Immunohistochemistry-Based Taxonomical Classification of Bladder Cancer Predicts Response to Neoadjuvant Chemotherapy
Abstract
1. Introduction
2. Results
2.1. Clinical-Pathological Features of Patients
2.2. Taxonomic Classification and Association with Gene Mutations
2.3. Association of Clusters with Response to NAC
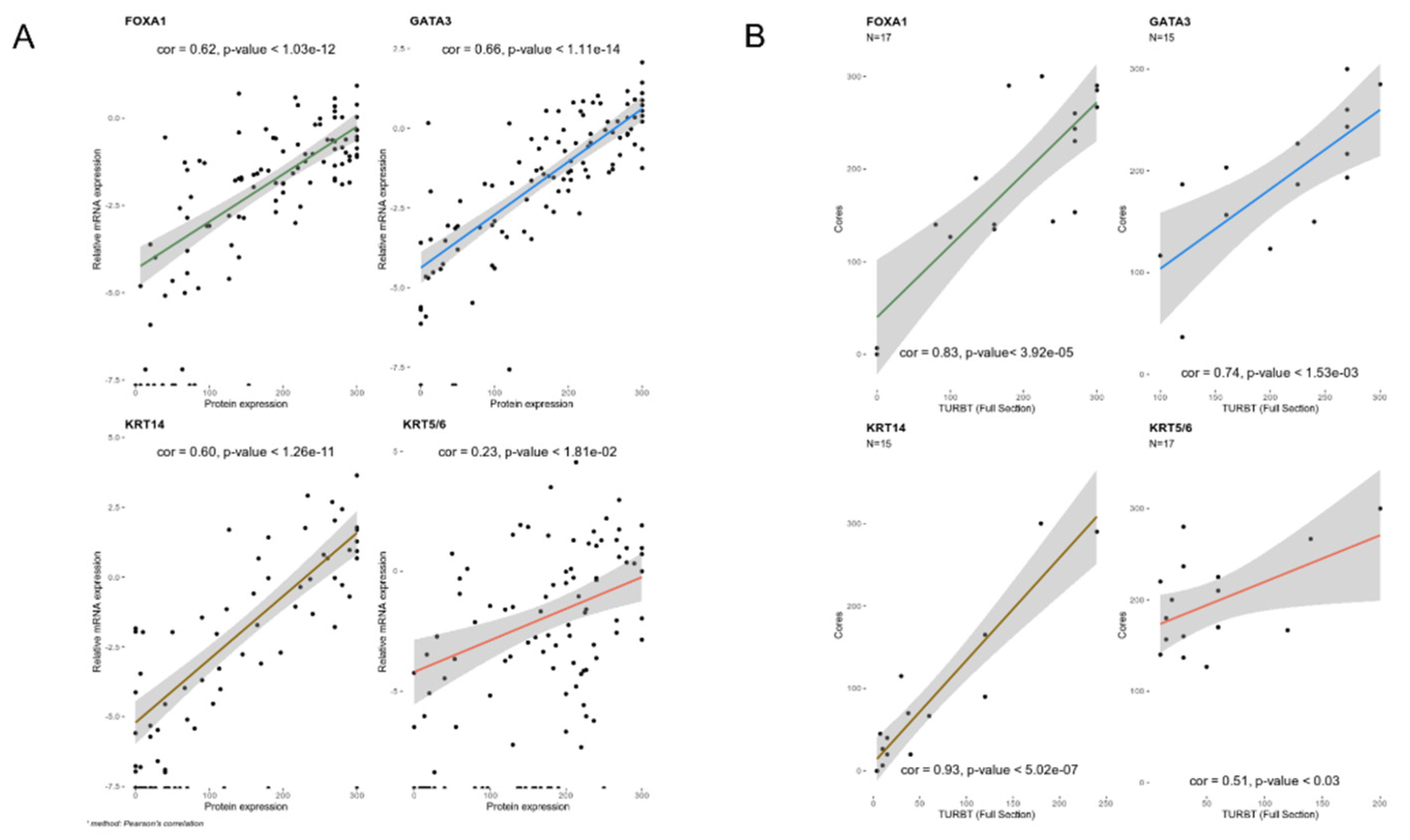
2.4. Relevance to Clinical Implementation
3. Discussion
4. Materials and Methods
4.1. Study Design
4.2. Immunohistochemical Analyses
4.3. RNA Expression Analyses
4.4. Mutational Analyses
4.5. Statistical Methods
5. Conclusions
Supplementary Materials
Author Contributions
Funding
Acknowledgments
Conflicts of Interest
Abbreviations
| BASQ-like | basal/squamous-like |
| CART | classification and regression trees |
| FFPE | formalin-fixed paraffin-embedded |
| IHC | immunohistochemistry |
| MIBC | muscle-invasive bladder cancer |
| NAC | neoadjuvant chemotherapy |
| OS | overall survival |
| pCR | pathological complete response |
| TMA | tissue microarrays |
| TURBT | transurethral resection of the bladder tumor |
| UBC | urothelial bladder cancer |
References
- Witjes, J.A.; Lebret, T.; Compérat, E.M.; Cowan, N.C.; De Santis, M.; Bruins, H.M.; Hernández, V.; Espinós, E.L.; Dunn, J.; Rouanne, M.; et al. Updated 2016 EAU Guidelines on Muscle-invasive and Metastatic Bladder Cancer. Eur. Urol. 2017, 71, 462–475. [Google Scholar] [CrossRef]
- Winquist, E.; Kirchner, T.S.; Segal, R.; Chin, J.; Lukka, H. Genitourinary Cancer Disease Site Group. Cancer Care Ontario Program in Evidence-based Care Practice Guidelines Initiative. Neoadjuvant chemotherapy for transitional cell carcinoma of the bladder: A systematic review and meta-analysis. J. Urol. 2004, 171, 561–569. [Google Scholar] [CrossRef]
- Milowsky, M.I.; Rumble, R.B.; Booth, C.M.; Gilligan, T.; Eapen, L.J.; Hauke, R.J.; Boumansour, P.; Lee, C.T. Guideline on Muscle-Invasive and Metastatic Bladder Cancer (European Association of Urology Guideline): American Society of Clinical Oncology Clinical Practice Guideline Endorsement. J. Clin. Oncol. 2016, 34, 1945–1952. [Google Scholar] [CrossRef] [PubMed]
- Yin, M.; Joshi, M.; Meijer, R.P.; Glantz, M.; Holder, S.; Harvey, H.A.; Kaag, M.; Fransen van de Putte, E.E.; Horenblas, S.; Drabick, J.J. Neoadjuvant Chemotherapy for Muscle-Invasive Bladder Cancer: A Systematic Review and Two-Step Meta-Analysis. Oncologist 2016, 21, 708–715. [Google Scholar] [CrossRef] [PubMed]
