Insight into Codon Utilization Pattern of Tumor Suppressor Gene EPB41L3 from Different Mammalian Species Indicates Dominant Role of Selection Force
Abstract
Simple Summary
Abstract
1. Introduction
2. Materials and Methods
2.1. Sequence Data Retrieval
2.2. Nucleotide Content Analysis
2.3. Relative Dinucleotide Abundance Analysis
2.4. Relative Synonymous Codon Usage Analysis
2.5. Effective Number of Codons Analysis
2.6. Neutrality Plot
2.7. Parity Rule Two Bias Plot Analysis
2.8. Codon Adaptation Index Analysis
2.9. ENc-GC3 Plot
2.10. Translational Selection (P2)
2.11. Abundance Analysis of tRNA
3. Results
3.1. Nucleotide Composition in the EPB41L3 Gene Indicated G/C-Ending Codons Preference
3.2. Relative Dinucleotide Abundance Analysis Indicated GpA as the Most Abundant Dinucleotide Owing to Overall High GA Nucleotide Content
3.3. Relative Synonymous Codon Usage in the EPB41L3 Gene Revealed Preference of GpA-Ending Codons across the Selected Mammalian Species
3.4. Neutrality Plot Showed Dominance of Selection Pressure
3.5. Parity Analysis Indicated Predilection for A/G over U/C at the Third Codon Position Owing to Selection Pressure
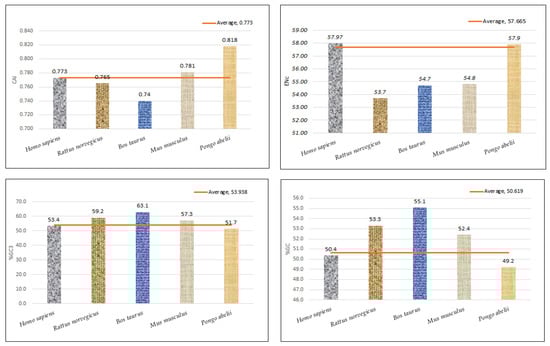
3.6. Codon Adaptation Index Close to 1 Shows Better Adaptation
3.7. Mutational Force Plays a Minor Role in Configuring the CUB of the EPB41L3 Gene
3.8. Relevance of Bias in the Use of Codons and Compositional Attributes
3.9. P2 Analysis Indicated High Expression Level of the EPB41L3 Gene among the Envisaged Species and Dominance of Translational Selection
3.10. Codon Utilization Trends in the EPB41L3 Gene Harmonize to the Phylogeny of the Selected Species and the Homo sapiens’s EPB41L3 Gene Resembles the Pongo abelii’s EPB41L3 Gene
3.11. Abundance of tRNA Influences Gene Expression and the Indicated Codon Preference Does Not Correspond to the Most Abundant tRNA Pool
4. Discussion
5. Conclusions
Supplementary Materials
Author Contributions
Funding
Institutional Review Board Statement
Informed Consent Statement
Data Availability Statement
Acknowledgments
Conflicts of Interest
References
- Yamada, D.; Kikuchi, S.; Williams, Y.N.; Sakurai-Yageta, M.; Masuda, M.; Maruyama, T.; Tomita, K.; Gutmann, D.H.; Kakizoe, T.; Kitamura, T.; et al. Promoter hypermethylation of the potential tumor suppressor DAL-1/4.1B gene in renal clear cell carcinoma. Int. J. Cancer 2006, 118, 916–923. [Google Scholar] [CrossRef]
- Pennathur, A.; Gibson, M.K.; Jobe, B.A.; Luketich, J.D. Oesophageal carcinoma. Lancet 2013, 381, 400–412. [Google Scholar] [CrossRef]
- Zeng, R.; Liu, Y.; Jiang, Z.J.; Huang, J.P.; Wang, Y.; Li, X.F.; Xiong, W.B.; Wu, X.C.; Zhang, J.R.; Wang, Q.E.; et al. EPB41L3 is a potential tumor suppressor gene and prognostic indicator in esophageal squamous cell carcinoma. Int. J. Oncol. 2018, 52, 1443–1454. [Google Scholar] [CrossRef]
- Jiang, W.; Newsham, I.F. The tumor suppressor DAL-1/4.1B and protein methylation cooperate in inducing apoptosis in MCF-7 breast cancer cells. Mol. Cancer 2006, 5. [Google Scholar] [CrossRef]
- Zhang, Y.; Xu, R.; Li, G.; Xie, X.; Long, J.; Wang, H. Loss of expression of the differentially expressed in adenocarcinoma of the lung (DAL-1) protein is associated with metastasis of non-small cell lung carcinoma cells. Tumour Biol. 2012, 33, 1915–1925. [Google Scholar] [CrossRef] [PubMed]
- Kikuchi, S.; Yamada, D.; Fukami, T.; Masuda, M.; Sakurai-Yageta, M.; Williams, Y.N.; Maruyama, T.; Asamura, H.; Matsuno, Y.; Onizuka, M.; et al. Promoter methylation of DAL-1/4.1B predicts poor prognosis in non-small cell lung cancer. Clin. Cancer Res. 2005, 11, 2954–2961. [Google Scholar] [CrossRef] [PubMed]
