Proposal of a Two-Tier System in Grouping Adenocarcinoma of the Uterine Cervix
Abstract
1. Introduction
2. Materials and Methods
2.1. Data
2.2. Eligibility Criteria
2.3. Clinical Information
2.4. Study Definition
2.5. External Validation Cohort
2.6. Population Trend Estimation
2.7. Statistical Analysis
2.8. Ethical Committee Approval
3. Results
3.1. Patient Demographics
3.2. Histological Type-Specific Trends
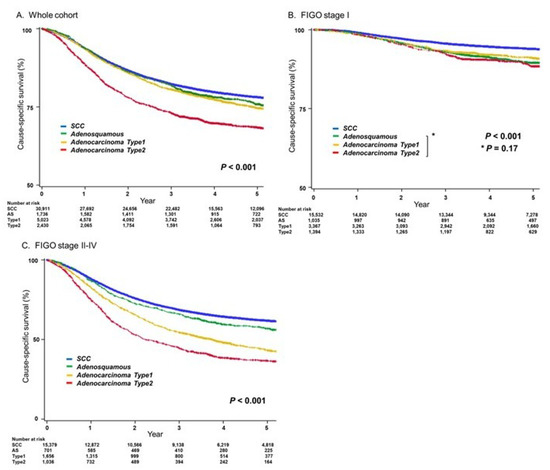
3.3. Cause-Specific Survival for Histological Subtypes
3.4. SEER Registry Database
4. Discussion
5. Conclusions
Supplementary Materials
Author Contributions
Funding
Acknowledgments
Conflicts of Interest
Disclosure Statement
References
- Cancer Information Service NCC, Japan. Available online: https://ganjoho.jp/en/professional/statistics/brochure/2019_en.html (accessed on 5 February 2020).
- Yagi, A.; Ueda, Y.; Kakuda, M.; Tanaka, Y.; Ikeda, S.; Matsuzaki, S.; Kobayashi, E.; Morishima, T.; Miyashiro, I.; Fukui, K.; et al. Epidemiologic and Clinical Analysis of Cervical Cancer Using Data from the Population-Based Osaka Cancer Registry. Cancer Res. 2019, 79, 1252–1259. [Google Scholar] [CrossRef]
- Adegoke, O.; Kulasingam, S.; Virnig, B. Cervical cancer trends in the United States: A 35-year population-based analysis. J. Women’s Health 2012, 21, 1031–1037. [Google Scholar] [CrossRef] [PubMed]
- Kurman, R.J.; Carcangiu, M.L.; Herrington, C.S.; Young, R.H. WHO Classification of Tumours of Female Reproductive Organs; IARC Publications: Lyon, France, 2014. [Google Scholar]
- Integrated genomic and molecular characterization of cervical cancer. Nature 2017, 543, 378–384. [CrossRef] [PubMed]
- Mabuchi, S.; Okazawa, M.; Matsuo, K.; Kawano, M.; Suzuki, O.; Miyatake, T.; Enomoto, T.; Kamiura, S.; Ogawa, K.; Kimura, T. Impact of histological subtype on survival of patients with surgically-treated stage IA2-IIB cervical cancer: Adenocarcinoma versus squamous cell carcinoma. Gynecol. Oncol. 2012, 127, 114–120. [Google Scholar] [CrossRef] [PubMed]
- Yokoi, E.; Mabuchi, S.; Takahashi, R.; Matsumoto, Y.; Kuroda, H.; Kozasa, K.; Kimura, T. Impact of histological subtype on survival in patients with locally advanced cervical cancer that were treated with definitive radiotherapy: Adenocarcinoma/adenosquamous carcinoma versus squamous cell carcinoma. J. Gynecol. Oncol. 2017, 28, e19. [Google Scholar] [CrossRef]
- Galic, V.; Herzog, T.J.; Lewin, S.N.; Neugut, A.I.; Burke, W.M.; Lu, Y.S.; Hershman, D.L.; Wright, J.D. Prognostic significance of adenocarcinoma histology in women with cervical cancer. Gynecol. Oncol. 2012, 125, 287–291. [Google Scholar] [CrossRef]
- Project JSOG. In Proceedings of the 68th Annual Congress of the Japan Society of Obstetrics and Gynecology, Tokyo, Japan, 21–24 April 2016.