- Grossman, H.B.; Natale, R.B.; Tangen, C.M.; Speights, V.O.; Vogelzang, N.J.; Trump, D.L.; deVere White, R.W.; Sarosdy, M.F.; Wood, D.P., Jr.; Raghavan, D.; et al. Neoadjuvant chemotherapy plus cystectomy compared with cystectomy alone for locally advanced bladder cancer. N. Engl. J. Med. 2003, 349, 859–866. [Google Scholar] [CrossRef]
- Sánchez-Ortiz, R.F.; Huang, W.C.; Mick, R.; Van Arsdalen, K.N.; Wein, A.J.; Malkowicz, S.B. An interval longer than 12 weeks between the diagnosis of muscle invasion and cystectomy is associated with worse outcome in bladder carcinoma. J. Urol. 2003, 169, 110–115. [Google Scholar] [CrossRef]
- Lee, C.T.; Madii, R.; Daignault, S.; Dunn, R.L.; Zhang, Y.; Montie, J.E.; Wood, D.P., Jr. Cystectomy delay more than 3 months from initial bladder cancer diagnosis results in decreased disease specific and overall survival. J. Urol. 2006, 175, 1262–1267. [Google Scholar] [CrossRef]
- Bhindi, B.; Frank, I.; Mason, R.J.; Tarrell, R.F.; Thapa, P.; Cheville, J.C.; Costello, B.A.; Pagliaro, L.C.; Karnes, R.J.; Thompson, R.H.; et al. Oncologic Outcomes for Patients with Residual Cancer at Cystectomy Following Neoadjuvant Chemotherapy: A Pathologic Stage-matched Analysis. Eur. Urol. 2017, 72, 660–664. [Google Scholar] [CrossRef]
- Choi, W.; Ochoa, A.; McConkey, D.J.; Aine, M.; Höglund, M.; Kim, W.Y.; Real, F.X.; Kiltie, A.E.; Milsom, I.; Dyrskjøt, L.; et al. Genetic Alterations in the Molecular Subtypes of Bladder Cancer: Illustration in the Cancer Genome Atlas Dataset. Eur. Urol. 2017, 72, 354–365. [Google Scholar] [CrossRef]
- Cancer Genome Atlas Research Network. Comprehensive molecular characterization of urothelial bladder carcinoma. Nature 2014, 507, 315–322. [Google Scholar] [CrossRef]
- Robertson, A.G.; Kim, J.; Al-Ahmadie, H.; Bellmunt, J.; Guo, G.; Cherniack, A.D.; Hinoue, T.; Laird, P.W.; Hoadley, K.A.; Akbani, R.; et al. TCGA Research Network. Comprehensive molecular characterization of muscle-invasive bladder cancer. Cell 2017, 171, 540–556. [Google Scholar] [CrossRef] [PubMed]
- Sjödahl, G.; Lauss, M.; Lövgren, K.; Chebil, G.; Gudjonsson, S.; Veerla, S.; Patschan, O.; Aine, M.; Fernö, M.; Ringnér, M.; et al. A molecular taxonomy for urothelial carcinoma. Clin. Cancer Res. 2012, 18, 3377–3386. [Google Scholar] [CrossRef] [PubMed]
- Hedegaard, J.; Lamy, P.; Nordentoft, I.; Algaba, F.; Høyer, S.; Ulhøi, B.P.; Vang, S.; Reinert, T.; Hermann, G.G.; Mogensen, K.; et al. Comprehensive Transcriptional Analysis of Early Stage Urothelial Carcinoma. Cancer Cell 2016, 30, 27–42. [Google Scholar] [CrossRef] [PubMed]
- Damrauer, J.S.; Hoadley, K.A.; Chism, D.D.; Fan, C.; Tiganelli, C.J.; Wobker, S.E.; Yeh, J.J.; Milowsky, M.I.; Iyer, G.; Parker, J.S.; et al. Intrinsic subtypes of high-grade bladder cancer reflect the hallmarks of breast cancer biology. Proc. Natl. Acad. Sci. USA 2014, 111, 3110–3115. [Google Scholar] [CrossRef]
