Frequent Occurrence of NRAS and BRAF Mutations in Human Acral Naevi
Abstract
1. Introduction
2. Results
2.1. Sample Cohort
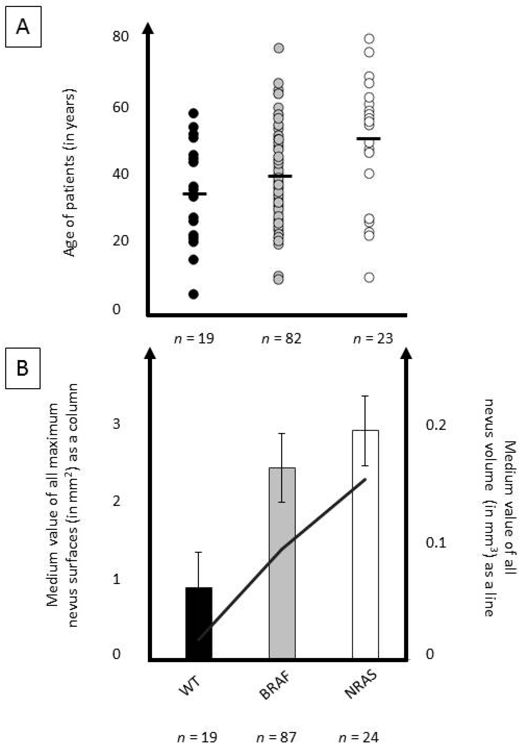
2.2. Mutation Analysis for Activating Oncogene Driver Mutations
2.3. Associations of Clinical and Pathological Parameters with Oncogene Mutation Status
3. Discussion
4. Materials and Methods
4.1. Sample Selection
4.2. Clinical and Histopathological Analysis
4.3. DNA Isolation
4.4. Targeted Sequencing
4.5. Associations of Oncogene Mutation Status with Clinical and Pathologic Parameters
5. Conclusions
Supplementary Materials
Author Contributions
Funding
Acknowledgments
Conflicts of Interest
References
- Dodd, A.T.; Morelli, J.; Mokrohisky, S.T.; Asdigian, N.; Byers, T.E.; Crane, L.A. Melanocytic nevi and sun exposure in a cohort of colorado children: Anatomic distribution and site-specific sunburn. Cancer Epidemiol. Biomark. Prev. 2007, 16, 2136–2143. [Google Scholar] [CrossRef] [PubMed]
- Palicka, G.A.; Rhodes, A.R. Acral melanocytic nevi: Prevalence and distribution of gross morphologic features in white and black adults. Arch. Dermatol. 2010, 146, 1085–1094. [Google Scholar] [CrossRef]
- Weedon, D. Lentigines, nevi, and melanomas. In Weedon´s Skin Pathology, 3rd ed.; Elsevier: Amsterdam, The Netherlands, 2010; Volume 3, pp. 709–756. [Google Scholar]
- Shain, A.H.; Yeh, I.; Kovalyshyn, I.; Sriharan, A.; Talevich, E.; Gagnon, A.; Dummer, R.; North, J.; Pincus, L.; Ruben, B.; et al. The genetic evolution of melanoma from precursor lesions. N. Engl. J. Med. 2015, 373, 1926–1936. [Google Scholar] [CrossRef] [PubMed]
- Kuchelmeister, C.; Schaumburg-Lever, G.; Garbe, C. Acral cutaneous melanoma in caucasians: Clinical features, histopathology and prognosis in 112 patients. Br. J. Dermatol. 2000, 143, 275–280. [Google Scholar] [CrossRef]
- Teramoto, Y.; Keim, U.; Gesierich, A.; Schuler, G.; Fiedler, E.; Tuting, T.; Ulrich, C.; Wollina, U.; Hassel, J.C.; Gutzmer, R.; et al. Acral lentiginous melanoma: A skin cancer with unfavourable prognostic features. A study of the german central malignant melanoma registry (cmmr) in 2050 patients. Br. J. Dermatol. 2018, 178, 443–451. [Google Scholar] [CrossRef]
- Hosler, G.A.; Moresi, J.M.; Barrett, T.L. Nevi with site-related atypia: A review of melanocytic nevi with atypical histologic features based on anatomic site. J. Cutan. Pathol. 2008, 35, 889–898. [Google Scholar] [CrossRef]
- Elder, D.E. Precursors to melanoma and their mimics: Nevi of special sites. Mod. Pathol. 2006, 19 (Suppl. 2), S4–S20. [Google Scholar] [CrossRef]
- Massi, G.; Vellone, V.G.; Pagliarello, C.; Fabrizi, G. Plantar melanoma that mimics melanocytic nevi: A report of 4 cases with lymph node metastases and with review of positive and negative controls. Am. J. Dermatopathol. 2009, 31, 117–131. [Google Scholar] [CrossRef]
- Bronsnick, T.; Kazi, N.; Kirkorian, A.Y.; Rao, B.K. Outcomes of biopsies and excisions of dysplastic acral nevi: A study of 187 lesions. Dermatol. Surg. 2014, 40, 455–459. [Google Scholar] [CrossRef] [PubMed]
- Khalifeh, I.; Taraif, S.; Reed, J.A.; Lazar, A.F.; Diwan, A.H.; Prieto, V.G. A subgroup of melanocytic nevi on the distal lower extremity (ankle) shares features of acral nevi, dysplastic nevi, and melanoma in situ: A potential misdiagnosis of melanoma in situ. Am. J. Surg. Pathol. 2007, 31, 1130–1136. [Google Scholar] [PubMed]
- Pollock, P.M.; Harper, U.L.; Hansen, K.S.; Yudt, L.M.; Stark, M.; Robbins, C.M.; Moses, T.Y.; Hostetter, G.; Wagner, U.; Kakareka, J.; et al. High frequency of braf mutations in nevi. Nat. Genet. 2003, 33, 19–20. [Google Scholar] [CrossRef]
