of the tumor-node-metastasis staging classification for urologic cancers. Eur. Urol. 2018, 73, 560–569. [Google Scholar] [CrossRef]
- Mohler, J.L.; Armstrong, A.J.; Bahnson, R.R.; D’Amico, A.V.; Davis, B.J.; Eastham, J.A.; Enke, C.A.; Farrington, T.A.; Higano, C.S.; Horwitz, E.M.; et al. Prostate cancer, Version 1.2016. J. Natl. Compr. Canc. Netw. 2016, 14, 19–30. [Google Scholar] [CrossRef] [PubMed] [Green Version]
- Mottet, N.; Bellmunt, J.; Bolla, M.; Joniau, S.; Mason, M.; Matveev, V.; Schmid, H.P.; van der Kwast, T.; Wiegel, T.; Zattoni, F.; et al. EAU guidelines on prostate cancer. Part II: Treatment of advanced, relapsing, and castration-resistant prostate cancer. Actas Urol. Esp. 2011, 35, 565–579. [Google Scholar] [CrossRef]
- James, N.D.; Spears, M.R.; Clarke, N.W.; Dearnaley, D.P.; Mason, M.D.; Parker, C.C.; Ritchie, A.W.S.; Russell, J.M.; Schiavone, F.; Attard, G.; et al. Failure-free survival and radiotherapy in patients with newly diagnosed nonmetastatic prostate cancer: Data from patients in the control arm of the STAMPEDE trial. JAMA Oncol. 2015, 2, 1–10. [Google Scholar] [CrossRef]
- Zagars, G.K.; Pollack, A.; von Eschenbach, A.C. Addition of radiation therapy to androgen ablation improves outcome for subclinically node-positive prostate cancer. Urology 2001, 58, 233–239. [Google Scholar] [CrossRef]
- Fonteyne, V.; Gersem, W.D.; Neve, W.D.; Jacobs, F.; Lumen, N.; Vandecasteele, K.; Villeirs, G.; Meerleer, G.D. Hypofractionated intensity-modulated arc therapy for lymph node metastasized prostate cancer. Int. J. Radiat. Oncol. Biol. Phys. 2009, 75, 1013–1020. [Google Scholar] [CrossRef] [PubMed]
- Mallick, I.; Das, A.; Arunsingh, M. Moderately hypofractionated radiotherapy in node-positive prostate cancer. Clin. Oncol. 2019, 31, 260–264. [Google Scholar] [CrossRef]
- Tward, J.D.; Kokeny, K.E.; Shrieve, D.C. Radiation therapy for clinically node-positive prostate adenocarcinoma is correlated with improved overall and prostate cancer-specific survival. Pract. Radiat. Oncol. 2013, 3, 234–240. [Google Scholar] [CrossRef]
- Rusthoven, C.G.; Carlson, J.A.; Waxweiler, T.V.; Raben, D.; Dewitt, P.E.; Crawford, E.D.; Maroni, P.D.; Kavanagh, B.D. The impact of definitive local therapy for lymph node-positive prostate cancer: A population-based study. Int. J. Radiat. Oncol. Biol. Phys. 2014, 88, 1064–1073. [Google Scholar] [CrossRef]
- Lin, C.C.; Gray, P.J.; Jemal, A.; Efstathiou, J.A. Androgen deprivation with or without radiation therapy for clinically node-positive prostate cancer. J. Natl. Cancer Inst. 2015, 107. [Google Scholar] [CrossRef] [Green Version]
- Seisen, T.; Vetterlein, M.W.; Karabon, P.; Jindal, T.; Sood, A.; Nocera, L.; Nguyen, P.L.; Choueiri, T.K.; Trinh, Q.-D.; Menon, M.; et al. Efficacy of Local treatment in prostate cancer patients with clinically pelvic lymph node-positive disease at initial diagnosis. Eur. Urol. 2018, 73, 452–461. [Google Scholar] [CrossRef] [PubMed]
- Engel, J.; Bastian, P.J.; Baur, H.; Beer, V.; Chaussy, C.; Gschwend, J.E.; Oberneder, R.; Rothenberger, K.H.; Stief, C.G.; Hölzel, D. Survival benefit of radical prostatectomy in lymph node–positive patients with prostate cancer. Eur. Urol. 2010, 57, 754–761. [Google Scholar] [CrossRef]
- Ventimiglia, E.; Seisen, T.; Abdollah, F.; Briganti, A.; Fonteyne, V.; James, N.; Roach, M.; Thalmann, G.N.; Touijer, K.; Chen, R.C.; et al. A systematic review of the role of definitive local treatment in patients with clinically lymph node-positive prostate cancer. Eur. Urol. Oncol. 2019, 2, 294–301. [Google Scholar] [CrossRef]
- NCCN Clinical Practice Guidelines in Oncology Version 2.2020. Prostate Cancer. Available online: https://www.nccn.org/professionals/physician_gls/pdf/prostate.pdf (accessed on 7 November 2020).
