Independent Evaluation of the Respective Predictive Values for High-Grade Prostate Cancer of Clinical Information and RNA Biomarkers after Upfront MRI and Image-Guided Biopsies
Abstract
1. Introduction
2. Results
2.1. Patient Characteristics
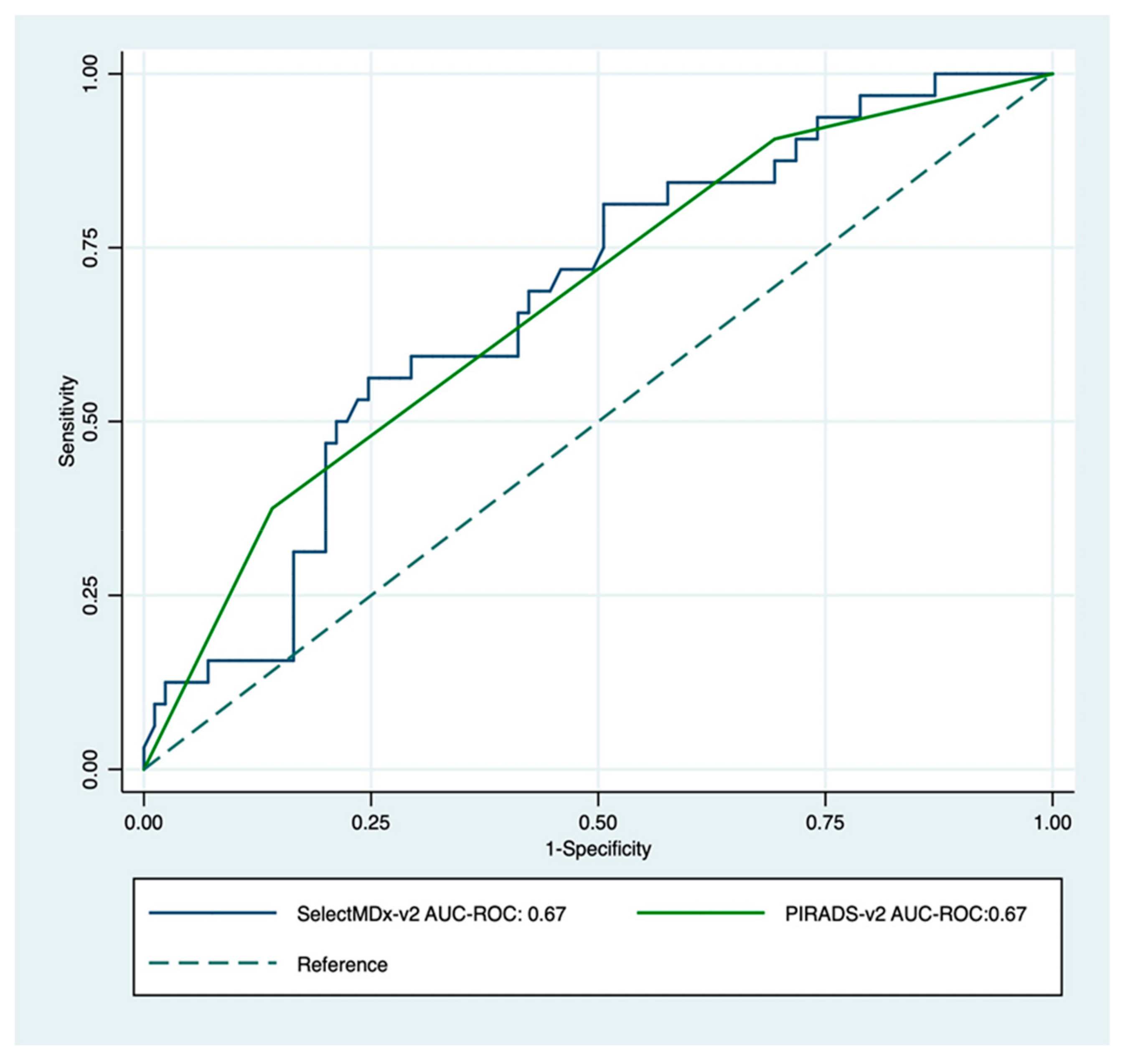
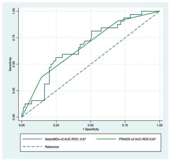
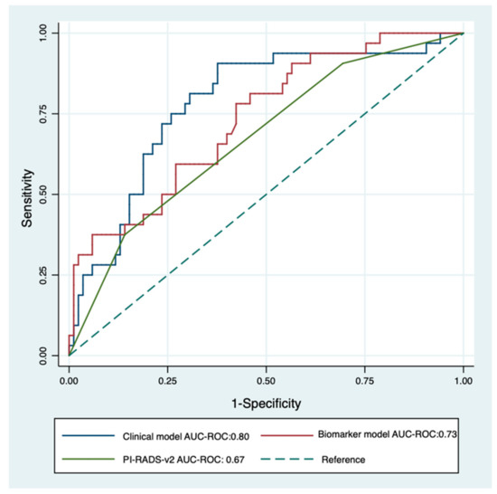
2.2. Prediction of the Biopsy Outcomes
3. Discussion
4. Materials and Methods
4.1. Study Population
4.2. SelectMDx-v2 Testing
4.3. Magnetic Resonance Imaging
4.4. Image-Guided Biopsies
4.5. Statistical Analysis
5. Conclusions
Author Contributions
Funding
Acknowledgments
Conflicts of Interest
References
- Ahmed, H.U.; El-Shater Bosaily, A.; Brown, L.C.; Gabe, R.; Kaplan, R.; Parmar, M.K.; Collaco-Moraes, Y.; Ward, K.; Hindley, R.G.; Freeman, A.; et al. Diagnostic accuracy of multi-parametric MRI and TRUS biopsy in prostate cancer (PROMIS): A paired validating confirmatory study. Lancet 2017, 389, 815–822. [Google Scholar] [CrossRef]
- Faria, R.; Soares, M.O.; Spackman, E.; Ahmed, H.U.; Brown, L.C.; Kaplan, R.; Emberton, M.; Sculpher, M.J. Optimising the Diagnosis of Prostate Cancer in the Era of Multiparametric Magnetic Resonance Imaging: A Cost-effectiveness Analysis Based on the Prostate MR Imaging Study (PROMIS). Eur. Urol. 2018, 73, 23–30. [Google Scholar] [CrossRef] [PubMed]
- Bruinsma, S.M.; Bangma, C.H.; Carroll, P.R.; Leapman, M.S.; Rannikko, A.; Petrides, N.; Weerakoon, M.; Bokhorst, L.P.; Roobol, M.J. Movember GAP3 consortium. Active surveillance for prostate cancer: A narrative review of clinical guidelines. Nat. Rev. Urol. 2016, 13, 151–167. [Google Scholar] [CrossRef] [PubMed]
- Cucchiara, V.; Cooperberg, M.R.; Dall’Era, M.; Lin, D.W.; Montorsi, F.; Schalken, J.A.; Evans, C.P. Genomic Markers in Prostate Cancer Decision Making. Eur. Urol. 2018, 73, 572–582. [Google Scholar] [CrossRef] [PubMed]
- Lamy, P.J.; Allory, Y.; Gauchez, A.S.; Asselain, B.; Beuzeboc, P.; de Cremoux, P.; Fontugne, J.; Georges, A.; Hennequin, C.; Lehmann-Che, J.; et al. Prognostic Biomarkers Used for Localised Prostate Cancer Management: A Systematic Review. Eur. Urol. Focus 2018, 4, 790–803. [Google Scholar] [CrossRef] [PubMed]
