Muscle Loss after Chemoradiotherapy as a Biomarker of Distant Failures in Locally Advanced Cervical Cancer
Abstract
1. Introduction
2. Results
2.1. Body Composition at the Baseline and Change after Treatment
2.2. Body Composition and Distant Failures
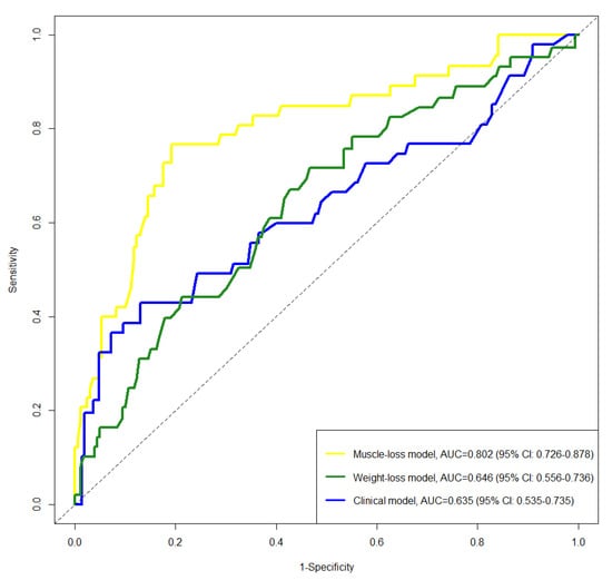
2.3. Comparison of Clinical, Weight-Loss, and Muscle-Loss Models
3. Discussion
4. Materials and Methods
4.1. Patients
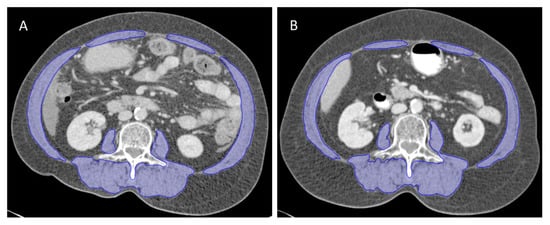
4.2. Computed Tomography-Based Body Composition Analysis
4.3. Statistical Analysis
5. Conclusions
Supplementary Materials
Author Contributions
Funding
Acknowledgments
Conflicts of Interest
References
- Bray, F.; Ferlay, J.; Soerjomataram, I.; Siegel, R.L.; Torre, L.A.; Jemal, A. Global cancer statistics 2018: GLOBOCAN estimates of incidence and mortality worldwide for 36 cancers in 185 countries. CA Cancer J. Clin. 2018, 68, 394–424. [Google Scholar] [CrossRef]
- Sturdza, A.; Potter, R.; Fokdal, L.U.; Haie-Meder, C.; Tan, L.T.; Mazeron, R.; Petric, P.; Segedin, B.; Jurgenliemk-Schulz, I.M.; Nomden, C.; et al. Image guided brachytherapy in locally advanced cervical cancer: Improved pelvic control and survival in RetroEMBRACE, a multicenter cohort study. Radiother. Oncol. 2016, 120, 428–433. [Google Scholar] [CrossRef] [PubMed]
- Lee, J.; Lin, J.B.; Chang, C.L.; Jan, Y.T.; Sun, F.J.; Wu, M.H.; Chen, Y.J. Prophylactic lower para-aortic irradiation using intensity-modulated radiotherapy mitigates the risk of para-aortic recurrence in locally advanced cervical cancer: A 10-year institutional experience. Gynecol. Oncol. 2017, 146, 20–26. [Google Scholar] [CrossRef]
- Lee, J.; Lin, J.B.; Chang, C.L.; Sun, F.J.; Wu, M.H.; Jan, Y.T.; Chen, Y.J. Impact of para-aortic recurrence risk-guided intensity-modulated radiotherapy in locally advanced cervical cancer with positive pelvic lymph nodes. Gynecol. Oncol. 2018, 148, 291–298. [Google Scholar] [CrossRef] [PubMed]
- Liang, J.A.; Chen, S.W.; Hung, Y.C.; Yeh, L.S.; Chang, W.C.; Lin, W.C.; Chang, Y.Y. Low-dose, prophylactic, extended-field, intensity-modulated radiotherapy plus concurrent weekly cisplatin for patients with stage IB2-IIIB cervical cancer, positive pelvic lymph nodes, and negative para-aortic lymph nodes. Int. J. Gynecol. Cancer 2014, 24, 901–907. [Google Scholar] [CrossRef] [PubMed]
- Tan, L.T.; Potter, R.; Sturdza, A.; Fokdal, L.; Haie-Meder, C.; Schmid, M.; Gregory, D.; Petric, P.; Jurgenliemk-Schulz, I.; Gillham, C.; et al. Change in Patterns of Failure After Image-Guided Brachytherapy for Cervical Cancer: Analysis from the RetroEMBRACE Study. Int. J. Radiat. Oncol. Biol. Phys. 2019, 104, 895–902. [Google Scholar] [CrossRef] [PubMed]