- Lieng, H.; Kneebone, A.; Hayden, A.J.; Christie, D.R.H.; Davis, B.J.; Eade, T.N.; Emmett, L.; Holt, T.; Hruby, G.; Pryor, D.; et al. Radiotherapy for node-positive prostate cancer: 2019 Recommendations of the Australian and New Zealand Radiation Oncology Genito-Urinary Group. Radiother. Oncol. 2019, 140, 68–75. [Google Scholar] [CrossRef]
- Mottet, N.; Bellmunt, J.; Bolla, M.; Briers, E.; Cumberbatch, M.G.; Santis, M.D.; Fossati, N.; Gross, T.; Henry, A.M.; Joniau, S.; et al. EAU-ESTRO-SIOG guidelines on prostate cancer. Part 1: Screening, diagnosis, and local treatment with curative intent. Eur. Urol. 2017, 71, 618–629. [Google Scholar] [CrossRef] [PubMed]
- Viani, G.A.; Viana, B.S.; Martin, J.E.C.; Rossi, B.T.; Zuliani, G.; Stefano, E.J. Intensity-modulated radiotherapy reduces toxicity with similar biochemical control compared with 3-dimensional conformal radiotherapy for prostate cancer: A randomized clinical trial. Cancer 2016, 122, 2004–2011. [Google Scholar] [CrossRef] [Green Version]
- Hoffman, K.E.; Voong, K.R.; Levy, L.B.; Allen, P.K.; Choi, S.; Schlembach, P.J.; Lee, A.K.; McGuire, S.E.; Nguyen, Q.; Pugh, T.J.; et al. Randomized trial of hypofractionated, dose-escalated, intensity-modulated radiation therapy (IMRT) versus conventionally fractionated IMRT for localized prostate cancer. J. Clin. Oncol. 2018, 36, 2943–2949. [Google Scholar] [CrossRef]
- Zietman, A.L.; DeSilvio, M.L.; Slater, J.D.; Rossi, C.J.; Miller, D.W.; Adams, J.A.; Shipley, W.U. Comparison of conventional-dose vs high-dose conformal radiation therapy in clinically localized adenocarcinoma of the prostate: A randomized controlled trial. JAMA 2005, 294, 1233–1239. [Google Scholar] [CrossRef] [PubMed]
- Peeters, S.T.H.; Heemsbergen, W.D.; Koper, P.C.M.; van Putten, W.L.J.; Slot, A.; Dielwart, M.F.H.; Bonfrer, J.M.G.; Incrocci, L.; Lebesque, J.V. Dose-response in radiotherapy for localized prostate cancer: Results of the Dutch multicenter randomized phase III trial comparing 68 Gy of radiotherapy with 78 Gy. J. Clin. Oncol. 2006, 24, 1990–1996. [Google Scholar] [CrossRef]
- Eade, T.N.; Hanlon, A.L.; Horwitz, E.M.; Buyyounouski, M.K.; Hanks, G.E.; Pollack, A. What dose of external-beam radiation is high enough for prostate cancer? Int. J. Radiat. Oncol. Biol. Phys. 2007, 68, 682–689. [Google Scholar] [CrossRef] [Green Version]
- Kuban, D.A.; Tucker, S.L.; Dong, L.; Starkschall, G.; Huang, E.H.; Cheung, M.R.; Lee, A.K.; Pollack, A. Long-term results of the M. D. Anderson randomized dose-escalation trial for prostate cancer. Int. J. Radiat. Oncol. Biol. Phys. 2008, 70, 67–74. [Google Scholar] [CrossRef]
- Dearnaley, D.P.; Jovic, G.; Syndikus, I.; Khoo, V.; Cowan, R.A.; Graham, J.D.; Aird, E.G.; Bottomley, D.; Huddart, R.A.; Jose, C.C.; et al. Escalated-dose versus control-dose conformal radiotherapy for prostate cancer: Long-term results from the MRC RT01 randomised controlled trial. Lancet Oncol. 2014, 15, 464–473. [Google Scholar] [CrossRef] [Green Version]