- Yamagami, W.; Nagase, S.; Takahashi, F.; Ino, K.; Hachisuga, T.; Aoki, D.; Katabuchi, H. Clinical statistics of gynecologic cancers in Japan. J. Gynecol. Oncol. 2017, 28, e32. [Google Scholar] [CrossRef]
- Machida, H.; Matsuo, K.; Yamagami, W.; Ebina, Y.; Kobayashi, Y.; Tabata, T.; Kanauchi, M.; Nagase, S.; Enomoto, T.; Mikami, M. Trends and characteristics of epithelial ovarian cancer in Japan between 2002 and 2015: A JSGO-JSOG joint study. Gynecol. Oncol. 2019, 153, 589–596. [Google Scholar] [CrossRef]
- FIGO staging for carcinoma of the vulva, cervix, and corpus uteri. Int. J. Gynaecol. Obstet. 2014, 125, 97–98. [CrossRef]
- National Cancer Institute. Surveillance, Epidemiology, and End Results Program. Available online: http://seer.cancer.gov/ (accessed on 5 February 2020).
- Cancer Information Service, NCC, Japan. Available online: https://ganjoho.jp/en/public/statistics/short_pred.html (accessed on 5 February 2020).
- Von Elm, E.; Altman, D.G.; Egger, M.; Pocock, S.J.; Gotzsche, P.C.; Vandenbroucke, J.P. Strengthening the Reporting of Observational Studies in Epidemiology (STROBE) statement: Guidelines for reporting observational studies. BMJ (Clin. Res. Ed.) 2007, 335, 806–808. [Google Scholar] [CrossRef]
- Park, K.J. Cervical adenocarcinoma: Integration of HPV status, pattern of invasion, morphology and molecular markers into classification. Histopathology 2020, 76, 112–127. [Google Scholar] [CrossRef] [PubMed]
- de Sanjose, S.; Diaz, M.; Castellsague, X.; Clifford, G.; Bruni, L.; Munoz, N.; Bosch, F.X. Worldwide prevalence and genotype distribution of cervical human papillomavirus DNA in women with normal cytology: A meta-analysis. Lancet Infect. Dis. 2007, 7, 453–459. [Google Scholar] [CrossRef]
- Stolnicu, S.; Barsan, I.; Hoang, L.; Patel, P.; Terinte, C.; Pesci, A.; Aviel-Ronen, S.; Kiyokawa, T.; Alvarado-Cabrero, I.; Pike, M.C.; et al. International Endocervical Adenocarcinoma Criteria and Classification (IECC): A New Pathogenetic Classification for Invasive Adenocarcinomas of the Endocervix. Am. J. Surg. Pathol. 2018, 42, 214–226. [Google Scholar] [CrossRef] [PubMed]
- Kusanagi, Y.; Kojima, A.; Mikami, Y.; Kiyokawa, T.; Sudo, T.; Yamaguchi, S.; Nishimura, R. Absence of high-risk human papillomavirus (HPV) detection in endocervical adenocarcinoma with gastric morphology and phenotype. Am. J. Pathol. 2010, 177, 2169–2175. [Google Scholar] [CrossRef]
- Kojima, A.; Mikami, Y.; Sudo, T.; Yamaguchi, S.; Kusanagi, Y.; Ito, M.; Nishimura, R. Gastric morphology and immunophenotype predict poor outcome in mucinous adenocarcinoma of the uterine cervix. Am. J. Surg. Pathol. 2007, 31, 664–672. [Google Scholar] [CrossRef]
- Muller, P.A.; Vousden, K.H. Mutant p53 in cancer: New functions and therapeutic opportunities. Cancer Cell 2014, 25, 304–317. [Google Scholar] [CrossRef]