- Perez-Janices, N.; Blanco-Luquin, I.; Tuñón, M.T.; Barba-Ramos, E.; Ibáñez, B.; Zazpe-Cenoz, I.; Martinez-Aguillo, M.; Hernandez, B.; Martínez-Lopez, E.; Fernández, A.F.; et al. EPB41L3, TSP-1 and RASSF2 as new clinically relevant prognostic biomarkers in diffuse gliomas. Oncotarget 2015, 6, 368–380. [Google Scholar] [CrossRef]
- Yi, S.; Li, Y.; Wang, W. Selection shapes the patterns of codon usage in three closely related species of genus Misgurnus. Genomics 2018, 110, 134–142. [Google Scholar] [CrossRef]
- Hershberg, R.; Petrov, D.A. Selection on codon bias. Annu. Rev. Genet. 2008, 42, 287–299. [Google Scholar] [CrossRef]
- Trotta, E. Selection on codon bias in yeast: A transcriptional hypothesis. Nucleic Acids Res. 2013, 41, 9382–9395. [Google Scholar] [CrossRef]
- Sharp, P.M.; Cowe, E.; Higgins, D.G.; Shields, D.C.; Wolfe, K.H.; Wright, F. Codon usage patterns in Escherichia coli, Bacillus subtilis, Saccharomyces cerevisiae, Schizosaccharomyces pombe, Drosophila melanogaster and Homo sapiens; a review of the considerable within-species diversity. Nucleic Acids Res. 1988, 16, 8207–8211. [Google Scholar] [CrossRef] [PubMed]
- Ma, J.; Nguyen, M.N.; Rajapakse, J.C. Gene classification using codon usage and support vector machines. IEEE/ACM Trans. Comput. Biol. Bioinform. 2009, 6, 134–143. [Google Scholar] [CrossRef]
- Liu, Q.; Dou, S.; Ji, Z.; Xue, Q. Synonymous codon usage and gene function are strongly related in Oryza sativa. BioSystems 2005, 80, 123–131. [Google Scholar] [CrossRef] [PubMed]
- Zhou, T.; Gu, W.; Ma, J.; Sun, X.; Lu, Z. Analysis of synonymous codon usage in H5N1 virus and other influenza A viruses. BioSystems 2005, 81, 77–86. [Google Scholar] [CrossRef] [PubMed]
- Khandia, R.; Singhal, S.; Kumar, U.; Ansari, A.; Tiwari, R.; Dhama, K.; Das, J.; Munjal, A.O.; Singh, R.K. Analysis of nipah virus codon usage and adaptation to hosts. Front. Microbiol. 2019, 10. [Google Scholar] [CrossRef] [PubMed]
- Kunec, D.; Osterrieder, N. Codon Pair Bias Is a Direct Consequence of Dinucleotide Bias. Cell Rep. 2016, 14, 55–67. [Google Scholar] [CrossRef] [PubMed]
- Dave, U.; Srivathsan, A.; Kumar, S. Analysis of codon usage pattern in the viral proteins of chicken anaemia virus and its possible biological relevance. Infect. Genet. Evol. 2019, 69, 93–106. [Google Scholar] [CrossRef] [PubMed]
- Puigbò, P.; Bravo, I.G.; Garcia-Vallve, S. CAIcal: A combined set of tools to assess codon usage adaptation. Biol. Direct 2008, 3. [Google Scholar] [CrossRef]
- Sharp, P.M.; Li, W.H. The codon adaptation index-a measure of directional synonymous codon usage bias, and its potential applications. Nucleic Acids Res. 1987, 15, 1281–1295. [Google Scholar] [CrossRef]
- Wright, F. The “effective number of codons” used in a gene. Gene 1990, 87, 23–29. [Google Scholar] [CrossRef]
- Comeron, J.M. Selective and mutational patterns associated with gene expression in humans: Influences on synonymous composition and intron presence. Genetics 2004, 167, 1293–1304. [Google Scholar] [CrossRef]
- Sharp, P.M.; Stenico, M.; Peden, J.F.; Lloyd, A.T. Codon usage: Mutational bias, translational selection, or both? Biochem. Soc. Trans. 1993, 21, 835–841. [Google Scholar] [CrossRef]
- Hershberg, R.; Petrov, D.A. General rules for optimal codon choice. PLoS Genet. 2009, 5, e1000556. [Google Scholar] [CrossRef] [PubMed]
- Sueoka, N. Directional mutation pressure and neutral molecular evolution. Proc. Natl. Acad. Sci. USA 1988, 85, 2653–2657. [Google Scholar] [CrossRef]
- Chen, H.; Sun, S.; Norenburg, J.L.; Sundberg, P. Mutation and selection cause codon usage and bias in mitochondrial genomes of ribbon worms (Nemertea). PLoS ONE 2014, 9, e85631. [Google Scholar] [CrossRef] [PubMed]