- Yavas, G.; Yavas, C.; Sen, E.; Oner, I.; Celik, C.; Ata, O. Adjuvant carboplatin and paclitaxel after concurrent cisplatin and radiotherapy in patients with locally advanced cervical cancer. Int. J. Gynecol. Cancer 2019, 29, 42–47. [Google Scholar] [CrossRef] [PubMed]
- Tangjitgamol, S.; Katanyoo, K.; Laopaiboon, M.; Lumbiganon, P.; Manusirivithaya, S.; Supawattanabodee, B. Adjuvant chemotherapy after concurrent chemoradiation for locally advanced cervical cancer. Cochrane Database Syst. Rev. 2014, CD010401. [Google Scholar] [CrossRef]
- National Comprehensive Cancer Network. Clinical Practice Guidelines in Oncology: Cervical Cancer (Version 1.2018). Available online: https://www.nccn.org/professionals/physician_gls/pdf/cervical.pdf (accessed on 1 February 2018).
- Jurgenliemk-Schulz, I.M.; Beriwal, S.; de Leeuw, A.A.C.; Lindegaard, J.C.; Nomden, C.N.; Potter, R.; Tanderup, K.; Viswanathan, A.N.; Erickson, B. Management of Nodal Disease in Advanced Cervical Cancer. Semin. Radiat. Oncol. 2019, 29, 158–165. [Google Scholar] [CrossRef]
- Kiyotoki, T.; Nakamura, K.; Haraga, J.; Omichi, C.; Ida, N.; Saijo, M.; Nishida, T.; Kusumoto, T.; Masuyama, H. Sarcopenia Is an Important Prognostic Factor in Patients With Cervical Cancer Undergoing Concurrent Chemoradiotherapy. Int. J. Gynecol. Cancer 2018, 28, 168–175. [Google Scholar] [CrossRef]
- Lee, J.; Chang, C.L.; Lin, J.B.; Wu, M.H.; Sun, F.J.; Jan, Y.T.; Hsu, S.M.; Chen, Y.J. Skeletal Muscle Loss Is an Imaging Biomarker of Outcome after Definitive Chemoradiotherapy for Locally Advanced Cervical Cancer. Clin. Cancer Res. 2018, 24, 5028–5036. [Google Scholar] [CrossRef] [PubMed]
- Sanchez, M.; Castro-Eguiluz, D.; Luvian-Morales, J.; Jimenez-Lima, R.; Aguilar-Ponce, J.L.; Isla-Ortiz, D.; Cetina, L. Deterioration of nutritional status of patients with locally advanced cervical cancer during treatment with concomitant chemoradiotherapy. J. Hum. Nutr. Diet 2019, 32, 480–491. [Google Scholar] [CrossRef] [PubMed]
- Mourtzakis, M.; Prado, C.M.; Lieffers, J.R.; Reiman, T.; McCargar, L.J.; Baracos, V.E. A practical and precise approach to quantification of body composition in cancer patients using computed tomography images acquired during routine care. Appl. Physiol. Nutr. Metab. 2008, 33, 997–1006. [Google Scholar] [CrossRef] [PubMed]
- Shen, W.; Punyanitya, M.; Wang, Z.; Gallagher, D.; St-Onge, M.P.; Albu, J.; Heymsfield, S.B.; Heshka, S. Total body skeletal muscle and adipose tissue volumes: Estimation from a single abdominal cross-sectional image. J. Appl. Physiol. 2004, 97, 2333–2338. [Google Scholar] [CrossRef]
- Chung, E.; Lee, H.S.; Cho, E.S.; Park, E.J.; Baik, S.H.; Lee, K.Y.; Kang, J. Changes in Body Composition During Adjuvant FOLFOX Chemotherapy and Overall Survival in Non-Metastatic Colon Cancer. Cancers 2019, 12, 60. [Google Scholar] [CrossRef] [PubMed]