- Nofech-Mozes, S.; Rasty, G.; Ismiil, N.; Covens, A.; Khalifa, M.A. Immunohistochemical characterization of endocervical papillary serous carcinoma. Int. J. Gynecol. Cancer Off. J. Int. Gynecol. Cancer Soc. 2006, 16 (Suppl. 1), 286–292. [Google Scholar] [CrossRef]
- Melnick, S.; Cole, P.; Anderson, D.; Herbst, A. Rates and risks of diethylstilbestrol-related clear-cell adenocarcinoma of the vagina and cervix. An update. N. Engl. J. Med. 1987, 316, 514–516. [Google Scholar] [CrossRef]
- Kono, S.; Sunagawa, Y.; Higa, H.; Sunagawa, H. Age of menopause in Japanese women: Trends and recent changes. Maturitas 1990, 12, 43–49. [Google Scholar] [CrossRef]
- Yoshida, H.; Sakamoto, H.; Leslie, A.; Takahashi, O.; Tsuboi, S.; Kitamura, K. Contraception in Japan: Current trends. Contraception 2016, 93, 475–477. [Google Scholar] [CrossRef]
- Itamochi, H.; Kigawa, J.; Terakawa, N. Mechanisms of chemoresistance and poor prognosis in ovarian clear cell carcinoma. Cancer Sci. 2008, 99, 653–658. [Google Scholar] [CrossRef] [PubMed]
- Bruni, L.; Diaz, M.; Castellsague, X.; Ferrer, E.; Bosch, F.X.; de Sanjose, S. Cervical human papillomavirus prevalence in 5 continents: Meta-analysis of 1 million women with normal cytological findings. J. Infect. Dis. 2010, 202, 1789–1799. [Google Scholar] [CrossRef] [PubMed]
- Andersson, S.; Rylander, E.; Larsson, B.; Strand, A.; Silfversvard, C.; Wilander, E. The role of human papillomavirus in cervical adenocarcinoma carcinogenesis. Eur. J. Cancer (Oxf. Engl. 1990) 2001, 37, 246–250. [Google Scholar] [CrossRef]
- Sasieni, P.; Adams, J. Changing rates of adenocarcinoma and adenosquamous carcinoma of the cervix in England. Lancet (Lond. Engl.) 2001, 357, 1490–1493. [Google Scholar] [CrossRef]
- Roura, E.; Travier, N.; Waterboer, T.; de Sanjose, S.; Bosch, F.X.; Pawlita, M.; Pala, V.; Weiderpass, E.; Margall, N.; Dillner, J.; et al. The Influence of Hormonal Factors on the Risk of Developing Cervical Cancer and Pre-Cancer: Results from the EPIC Cohort. PLoS ONE 2016, 11, e0147029. [Google Scholar] [CrossRef]
- Roura, E.; Castellsague, X.; Pawlita, M.; Travier, N.; Waterboer, T.; Margall, N.; Bosch, F.X.; de Sanjose, S.; Dillner, J.; Gram, I.T.; et al. Smoking as a major risk factor for cervical cancer and pre-cancer: Results from the EPIC cohort. Int. J. Cancer 2014, 135, 453–466. [Google Scholar] [CrossRef]
- Gien, L.T.; Beauchemin, M.C.; Thomas, G. Adenocarcinoma: A unique cervical cancer. Gynecol. Oncol. 2010, 116, 140–146. [Google Scholar] [CrossRef]
- Hodgson, A.; Olkhov-Mitsel, E.; Howitt, B.E.; Nucci, M.R.; Parra-Herran, C. International Endocervical Adenocarcinoma Criteria and Classification (IECC): Correlation with adverse clinicopathological features and patient outcome. J. Clin. Pathol. 2019, 72, 347–353. [Google Scholar] [CrossRef]