- Shen, W.; Wang, D.; Ye, B.; Shi, M.; Ma, L.; Zhang, Y.; Zhao, Z. GC3-biased gene domains in mammalian genomes. Bioinformatics 2015, 31, 3081–3084. [Google Scholar] [CrossRef] [PubMed]
- Moritz, C.; Dowling, T.E.; Brown, W.M. Evolution of animal mitochondrial DNA: Relevance for population biology and systematics. Annu. Rev. Ecol. Syst. 1987, 18, 269–292. [Google Scholar] [CrossRef]
- Coghlan, A.; Wolfe, K.H. Relationship of codon bias to mRNA and concentration protein length in Saccharomyces cerevisiae. Yeast 2000, 16, 1131–1145. [Google Scholar] [CrossRef]
- Kumar, N.; Bera, B.C.; Greenbaum, B.D.; Bhatia, S.; Sood, R.; Selvaraj, P.; Anand, T.; Tripathi, B.N.; Virmani, N. Revelation of influencing factors in overall codon usage bias of equine influenza viruses. PLoS ONE 2016, 11, e0154376. [Google Scholar] [CrossRef]
- Gouy, M.; Gautier, C. Codon usage in bacteria: Correlation with gene expressivity. Nucleic Acids Res. 1982, 10, 7055–7074. [Google Scholar] [CrossRef]
- Jernigan, R.W.; Baran, R.H. Pervasive properties of the genomic signature. BMC Genom. 2002, 3. [Google Scholar] [CrossRef]
- Megremis, S.; Demetriou, P.; Makrinioti, H.; Manoussaki, A.E.; Papadopoulos, N.G. The Genomic Signature of Human Rhinoviruses A, B and C. PLoS ONE 2012, 7, e44557. [Google Scholar] [CrossRef] [PubMed]
- Jenkins, G.M.; Holmes, E.C. The extent of codon usage bias in human RNA viruses and its evolutionary origin. Virus Res. 2003, 92, 1–7. [Google Scholar] [CrossRef]
- Rapoport, A.E.; Trifonov, E.N. Compensatory nature of Chargaffs second parity rule. J. Biomol. Struct. Dyn. 2013, 31, 1324–1336. [Google Scholar] [CrossRef]
- Sueoka, N. Intrastrand parity rules of DNA base composition and usage biases of synonymous codons. J. Mol. Evol. 1995, 40, 318–325. [Google Scholar] [CrossRef] [PubMed]
- Zhang, L.P.; Cai, Y.Y.; Yu, D.N.; Storey, K.B.; Zhang, J.Y. Gene characteristics of the complete mitochondrial genomes of Paratoxodera polyacantha and Toxodera hauseri (Mantodea: Toxoderidae). PeerJ 2018, 2018. [Google Scholar] [CrossRef]
- Bera, B.C.; Virmani, N.; Kumar, N.; Anand, T.; Pavulraj, S.; Rash, A.; Elton, D.; Rash, N.; Bhatia, S.; Sood, R.; et al. Genetic and codon usage bias analyses of polymerase genes of equine influenza virus and its relation to evolution. BMC Genom. 2017, 18. [Google Scholar] [CrossRef] [PubMed]
- Subramanian, A.; Rup Sarkar, R. Data in support of large scale comparative codon usage analysis in Leishmania and Trypanosomatids. Data Br. 2015, 4, 269–272. [Google Scholar] [CrossRef][Green Version]
- Dass, J.F.P.; Sudandiradoss, C. Insight into pattern of codon biasness and nucleotide base usage in serotonin receptor gene family from different mammalian species. Gene 2012, 503, 92–100. [Google Scholar] [CrossRef]
- Saitou, N.; Nei, M. The neighbor-joining method: A new method for reconstructing phylogenetic trees. Mol. Biol. Evol. 1987, 4, 406–425. [Google Scholar] [CrossRef]
- Ma, J.; Zhou, T.; Gu, W.; Sun, X.; Lu, Z. Cluster analysis of the codon use frequency of MHC genes from different species. BioSystems 2002, 65, 199–207. [Google Scholar] [CrossRef]
- Bellgard, M.; Schibeci, D.; Trifonov, E.; Gojobori, T. Early detection of G + C differences in bacterial species inferred from the comparative analysis of the two completely sequenced Helicobacter pylori strains. J. Mol. Evol. 2001, 53, 465–468. [Google Scholar] [CrossRef]
- Salinas, J.; Matassi, G.; Montero, L.M.; Bernardi, G. Compositional compartmentalization and compositional patterns in the nuclear genomes of plants. Nucleic Acids Res. 1988, 16, 4269–4285. [Google Scholar] [CrossRef] [PubMed]