- Kalbasi, A.; Li, J.; Berman, A.; Swisher-McClure, S.; Smaldone, M.; Uzzo, R.G.; Small, D.S.; Mitra, N.; Bekelman, J.E. Dose-escalated irradiation and overall survival in men with nonmetastatic prostate cancer. JAMA Oncol. 2015, 1, 897–906. [Google Scholar] [CrossRef]
- Tsuchida, K.; Inaba, K.; Kashihara, T.; Murakami, N.; Okuma, K.; Takahashi, K.; Igaki, H.; Nakayama, Y.; Maejima, A.; Shinoda, Y.; et al. Clinical outcomes of definitive whole pelvic radiotherapy for clinical lymph node metastatic prostate cancer. Cancer Med. 2020, 9, 6629–6637. [Google Scholar] [CrossRef]
- Nguyen, P.L.; D’Amico, A.V. Targeting pelvic lymph nodes in men with intermediate- and high-risk prostate cancer despite two negative randomized trials. J. Clin. Oncol. 2008, 26, 2055–2056. [Google Scholar] [CrossRef]
- Morikawa, L.K.; Roach, M. Pelvic nodal radiotherapy in patients with unfavorable intermediate and high-risk prostate cancer: Evidence, rationale, and future directions. Int. J. Radiat. Oncol. Biol. Phys. 2011, 80, 6–16. [Google Scholar] [CrossRef]
- Harris, V.A.; Staffurth, J.; Naismith, O.; Esmail, A.; Gulliford, S.; Khoo, V.; Lewis, R.; Littler, J.; McNair, H.; Sadoyze, A.; et al. Consensus guidelines and contouring atlas for pelvic node delineation in prostate and pelvic node intensity modulated radiation therapy. Int. J. Radiat. Oncol. Biol. Phys. 2015, 92, 874–883. [Google Scholar] [CrossRef]
- Lawton, C.A.F.; Michalski, J.; El-Naqa, I.; Buyyounouski, M.K.; Lee, W.R.; Menard, C.; O’Meara, E.; Rosenthal, S.A.; Ritter, M.; Seider, M. RTOG GU radiation oncology specialists reach consensus on pelvic lymph node volumes for high-risk prostate cancer. Int. J. Radiat. Oncol. Biol. Phys. 2009, 74, 383–387. [Google Scholar] [CrossRef] [PubMed] [Green Version]
- Meijer, H.J.M.; Fortuin, A.S.; van Lin, E.N.J.T.; Debats, O.A.; Witjes, J.A.; Kaanders, J.H.A.M.; Barentsz, J.O. Geographical distribution of lymph node metastases on MR lymphography in prostate cancer patients. Radiother. Oncol. 2013, 106, 59–63. [Google Scholar] [CrossRef]
- Ganswindt, U.; Schilling, D.; Müller, A.-C.; Bares, R.; Bartenstein, P.; Belka, C. Distribution of prostate sentinel nodes: A SPECT-derived anatomic atlas. Int. J. Radiat. Oncol. Biol. Phys. 2011, 79, 1364–1372. [Google Scholar] [CrossRef]
- Fortuin, A.S.; Deserno, W.M.L.L.G.; Meijer, H.J.M.; Jager, G.J.; Takahashi, S.; Debats, O.A.; Reske, S.N.; Schick, C.; Krause, B.J.; van Oort, I.; et al. Value of PET/CT and MR lymphography in treatment of prostate cancer patients with lymph node metastases. Int. J. Radiat. Oncol. Biol. Phys. 2012, 84, 712–718. [Google Scholar] [CrossRef] [Green Version]