- Hendriks, R.J.; van der Leest, M.M.G.; Dijkstra, S.; Barentsz, J.O.; Van Criekinge, W.; Hulsbergen-van de Kaa, C.A.; Schalken, J.A.; Mulders, P.F.A.; van Oort, I.M. A urinary biomarker-based risk score correlates with multiparametric MRI for prostate cancer detection. Prostate 2017, 77, 1401–1407. [Google Scholar] [CrossRef] [PubMed]
- Van Neste, L.; Hendriks, R.J.; Dijkstra, S.; Trooskens, G.; Cornel, E.B.; Jannink, S.A.; de Jong, H.; Hessels, D.; Smit, F.P.; Melchers, W.J.; et al. Detection of High-grade Prostate Cancer Using a Urinary Molecular Biomarker-Based Risk Score. Eur. Urol. 2016, 70, 740–748. [Google Scholar] [CrossRef]
- Mottet, N.; van den Bergh, R.C.N.; Briers, E.; Cornford, P.; De Santis, M.; Fanti, S.; Gillessen, S.; Grummet, J.; Henry, A.M.; Lam, T.B.; et al. Wiegel: EAU Guidelines. Edn.; EAU Annual Congress Barcelona: Amsterdam, The Netherlands, 2019; ISBN 978-94-92671-04-2. [Google Scholar]
- Kasivisvanathan, V.; Rannikko, A.S.; Borghi, M.; Panebianco, V.; Mynderse, L.A.; Vaarala, M.H.; Briganti, A.; Budäus, L.; Hellawell, G.; Hindley, R.G.; et al. MRI-Targeted or Standard Biopsy for Prostate-Cancer Diagnosis. N. Engl. J. Med. 2018, 378, 1767. [Google Scholar] [CrossRef]
- Stabile, A.; Giganti, F.; Rosenkrantz, A.B.; Taneja, S.S.; Villeirs, G.; Gill, I.S.; Allen, C.; Emberton, M.; Moore, C.M.; Kasivisvanathan, V. Multiparametric MRI for prostate cancer diagnosis: Current status and future directions. Nat. Rev. Urol. 2019, 17, 41–61. [Google Scholar] [CrossRef]
- Washino, S.; Okochi, T.; Saito, K.; Konishi, T.; Hirai, M.; Kobayashi, Y.; Miyagawa, T. Combination of prostate imaging reporting and data system (PI-RADS) score and prostate-specific antigen (PSA) density predicts biopsy outcome in prostate biopsy naive patients. BJU Int. 2017, 119, 225–233. [Google Scholar] [CrossRef]
- Brenner, H.; Gefeller, O. Variation of sensitivity, specificity, likelihood ratios and predictive values with disease prevalence. Stat. Med. 1997, 16, 981. [Google Scholar] [CrossRef]
- Hamid, A.R.; Hoogland, A.M.; Smit, F.; Jannink, S.; van Rijt-van de Westerlo, C.; Jansen, C.F.; van Leenders, G.J.; Verhaegh, G.W.; Schalken, J.A. The role of HOXC6 in prostate cancer development. Prostate 2015, 75, 1868–1876. [Google Scholar] [CrossRef] [PubMed]
- Alinezhad, S.; Vaananen, R.M.; Mattsson, J.; Li, Y.; Tallgrén, T.; Tong Ochoa, N.; Bjartell, A.; Åkerfelt, M.; Taimen, P.; Boström, P.J.; et al. Validation of Novel Biomarkers for Prostate Cancer Progression by the Combination of Bioinformatics, Clinical and Functional Studies. PLoS ONE 2016, 11, e0155901. [Google Scholar]