- KALISZ, S. Epialleles via DNA methylation: Consequences for plant evolution. Trends Ecol. Evol. 2004, 19, 309–314. [Google Scholar] [CrossRef] [PubMed]
- Chakraborty, S.; Mazumder, T.H.; Uddin, A. Compositional dynamics and codon usage pattern of BRCA1 gene across nine mammalian species. Genomics 2019, 111, 167–176. [Google Scholar] [CrossRef] [PubMed]
- Kron, M.A.; Petridis, M.; Haertlein, M.; Libranda-Ramirez, B.; Scaffidi, L.E. Do tissue levels of autoantigenic aminoacyl-tRNA synthetase predict clinical disease? Med. Hypotheses 2005, 65, 1124–1127. [Google Scholar] [CrossRef]
- Kumar, M.S.; Hancock, D.C.; Molina-Arcas, M.; Steckel, M.; East, P.; Diefenbacher, M.; Armenteros-Monterroso, E.; Lassailly, F.; Matthews, N.; Nye, E.; et al. The GATA2 transcriptional network is requisite for RAS oncogene-driven non-small cell lung cancer. Cell 2012, 149, 642–655. [Google Scholar] [CrossRef]
- Mazumder, T.H.; Uddin, A.; Chakraborty, S. Transcription factor gene GATA2: Association of leukemia and nonsynonymous to the synonymous substitution rate across five mammals. Genomics 2016, 107, 155–161. [Google Scholar] [CrossRef]
- Karlin, S.; Mrázek, J. Compositional differences within and between eukaryotic genomes. Proc. Natl. Acad. Sci. USA 1997, 94, 10227–10232. [Google Scholar] [CrossRef]
- Kariin, S.; Burge, C. Dinucleotide relative abundance extremes: A genomic signature. Trends Genet. 1995, 11, 283–290. [Google Scholar] [CrossRef]
- Zhao, Z.; Wu, X.; Ji, G.; Liang, C.; Li, Q.Q. Genome-wide comparative analyses of polyadenylation signals in eukaryotes suggest a possible origin of the AAUAAA signal. Int. J. Mol. Sci. 2019, 20, 958. [Google Scholar] [CrossRef] [PubMed]
- Nyayanit, D.A.; Yadav, P.D.; Kharde, R.; Cherian, S. Natural Selection Plays an Important Role in Shaping the Codon Usage of Structural Genes of the Viruses Belonging to the Coronaviridae Family. Viruses 2020, 13, 3. [Google Scholar] [CrossRef] [PubMed]
- Behura, S.K.; Severson, D.W. Comparative analysis of Codon usage bias and Codon context patterns between dipteran and hymenopteran sequenced genomes. PLoS ONE 2012, 7, e43111. [Google Scholar] [CrossRef] [PubMed]
- Uddin, A.; Chakraborty, S. Codon Usage Pattern of Genes Involved in Central Nervous System. Mol. Neurobiol. 2019, 56, 1737–1748. [Google Scholar] [CrossRef]
- Kiktev, D.A.; Sheng, Z.; Lobachev, K.S.; Petes, T.D. GC content elevates mutation and recombination rates in the yeast Saccharomyces cerevisiae. Proc. Natl. Acad. Sci. USA 2018, 115, E7109–E7118. [Google Scholar] [CrossRef]
- Šmarda, P.; Bureš, P.; Horová, L.; Leitch, I.J.; Mucina, L.; Pacini, E.; Tichý, L.; Grulich, V.; Rotreklová, O. Ecological and evolutionary significance of genomic GC content diversity in monocots. Proc. Natl. Acad. Sci. USA 2014, 111, E4096–E4102. [Google Scholar] [CrossRef]
- Duret, L.; Mouchiroud, D.; Gautier, C. Statistical analysis of vertebrate sequences reveals that long genes are scarce in GC-rich isochores. J. Mol. Evol. 1995, 40, 308–317. [Google Scholar] [CrossRef] [PubMed]
- Turowski, T.W.; Petfalski, E.; Goddard, B.D.; French, S.L.; Helwak, A.; Tollervey, D. Nascent Transcript Folding Plays a Major Role in Determining RNA Polymerase Elongation Rates. Mol. Cell 2020, 79, 488–503.e11. [Google Scholar] [CrossRef]
- Lercher, M.J.; Urrutia, A.O.; Pavlíček, A.; Hurst, L.D. A unification of mosaic structures in the human genome. Hum. Mol. Genet. 2003, 12, 2411–2415. [Google Scholar] [CrossRef][Green Version]
- Grantham, R.; Gautier, C.; Gouy, M.; Mercier, R.; Pavé, A. Codon catalog usage and the genome hypothesis. Nucleic Acids Res. 1980, 8, 197. [Google Scholar] [CrossRef]
