Randomized Trial Assessing the Impact of Routine Assessment of Health-Related Quality of Life in Patients with Head and Neck Cancer
Abstract
:Simple Summary
Abstract
1. Introduction
2. Materials and Methods
2.1. Study Design
2.2. Participants
2.3. Randomization
2.4. Study Procedure
2.5. Intervention
2.6. Trial Endpoints
2.7. Statistical Analyses
3. Results
3.1. Participant Enrollment and Baseline Characteristics
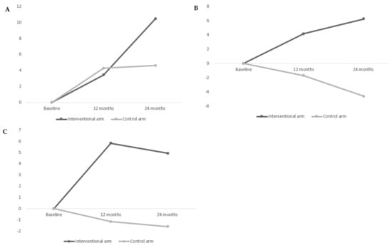
3.2. Intervention Effects on HRQoL and Satisfaction
3.3. Concomitant Treatments
4. Discussion
5. Conclusions
Supplementary Materials
Author Contributions
Funding
Institutional Review Board Statement
Informed Consent Statement
Data Availability Statement
Acknowledgments
Conflicts of Interest
References
- Nigro, C.L.; Denaro, N.; Merlotti, A.; Merlano, M. Head and neck cancer: Improving outcomes with a multidisciplinary approach. Cancer Manag. Res. 2017, 9, 363–371. [Google Scholar] [CrossRef] [Green Version]
- Gillison, M.L.; Chaturvedi, A.K.; Anderson, W.F.; Fakhry, C. Epidemiology of Human Papillomavirus–Positive Head and Neck Squamous Cell Carcinoma. J. Clin. Oncol. 2015, 33, 3235–3242. [Google Scholar] [CrossRef] [Green Version]
- Vokes, E.E.; Agrawal, N.; Seiwert, T.Y. HPV-Associated Head and Neck Cancer. J. Natl. Cancer Inst. 2015, 107, djv344. [Google Scholar] [CrossRef] [Green Version]
- Habbous, S.; Chu, K.P.; Lau, H.; Schorr, M.; Belayneh, M.; Ha, M.N.; Murray, S.; O’Sullivan, B.; Huang, S.H.; Snow, S.; et al. Human papillomavirus in oropharyngeal cancer in Canada: Analysis of 5 comprehensive cancer centres using multiple imputation. Can. Med Assoc. J. 2017, 189, E1030–E1040. [Google Scholar] [CrossRef] [PubMed] [Green Version]
- Krebber, A.M.H.; Buffart, L.M.; Kleijn, G.; Riepma, I.C.; De Bree, R.; Leemans, C.R.; Becker, A.; Brug, J.; van Straten, A.; Cuijpers, P.; et al. Prevalence of depression in cancer patients: A meta-analysis of diagnostic interviews and self-report instruments. Psycho-Oncology 2014, 23, 121–130. [Google Scholar] [CrossRef]
- Greco, E.; Simic, T.; Ringash, J.; Tomlinson, G.; Inamoto, Y.; Martino, R. Dysphagia Treatment for Patients with Head and Neck Cancer Undergoing Radiation Therapy: A Meta-analysis Review. Int. J. Radiat. Oncol. 2018, 101, 421–444. [Google Scholar] [CrossRef] [PubMed]
- Karsten, R.T.; Van Der Molen, L.; Hamming-Vrieze, O.; Van Son, R.J.J.H.; Hilgers, F.J.M.; Brekel, M.W.M.V.D.; Stuiver, M.M.; Smeele, L.E. Long-term swallowing, trismus, and speech outcomes after combined chemoradiotherapy and preventive rehabilitation for head and neck cancer; 10-year plus update. Head Neck 2020, 42, 1907–1918. [Google Scholar] [CrossRef]
- Mercadante, V.; Al Hamad, A.; Lodi, G.; Porter, S.; Fedele, S. Interventions for the management of radiotherapy-induced xerostomia and hyposalivation: A systematic review and meta-analysis. Oral Oncol. 2017, 66, 64–74. [Google Scholar] [CrossRef]