- Le-Rademacher, J.G.; Storrick, E.M.; Jatoi, A. Remarks on the design and analyses of longitudinal studies for cancer patients with anorexia and weight loss. J. Cachexia Sarcopenia Muscle 2019, 10, 1175–1182. [Google Scholar] [CrossRef] [PubMed]
- Naumann, P.; Eberlein, J.; Farnia, B.; Liermann, J.; Hackert, T.; Debus, J.; Combs, S.E. Cachectic Body Composition and Inflammatory Markers Portend a Poor Prognosis in Patients with Locally Advanced Pancreatic Cancer Treated with Chemoradiation. Cancers 2019, 11, 1655. [Google Scholar] [CrossRef]
- Lee, J.; Chang, C.L.; Lin, J.B.; Wu, M.H.; Sun, F.J.; Wu, C.J.; Tai, H.C.; Hsu, S.M.; Chen, Y.J. The Effect of Body Mass Index and Weight Change on Late Gastrointestinal Toxicity in Locally Advanced Cervical Cancer Treated With Intensity-modulated Radiotherapy. Int. J. Gynecol. Cancer 2018, 28, 1377–1386. [Google Scholar] [CrossRef]
- Martin, L.; Birdsell, L.; Macdonald, N.; Reiman, T.; Clandinin, M.T.; McCargar, L.J.; Murphy, R.; Ghosh, S.; Sawyer, M.B.; Baracos, V.E. Cancer cachexia in the age of obesity: Skeletal muscle depletion is a powerful prognostic factor, independent of body mass index. J. Clin. Oncol. 2013, 31, 1539–1547. [Google Scholar] [CrossRef]
- Kays, J.K.; Shahda, S.; Stanley, M.; Bell, T.M.; O’Neill, B.H.; Kohli, M.D.; Couch, M.E.; Koniaris, L.G.; Zimmers, T.A. Three cachexia phenotypes and the impact of fat-only loss on survival in FOLFIRINOX therapy for pancreatic cancer. J. Cachexia Sarcopenia Muscle 2018, 9, 673–684. [Google Scholar] [CrossRef]
- Brown, J.C.; Cespedes Feliciano, E.M.; Caan, B.J. The evolution of body composition in oncology-epidemiology, clinical trials, and the future of patient care: Facts and numbers. J. Cachexia Sarcopenia Muscle 2018, 9, 1200–1208. [Google Scholar] [CrossRef] [PubMed]
- Huang, C.Y.; Yang, Y.C.; Chen, T.C.; Chen, J.R.; Chen, Y.J.; Wu, M.H.; Jan, Y.T.; Chang, C.L.; Lee, J. Muscle loss during primary debulking surgery and chemotherapy predicts poor survival in advanced-stage ovarian cancer. J. Cachexia Sarcopenia Muscle 2020. [Google Scholar] [CrossRef] [PubMed]
- McDonald, A.M.; Swain, T.A.; Mayhew, D.L.; Cardan, R.A.; Baker, C.B.; Harris, D.M.; Yang, E.S.; Fiveash, J.B. CT Measures of Bone Mineral Density and Muscle Mass Can Be Used to Predict Noncancer Death in Men with Prostate Cancer. Radiology 2017, 282, 475–483. [Google Scholar] [CrossRef] [PubMed]
- Huang, C.Y.; Sun, F.J.; Lee, J. Prognostic value of muscle measurement using the standardized phase of computed tomography in patients with advanced ovarian cancer. Nutrition 2019, 72, 110642. [Google Scholar] [CrossRef]
- Cohen, S.; Nathan, J.A.; Goldberg, A.L. Muscle wasting in disease: Molecular mechanisms and promising therapies. Nat. Rev. Drug Discov. 2015, 14, 58–74. [Google Scholar] [CrossRef]