- Hridy, A.U.; Shabnaz, S.; Asaduzzaman, M.; Shahriar, M.; Bhuiyan, M.A.; Islam, M.S.; Hossen, S.M.M.; Emran, T.B. Genetic variations of RAD51 and XRCC2 genes increase the risk of colorectal cancer in Bangladeshi population. Asian Pac. J. Cancer Prev. 2020, 21, 1445–1451. [Google Scholar] [CrossRef] [PubMed]
- Ikemura, T. Codon usage and tRNA content in unicellular and multicellular organisms. Mol. Biol. Evol. 1985, 2, 13–34. [Google Scholar] [CrossRef]
- Mioduser, O.; Goz, E.; Tuller, T. Significant differences in terms of codon usage bias between bacteriophage early and late genes: A comparative genomics analysis. BMC Genom. 2017, 18. [Google Scholar] [CrossRef] [PubMed]
- Comeron, J.M.; Aguadé, M. An evaluation of measures of synonymous codon usage bias. J. Mol. Evol. 1998, 47, 268–274. [Google Scholar] [CrossRef] [PubMed]










| S. No. | Amino Acid | Codons | RSCU EPB41L3 | |||||
|---|---|---|---|---|---|---|---|---|
| Homo sapiens | Rattus norvegicus | Bos taurus | Mus musculus | Pongo abelii | Average of the Species | |||
| 1 | Phenylalanine (F) | UUU | 1.36 * | 0.67 | 1.0 | 1.2 * | 1.25 * | 1.32 * |
| UUC | 0.64 | 1.33 * | 1.0 | 0.8 | 0.75 | 0.68 | ||
| 2 | Leucine (L) | UUA | 0.83 | 0.32 | 0.53 | 0.65 | 0.93 | 0.80 |
| UUG | 1.49 * | 0.9 | 0.86 | 1.11 * | 1.55 * | 1.44 * | ||
| CUU | 0.56 | 0.45 | 0.46 | 0.37 | 0.52 | 0.55 | ||
| CUC | 0.59 | 1.48 * | 1.52 * | 1.29 * | 0.41 | 0.65 | ||
| CUA | 0.70 | 0.9 | 0.46 | 0.74 | 0.62 | 0.70 | ||
| CUG | 1.84 * | 1.94 * | 2.18 * | 1.85 * | 1.97 * | 1.86 * | ||
| 3 | Isoleucine (I) | AUU | 1.03 * | 1.14 * | 0.79 | 1.18 * | 0.92 | 1.02 * |
| AUC | 1.32 * | 1.38 * | 1.74 * | 1.26 * | 1.31 * | 1.33 * | ||
| AUA | 0.65 | 0.49 | 0.47 | 0.55 | 0.77 | 0.64 | ||
| 4 | Valine (V) | GUU | 0.77 | 0.14 | 0.62 | 0.31 | 0.98 | 0.74 |
| GUC | 0.73 | 0.81 | 0.97 | 0.63 | 0.73 | 0.74 | ||
| GUA | 0.65 | 0.61 | 0.55 | 0.55 | 0.73 | 0.64 | ||
| GUG | 1.86 * | 2.44 * | 1.86 * | 2.51 * | 1.55 * | 1.88 * | ||
| 5 | Serine (S) | UCU | 1.18 * | 1.72 * | 0.83 | 1.62 * | 1.39 * | 1.21 * |
| UCC | 1.08 * | 1.1 * | 1.66 * | 0.85 | 1.04 * | 1.09 * | ||
| UCA | 1.39 * | 0.99 | 1.07 * | 0.92 | 1.39 * | 1.36 * | ||
| UCG | 0.27 | 0.52 | 0.53 | 0.64 | 0.17 | 0.29 | ||
| AGU | 1.19 * | 0.78 | 0.53 | 0.99 | 1.22 * | 1.16 * | ||
| AGC | 0.87 | 0.89 | 1.37 * | 0.99 | 0.78 | 0.89 | ||
| 6 | Proline (P) | CCU | 0.80 | 1.01 * | 0.71 | 1.11 * | 0.85 | 0.81 |
| CCC | 1.05 * | 1.25 * | 1.15 * | 0.94 | 0.97 | 1.05 * | ||
| CCA | 1.49 * | 1.31 * | 0.93 | 1.53 * | 1.7 * | 1.47 * | ||
| CCG | 0.67 | 0.42 | 1.21 * | 0.43 | 0.48 | 0.66 | ||
| 7 | Threonine (T) | ACU | 0.89 | 0.65 | 0.88 | 0.77 | 0.96 | 0.88 |
| ACC | 1.58 * | 1.45 * | 1.76 * | 1.28 * | 1.55 * | 1.57 * | ||
| ACA | 0.71 | 1.05 * | 0.78 | 1.08 * | 0.85 | 0.74 | ||
| ACG | 0.83 | 0.85 | 0.59 | 0.87 | 0.64 | 0.82 | ||
| 8 | Alanine (A) | GCU | 1.03 * | 0.97 | 0.78 | 1.01 * | 0.87 | 1.02 * |
| GCC | 1.31 * | 1.56 * | 1.7 * | 1.35 * | 1.31 * | 1.33 * | ||
| GCA | 1.10 * | 1.06 * | 0.74 | 1.13 * | 1.31 * | 1.09 * | ||
| GCG | 0.56 | 0.41 | 0.78 | 0.51 | 0.51 | 0.56 | ||
| 9 | Tyrosine (Y) | UAU | 0.94 | 0.5 | 0.88 | 0.4 | 0.9 | 0.91 |
| UAC | 1.06 * | 1.5 * | 1.12 * | 1.6 * | 1.1 * | 1.09 * | ||
| 10 | Histidine (H) | CAU | 0.87 | 0.84 | 0.89 | 0.89 | 0.92 | 0.87 |
| CAC | 1.13 * | 1.16 * | 1.11 * | 1.11 * | 1.08 * | 1.13 * | ||
| 11 | Glutamine (Q) | CAA | 0.58 | 0.4 | 0.2 | 0.31 | 0.58 | 0.55 |
| CAG | 1.42 * | 1.6 * | 1.8 * | 1.69 * | 1.42 * | 1.45 * | ||
| 12 | Aspargine (N) | AAU | 0.66 | 0.73 | 0.59 | 0.59 | 0.67 | 0.66 |
| AAC | 1.34 * | 1.27 * | 1.41 * | 1.41 * | 1.33 * | 1.34 * | ||