- Dugué, J.; Humbert, M.; Bendiane, M.-K.; Bouhnik, A.-D.; Babin, E.; Licaj, I. Head and neck cancer survivors’ pain in France: The VICAN study. J. Cancer Surviv. 2021, 1–13. [Google Scholar] [CrossRef]
- Nguyen, N.-T.A.; Ringash, J. Head and Neck Cancer Survivorship Care: A Review of the Current Guidelines and Remaining Unmet Needs. Curr. Treat. Options Oncol. 2018, 19, 44. [Google Scholar] [CrossRef]
- Langius, J.A.E.; Van Dijk, A.M.; Doornaert, P.; Kruizenga, H.M.; Langendijk, J.A.; Leemans, C.R.; Weijs, P.J.M.; Leeuw, I.V.-D. More Than 10% Weight Loss in Head and Neck Cancer Patients During Radiotherapy Is Independently Associated with Deterioration in Quality of Life. Nutr. Cancer 2013, 65, 76–83. [Google Scholar] [CrossRef]
- So, W.K.W.; Choi, K.C.; Chen, J.M.T.; Chan, C.W.; Chair, S.Y.; Fung, O.W.M.; Wan, R.W.M.; Mak, S.S.S.; Ling, W.M.; Ng, W.T.; et al. Quality of life in head and neck cancer survivors at 1 year after treatment: The mediating role of unmet supportive care needs. Support. Care Cancer 2014, 22, 2917–2926. [Google Scholar] [CrossRef]
- Leeuw, I.M.V.-D.; Buffart, L.M.; Heymans, M.; Rietveld, D.H.; Doornaert, P.; de Bree, R.; Buter, J.; Aaronson, N.K.; Slotman, B.J.; Leemans, C.R.; et al. The course of health-related quality of life in head and neck cancer patients treated with chemoradiation: A prospective cohort study. Radiother. Oncol. 2014, 110, 422–428. [Google Scholar] [CrossRef]
- Liao, L.-J.; Hsu, W.-L.; Lo, W.-C.; Cheng, P.-W.; Shueng, P.-W.; Hsieh, C.-H. Health-related quality of life and utility in head and neck cancer survivors. BMC Cancer 2019, 19, 425. [Google Scholar] [CrossRef] [Green Version]
- Ge, X.; Liao, Z.; Yuan, J.; Mao, D.; Li, Y.; Yu, E.; Wang, X.; Ding, Z. Radiotherapy-related quality of life in patients with head and neck cancers: A meta-analysis. Support. Care Cancer 2020, 28, 2701–2712. [Google Scholar] [CrossRef]
- Lima, E.D.N.S.; Ferreira, I.B.; Lajolo, P.P.; Paiva, C.E.; Maia, Y.C.D.P.; Pena, G.D.G. Health-related quality of life became worse in short-term during treatment in head and neck cancer patients: A prospective study. Health Qual. Life Outcomes 2020, 18, 1–12. [Google Scholar] [CrossRef]
- Demez, P.H.; Moreau, P.R. Perception of head and neck cancer quality of life within the medical world: A multicultural study. Head Neck 2009, 31, 1056–1067. [Google Scholar] [CrossRef] [PubMed]
- Lohr, K.N. Applications of Health Status Assessment Measures in Clinical Practice. Med. Care 1992, 30, MS1–MS14. [Google Scholar] [CrossRef] [PubMed]
- Velikova, G.; Brown, J.; Smith, A.B.; Selby, P.J. Computer-based quality of life questionnaires may contribute to doctor–patient interactions in oncology. Br. J. Cancer 2002, 86, 51–59. [Google Scholar] [CrossRef] [PubMed] [Green Version]