- Haese, A.; Steyaert, S.; Hessels, D.; Brawer, M.; Vlaeminck-Guillem, V.; Ruffion, A.; Tilki, D.; Schalken, J.; Groskopf, J.; Van Criekinge, W.; et al. Multicenter optimization and validation of a 2-gene mRNA urine test for detection of clinically significant prostate cancer prior to initial biopsy. J. Urol. 2019, 202, 256–263. [Google Scholar] [CrossRef]
- Radtke, J.P.; Giganti, F.; Wiesenfarth, M.; Stabile, A.; Marenco, J.; Orczyk, C.; Kasivisvanathan, V.; Nyarangi-Dix, J.N.; Schütz, V.; Dieffenbacher, S. Prediction of significant prostate cancer in biopsy-naive men: Validation of a novel risk model combining MRI and clinical parameters and comparison to an ERSPC risk calculator and PI-RADS. PLoS ONE 2019, 14, e0221350. [Google Scholar] [CrossRef]
- Hartzband, P.; Groopman, J. Medical Taylorism. N. Engl. J. Med. 2016, 374, 106–108. [Google Scholar] [CrossRef]
- Hansen, N.L.; Barrett, T.; Koo, B.; Doble, A.; Gnanapragasam, V.; Warren, A.; Kastner, C.; Bratt, O. The influence of prostate-specific antigen density on positive and negative predictive values of multiparametric magnetic resonance imaging to detect Gleason score 7-10 prostate cancer in a repeat biopsy setting. BJU Int. 2017, 119, 724–730. [Google Scholar] [CrossRef]
- Cornud, F.; Roumiguie, M.; Barry de Longchamps, N.; Ploussard, G.; Bruguière, E.; Portalez, D.; Malavaud, B. Precision Matters in MR Imaging-targeted Prostate Biopsies: Evidence from a Prospective Study of Cognitive and Elastic Fusion Registration Transrectal Biopsies. Radiology 2018, 287, 534–542. [Google Scholar] [CrossRef]
- Covin, B.; Roumiguie, M.; Quintyn-Ranty, M.L.; Graff, P.; Khalifa, J.; Aziza, R.; Ploussard, G.; Portalez, D.; Malavaud, B. Refining the risk-stratification of transrectal biopsy-detected prostate cancer by elastic fusion registration transperineal biopsies. World J. Urol. 2019, 37, 269–275. [Google Scholar] [CrossRef]
- Ankerst, D.P.; Hoefler, J.; Bock, S.; Goodman, P.J.; Vickers, A.; Hernandez, J.; Sokoll, L.J.; Sanda, M.G.; Wei, J.T.; Leach, R.J.; et al. Prostate Cancer Prevention Trial risk calculator 2.0 for the prediction of low- vs high-grade prostate cancer. Urology 2014, 83, 1362–1367. [Google Scholar] [CrossRef]