- Choi, W.; Porten, S.; Kim, S.; Willis, D.; Plimack, E.R.; Hoffman-Censits, J.; Roth, B.; Cheng, T.; Tran, M.; Lee, I.L.; et al. Identification of distinct basal and luminal subtypes of muscle-invasive bladder cancer with different sensitivities to frontline chemotherapy. Cancer Cell 2014, 25, 152–165. [Google Scholar] [CrossRef]
- Lerner, S.P.; McConkey, D.J.; Hoadley, K.A.; Chan, K.S.; Kim, W.Y.; Radvanyi, F.; Höglund, M.; Real, F.X. Bladder cancer molecular taxonomy: Summary from a Consensus meeting. Bladder Cancer 2016, 2, 37–47. [Google Scholar] [CrossRef]
- Rebouissou, S.; Bernard-Pierrot, I.; de Reyniès, A.; Lepage, M.L.; Krucker, C.; Chapeaublanc, E.; Hérault, A.; Kamoun, A.; Caillault, A.; Letouzé, E.; et al. EGFR as a potential therapeutic target for a subset of muscle-invasive bladder cancers presenting a basal-like phenotype. Sci. Transl. Med. 2014, 6, 244ra291. [Google Scholar] [CrossRef]
- Seiler, R.; Ashab, H.A.D.; Erho, N.; van Rhijn, B.W.G.; Winters, B.; Douglas, J.; Van Kessel, K.E.; van de Putte, F.E.E.; Sommerlad, M.; Wang, N.Q.; et al. Impact of Molecular Subtypes in Muscle-invasive Bladder Cancer on Predicting Response and Survival after Neoadjuvant Chemotherapy. Eur. Urol. 2017, 72, 544–554. [Google Scholar] [CrossRef]
- McConkey, D.J.; Choi, W.; Shen, Y.; Lee, I.L.; Porten, S.; Matin, S.F.; Kamat, A.M.; Corn, P.; Millikan, R.E.; Dinney, C.; et al. A Prognostic Gene Expression Signature in the Molecular Classification of Chemotherapy-naïve Urothelial Cancer is Predictive of Clinical Outcomes from Neoadjuvant Chemotherapy: A Phase 2 Trial of Dose-dense Methotrexate, Vinblastine.; Doxorubicin.; and Cisplatin with Bevacizumab in Urothelial Cancer. Eur. Urol. 2016, 69, 855–862. [Google Scholar]
- Sjödahl, G.; Eriksson, P.; Liedberg, F.; Höglund, M. Molecular classification of urothelial carcinoma: Global mRNA classification versus tumour-cell phenotype classification. J. Pathol. 2017, 242, 113–215. [Google Scholar] [CrossRef]
- Dadhania, V.; Zhang, M.; Zhang, L.; Bondaruk, J.; Majewski, T.; Siefker-Radtke, A.; Guo, C.C.; Dinney, C.; Cogdell, D.E.; Zhang, S.; et al. Meta-Analysis of the Luminal and Basal Subtypes of Bladder Cancer and the Identification of Signature Immunohistochemical Markers for Clinical Use. EBioMedicine 2016, 12, 105–117. [Google Scholar] [CrossRef] [PubMed]