- Gallot, Y.S.; Durieux, A.C.; Castells, J.; Desgeorges, M.M.; Vernus, B.; Plantureux, L.; Remond, D.; Jahnke, V.E.; Lefai, E.; Dardevet, D.; et al. Myostatin gene inactivation prevents skeletal muscle wasting in cancer. Cancer Res. 2014, 74, 7344–7356. [Google Scholar] [CrossRef]
- Van Dijk, D.P.J.; Horstman, A.M.H.; Smeets, J.S.J.; den Dulk, M.; Grabsch, H.I.; Dejong, C.H.C.; Rensen, S.S.; Olde Damink, S.W.M.; van Loon, L.J.C. Tumour-specific and organ-specific protein synthesis rates in patients with pancreatic cancer. J. Cachexia Sarcopenia Muscle 2019, 10, 549–556. [Google Scholar] [CrossRef]
- Wen, Y.F.; Cheng, T.T.; Chen, X.L.; Huang, W.J.; Peng, H.H.; Zhou, T.C.; Lin, X.D.; Zeng, L.S. Elevated circulating tumor cells and squamous cell carcinoma antigen levels predict poor survival for patients with locally advanced cervical cancer treated with radiotherapy. PLoS ONE 2018, 13, e0204334. [Google Scholar] [CrossRef]
- Pin, F.; Barreto, R.; Kitase, Y.; Mitra, S.; Erne, C.E.; Novinger, L.J.; Zimmers, T.A.; Couch, M.E.; Bonewald, L.F.; Bonetto, A. Growth of ovarian cancer xenografts causes loss of muscle and bone mass: A new model for the study of cancer cachexia. J. Cachexia Sarcopenia Muscle 2018, 9, 685–700. [Google Scholar] [CrossRef]
- Brown, J.L.; Lee, D.E.; Rosa-Caldwell, M.E.; Brown, L.A.; Perry, R.A.; Haynie, W.S.; Huseman, K.; Sataranatarajan, K.; Van Remmen, H.; Washington, T.A.; et al. Protein imbalance in the development of skeletal muscle wasting in tumour-bearing mice. J. Cachexia Sarcopenia Muscle 2018, 9, 987–1002. [Google Scholar] [CrossRef]
- Baracos, V.E.; Arribas, L. Sarcopenic obesity: Hidden muscle wasting and its impact for survival and complications of cancer therapy. Ann. Oncol. 2018, 29, ii1–ii9. [Google Scholar] [CrossRef]
- Caan, B.J.; Cespedes Feliciano, E.M.; Kroenke, C.H. The Importance of Body Composition in Explaining the Overweight Paradox in Cancer-Counterpoint. Cancer Res. 2018, 78, 1906–1912. [Google Scholar] [CrossRef]
- Fearon, K.; Strasser, F.; Anker, S.D.; Bosaeus, I.; Bruera, E.; Fainsinger, R.L.; Jatoi, A.; Loprinzi, C.; MacDonald, N.; Mantovani, G.; et al. Definition and classification of cancer cachexia: An international consensus. Lancet Oncol. 2011, 12, 489–495. [Google Scholar] [CrossRef]
- Ubachs, J.; Ziemons, J.; Minis-Rutten, I.J.G.; Kruitwagen, R.; Kleijnen, J.; Lambrechts, S.; Olde Damink, S.W.M.; Rensen, S.S.; Van Gorp, T. Sarcopenia and ovarian cancer survival: A systematic review and meta-analysis. J. Cachexia Sarcopenia Muscle 2019, 10, 1165–1174. [Google Scholar] [CrossRef] [PubMed]
- Lee, J.; Lin, J.B.; Wu, M.H.; Jan, Y.T.; Chang, C.L.; Huang, C.Y.; Sun, F.J.; Chen, Y.J. Muscle radiodensity loss during cancer therapy is predictive for poor survival in advanced endometrial cancer. J. Cachexia Sarcopenia Muscle 2019, 10, 814–826. [Google Scholar] [CrossRef] [PubMed]