- Velikova, G.; Keding, A.; Harley, C.; Cocks, K.; Booth, L.; Smith, A.B.; Wright, P.; Selby, P.J.; Brown, J.M. Patients report improvements in continuity of care when quality of life assessments are used routinely in oncology practice: Secondary outcomes of a randomised controlled trial. Eur. J. Cancer 2010, 46, 2381–2388. [Google Scholar] [CrossRef] [PubMed] [Green Version]
- Basch, E.; Deal, A.M.; Kris, M.G.; Scher, H.I.; Hudis, C.A.; Sabbatini, P.; Rogak, L.; Bennett, A.V.; Dueck, A.C.; Atkinson, T.M.; et al. Symptom Monitoring with Patient-Reported Outcomes During Routine Cancer Treatment: A Randomized Controlled Trial. J. Clin. Oncol. 2016, 34, 557–565. [Google Scholar] [CrossRef] [PubMed]
- Denis, F.; Lethrosne, C.; Pourel, N.; Molinier, O.; Pointreau, Y.; Domont, J.; Bourgeois, H.; Senellart, H.; Trémolières, P.; Lizée, T.; et al. Randomized Trial Comparing a Web-Mediated Follow-up with Routine Surveillance in Lung Cancer Patients. J. Natl. Cancer Inst. 2017, 109. [Google Scholar] [CrossRef] [Green Version]
- Büttner, M.; Zebralla, V.; Dietz, A.; Singer, S. Quality of Life Measurements: Any Value for Clinical Practice? Curr. Treat. Options Oncol. 2017, 18, 30. [Google Scholar] [CrossRef] [PubMed]
- Velikova, G.; Booth, L.; Smith, A.B.; Brown, P.M.; Lynch, P.; Brown, J.M.; Selby, P.J. Measuring Quality of Life in Routine Oncology Practice Improves Communication and Patient Well-Being: A Randomized Controlled Trial. J. Clin. Oncol. 2004, 22, 714–724. [Google Scholar] [CrossRef] [PubMed]
- Aaronson, N.K.; Ahmedzai, S.; Bergman, B.; Bullinger, M.; Cull, A.; Duez, N.J.; Filiberti, A.; Flechtner, H.; Fleishman, S.B.; De Haes, J.C.; et al. The European Organization for Research and Treatment of Cancer QLQ-C30: A Quality-of-Life Instrument for Use in International Clinical Trials in Oncology. J. Natl. Cancer Inst. 1993, 85, 365–376. [Google Scholar] [CrossRef] [PubMed]
- Bjordal, K.; de Graeff, A.; Fayers, P.; Hammerlid, E.; van Pottelsberghe, C.; Curran, D.; Ahlner-Elmqvist, M.; Maher, E.; Meyza, J.; Brédart, A.; et al. A 12 country field study of the EORTC QLQ-C30 (version 3.0) and the head and neck cancer specific module (EORTC QLQ-H&N35) in head and neck patients. Eur. J. Cancer 2000, 36, 1796–1807. [Google Scholar] [CrossRef] [PubMed]
- Garratt, A.; Schmidt, L.; Mackintosh, A.; Fitzpatrick, R. Quality of life measurement: Bibliographic study of patient assessed health outcome measures. BMJ 2002, 324, 1417. [Google Scholar] [CrossRef] [Green Version]
- The EuroQol Group. EuroQol—A new facility for the measurement of health-related quality of life. Health Policy 1990, 16, 199–208. [Google Scholar] [CrossRef]