| 13 | Lysine (K) | AAA | 1.14 * | 0.92 | 1.07 * | 0.97 | 1.13 * | 1.13 * |
| AAG | 0.86 | 1.08 * | 0.93 | 1.03 * | 0.87 | 0.88 | ||
| 14 | Aspartic acid (D) | GAU | 0.98 | 0.92 | 0.68 | 0.96 | 0.98 | 0.97 |
| GAC | 1.02 * | 1.08 * | 1.32 * | 1.04 * | 1.02 * | 1.03 * | ||
| 15 | Glutamic acid (E) | GAA | 0.90 | 0.7 | 0.7 | 0.77 | 0.93 | 0.89 |
| GAG | 1.10 * | 1.3 * | 1.3 * | 1.23 * | 1.07 * | 1.11 * | ||
| 16 | Cysteine (C) | UGU | 1.25 * | 0.92 | 1.0 | 1.0 | 1.25 * | 1.22 * |
| UGC | 0.75 | 1.08 * | 1.0 | 1.0 | 0.75 | 0.78 | ||
| 17 | Arginine (R) | CGU | 0.68 | 0.35 | 0.69 | 0.12 | 0.71 | 0.66 |
| CGC | 1.03 * | 1.04 * | 1.15 * | 1.32 * | 1.0 | 1.04 * | ||
| CGA | 1.13 * | 0.81 | 1.04 * | 0.72 | 1.29 * | 1.11 * | ||
| CGG | 1.10 * | 0.92 | 0.81 | 1.32 * | 1.0 | 1.09 * | ||
| AGA | 1.06 * | 1.15 * | 1.27 * | 1.2 * | 1.14 * | 1.07 * | ||
| AGG | 0.99 | 1.73 * | 1.04 * | 1.32 * | 0.86 | 1.02 * | ||
| 18 | Glycine (G) | GGU | 0.34 | 0.43 | 0.47 | 0.53 | 0.34 | 0.35 |
| GGC | 0.89 | 1.07 * | 1.29 * | 0.98 | 0.94 | 0.91 | ||
| GGA | 1.36 * | 1.5 * | 0.95 | 1.36 * | 1.36 * | 1.35 * | ||
| GGG | 1.41 * | 1.0 | 1.29 * | 1.13 * | 1.36 * | 1.39 * | ||
| Gene | No. of CDSs Evaluated | Total Number of Codons | Average CAI Value ± SD | Average %GC ± SD | %GC1 ± SD | %GC2 ± SD | %GC3 ± SD | ENc ± SD | P2 ± SD |
|---|---|---|---|---|---|---|---|---|---|
| EPB41L3 | 34 | 29,660 | 0.773 ± 0.010 | 50.626 ± 1.231 | 55.773 ± 0.970 | 42.144 ± 0.626 | 53.953 ± 2.271 | 57.656 ± 1.132 | 0.97 ± 0.03 |
| S. No. | Dinucleotide | Observed Frequency | Expected Frequency | Odds Ratio |
|---|---|---|---|---|
| 1 | ApA | 0.0883375 | 0.0625 | 1.4133997 |
| 2 | ApC | 0.0669078 | 0.0625 | 1.0705248 |
| 3 | ApG | 0.0948584 | 0.0625 | 1.5177349 |
| 4 | ApU | 0.0504045 | 0.0625 | 0.8064717 |
| 5 | CpA | 0.0842667 | 0.0625 | 1.348268 |
| 6 | CpC | 0.0584552 | 0.0625 | 0.9352831 |
| 7 | CpG | 0.0382312 | 0.0625 | 0.6116988 |
| 8 | CpU | 0.053101 | 0.0625 | 0.8496163 |
| 9 | GpA | 0.0952992 | 0.0625 | 1.5247874 |
| 10 | GpC | 0.0635631 | 0.0625 | 1.0170089 |
| 11 | GpG | 0.0701099 | 0.0625 | 1.121759 |
| 12 | GpU | 0.0415111 | 0.0625 | 0.6641776 |
| 13 | UpA | 0.0326048 | 0.0625 | 0.521676 |
| 14 | UpC | 0.0451281 | 0.0625 | 0.7220494 |
| 15 | UpG | 0.0672838 | 0.0625 | 1.0765401 |
| 16 | UpU | 0.0499378 | 0.0625 | 0.7990044 |
| (a) | |||||||||||
| Y | GC3% | ENc | Length of Transcripts | ||||||||
| X | |||||||||||
| ENc | −0.3042 *** | - | −0.425 ** | ||||||||
| CAI | −0.542 ** | 0.2362 | −0.3266 | ||||||||
| (b) | |||||||||||
| A% | T% | G% | C% | A3% | T3% | G3% | C3% | GC3% | CAI | ||
| ENc | 0.6124 *** | 0.3675 ** | −0.0471 | −0.6842 *** | 0.6908 *** | 0.6955 *** | −0.3042 | −0.7841 *** | −0.7131 *** | 0.2362 | |
| Species | SSU | WWU | SSC | WWC | P2 |
|---|---|---|---|---|---|
| Homo sapiens | 0.71 | 1.00 | 1.07 | 1.09 | 0.93 |
| Rattus norvegicus | 0.69 | 0.76 | 1.23 | 1.37 | 1.02 |
| Bos taurus | 0.66 | 0.82 | 1.32 | 1.32 | 0.96 |
| Mus musculus | 0.69 | 0.84 | 1.15 | 1.27 | 0.99 |
| Pongo abelii | 0.69 | 0.94 | 1.06 | 1.12 | 0.95 |
| Homo sapiens (Human) | |||
| Amino Acid | Most Preferred Codons in EPB41L3 | Isotypes of tRNA in Human Cells | Total Count |
| Ala (A) | GCC | AGC (22), GGC (0), CGC (4), TGC (8) | 34 |
| Gly (G) | GGG | ACC (0), GCC (14), CCC (5), TCC (9) | 28 |
| Pro (P) | CCA | AGG (9), GGG (0), CGG (4), TGG (7) | 20 |
| Thr (T) | ACC | AGT (9), GGT (0), CGT (5), TGT (6) | 20 |
| Val (V) | GTG | AAC (9), GAC (0), CAC (11), TAC (5) | 25 |
| Ser (S) | AGT | AGA (9), GGA (0), CGA (4), TGA (4), ACT (0), GCT (8) | 25 |
| Arg (R) | CGA | ACG (7), GCG (0), CCG (4), TCG (6), CCT (5), TCT (6) | 28 |