- Choi, M.H.; Yoon, S.B.; Lee, K.; Song, M.; Lee, I.S.; Lee, M.A.; Hong, T.H.; Choi, M.G. Preoperative sarcopenia and post-operative accelerated muscle loss negatively impact survival after resection of pancreatic cancer. J. Cachexia Sarcopenia Muscle 2018, 9, 326–334. [Google Scholar] [CrossRef] [PubMed]
- Kang, L.; Chen, W.; Petrick, N.A.; Gallas, B.D. Comparing two correlated C indices with right-censored survival outcome: A one-shot nonparametric approach. Stat. Med. 2015, 34, 685–703. [Google Scholar] [CrossRef] [PubMed]
- Blanche, P.; Kattan, M.W.; Gerds, T.A. The c-index is not proper for the evaluation of t-year predicted risks. Biostatistics 2019, 20, 347–357. [Google Scholar] [CrossRef]
- Kamarudin, A.N.; Cox, T.; Kolamunnage-Dona, R. Time-dependent ROC curve analysis in medical research: Current methods and applications. BMC Med. Res. Methodol. 2017, 17, 53. [Google Scholar] [CrossRef]
- Blanche, P.; Dartigues, J.F.; Jacqmin-Gadda, H. Estimating and comparing time-dependent areas under receiver operating characteristic curves for censored event times with competing risks. Stat. Med. 2013, 32, 5381–5397. [Google Scholar] [CrossRef]






| Characteristics | Overall (n = 278) | SMI loss (n = 90) | SMI Maintained (n = 188) | p-Value |
|---|---|---|---|---|
| Age (years), median (IQR) | 62 (53–73) | 64 (54–75) | 62 (52–71) | 0.11 |
| ECOG performance status | 0.08 | |||
| 0 | 253 (91.0) | 78 (86.7) | 175 (93.1) | |
| 1 | 25 (9.0) | 12 (13.3) | 13 (6.9) | |
| FIGO stage | 0.28 | |||
| IB-II | 203 (73.0) | 62 (68.9) | 141 (75.0) | |
| III-IVA | 75 (27.0) | 28 (31.1) | 47 (25.0) | |
| Pathology | 0.002 | |||
| Squamous cell carcinoma | 246 (88.5) | 72 (80.0) | 174 (92.6) | |
| Adenocarcinoma | 32 (11.5) | 18 (20.0) | 14 (7.4) | |
| Pelvic lymph node | 0.80 | |||
| Positive | 136 (48.9) | 45 (50.0) | 91 (48.4) | |
| Negative | 142 (51.1) | 45 (50.0) | 97 (51.6) | |
| SCC-Ag level, median (IQR) | 7.6 (3.3–15.0) | 8.6 (2.8–20.4) | 6.9 (3.3–14.3) | 0.29 |
| Radiation field | 0.09 | |||
| Extended-field radiotherapy | 147 (52.9) | 41 (45.6) | 106 (56.4) | |
| Pelvic radiotherapy | 131 (47.1) | 49 (54.4) | 82 (43.6) | |
| Chemotherapy | 0.07 | |||
| Yes | 243 (87.4) | 74 (82.2) | 169 (89.9) | |
| No | 35 (12.6) | 16 (17.8) | 19 (10.1) | |
| Chemotherapy cycles | n = 243 | n = 74 | n = 169 | 0.78 |
| 5–6 | 181 (74.5) | 56 (75.7) | 125 (74.0) | |
| 1–4 | 62 (25.5) | 18 (24.3) | 44 (26.0) | |
| Overall treatment duration (day), median (IQR) | 58 (54–61) | 59 (52–61) | 58 (54–61) | 0.89 |
| Median (IQR) duration between CT scans, days | 143 (135–150) | 141 (133–149) | 143 (135–151) | 0.38 |
| Variable | First CT Scan | Second CT Scan | Relative Change Per 150 Days (%) | ||
|---|---|---|---|---|---|
| Mean ± SD | Mean ± SD | Mean | 95% CI | p-Value | |
| BMI (kg/m2) | 23.4 ± 4.3 | 23.0 ± 4.3 | −1.9 | −2.4 to −1.4 | <0.001 |