- Barentsz, J.O.; Richenberg, J.; Clements, R.; Choyke, P.; Verma, S.; Villeirs, G.; Rouviere, O.; Logager, V.; Fütterer, J.J.; European Society of Urogenital Radiology. ESUR prostate MR guidelines 2012. Eur. Radiol. 2012, 22, 746–757. [Google Scholar] [CrossRef] [PubMed]
- Dickinson, L.; Ahmed, H.U.; Allen, C.; Barentsz, J.O.; Carey, B.; Futterer, J.J.; Heijmink, S.W.; Hoskin, P.J.; Kirkham, A.; Padhani, A.R.; et al. Magnetic resonance imaging for the detection, localisation, and characterisation of prostate cancer: Recommendations from a European consensus meeting. Eur. Urol. 2011, 59, 477–497. [Google Scholar] [CrossRef] [PubMed]
- Barentsz, J.O.; Weinreb, J.C.; Verma, S.; Thoeny, H.C.; Tempany, C.M.; Shtern, F.; Padhani, A.R.; Margolis, D.; Macura, K.J.; Haider, M.A.; et al. Synopsis of the PI-RADS v2 Guidelines for Multiparametric Prostate Magnetic Resonance Imaging and Recommendations for Use. Eur. Urol. 2016, 69, 41–49. [Google Scholar] [CrossRef] [PubMed]
- Portalez, D.; Mozer, P.; Cornud, F.; Renard-Penna, R.; Misrai, V.; Thoulouzan, M.; Malavaud, B. Validation of the European Society of Urogenital Radiology scoring system for prostate cancer diagnosis on multiparametric magnetic resonance imaging in a cohort of repeat biopsy patients. Eur. Urol. 2012, 62, 986–996. [Google Scholar] [CrossRef]
- Valerio, M.; Donaldson, I.; Emberton, M.; Ehdaie, B.; Hadaschik, B.A.; Marks, L.S.; Mozer, P.; Rastinehad, A.R.; Ahmed, H.U. Detection of Clinically Significant Prostate Cancer Using Magnetic Resonance Imaging-Ultrasound Fusion Targeted Biopsy: A Systematic Review. Eur. Urol. 2015, 68, 8–19. [Google Scholar] [CrossRef]
- Steyerberg, E.W.; Vickers, A.J.; Cook, N.R.; Gerds, T.; Gonen, M.; Obuchowski, N.; Pencina, M.J.; Kattan, M.W. Assessing the performance of prediction models: A framework for traditional and novel measures. Epidemiology 2010, 21, 128–138. [Google Scholar] [CrossRef]
- Yiu, Z.Z.N.; Sorbe, C.; Lunt, M.; Rustenbach, S.J.; Kühl, L.; Augustin, M.; Mason, K.J.; Ashcroft, D.M.; Griffiths, C.E.M.; Warren, R.B.; et al. Development and validation of a multivariable risk prediction model for serious infection in patients with psoriasis receiving systemic therapy. Br. J. Dermatol. 2019, 180, 894–901. [Google Scholar] [CrossRef]





| Variable | Whole Population (n = 117) | No or Low-Grade Cancer (n = 85) | High-Grade Cancer (n = 32) | p* |