| Leu (L) | CTG | AAG (9), GAG (0), CAG (9), TAG (3), CAA (6), TAA (4) | 31 |
| Phe (F) | TTT | AAA (0), GAA (10) | 10 |
| Asn (N) | AAC | ATT (0), GTT (20) | 20 |
| Lys (K) | AAA | CTT (15), TTT (12) | 27 |
| Asp (D) | GAC | ATC (0), GTC (13) | 13 |
| Glu (E) | GAG | CTC (8), TTC (7) | 15 |
| His (H) | CAC | ATG (0), GTG (10) | 10 |
| Gln (Q) | CAG | CTG (13), TTG (6) | 19 |
| Ile (I) | ATC | AAT (14), GAT (3), TAT (5) | 22 |
| Tyr (Y) | TAC | ATA (0), GTA (13) | 13 |
| Cys (C) | TGT | ACA (0), GCA (29) | 29 |
| Trp (W) | TGG | CCA (7) | 7 |
| Met (M) | ATG | CAT (9/10) | 19 |
| (a) | |||
| Pongo abelii (Sumatran Orangutan) | |||
| Amino Acid | Most Preferred Codons in EPB41L3 | Isotypes of tRNA in Pongo abelii Cells | Total Count |
| Ala (A) | GCC/GCA | AGC (21), GGC (0), CGC (4), TGC (9) | 34 |
| Gly (G) | GGA/GGG | ACC (0), GCC (8), CCC (7), TCC (6) | 21 |
| Pro (P) | CCA | AGG (8), GGG (0), CGG (4), TGG (7) | 19 |
| Thr (T) | ACC | AGT (10), GGT (0), CGT (5), TGT (6) | 21 |
| Val (V) | GTG | AAC (10), GAC (0), CAC (11), TAC (6) | 27 |
| Ser (S) | TCA/TCT | AGA (9), GGA (0), CGA (4), TGA (4), ACT (0), GCT (8) | 25 |
| Arg (R) | CGA | ACG (7), GCG (0), CCG (4), TCG (6), CCT (5), TCT (6) | 28 |
| Leu (L) | CTG | AAG (8), GAG (0), CAG (6), TAG (3), CAA (5), TAA (5) | 27 |
| Phe (F) | TTT | AAA (0), GAA (8) | 8 |
| Asn (N) | AAC | ATT (0), GTT (22) | 22 |
| Lys (K) | AAA | CTT (14), TTT (14) | 28 |
| Asp (D) | GAC | ATC (0), GTC (9) | 9 |
| Glu (E) | GAG | CTC (5), TTC (14) | 19 |
| His (H) | CAC | ATG (0), GTG (12) | 12 |
| Gln (Q) | CAG | CTG (11), TTG (6) | 17 |
| Ile (I) | ATC | AAT (13), GAT (3), TAT (6) | 22 |
| Tyr (Y) | TAC | ATA (0), GTA (12) | 12 |
| Cys (C) | TGT | ACA (0), GCA (27) | 27 |
| Trp (W) | TGG | CCA (7) | 7 |
| Met (M) | ATG | CAT (8/10) | 18 |
| (b) | |||
| Rattus norvegicus (Brown Rat) | |||
| Amino Acid | Most Preferred Codons in EPB41L3 | Isotypes of tRNA in Rattus norvegicus Cells | Total Count |
| Ala (A) | GCC | AGC (31), GGC (0), CGC (3), TGC (7) | 41 |
| Gly (G) | GGA | ACC (0), GCC (11), CCC (5), TCC (9) | 25 |
| Pro (P) | CCA | AGG (8), GGG (0), CGG (3), TGG (6) | 17 |
| Thr (T) | ACC | AGT (7), GGT (0), CGT (4), TGT (5) | 16 |
| Val (V) | GTG | AAC (6), GAC (0), CAC (6), TAC (3) | 15 |
| Ser (S) | TCT | AGA (9), GGA (0), CGA (3), TGA (4), ACT (0), GCT (11) | 27 |
| Arg (R) | AGG | ACG (6), GCG (0), CCG (3), TCG (5), CCT (7), TCT (6) | 27 |
| Leu (L) | CTG | AAG (6), GAG (0), CAG (10), TAG (3), CAA (3), TAA (2) | 24 |
| Phe (F) | TTC | AAA (0), GAA (8) | 8 |
| Asn (N) | AAC | ATT (0), GTT (13) | 13 |
| Lys (K) | AAG | CTT (11), TTT (6) | 17 |
| Asp (D) | GAC | ATC (0), GTC (15) | 15 |
| Glu (E) | GAG | CTC (9), TTC (10) | 19 |
| His (H) | CAC | ATG (0), GTG (10) | 10 |
| Gln (Q) | CAG | CTG (10), TTG (5) | 15 |
| Ile (I) | ATC | AAT (8), GAT (0), TAT (3) | 11 |
| Tyr (Y) | TAC | ATA (0), GTA (3) | 3 |
| Cys (C) | TGC | ACA (0), GCA (40) | 40 |
| Trp (W) | TGG | CCA (7) | 7 |
| Met (M) | ATG | CAT (8/5) | 13 |
| (c) | |||
| Mus musculus (House Mouse) | |||
| Amino Acid | Most Preferred Codons in EPB41L3 | Isotypes of tRNA in Mus musculus cells | Total Count |
| Ala (A) | GCC | AGC (13), GGC (0), CGC (9), TGC (11) | 33 |
| Gly (G) | GGA | ACC (0), GCC (13), CCC (6), TCC (7) | 26 |
| Pro (P) | CCA | AGG (6), GGG (0), CGG (3), TGG (7) | 16 |
| Thr (T) | ACC | AGT (9), GGT (0), CGT (4), TGT (4) | 17 |
| Val (V) | GTG | AAC (7), GAC (0), CAC (10), TAC (3) | 20 |
| Ser (S) | TCT | AGA (8), GGA (0), CGA (3), TGA (3), ACT (0), GCT (7) | 21 |
| Arg (R) | CGC/CGG/AGG | ACG (6), GCG (0), CCG (3), TCG (5), CCT (5), TCT (5) | 24 |