- Herdman, M.; Gudex, C.; Lloyd, A.; Janssen, M.; Kind, P.; Parkin, D.; Bonsel, G.; Badia, X. Development and preliminary testing of the new five-level version of EQ-5D (EQ-5D-5L). Qual. Life Res. 2011, 20, 1727–1736. [Google Scholar] [CrossRef] [Green Version]
- Brédart, A.; Mignot, V.; Rousseau, A.; Dolbeault, S.; Beauloye, N.; Adam, V.; Elie, C.; Léonard, I.; Asselain, B.; Conroy, T. Validation of the EORTC QLQ-SAT32 cancer inpatient satisfaction questionnaire by self- versus interview-assessment comparison. Patient Educ. Couns. 2004, 54, 207–212. [Google Scholar] [CrossRef]
- Osoba, D.; Rodrigues, G.; Myles, J.; Zee, B.C.-Y.; Pater, J. Interpreting the significance of changes in health-related quality-of-life scores. J. Clin. Oncol. 1998, 16, 139–144. [Google Scholar] [CrossRef]
- Langendijk, J.A.; Doornaert, P.; Leeuw, I.V.-D.; Leemans, C.R.; Aaronson, N.K.; Slotman, B. Impact of Late Treatment-Related Toxicity on Quality of Life Among Patients with Head and Neck Cancer Treated With Radiotherapy. J. Clin. Oncol. 2008, 26, 3770–3776. [Google Scholar] [CrossRef]
- Taberna, M.; Rullán, A.J.; Hierro, C.; Navarro, V.; Vázquez, S.; Lozano, A.; Vilajosana, E.; Maños, M.; Marí, A.; Viñals, J.M.; et al. Late toxicity after radical treatment for locally advanced head and neck cancer. Oral Oncol. 2015, 51, 795–799. [Google Scholar] [CrossRef] [PubMed]
- Lee, Y.A.; Li, S.; Chen, Y.; Li, Q.; Chen, C.; Hsu, W.; Lou, P.; Zhu, C.; Pan, J.; Shen, H.; et al. Tobacco smoking, alcohol drinking, betel quid chewing, and the risk of head and neck cancer in an East Asian population. Head Neck 2018, 41, 92–102. [Google Scholar] [CrossRef] [PubMed] [Green Version]
- Hilarius, D.L.; Kloeg, P.H.; Gundy, C.M.; Aaronson, N.K. Use of health-related quality-of-life assessments in daily clinical oncology nursing practice. Cancer 2008, 113, 628–637. [Google Scholar] [CrossRef]
- Santana, M.-J.; Feeny, D.; Johnson, J.; McAlister, F.A.; Kim, D.; Weinkauf, J.; Lien, D.C. Assessing the use of health-related quality of life measures in the routine clinical care of lung-transplant patients. Qual. Life Res. 2010, 19, 371–379. [Google Scholar] [CrossRef] [PubMed]
- Detmar, S.B.; Muller, M.J.; Schornagel, J.H.; Wever, L.D.V.; Aaronson, N.K. Health-Related Quality-of-Life Assessments and Patient-Physician Communication. JAMA 2002, 288, 3027–3034. [Google Scholar] [CrossRef] [PubMed]
- Graupner, C.; Kimman, M.L.; Mul, S.; Slok, A.H.M.; Claessens, D.; Kleijnen, J.; Dirksen, C.D.; Breukink, S.O. Patient outcomes, patient experiences and process indicators associated with the routine use of patient-reported outcome measures (PROMs) in cancer care: A systematic review. Support. Care Cancer 2021, 29, 573–593. [Google Scholar] [CrossRef]
- Cella, D.F.; Tulsky, D.S.; Gray, G.; Sarafian, B.; Linn, E.; Bonomi, A.; Silberman, M.; Yellen, S.B.; Winicour, P.; Brannon, J. The Functional Assessment of Cancer Therapy scale: Development and validation of the general measure. J. Clin. Oncol. 1993, 11, 570–579. [Google Scholar] [CrossRef]