|---|---|---|---|---|
| Age (years) | 65 (63–67) | 64 (61–66) | 68 (64–70) | 0.001 |
| Family history | 24/117 (20.5%) | 21 (24.4%) | 3/30 (10.00%) | 0.07 |
| Suspicious DRE | 28/117 (23.08%) | 19 (22.4%) | 9 (28.1%) | n.s. (p = 0.51) |
| Primary prostate Bx | 43 (36.75%) | 26 (29.89%) | 17 (56.67%) | 0.024 |
| PSA (ng/mL) | 7.0 (6.5–8.0) | 6.9 (6.2–8.5) | 7.0 (5.5–9.4) | n.s. (p = 0.7) |
| PCA3 | 27 (23–34) | 24 (19–34) | 32 (19–52) | n.s. (p = 0.24) |
| Prostate volume (mL) | 50 (44–55) | 55 (48–62) | 38 (33–50) | 0.0009 |
| PSA density (ng/mL2) | 0.15 (0.13–0.18) | 0.14 (0.12–0.16) | 0.18 (0.12–0.24) | n.s. (p = 0.22) |
| PCPT 2.0 risk estimate (%) Any cancer | 28.0 (26.0–30.0) | 28.0 (25.0–29.0) | 29.5 (25.0–34.0) | n.s. (p = 0.24) |
| PCPT 2.0 risk estimate (%) High-grade cancer | 11.0 (9.0–12.0) | 11.0 (8.0–12.0) | 11.5 (8.0–15.0) | n.s. (p = 0.53) |
| MRI Index Target | ||||
| PI-RADS-v2 score 3 | 29 (24.79%) | 26 (30.6%) | 3 (9.4%) | |
| PI-RADS-v2 score 4 | 64 (54.70%) | 47 (55.3%) | 17 (53.1%) | 0.005 |
| PI-RADS-v2 score 5 | 24 (20.51%) | 12 (14.1%) | 12 (37.5%) | |
| MRI-Biopsy interval (month) | 18 (11–25) | 22 (14–27) | 12 (7–22) | n.s. (p = 0.19) |
| Prostate Biopsy | ||||
| Core number | n.s. | |||
| Image-guided cores | 4 (4–4) | 4 (4–4) | 4 (4–6) | p = 0.52 |
| Systematic cores | 10 (9–10) | 10 (9–10) | 10 (8–10) | p = 0.72 |
| Image-guided and systematic cores | 14 (14–14) | 14 (13–14) | 14 (14–15) | p = 0.09 |
| Cancer detection | ||||
| Image-guided cores | 42/117 (35.9%) | 12/85 (14.1%) | 30/32 (93,8%) | <0.001 |
| Systematic cores | 12/117 (10.3%) | 10/85 (11.8%) | 2/32 (6.3%) | <0.001 |
| Image-guided and systematic cores | 54/117 (46.2%) | 22/85 (25.9%) | 32/32 (100%) | <0.001 |
| SelectMDx-v2 score | ||||
| −2.40 (−2.51/−2.13) | −2.44 (−2.73/−2.25) | −1.89 (−2.42/−1.30) | 0.004 | |
| <−2.8 | 36 (30.8%) | 31 (36.5%) | 5 (15.6%) | 0.03 |
| ≥−2.8 | 81 (69.2%) | 54 (63.5%) | 27 (84.4%) | |
| Biomarker and Clinical Models | OR [95%CI] | Coefficient [95%CI] | p | AUC [95%CI] |
|---|---|---|---|---|
| Biomarker model | ||||
| PI-RADS-v2 | 2.89 [1.44–5.84] | 1.06 [0.36–0.76] | 0.03 | 0.73 [0.64–0.83] |
| SelectMDx-v2 | 1.53 [1.06–2.19] | 0.43 [0.07–0.79] | 0.02 | |
| Clinical model | ||||
| PI-RADS-v2 | 2.49 [1.22–5.08] | 0.91 [0.20–1.63] | 0.012 | 0.80 [0.71–0.90] |
| Age | 1.11 [1.02–1.21] | 0.11 [0.02–0.20] | 0.014 | |