- Warde, P.; Mason, M.; Ding, K.; Kirkbride, P.; Brundage, M.; Cowan, R.; Gospodarowicz, M.; Sanders, K.; Kostashuk, E.; Swanson, G.; et al. Combined androgen deprivation therapy and radiation therapy for locally advanced prostate cancer: A randomised, phase 3 trial. Lancet 2012, 378, 2104–2111. [Google Scholar] [CrossRef] [Green Version]
- Mason, M.D.; Parulekar, W.R.; Sydes, M.R.; Brundage, M.; Kirkbride, P.; Gospodarowicz, M.; Cowan, R.; Kostashuk, E.C.; Anderson, J.; Swanson, G.; et al. Final report of the intergroup randomized study of combined androgen-deprivation therapy plus radiotherapy versus androgen-deprivation therapy alone in locally advanced prostate cancer. J. Clin. Oncol. 2015, 33, 2143–2150. [Google Scholar] [CrossRef]
- Bolla, M.; Collette, L.; Blank, L.; Warde, P.; Dubois, J.B.; Mirimanoff, R.-O.; Storme, G.; Bernier, J.; Kuten, A.; Sternberg, C.; et al. Long-term results with immediate androgen suppression and external irradiation in patients with locally advanced prostate cancer (an EORTC Study): A phase III randomised trial. Lancet 2002, 360, 103–108. [Google Scholar] [CrossRef]
- Pilepich, M.V.; Winter, K.; Lawton, C.A.; Krisch, R.E.; Wolkov, H.B.; Movsas, B.; Hug, E.B.; Asbell, S.O.; Grignon, D. Androgen suppression adjuvant to definitive radiotherapy in prostate carcinoma—Long-term results of phase III RTOG 85–31. Int. J. Radiat. Oncol. Biol. Phys. 2005, 61, 1285–1290. [Google Scholar] [CrossRef] [PubMed]
- Roach, M.; DeSilvio, M.; Lawton, C.; Uhl, V.; Machtay, M.; Seider, M.J.; Rotman, M.; Jones, C.; Asbell, S.O.; Valicenti, R.K.; et al. Phase III trial comparing whole-pelvic versus prostate-only radiotherapy and neoadjuvant versus adjuvant combined androgen suppression: Radiation Therapy Oncology Group 9413. J. Clin. Oncol. 2003, 21, 1904–1911. [Google Scholar] [CrossRef]
- Lawton, C.A.; DeSilvio, M.; Roach, M.; Uhl, V.; Kirsch, R.; Seider, M.; Rotman, M.; Jones, C.; Asbell, S.; Valicenti, R.; et al. An update of the phase III trial comparing whole pelvic to prostate only radiotherapy and neoadjuvant to adjuvant total androgen suppression: Updated analysis of RTOG 94-13, with emphasis on unexpected hormone/radiation interactions. Int. J. Radiat. Oncol. Biol. Phys. 2007, 69, 646–655. [Google Scholar] [CrossRef] [Green Version]
- Pommier, P.; Chabaud, S.; Lagrange, J.L.; Richaud, P.; Lesaunier, F.; Prise, E.L.; Wagner, J.P.; Hay, M.H.; Beckendorf, V.; Suchaud, J.P.; et al. Is there a role for pelvic irradiation in localized prostate adenocarcinoma? Preliminary results of GETUG-01. J. Clin. Oncol. 2007, 25, 5366–5373. [Google Scholar] [CrossRef]
- Pommier, P.; Chabaud, S.; Lagrange, J.-L.; Richaud, P.; Prise, E.L.; Wagner, J.-P.; Azria, D.; Beckendorf, V.; Suchaud, J.-P.; Bernier, V.; et al. Is there a role for pelvic irradiation in localized prostate adenocarcinoma? Update of the long-term survival results of the GETUG-01 randomized study. Int. J. Radiat. Oncol. Biol. Phys. 2016, 96, 759–769. [Google Scholar] [CrossRef] [PubMed] [Green Version]