| Baseline (before Randomization and Radiotherapy | Every Week during Radiotherapy (7 Weeks) | At 3, 6, and 9 Months after Radiotherapy | At 1 Year after Radiotherapy (+/−2 Months) | At 2 Years after Radiotherapy (+/−2 Months) | ||||||
|---|---|---|---|---|---|---|---|---|---|---|
| Intervention | Control | Intervention | Control | Intervention | Control | Intervention | Control | Intervention | Control | |
| QLQ-C30 a | X | X | X | X | X | X | X | X | ||
| H&N35 a | X | X | X | X | X | X | X | X | ||
| EUROQOL b | X | X | X | X | X | X | ||||
| SAT32 b | X | X | X | X | X | X | ||||
| Clinical variables | X | X | X | X | X | X | X | X | X | X |
| TOTAL | Intervention | Control | p-Value | |
|---|---|---|---|---|
| N = 200 | (N = 100) | (N = 100) | ||
| n (%) | n (%) | n (%) | ||
| Age median (Min–Max) | 59.65 (36.56–87.89) | 58.83 (36.56–87.89) | 56.7 (39.8–86.56) | 0.61 |
| Sex | ||||
| Men | 154 (77.00) | 77 (77.00) | 77(77.00) | 1.00 |
| Women | 46 (23.00) | 23 (23.00) | 23 (23.00) | |
| Body mass index (kg/m2) | 23.97 (20.66–27.55) | 25 (20.70–28.15) | 23.11 (20.59–26.28) | 0.14 |
| Charlson comorbidity score | 0.02 | |||
| At least one | 159 (79.50) | 73 (73.00) | 86 (86.00) | |
| No comorbidity | 41 (20.50) | 27 (27.00) | 14 (14.00) | |
| Smoking status | 0.61 | |||
| Nonsmoker | 26 (13.20) | 12 (12.00) | 14 (14,43) | |
| Current smoker/former smoker | 171 (86.80) | 88 (88.00) | 83 (85.57) | |
| Missing data | 3 | - | 3 | |
| Current alcohol consumption | 0.007 | |||
| No | 140 (70.35) | 62 (63.92) | 78 (81.25) | |
| Yes | 53 (26.63) | 35 (36.08) | 18 (18.75) | |
| Missing data | 7 | 3 | 4 | |
| Cancer subsite | 0.96 | |||
| Oral cavity | 41 (20.60) | 20 (20.00) | 21 (21.21) | |
| pharynx | 89 (44.72 | 46 (46.00) | 43 (43.43) | |
| Larynx | 35 (17.59) | 18 (18.00) | 17 (17.17) | |
| Sinus | 13 (6.53) | 7 (7.00) | 6 (6.06) | |
| Salivary glands and others | 22 (10.55) | 9 (9.00) | 13 (12.12) | |
| Cancer stage | 0.62 | |||
| I | 55(29.57) | 27 (28.42) | 28 (30.77) | |
| II | 61(32.80) | 35 (36.84) | 26 (28.57) | |
| III | 70 (37.63) | 33 (34.74) | 37 (40.66) | |
| Surgery | 0.48 | |||
| Yes | 180 (90.45) | 89 (89.00) | 91 (91.92) | |
| No | 19 (9.55) | 11 (11.00) | 8 (8.08) | |
| Missing data | 1 | 1 | ||
| Chemotherapy | 0.79 | |||
| No | 87 (44.39) | 43 (43.43) | 44 (45.36) | |
| Yes | 109 (55.61) | 56 (56.57) | 53 (54.64) | |
| Missing data | 4 | 1 | 3 |
| Baseline Mean Score (SD) | Mean Change from Baseline to 1 Year (SD) | Mean Change from Baseline to 2 Years (SD) | ||||||||
|---|---|---|---|---|---|---|---|---|---|---|
| EuroQol-5D | Intervention (n = 100) | Control (n = 100) | p | Intervention | Control | p | Intervention | Control | MD | p |