| PSA density | 74.39 [0.49–11239] | 4.31 [−0.71–9.33] | 0.092 | |
| DRE | 0.92 [0.30–2.74] | -0.09 [−1.18–1.01] | 0.875 | |
| Predictors | Cut-Off [Range] | Sensitivity | Specificity | Correctly Classified |
|---|---|---|---|---|
| PI-RADS-v2 | 4* [3–5] | 90.6% | 30.6% | 47.0% |
| SelectMDx-v2 | −2.8 ** [−4.35 to 4.90] | 84.4% | 35.3% | 48.7% |
| −1.99 * [−4.35 to 4.90] | 56.3% | 75.3% | 70.1% | |
| Biomarker model (PI-RADS-v2/SelectMDx-v2) | 0.22* [0 to 1] | 78.1% | 56.5% | 62.4% |
| Clinical model (PI-RADS-v2/Age/PSA/Prostate volume/DRE) | 0.24* [0 to 1] | 87.5% | 68.3% | 73.7% |
© 2020 by the authors. Licensee MDPI, Basel, Switzerland. This article is an open access article distributed under the terms and conditions of the Creative Commons Attribution (CC BY) license (http://creativecommons.org/licenses/by/4.0/).
Share and Cite
Roumiguié, M.; Ploussard, G.; Nogueira, L.; Bruguière, E.; Meyrignac, O.; Lesourd, M.; Péricart, S.; Malavaud, B. Independent Evaluation of the Respective Predictive Values for High-Grade Prostate Cancer of Clinical Information and RNA Biomarkers after Upfront MRI and Image-Guided Biopsies. Cancers 2020, 12, 285. https://doi.org/10.3390/cancers12020285
Roumiguié M, Ploussard G, Nogueira L, Bruguière E, Meyrignac O, Lesourd M, Péricart S, Malavaud B. Independent Evaluation of the Respective Predictive Values for High-Grade Prostate Cancer of Clinical Information and RNA Biomarkers after Upfront MRI and Image-Guided Biopsies. Cancers. 2020; 12(2):285. https://doi.org/10.3390/cancers12020285
Chicago/Turabian StyleRoumiguié, Mathieu, Guillaume Ploussard, Léonor Nogueira, Eric Bruguière, Olivier Meyrignac, Marine Lesourd, Sarah Péricart, and Bernard Malavaud. 2020. "Independent Evaluation of the Respective Predictive Values for High-Grade Prostate Cancer of Clinical Information and RNA Biomarkers after Upfront MRI and Image-Guided Biopsies" Cancers 12, no. 2: 285. https://doi.org/10.3390/cancers12020285
APA StyleRoumiguié, M., Ploussard, G., Nogueira, L., Bruguière, E., Meyrignac, O., Lesourd, M., Péricart, S., & Malavaud, B. (2020). Independent Evaluation of the Respective Predictive Values for High-Grade Prostate Cancer of Clinical Information and RNA Biomarkers after Upfront MRI and Image-Guided Biopsies. Cancers, 12(2), 285. https://doi.org/10.3390/cancers12020285