- Roach, M.; DeSilvio, M.; Valicenti, R.; Grignon, D.; Asbell, S.O.; Lawton, C.; Thomas, C.R.; Shipley, W.U. Whole-pelvis, “mini-pelvis,” or prostate-only external beam radiotherapy after neoadjuvant and concurrent hormonal therapy in patients treated in the Radiation Therapy Oncology Group 9413 trial. Int. J. Radiat. Oncol. Biol. Phys. 2006, 66, 647–653. [Google Scholar] [CrossRef] [PubMed]
- Ashman, J.B.; Zelefsky, M.J.; Hunt, M.S.; Leibel, S.A.; Fuks, Z. Whole pelvic radiotherapy for prostate cancer using 3D conformal and intensity-modulated radiotherapy. Int. J. Radiat. Oncol. Biol. Phys. 2005, 63, 765–771. [Google Scholar] [CrossRef]
- Cozzarini, C.; Fiorino, C.; Muzio, N.D.; Alongi, F.; Broggi, S.; Cattaneo, M.; Montorsi, F.; Rigatti, P.; Calandrino, R.; Fazio, F. Significant reduction of acute toxicity following pelvic irradiation with helical tomotherapy in patients with localized prostate cancer. Radiother. Oncol. 2007, 84, 164–170. [Google Scholar] [CrossRef] [PubMed]
- Arcangeli, S.; Saracino, B.; Petrongari, M.G.; Gomellini, S.; Marzi, S.; Landoni, V.; Gallucci, M.; Sperduti, I.; Arcangeli, G. Analysis of toxicity in patients with high risk prostate cancer treated with intensity-modulated pelvic radiation therapy and simultaneous integrated dose escalation to prostate area. Radiother. Oncol. 2007, 84, 148–155. [Google Scholar] [CrossRef]
- Jani, A.B.; Su, A.; Milano, M.T. Intensity-modulated versus conventional pelvic radiotherapy for prostate cancer: Analysis of acute toxicity. Urology 2006, 67, 147–151. [Google Scholar] [CrossRef]
- Muzio, N.D.; Fiorino, C.; Cozzarini, C.; Alongi, F.; Broggi, S.; Mangili, P.; Guazzoni, G.; Valdagni, R.; Calandrino, R.; Fazio, F. Phase I–II study of hypofractionated simultaneous integrated boost with tomotherapy for prostate cancer. Int. J. Radiat. Oncol. Biol. Phys. 2009, 74, 392–398. [Google Scholar] [CrossRef]
- Engels, B.; Soete, G.; Tournel, K.; Bral, S.; Coninck, P.D.; Verellen, D.; Storme, G. Helical tomotherapy with simultaneous integrated boost for high-risk and lymph node-positive prostate cancer: Early report on acute and late toxicity. Technol. Cancer Res. Treat. 2009, 8, 353–359. [Google Scholar] [CrossRef] [Green Version]
- Urbano, T.G.; Khoo, V.; Staffurth, J.; Norman, A.; Buffa, F.; Jackson, A.; Adams, E.; Hansen, V.; Clark, C.; Miles, E.; et al. Intensity-modulated radiotherapy allows escalation of the radiation dose to the pelvic lymph nodes in patients with locally advanced prostate cancer: Preliminary results of a phase I dose escalation study. Clin. Oncol. 2010, 22, 236–244. [Google Scholar] [CrossRef]