| EQ-D5 index | 0.72 (0.25) | 0.76 (0.26) | 0.44 | 0.04 (0.24) | 0.04 (0.24) | 0.91 | 0.07 (0.19) | 0.06 (0.23) | 0.01 | 0.43 |
| EQ VAS | 65.50 (24.10) | 68.80 (19.50) | 0.63 | 3.44 (17.78) | 4.28 (18.48) | 0.33 | 10.46 (19.00) a | 4.62 (21.26) | 5.84 | 0.49 |
| Baseline Mean Score (SD) | Mean Change from Baseline to 1 Year (SD) | Mean Change from Baseline to 2 Years (SD) | ||||||||
|---|---|---|---|---|---|---|---|---|---|---|
| QLQ-SAT32 Scales | Intervention (n = 100) | Control (n = 100) | p | Intervention | Control | p | Intervention | Control | MD | p |
| Satisfaction with Doctors | ||||||||||
| Interpersonal qualities | 77.70 (21.20) | 74.19 (21.30) | 0.26 | 1.68 (19.51) | −4.08 (26.68) | 0.21 | 1.25 (21.06) | −2.13 (26.42) | 3.38 | 0.62 |
| Technical skills | 78.80 (15.90) | 75.10 (18.60) | 0.27 | 2.34 (16.87) | 0.36 (21.13) | 0.57 | 1.83 (17.03) | −1.01 (20.51) | 2.85 | 0.82 |
| Information | 76.20 (19.80) | 71.40 (22.00) | 0.13 | 0.66 (20.71) | −3.99 (29.47) | 0.18 | −2.19 (15.24) | −2.18 (25.84) | −0.005 | 0.59 |
| Availability | 75.50 (20.80) | 68.00 (23.70) | 0.05 | 1.12 (18.81) | −1.04 (25.63) | 0.74 | 1.25 (19.77) | 1.45 (28.24) | −0.2 | 0.83 |
| Satisfaction with Nurses | ||||||||||
| Interpersonal qualities | 80.00 (19.70) | 76.65 (21.10) | 0.37 | 1.92 (17.05) | −2.81 (21.36) | 0.16 | 0.49 (17.84) | −0.88 (22.68) | 1.37 | 0.84 |
| Technical skills | 80.90 (19.10) | 75.10 (20.80) | 0.09 | 0.35 (19.90) | −1.32 (23.01) | 0.60 | −1.62 (18.12) | 0.0003 (28.84) | −1.62 | 0.97 |
| Information | 75.50 (20.60) | 68.20 (24.6) | 0.06 | 2.87 (20.60) | −2.71 (26.23) | 0.20 | 2.69 (21.34) | −1.66 (21.86) | 4.35 | 0.33 |
| Availability | 77.50 (21.20) | 73.10 (23.00) | 0.23 | 1.99 (17.46) | −3.53 (26.04) | 0.16 | 0.78 (18.49) | −4.06 (26.00) | 4.84 | 0.37 |
| Satisfaction with Services | ||||||||||
| Interpersonal quality/information | 76.30 (19.10) | 72.90 (21.10) | 0.32 | 4.75 (16.53) | −5.09 (25.94) | 0.06 | −0.67 (21.46) | −3.26 (19.02) | 2.59 | 0.51 |
| Waiting time | 70.20 (23.90) | 65.10 (25.60) | 0.21 | 4.17 (22.92) | −1.70 (26.08) | 0.15 | 6.25 (21.81) | −4.60 (25.07) | 10.85 | 0.11 |
| Accessibility | 61.80 (26.10) | 55.50 (24.80) | 0.16 | 5.83 (27.12) | −1.16 (28.58) | 0.11 | 4.92 (26.50) | −1.60 (24.53) | 6.52 | 0.28 |
| Exchange of information | 69.60 (24.00) | 64.50 (25.80) | 0.23 | 5.68 (25.21) | −4.07 (29.34) | 0.06 | 3.12 (30.29) | 0 (25.75) | 3.12 | 0.33 |
| Comfort | 70.60 (23.60) | 65.70 (23.40) | 0.14 | 7.05 (24.30) | 2.38 (29.18) | 0.08 | 5.01 (21.17) | 1.31 (27.84) | 3.68 | 0.42 |
| Overall Satisfaction | 77.50 (19.60) | 72.42 (22.10) | 0.15 | 5.00 (18.08) | - 0.61 (22.69) | 0.16 | 3.79 (17.81) | −0.74 (23.86) | 4.5 | 0.27 |
| Concomitant Treatment | TOTAL (N = 200) | Intervention (N = 100) | Control (N = 100) | p-Value |