| Characteristics | SCC | AC Type 1 | AC Type 2 | AS | p-Value |
|---|---|---|---|---|---|
| Number | 64,512 (77.5%) | 10,121 (12.2%) | 5157 (6.2%) | 3428 (4.1%) | |
| Age (years) | 52 (40–65) | 49 (40–60) | 54 (42–65) | 46 (39–57) | <0.001 |
| <40 | 15,074 (23.4%) | 2326 (23.0%) | 973 (18.9%) | 960 (28.0%) | |
| 40–49 | 14,361 (22.3%) | 2971 (29.4%) | 1321 (25.6%) | 1069 (31.2%) | |
| 50–59 | 12,111 (18.8%) | 2282(22.5%) | 1031 (20.0%) | 699 (20.4%) | |
| 60–69 | 11,305 (17.5%) | 1517 (15.0%) | 934 (18.1%) | 440 (12.8%) | |
| ≥70 | 11,661 (18.1%) | 1025(10.1%) | 898 (17.4%) | 260 (7.6%) | |
| Registry area | <0.001 | ||||
| North | 4426 (6.9%) | 661 (6.5%) | 384 (7.4%) | 184 (5.4%) | |
| Central | 9475 (14.7%) | 1615 (16.0%) | 804 (15.6%) | 477 (13.9%) | |
| East | 22,590 (35.0%) | 3784 (37.4%) | 1901 (36.9%) | 1476 (43.1%) | |
| West | 28,021 (43.4%) | 4061 (40.1%) | 2068 (40.1%) | 1291 (37.7%) | |
| Year at diagnosis | <0.001 | ||||
| 2001–2005 | 17,638 (27.3%) | 2635 (26.0%) | 1149 (22.3%) | 948 (27.7%) | |
| 2006–2010 | 20,769 (32.2%) | 3322 (32.8%) | 1629 (31.6%) | 1148 (33.5%) | |
| 2011–2015 | 26,105 (40.5%) | 4164 (41.1%) | 2379 (46.1%) | 1332 (38.9%) | |
| FIGO stage | <0.001 | ||||
| I | 33,589 (52.1%) | 6989 (69.1%) | 2952 (57.2%) | 2094 (61.1%) | |
| II | 15,657 (24.3%) | 1968 (19.4%) | 926 (18.0%) | 859 (25.1%) | |
| III | 9329 (14.5%) | 559 (5.5%) | 556 (10.8%) | 236 (6.9%) | |
| IV | 5937 (9.2%) | 605 (6.0%) | 723 (14.0%) | 239 (7.0%) | |
| Histology | n.a. | ||||
| Squamous cell | 64,512 (100%) | 0 | 0 | 0 | |
| Adenosquamous | 0 | 0 | 0 | 3428 (100%) | |
| Adenocarcinoma | |||||
| Endocervical usual type | 0 | 8194 (81.0%) | 0 | 0 | |
| Endometrioid | 0 | 1927 (19.0%) | 0 | 0 | |
| Mucinous | 0 | 0 | 617 (12.0%) | 0 | |
| Serous | 0 | 0 | 311 (6.0%) | 0 | |
| Clear | 0 | 0 | 543 (10.5%) | 0 | |
| NOS | 0 | 0 | 3686 (71.5%) | 0 | |
| Initial treatment | <0.001 | ||||
| Surgery | 38,424 (59.6%) | 8637 (85.3%) | 3512 (68.1%) | 2781 (81.1%) | |
| CCRT | 14,395 (22.3%) | 797 (7.9%) | 758 (14.7%) | 368 (10.7%) | |
| RT only | 10,461 (16.2%) | 446 (4.4%) | 434 (8.4%) | 200 (5.8%) | |
| Chemotherapy only | 840 (1.3%) | 200 (2.0%) | 246 (8.3%) | 69 (2.0%) | |
| Others | 392 (0.6%) | 41 (0.4%) | 27 (0.5%) | 10 (0.3%) |
| Survival | Univariable | Multivariable | |||
|---|---|---|---|---|---|
| Characteristic | 5-yr (%) | HR (95% CI) | p-Value | HR (95% CI) | p-Value |
| Age (years) | |||||
| ≤39 | 86.6% | 0.47 (0.43–0.50) | <0.001 | 1.11 (1.03–1.19) | 0.008 |
| 40–49 | 80.6% | 0.70 (0.66–0.75) | <0.001 | 1.08 (1.01–1.15) | 0.02 |
| 50–59 | 73.0% | 1 | 1 | ||
| 60–69 | 74.4% | 0.94 (0.88–1.01) | 0.07 | 0.86 (0.81–0.92) | <0.001 |
| ≥70 | 66.0% | 1.36 (1.27–1.45) | <0.001 | 1.04 (0.98–1.10) | 0.23 |
| Registry Area | |||||
| North | 78.4% | 0.90 (0.82–0.99) | 0.03 | 1.10 (0.99–1.20) | 0.051 |