- Kompier, L.C.; Lurkin, I.; van der Aa, M.N.M.; van Rhijn, B.W.G.; van der Kwast, T.H.; Zwarthoff, E.C. FGFR3, HRAS, KRAS, NRAS and PIK3CA Mutations in Bladder Cancer and Their Potential as Biomarkers for Surveillance and Therapy. PLoS ONE 2010, 5, e13821. [Google Scholar] [CrossRef] [PubMed]
- Balbás-Martínez, C.; Sagrera, A.; Carrillo-de-Santa-Pau, E.; Earl, J.; Márquez, M.; Vazquez, M.; Lapi, E.; Castro-Giner, F.; Beltran, S.; Bayés, M.; et al. Recurrent inactivation of STAG2 in bladder cancer is not associated with aneuploidy. Nat. Genet. 2013, 45, 1464–1469. [Google Scholar] [CrossRef] [PubMed]
- Jakobsson, L.; Chebil, G.; Marzouka, N.A.; Liedberg, F.; Sjödahl, G. Low Frequency of Intratumour Heterogeneity in Bladder Cancer Tissue Microarrays. Bladder Cancer 2018, 4, 327–337. [Google Scholar] [CrossRef] [PubMed]
- Sjödahl, G.; Jackson, C.L.; Bartlett, J.M.; Siemens, D.R.; Berman, D.M. Molecular profiling in muscle-invasive bladder cancer: More than the sum of its parts. J. Pathol. 2019, 247, 563–573. [Google Scholar] [CrossRef]
- Seiler, R.; Gibb, E.A.; Wang, N.Q.; Oo, H.Z.; Lam, H.M.; van Kessel, K.E.; Voskuilen, C.S.; Winters, B.; Erho, N.; Takhar, M.M.; et al. Divergent Biological Response to Neoadjuvant Chemotherapy in Muscle-invasive Bladder Cancer. Clin. Cancer Res. 2018, 25, 5082–5093. [Google Scholar] [CrossRef]
- Warrick, J.I.; Sjödahl, G.; Kaag, M.; Raman, J.D.; Merrill, S.; Shuman, L.; Chen, G.; Walter, V.; DeGraff, D.J. Intratumoural Heterogeneity of Bladder Cancer by Molecular Subtypes and Histologic Variants. Eur. Urol. 2019, 75, 18–22. [Google Scholar] [CrossRef]
- Sjödahl, G.; Eriksson, P.; Lövgren, K.; Marzouka, N.A.; Bernardo, C.; Nordentoft, I.; Dyrskjøt, L.; Liedberg, F.; Höglund, M. Discordant molecular subtype classification in the basal-squamous subtype of bladder tumours and matched lymph-node metastases. Mod. Pathol. 2018, 31, 1869–1881. [Google Scholar] [CrossRef] [PubMed]
- Kamoun, A.; de Reyniès, A.; Allory, Y.; Sjödahl, G.; Robertson, A.G.; Seiler, R.; Hoadley, K.A.; Groeneveld, C.S.; Al-Ahmadie, H.; Choi, W.; et al. For the Bladder Cancer Molecular Taxonomy Group. The consensus molecular classification of muscle-invasive bladder cancer. Eur. Urol. 2019, 77, 420–433. [Google Scholar] [CrossRef]
- Van Allen, E.M.; Mouw, K.W.; Kim, P.; Iyer, G.; Wagle, N.; Al-Ahmadie, H.; Zhu, C.; Ostrovnaya, I.; Kryukov, G.V.; O'Connor, K.W.; et al. Somatic ERCC2 mutations correlate with cisplatin sensitivity in muscle-invasive urothelial carcinoma. Cancer Discov. 2014, 4, 1140–1153. [Google Scholar] [CrossRef]