|---|---|---|---|---|
| n (%) | n (%) | n (%) | ||
| Painkillers | 0.1552 | |||
| No | 32 (17.98) | 20 (21.98) | 12 (13.79) | |
| yes | 146 (82.02) | 71 (78.02) | 75 (86.21) | |
| Missing data | 22 | 9 | 13 | |
| Antidiarrhea | 0.2120 | |||
| No | 160 (93.57) | 79 (90.80) | 81 (86.43) | |
| yes | 11 (6.43) | 8 (9.20) | 3 (3.57) | |
| Missing data | 29 | 13 | 16 | |
| Antiemetic | 0.2325 | |||
| No | 90 (51.14) | 51 (55.43) | 39 (46.43) | |
| yes | 86 (48.64) | 41 (44.57) | 45 (53.57) | |
| Missing data | 24 | 8 | 16 | |
| Psychotropics | 0.8963 | |||
| No | 120 (68.57) | 62 (68.13) | 58 (69.05) | |
| yes | 55 (31.43) | 29 (31.87) | 26 (30.95) | |
| Missing data | 25 | 9 | 16 | |
| Diet | 0.1821 | |||
| No | 54 (31.76) | 32 (36.36) | 22 (26.83) | |
| yes | 116 (68.24) | 56 (63.64) | 60 (73.71) | |
| Missing data | 30 | 12 | 18 | |
| Antibiotic | 0.9258 | |||
| No | 120 (68.57) | 62 (68.89) | 58 (68.24) | |
| yes | 55 (31.43) | 28 (31.11) | 27 (31.76) | |
| Missing data | 25 | 10 | 15 |
Publisher’s Note: MDPI stays neutral with regard to jurisdictional claims in published maps and institutional affiliations. |
© 2021 by the authors. Licensee MDPI, Basel, Switzerland. This article is an open access article distributed under the terms and conditions of the Creative Commons Attribution (CC BY) license (https://creativecommons.org/licenses/by/4.0/).
Share and Cite
Billa, O.; Bonnetain, F.; Chamois, J.; Ligey, A.; Ganansia, V.; Noel, G.; Renard, S.; Maillard, S.; Quivrin, M.; Vulquin, N.; et al. Randomized Trial Assessing the Impact of Routine Assessment of Health-Related Quality of Life in Patients with Head and Neck Cancer. Cancers 2021, 13, 3826. https://doi.org/10.3390/cancers13153826
Billa O, Bonnetain F, Chamois J, Ligey A, Ganansia V, Noel G, Renard S, Maillard S, Quivrin M, Vulquin N, et al. Randomized Trial Assessing the Impact of Routine Assessment of Health-Related Quality of Life in Patients with Head and Neck Cancer. Cancers. 2021; 13(15):3826. https://doi.org/10.3390/cancers13153826
Chicago/Turabian StyleBilla, Oumar, Franck Bonnetain, Jérôme Chamois, Angeline Ligey, Valérie Ganansia, Georges Noel, Sophie Renard, Sophie Maillard, Magali Quivrin, Noémie Vulquin, and et al. 2021. "Randomized Trial Assessing the Impact of Routine Assessment of Health-Related Quality of Life in Patients with Head and Neck Cancer" Cancers 13, no. 15: 3826. https://doi.org/10.3390/cancers13153826
APA StyleBilla, O., Bonnetain, F., Chamois, J., Ligey, A., Ganansia, V., Noel, G., Renard, S., Maillard, S., Quivrin, M., Vulquin, N., Truntzer, P., Dabakuyo-Yonli, T. S., & Maingon, P. (2021). Randomized Trial Assessing the Impact of Routine Assessment of Health-Related Quality of Life in Patients with Head and Neck Cancer. Cancers, 13(15), 3826. https://doi.org/10.3390/cancers13153826