- Adkison, J.B.; McHaffie, D.R.; Bentzen, S.M.; Patel, R.R.; Khuntia, D.; Petereit, D.G.; Hong, T.S.; Tomé, W.; Ritter, M.A. Phase I trial of pelvic nodal dose escalation with hypofractionated IMRT for high-risk prostate cancer. Int. J. Radiat. Oncol. Biol. Phys. 2012, 82, 184–190. [Google Scholar] [CrossRef] [Green Version]
- Lawton, C.A.; Winter, K.; Grignon, D.; Pilepich, M.V. Androgen suppression plus radiation versus radiation alone for patients with stage D1/pathologic node-positive adenocarcinoma of the prostate: Updated results based on National Prospective Randomized Trial Radiation Therapy Oncology Group 85-31. J. Clin. Oncol. 2005, 23, 800–807. [Google Scholar] [CrossRef]
- Gillessen, S.; Attard, G.; Beer, T.M.; Beltran, H.; Bjartell, A.; Bossi, A.; Briganti, A.; Bristow, R.G.; Chi, K.N.; Clarke, N.; et al. Management of patients with advanced prostate cancer: Report of the Advanced Prostate Cancer Consensus Conference 2019. Eur. Urol. 2020, 77, 508–547. [Google Scholar] [CrossRef] [PubMed]
- Denham, J.W.; Joseph, D.; Lamb, D.S.; Spry, N.A.; Duchesne, G.; Matthews, J.; Atkinson, C.; Tai, K.-H.; Christie, D.; Kenny, L.; et al. Short-term androgen suppression and radiotherapy versus intermediate-term androgen suppression and radiotherapy, with or without zoledronic acid, in men with locally advanced prostate cancer (TROG 03.04 RADAR): 10-year results from a randomised, phase 3, factorial trial. Lancet Oncol. 2018, 20, 267–281. [Google Scholar] [CrossRef] [PubMed]
- Mottet, N.; van den Bergh, R.C.N.; Briers, E.; den Broeck, T.V.; Cumberbatch, M.G.; Santis, M.D.; Fanti, S.; Fossati, N.; Gandaglia, G.; Gillessen, S.; et al. EAU-EANM-ESTRO-ESUR-SIOG guidelines on prostate cancer—2020 update. Part 1: Screening, diagnosis, and local treatment with curative intent. Eur. Urol. 2020, 79, 243–262. [Google Scholar] [CrossRef]
- Hövels, A.M.; Heesakkers, R.A.M.; Adang, E.M.; Jager, G.J.; Strum, S.; Hoogeveen, Y.L.; Severens, J.L.; Barentsz, J.O. The diagnostic accuracy of CT and MRI in the staging of pelvic lymph nodes in patients with prostate cancer: A meta-analysis. Clin. Radiol. 2008, 63, 387–395. [Google Scholar] [CrossRef]
- Perera, M.; Papa, N.; Roberts, M.; Williams, M.; Udovicich, C.; Vela, I.; Christidis, D.; Bolton, D.; Hofman, M.S.; Lawrentschuk, N.; et al. Gallium-68 prostate-specific membrane antigen positron emission tomography in advanced prostate cancer—Updated diagnostic utility, sensitivity, specificity, and distribution of prostate-specific membrane antigen-avid lesions: A systematic review and meta-analysis. Eur. Urol. 2019, 77, 403–417. [Google Scholar] [CrossRef]


| Characteristics (n = 97) | Value |
|---|---|
| Age at treatment (years), median (range) | 69 (48–83) |
| ECOG performance status (%) | |
| 0 | 71 (73.2) |
| 1 | 26 (26.8) |
| ≥2 | 0 |
| Initial PSA level (ng/mL), median (range) | 33.0 (3.6–948.1) |
| Tumor stage (%) | |
| T1-2 | 12 (12.4) |