- Plimack, E.R.; Dunbrack, R.L.; Brennan, T.A.; Andrake, M.D.; Zhou, Y.; Serebriiskii, I.G.; Slifker, M.; Alpaugh, K.; Dulaimi, E.; Palma, N.; et al. Defects in DNA Repair Genes Predict Response to Neoadjuvant Cisplatin-based Chemotherapy in Muscle-invasive Bladder Cancer. Eur. Urol. 2015, 68, 959–967. [Google Scholar] [CrossRef] [PubMed]
- Zargar, H.; Espiritu, P.N.; Fairey, A.S.; Mertens, L.S.; Dinney, C.P.; Mir, M.C.; Krabbe, L.M.; Cookson, M.S.; Jacobsen, N.E.; Gandhi, N.M.; et al. Multicenter assessment of neoadjuvant chemotherapy for muscle-invasive bladder cancer. Eur. Urol. 2015, 67, 241–249. [Google Scholar] [CrossRef] [PubMed]
- Peyton, C.C.; Tang, D.; Reich, R.R.; Azizi, M.; Chipollini, J.; Pow-Sang, J.M.; Manley, B.; Spiess, P.E.; Poch, M.A.; Sexton, W.J.; et al. Downstaging and survival outcomes associated with neoadjuvant chemotherapy regimens among patients treated with cystectomy for muscle-invasive bladder cancer. JAMA Oncol. 2018, 4, 1535–1542. [Google Scholar] [CrossRef] [PubMed]
- Kolde, R. Pheatmap: Pretty Heatmaps, R Package Version 61, R Package: Madison WI. USA 2012. [Google Scholar]
- Hennig, C. Cluster-wise assessment of cluster stability. Comput. Stat. Data Anal. 2007, 52, 258–271. [Google Scholar] [CrossRef]



| Characteristics | Total N = 126 | Basq_Like N = 47 | Luminal_Like N = 44 | Mixed N = 35 | p value |
|---|---|---|---|---|---|
| Sex | 1.000 | ||||
| Male | 118 (93.7%) | 44 (93.6%) | 41 (93.2%) | 33 (94.3%) | |
| Female | 8 (6.3%) | 3 (6.4%) | 3 (6.8%) | 2 (5.7%) | |
| Age (Med, IQR) | 66 (61–72) | 66.0 (62.0;72.0) | 67.0 (62.0;72.2) | 65.0 (57.5;71.5) | 0.481 |
| Morphology | 0.011 | ||||
| Urothelial (pure) | 108 (85.7%) | 33 (70.2%) | 43 (97.7%) | 32 (91.4%) | |
| Mixed (squamous component) | 14 (11.1%) | 10 (21.3%) | 1 (2.27%) | 3 (8.57%) | |
| Mixed (adenoca. component) | 2 (1.6%) | 2 (4.26%) | 0 (0.00%) | 0 (0.00%) | |
| Other* | 2 (1.6%) | 2 (4.26%) | 0 (0.00%) | 0 (0.00%) | |
| Grade | 0.967 | ||||
| Low | 3 (2.4%) | 1 (2.13%) | 1 (2.27%) | 1 (2.86%) | |
| High | 123 (97.6%) | 46 (97.9%) | 43 (97.7%) | 34 (97.1%) | |
| Lymphovascular invasion | 0.576 | ||||
| No | 97 (77.0%) | 39 (83.0%) | 34 (77.3%) | 24 (68.6%) | |
| Yes | 24 (19.0%) | 7 (14.9%) | 9 (20.5%) | 8 (22.9%) | |
| 'Missing' | 5 (3.0%) | 1 (2.13%) | 2 (4.5%) | 3 (8.6%) | |
| Hydronephrosis | 0.749 | ||||
| No | 77 (61.1%) | 27 (57.4%) | 27 (61.4%) | 23 (65.7%) | |
| Yes | 49 (38.9%) | 20 (42.6%) | 17 (38.6%) | 12 (34.3%) | |
| cTNM | 0.017 | ||||
| T2N0 | 11 (8.80%) | 2 (4.35%) | 9 (20.5%) | 0 (0.00%) | |
| T3/4N0 | 93 (74.4%) | 37 (80.4%) | 27 (61.4%) | 29 (82.9%) | |
| TxN1M0 | 21 (16.8%) | 7 (15.2%) | 8 (18.2%) | 6 (17.1%) | |
| 'Missing' | 1 (0.8%) | 1 (2.1%) | 0 (0.00%) | 0 (0.00%) | |