| Leu (L) | CTG | AAG (5), GAG (0), CAG (10), TAG (3), CAA (4), TAA (4) | 26 |
| Phe (F) | TTT | AAA (0), GAA (7) | 7 |
| Asn (N) | AAC | ATT (0), GTT (13) | 13 |
| Lys (K) | AAG | CTT (19), TTT (13) | 32 |
| Asp (D) | GAC | ATC (0), GTC (16) | 16 |
| Glu (E) | GAG | CTC (11), TTC (8) | 19 |
| His (H) | CAC | ATG (0), GTG (10) | 10 |
| Gln (Q) | CAG | CTG (10), TTG (5) | 15 |
| Ile (I) | ATC | AAT (11), GAT (0), TAT (4) | 15 |
| Tyr (Y) | TAC | ATA (0), GTA (10) | 10 |
| Cys (C) | TGC | ACA (0), GCA (54) | 54 |
| Trp (W) | TGG | CCA (8) | 8 |
| Met (M) | ATG | CAT (9/8) | 13 |
| (d) | |||
| Bos taurus (Aurochs/Domesticated Cattle) | |||
| Amino Acid | Most Preferred Codons in EPB41L3 | Isotypes of Trna in Bos taurus Cells | Total Count |
| Ala (A) | GCC | AGC (28), GGC (0), CGC (8), TGC (14) | 50 |
| Gly (G) | GGC/GGG | ACC (0), GCC (13), CCC (14), TCC (7) | 34 |
| Pro (P) | CCG | AGG (12), GGG (0), CGG (4), TGG (8) | 24 |
| Thr (T) | ACC | AGT (12), GGT (0), CGT (4), TGT (8) | 24 |
| Val (V) | GTG | AAC (17), GAC (0), CAC (20), TAC (9) | 46 |
| Ser (S) | TCC | AGA (12), GGA (2), CGA (5), TGA (4), ACT (0), GCT (17) | 40 |
| Arg (R) | CGA | ACG (9), GCG (0), CCG (5), TCG (9), CCT (8), TCT (6) | 37 |
| Leu (L) | CTG | AAG (9), GAG (0), CAG (5), TAG (4), CAA (6), TAA (6) | 30 |
| Phe (F) | TTT/TTC | AAA (0), GAA (22) | 22 |
| Asn (N) | AAC | ATT (0), GTT (28) | 28 |
| Lys (K) | AAA | CTT (22), TTT (28) | 50 |
| Asp (D) | GAC | ATC (0), GTC (19) | 19 |
| Glu (E) | GAG | CTC (7), TTC (34) | 41 |
| His (H) | CAC | ATG (0), GTG (15) | 15 |
| Gln (Q) | CAG | CTG (22), TTG (7) | 29 |
| Ile (I) | ATC | AAT (17), GAT (0), TAT (5) | 22 |
| Tyr (Y) | TAC | ATA (0), GTA (16) | 16 |
| Cys (C) | TGT/TGC | ACA (0), GCA (27) | 27 |
| Trp (W) | TGG | CCA (8) | 8 |
| Met (M) | ATG | CAT (16/14) | 30 |
| (e) | |||
Publisher’s Note: MDPI stays neutral with regard to jurisdictional claims in published maps and institutional affiliations. |
© 2021 by the authors. Licensee MDPI, Basel, Switzerland. This article is an open access article distributed under the terms and conditions of the Creative Commons Attribution (CC BY) license (https://creativecommons.org/licenses/by/4.0/).
Share and Cite
Kumar, U.; Khandia, R.; Singhal, S.; Puranik, N.; Tripathi, M.; Pateriya, A.K.; Khan, R.; Emran, T.B.; Dhama, K.; Munjal, A.; et al. Insight into Codon Utilization Pattern of Tumor Suppressor Gene EPB41L3 from Different Mammalian Species Indicates Dominant Role of Selection Force. Cancers 2021, 13, 2739. https://doi.org/10.3390/cancers13112739
Kumar U, Khandia R, Singhal S, Puranik N, Tripathi M, Pateriya AK, Khan R, Emran TB, Dhama K, Munjal A, et al. Insight into Codon Utilization Pattern of Tumor Suppressor Gene EPB41L3 from Different Mammalian Species Indicates Dominant Role of Selection Force. Cancers. 2021; 13(11):2739. https://doi.org/10.3390/cancers13112739
Chicago/Turabian StyleKumar, Utsang, Rekha Khandia, Shailja Singhal, Nidhi Puranik, Meghna Tripathi, Atul Kumar Pateriya, Raju Khan, Talha Bin Emran, Kuldeep Dhama, Ashok Munjal, and et al. 2021. "Insight into Codon Utilization Pattern of Tumor Suppressor Gene EPB41L3 from Different Mammalian Species Indicates Dominant Role of Selection Force" Cancers 13, no. 11: 2739. https://doi.org/10.3390/cancers13112739
APA StyleKumar, U., Khandia, R., Singhal, S., Puranik, N., Tripathi, M., Pateriya, A. K., Khan, R., Emran, T. B., Dhama, K., Munjal, A., Alqahtani, T., & Alqahtani, A. M. (2021). Insight into Codon Utilization Pattern of Tumor Suppressor Gene EPB41L3 from Different Mammalian Species Indicates Dominant Role of Selection Force. Cancers, 13(11), 2739. https://doi.org/10.3390/cancers13112739