| T3a | 30 (30.9) |
| T3b | 39 (40.2) |
| T4 | 16 (16.5) |
| Gleason Score (%) | |
| 6 | 3 (3.1) |
| 7 | 11 (11.3) |
| 8 | 23 (23.7) |
| 9 | 54 (55.7) |
| 10 | 6 (6.2) |
| Predicted risk of pelvic lymph node involvement (Roach formula), median (range) | 51.3 (2.7–100) |
| PSA level prior to RT (ng/mL), median (range) | 0.14 (0–14.52) |
| CRPC (%) | |
| Yes | 2 (2.1) |
| No | 95 (97.9) |
| Diabetes (%) | |
| Yes | 15 (15.5) |
| No | 82 (84.5) |
| Anticoagulants (%) | |
| Yes | 11 (11.3) |
| No | 86 (88.7) |
| Characteristics (n = 97) | Value |
|---|---|
| Follow-up period (months), median (range) | 60 (5–125) |
| Androgen-deprived therapy (%) | 97 (100.0) |
| Combined androgen blockade | 92 (94.8) |
| LH-RH analogue | 4 (4.1) |
| Anti-androgen | 1 (1.0) |
| Duration period (months), median (range) | 66 (17–133) |
| Neoadjuvant ADT (%) | |
| Yes | 97 (100.0) |
| No | 0 |
| Duration period (months), median (range) | 6 (3–22) |
| Adjuvant ADT | |
| Yes | 97 (100.0) |
| No | 0 |
| Duration period (months), medina (range) | 54 (2–126) |
| Lymph nodal boost (%) | |
| Yes | 71 (73.2) |
| No | 26 (26.8) |
| Volume of CTV_LN (cc), median (range) | 0.79 (0.09–12.67) |
| Characteristics (n = 97) | n | 5 y bRFS (%) | p Value | 5 y OS (%) | p Value |
|---|---|---|---|---|---|
| T stage | |||||
| 1, 2, 3a | 42 | 90.3 | 0.352 | 97.2 | 0.367 |
| 3b, 4 | 55 | 81.1 | 89.1 | ||
| Gleason Score | |||||
| 8< | 14 | 100 | 0.097 | 100 | 0.249 |
| ≥8 | 83 | 82.5 | 91.4 | ||
| iPSA | |||||
| 20< | 34 | 79.3 | 0.084 | 95.7 | 0.792 |
| ≥20 | 63 | 90.2 | 91.4 | ||
| Lymph nodal boost | |||||
| No | 26 | 91.3 | 0.212 | 96 | 0.987 |
| Yes | 71 | 82.7 | 91.6 |
| Toxicity | G0 | G1 | G2 | G3 |
|---|---|---|---|---|
| Acute toxicity (n = 97) (%) | ||||
| GU | 24 (24.7) | 63 (64.9) | 10 (10.3) | 0 |
| GI | 63 (64.9) | 32 (33.0) | 2 (2.1) | 0 |
| Diarrhea | 71 (73.2) | 23 (23.7) | 2 (2.1) | 0 |
| Late toxicity (n = 96) (%) | ||||
| GU | 57 (59.4) | 35 (36.5) | 4 (4.2) | 0 |
| Hematuria | 92 (95.8) | 3 (3.1) | 1 (1.0) | 0 |
| GI | 73 (76.0) | 17 (17.7) | 5 (5.2) | 1 (1.0) |
| Rectal hemorrhage | 75 (78.1) | 15 (15.6) | 5 (5.2) | 1 (1.0) |
| Diarrhea | 95 (99.0) | 1 (1.0) | 0 | 0 |
| Study | Study Design | No. of Patients | Median Follow-Up (y) | Primary Treatment | Treatment Detail | ADT | Outcome | No RT | RT |
|---|---|---|---|---|---|---|---|---|---|
| Present study | Retrospective, single-institution | 97 | 5.0 | ADT + RT | EBRT, prostate + pelvis | All patients | 5 y OS 5 y PCSS 5 y bRFS 5 y RFS | 93% 95% 85% 88% | |
| Zagars et al., 2001 [5] | Retrospective, single-institution | pN1: 255 | ADT: 9.4 ADT+RT: 6.2 | ADT vs. ADT + RT | EBRT, prostate | All patients | 5 y OS 10 y OS | 83% 46% | 92% 67% (p = 0.008) |
| Fonteyne et al., 2009 [6] | Retrospective, single-institution | cN1: 25 pN1:55 | 3.0 | ADT + RT | EBRT, prostate + pelvis | All patients | 3 y bRFS 3 y RFS | 81% 89% | |