| NAC treatment | |||||
| CG/CaG | 91 (72.2) | 32 (68.1) | 35 (79.5) | 24 (68.6) | 0.014 |
| CMV | 31 (24.6) | 15 (31.9) | 5 (11.4) | 11 (31.4) | |
| Other* | 4 (3.2) | 0 | 4 (9.1) | 0 | |
| pTNM | 0.034 | ||||
| Complete | 39 (31.2%) | 20 (42.6%) | 12 (27.3%) | 7 (20.0%) | |
| Partial | 16 (12.8%) | 1 (2.1%) | 8 (18.2%) | 7 (20.0%) | |
| Not responder | 70 (56%) | 26 (55.3%) | 23 (52.3%) | 21 (60.0%) | |
| 'Missing' | 1 (0.79) | 0 (0.00%) | 1 (2.27%) | 0 (0.00%) | |
| Lymph node invasion | 0.553 | ||||
| No | 97 (80.2%) | 39 (84.8%) | 34 (79.1%) | 24 (75.0%) | |
| Yes | 24 (19.8%) | 7 (15.2%) | 9 (20.9%) | 8 (25.0%) | |
| 'Missing' | 1 (2.13%) | 1 (2.27%) | 3 (8.57%) | ||
| Lymph nodes resected | 0.033 | ||||
| 0–9 | 67 (55.4%) | 29 (63.0%) | 17 (39.5%) | 21 (65.6%) | |
| 10+ | 54 (44.6%) | 17 (37.0%) | 26 (60.5%) | 11 (34.4%) | |
| 'Missing' | 5 (4%) | 1 (2.13%) | 1 (2.27%) | 3 (8.57%) |
© 2020 by the authors. Licensee MDPI, Basel, Switzerland. This article is an open access article distributed under the terms and conditions of the Creative Commons Attribution (CC BY) license (http://creativecommons.org/licenses/by/4.0/).
Share and Cite
Font, A.; Domènech, M.; Benítez, R.; Rava, M.; Marqués, M.; Ramírez, J.L.; Pineda, S.; Domínguez-Rodríguez, S.; Gago, J.L.; Badal, J.; et al. Immunohistochemistry-Based Taxonomical Classification of Bladder Cancer Predicts Response to Neoadjuvant Chemotherapy. Cancers 2020, 12, 1784. https://doi.org/10.3390/cancers12071784
Font A, Domènech M, Benítez R, Rava M, Marqués M, Ramírez JL, Pineda S, Domínguez-Rodríguez S, Gago JL, Badal J, et al. Immunohistochemistry-Based Taxonomical Classification of Bladder Cancer Predicts Response to Neoadjuvant Chemotherapy. Cancers. 2020; 12(7):1784. https://doi.org/10.3390/cancers12071784
Chicago/Turabian StyleFont, Albert, Montserrat Domènech, Raquel Benítez, Marta Rava, Miriam Marqués, José L. Ramírez, Silvia Pineda, Sara Domínguez-Rodríguez, José L. Gago, Josep Badal, and et al. 2020. "Immunohistochemistry-Based Taxonomical Classification of Bladder Cancer Predicts Response to Neoadjuvant Chemotherapy" Cancers 12, no. 7: 1784. https://doi.org/10.3390/cancers12071784
APA StyleFont, A., Domènech, M., Benítez, R., Rava, M., Marqués, M., Ramírez, J. L., Pineda, S., Domínguez-Rodríguez, S., Gago, J. L., Badal, J., Carrato, C., López, H., Quer, A., Castellano, D., Malats, N., & Real, F. X. (2020). Immunohistochemistry-Based Taxonomical Classification of Bladder Cancer Predicts Response to Neoadjuvant Chemotherapy. Cancers, 12(7), 1784. https://doi.org/10.3390/cancers12071784