| Central | 76.1% | 1.00 (0.93–1.07) | 0.98 | 1.09 (1.02–1.16) | 0.02 |
| East | 76.2% | 1 | 1 | ||
| West | 78.2% | 0.91 (0.87–0.96) | <0.001 | 0.95 (0.91–1.00) | 0.055 |
| Year at diagnosis | |||||
| 2001–2005 | 68.7% | 1 | 1 | ||
| 2006–2010 | 80.4% | 0.58 (0.55–0.61) | <0.001 | 0.63 (0.60–0.66) | <0.001 |
| 2011–2015 | 83.0% | 054 (0.49–0.58) | <0.001 | 0.57 (0.53–0.62) | <0.001 |
| FIGO stage | |||||
| I | 92.6% | 1 | 1 | ||
| II | 74.1% | 3.81 (0.36–4.08) | <0.001 | 3.63 (3.38–3.90) | <0.001 |
| III | 54.6% | 8.20 (7.67–8.77) | <0.001 | 6.67 (6.11–7.25) | <0.001 |
| IV | 26.2% | 19.7 (18.4–21.1) | <0.001 | 15.19 (14.0–16.5) | <0.001 |
| Histology | |||||
| Squamous cell | 78.0% | 1 | 1 | ||
| Adenosquamous | 74.1% | 1.10 (0.99–1.22) | 0.08 | 1.50 (1.35–1.66) | <0.001 |
| Type 1 adenocarcinoma | 75.4% | 1.15 (1.08–1.23) | <0.001 | 1.95 (1.82–2.08) | <0.001 |
| Type 2 adenocarcinoma | 68.9% | 1.58 (1.46–1.71) | <0.001 | 2.00 (1.84–2.15) | <0.001 |
| Initial treatment | |||||
| Surgery | 88.1% | 1 | 1 | ||
| CCRT | 59.8% | 4.37 (4.15–4.61) | <0.001 | 1.59 (1.48–1.71) | <0.001 |
| RT alone | 59.0% | 4.42 (4.17–4.69) | <0.001 | 1.35 (1.25–1.48) | <0.001 |
| Chemotherapy alone | 19.9% | 15.9 (14.4–17.7) | <0.001 | 2.05 (1.89–2.23) | <0.001 |
| Others | 67.1% | 3.92 (3.02–5.08) | <0.001 | 2.45 (2.05–3.42) | <0.001 |
© 2020 by the authors. Licensee MDPI, Basel, Switzerland. This article is an open access article distributed under the terms and conditions of the Creative Commons Attribution (CC BY) license (http://creativecommons.org/licenses/by/4.0/).
Share and Cite
Machida, H.; Matsuo, K.; Matsuzaki, S.; Yamagami, W.; Ebina, Y.; Kobayashi, Y.; Tabata, T.; Kaneuchi, M.; Nagase, S.; Enomoto, T.; et al. Proposal of a Two-Tier System in Grouping Adenocarcinoma of the Uterine Cervix. Cancers 2020, 12, 1251. https://doi.org/10.3390/cancers12051251
Machida H, Matsuo K, Matsuzaki S, Yamagami W, Ebina Y, Kobayashi Y, Tabata T, Kaneuchi M, Nagase S, Enomoto T, et al. Proposal of a Two-Tier System in Grouping Adenocarcinoma of the Uterine Cervix. Cancers. 2020; 12(5):1251. https://doi.org/10.3390/cancers12051251
Chicago/Turabian StyleMachida, Hiroko, Koji Matsuo, Shinya Matsuzaki, Wataru Yamagami, Yasuhiko Ebina, Yoichi Kobayashi, Tsutomu Tabata, Masanori Kaneuchi, Satoru Nagase, Takayuki Enomoto, and et al. 2020. "Proposal of a Two-Tier System in Grouping Adenocarcinoma of the Uterine Cervix" Cancers 12, no. 5: 1251. https://doi.org/10.3390/cancers12051251
APA StyleMachida, H., Matsuo, K., Matsuzaki, S., Yamagami, W., Ebina, Y., Kobayashi, Y., Tabata, T., Kaneuchi, M., Nagase, S., Enomoto, T., & Mikami, M. (2020). Proposal of a Two-Tier System in Grouping Adenocarcinoma of the Uterine Cervix. Cancers, 12(5), 1251. https://doi.org/10.3390/cancers12051251