| Mallick et al., 2019 [7] | Retrospective, single-institution | 61 | 4.0 | ADT + RT | EBRT, prostate + pelvis | All patients | 4 y OS 4 y RFS | 91% 77.5% | |
| Tward et al., 2013 [8] | Retrospective, population based, SEER | 1100 | 7.5 | No RT vs. RT | EBRT, brachytherapy | N/A | 5 y OS 5 y PCSS | 56% 71% | 68% (p < 0.01) 78% (p < 0.01) |
| Rusthoven et al., 2014 [9] | Retrospective, population based, SEER | 796 | 6.8 | No RT vs. RT | EBRT | N/A | 10 y OS 10 y PCSS | 29% 53% | 45% (p < 0.01) 67% (p < 0.01) |
| Lin et al., 2015 [4] | Retrospective, population based, NCDB | 636 | 2.7 | ADT vs. ADT + RT | EBRT | All patients | 5 y OS | 49% | 72% (p < 0.01) |
| James et al., 2015 [10] | Prospective, multi-institutions, exploratory analysis | 157 | N/A | ADT vs. ADT + RT | EBRT, prostate ± pelvis | All patients | 2 y FFS | 53% | 81% |
Publisher’s Note: MDPI stays neutral with regard to jurisdictional claims in published maps and institutional affiliations. |
© 2021 by the authors. Licensee MDPI, Basel, Switzerland. This article is an open access article distributed under the terms and conditions of the Creative Commons Attribution (CC BY) license (https://creativecommons.org/licenses/by/4.0/).
Share and Cite
Onishi, M.; Kawamura, H.; Murata, K.; Inoue, T.; Murata, H.; Takakusagi, Y.; Okonogi, N.; Ohkubo, Y.; Okamoto, M.; Kaminuma, T.; et al. Intensity-Modulated Radiation Therapy with Simultaneous Integrated Boost for Clinically Node-Positive Prostate Cancer: A Single-Institutional Retrospective Study. Cancers 2021, 13, 3868. https://doi.org/10.3390/cancers13153868
Onishi M, Kawamura H, Murata K, Inoue T, Murata H, Takakusagi Y, Okonogi N, Ohkubo Y, Okamoto M, Kaminuma T, et al. Intensity-Modulated Radiation Therapy with Simultaneous Integrated Boost for Clinically Node-Positive Prostate Cancer: A Single-Institutional Retrospective Study. Cancers. 2021; 13(15):3868. https://doi.org/10.3390/cancers13153868
Chicago/Turabian StyleOnishi, Masahiro, Hidemasa Kawamura, Kazutoshi Murata, Tatsuro Inoue, Hiroto Murata, Yosuke Takakusagi, Noriyuki Okonogi, Yu Ohkubo, Masahiko Okamoto, Takuya Kaminuma, and et al. 2021. "Intensity-Modulated Radiation Therapy with Simultaneous Integrated Boost for Clinically Node-Positive Prostate Cancer: A Single-Institutional Retrospective Study" Cancers 13, no. 15: 3868. https://doi.org/10.3390/cancers13153868
APA StyleOnishi, M., Kawamura, H., Murata, K., Inoue, T., Murata, H., Takakusagi, Y., Okonogi, N., Ohkubo, Y., Okamoto, M., Kaminuma, T., Sekihara, T., Nakano, T., & Ohno, T. (2021). Intensity-Modulated Radiation Therapy with Simultaneous Integrated Boost for Clinically Node-Positive Prostate Cancer: A Single-Institutional Retrospective Study. Cancers, 13(15), 3868. https://doi.org/10.3390/cancers13153868