| SMI (cm2/m2) | 39.8 ± 7.3 | 39.3 ± 7.6 | −1.0 | −2.1 to 0.2 | 0.09 |
| SMD (HU) | 35.6 ± 9.5 | 34.5 ± 9.6 | −2.9 | −4.4 to −1.5 | <0.001 |
| TATI (cm2/m2) | 97.7 ± 44.5 | 93.7 ± 41.8 | −3.0 | −4.9 to −1.2 | 0.001 |
| Variable | Clinical Model | Weight-Loss Model | Muscle-Loss Model | |||
|---|---|---|---|---|---|---|
| HR (95% CI) | p-Value | HR (95% CI) | p-Value | HR (95% CI) | p-Value | |
| FIGO stage | ||||||
| IB-II | Reference | Reference | Reference | |||
| III-IVA | 2.30 (1.21–4.37) | 0.01 | 2.36 (1.24–4.47) | 0.01 | 1.98 (1.05–3.74) | 0.04 |
| PLNs involvement | ||||||
| Negative | Reference | Reference | Reference | |||
| Positive | 1.75 (0.87–3.50) | 0.12 | 1.81 (0.90–3.63) | 0.10 | 2.31 (1.24–4.30) | 0.01 |
| Pathology | ||||||
| SCC | Reference | Reference | Reference | |||
| Adenocarcinoma | 4.43 (2.30–8.53) | <0.001 | 4.63 (2.40–8.94) | <0.001 | 3.03 (1.54–5.95) | 0.001 |
| SCC-Ag | 1.02 (1.01–1.02) | <0.001 | 1.02 (1.01–1.02) | <0.001 | 1.02 (1.01–1.02) | 0.001 |
| Weight change | ||||||
| Weight maintain | - | - | Reference | - | - | |
| Weight loss | - | - | 1.51 (0.76–3.02) | 0.24 | - | - |
| SMI change | ||||||
| SMI maintain | - | - | - | - | Reference | |
| SMI loss | - | - | - | - | 6.31 (3.18–12.53) | <0.001 |
| SMD change | ||||||
| SMD maintain | - | - | - | - | Reference | |
| SMD loss | - | - | - | - | 1.00 (0.53–1.87) | 0.99 |
| TATI change | ||||||
| TATI maintain | - | - | - | - | Reference | |
| TATI loss | - | - | - | - | 1.32 (0.73–2.38) | 0.36 |
© 2020 by the authors. Licensee MDPI, Basel, Switzerland. This article is an open access article distributed under the terms and conditions of the Creative Commons Attribution (CC BY) license (http://creativecommons.org/licenses/by/4.0/).
Share and Cite
Lee, J.; Lin, J.-B.; Wu, M.-H.; Chang, C.-L.; Jan, Y.-T.; Chen, Y.-J. Muscle Loss after Chemoradiotherapy as a Biomarker of Distant Failures in Locally Advanced Cervical Cancer. Cancers 2020, 12, 595. https://doi.org/10.3390/cancers12030595
Lee J, Lin J-B, Wu M-H, Chang C-L, Jan Y-T, Chen Y-J. Muscle Loss after Chemoradiotherapy as a Biomarker of Distant Failures in Locally Advanced Cervical Cancer. Cancers. 2020; 12(3):595. https://doi.org/10.3390/cancers12030595
Chicago/Turabian StyleLee, Jie, Jhen-Bin Lin, Meng-Hao Wu, Chih-Long Chang, Ya-Ting Jan, and Yu-Jen Chen. 2020. "Muscle Loss after Chemoradiotherapy as a Biomarker of Distant Failures in Locally Advanced Cervical Cancer" Cancers 12, no. 3: 595. https://doi.org/10.3390/cancers12030595
APA StyleLee, J., Lin, J.-B., Wu, M.-H., Chang, C.-L., Jan, Y.-T., & Chen, Y.-J. (2020). Muscle Loss after Chemoradiotherapy as a Biomarker of Distant Failures in Locally Advanced Cervical Cancer. Cancers, 12(3), 595. https://doi.org/10.3390/cancers12030595