- Bauer, J.; Curtin, J.A.; Pinkel, D.; Bastian, B.C. Congenital melanocytic nevi frequently harbor nras mutations but no braf mutations. J. Investig. Dermatol. 2007, 127, 179–182. [Google Scholar] [CrossRef]
- Kiuru, M.; Jungbluth, A.; Kutzner, H.; Wiesner, T.; Busam, K.J. Spitz tumors: Comparison of histological features in relationship to immunohistochemical staining for alk and ntrk1. Int. J. Surg. Pathol. 2016, 24, 200–206. [Google Scholar] [CrossRef]
- Wiesner, T.; He, J.; Yelensky, R.; Esteve-Puig, R.; Botton, T.; Yeh, I.; Lipson, D.; Otto, G.; Brennan, K.; Murali, R.; et al. Kinase fusions are frequent in spitz tumours and spitzoid melanomas. Nat. Commun. 2014, 5, 3116. [Google Scholar] [CrossRef]
- Busam, K.J.; Kutzner, H.; Cerroni, L.; Wiesner, T. Clinical and pathologic findings of spitz nevi and atypical spitz tumors with alk fusions. Am. J. Surg. Pathol. 2014, 38, 925–933. [Google Scholar] [CrossRef]
- Wiesner, T.; Kutzner, H. Morphological and genetic aspects of spitz tumors. Pathologe 2015, 36, 37–45. [Google Scholar] [CrossRef]
- Yeh, I.; Botton, T.; Talevich, E.; Shain, A.H.; Sparatta, A.J.; de la Fouchardiere, A.; Mully, T.W.; North, J.P.; Garrido, M.C.; Gagnon, A.; et al. Activating met kinase rearrangements in melanoma and spitz tumours. Nat. Commun. 2015, 6, 7174. [Google Scholar] [CrossRef]
- Yeh, I.; Tee, M.K.; Botton, T.; Shain, A.H.; Sparatta, A.J.; Gagnon, A.; Vemula, S.S.; Garrido, M.C.; Nakamaru, K.; Isoyama, T.; et al. Ntrk3 kinase fusions in spitz tumours. J. Pathol. 2016, 240, 282–290. [Google Scholar] [CrossRef]
- VandenBoom, T.; Quan, V.L.; Zhang, B.; Garfield, E.M.; Kong, B.Y.; Isales, M.C.; Panah, E.; Igartua, C.; Taxter, T.; Beaubier, N.; et al. Genomic fusions in pigmented spindle cell nevus of reed. Am. J. Surg. Pathol. 2018, 42, 1042–1051. [Google Scholar] [CrossRef]
- Bastian, B.C.; LeBoit, P.E.; Pinkel, D. Mutations and copy number increase of hras in spitz nevi with distinctive histopathological features. Am. J. Pathol. 2000, 157, 967–972. [Google Scholar] [CrossRef]
- Van Raamsdonk, C.D.; Griewank, K.G.; Crosby, M.B.; Garrido, M.C.; Vemula, S.; Wiesner, T.; Obenauf, A.C.; Wackernagel, W.; Green, G.; Bouvier, N.; et al. Mutations in gna11 in uveal melanoma. N. Engl. J. Med. 2010, 363, 2191–2199. [Google Scholar] [CrossRef]
- Moller, I.; Murali, R.; Muller, H.; Wiesner, T.; Jackett, L.A.; Scholz, S.L.; Cosgarea, I.; van de Nes, J.A.; Sucker, A.; Hillen, U.; et al. Activating cysteinyl leukotriene receptor 2 (cysltr2) mutations in blue nevi. Mod. Pathol. 2017, 30, 350–356. [Google Scholar] [CrossRef]
- Griewank, K.G.; Muller, H.; Jackett, L.A.; Emberger, M.; Moller, I.; van de Nes, J.A.; Zimmer, L.; Livingstone, E.; Wiesner, T.; Scholz, S.L.; et al. Sf3b1 and bap1 mutations in blue nevus-like melanoma. Mod. Pathol. 2017, 30, 928–939. [Google Scholar] [CrossRef]
- Bastian, B.C. The molecular pathology of melanoma: An integrated taxonomy of melanocytic neoplasia. Annu. Rev. Pathol. 2014, 9, 239–271. [Google Scholar] [CrossRef]
- Cohen, J.N.; Joseph, N.M.; North, J.P.; Onodera, C.; Zembowicz, A.; LeBoit, P.E. Genomic analysis of pigmented epithelioid melanocytomas reveals recurrent alterations in prkar1a, and prkca genes. Am. J. Surg. Pathol. 2017, 41, 1333–1346. [Google Scholar] [CrossRef]
- Yeh, I.; Lang, U.E.; Durieux, E.; Tee, M.K.; Jorapur, A.; Shain, A.H.; Haddad, V.; Pissaloux, D.; Chen, X.; Cerroni, L.; et al. Combined activation of map kinase pathway and beta-catenin signaling cause deep penetrating nevi. Nat. Commun. 2017, 8, 644. [Google Scholar] [CrossRef]
- Hayward, N.K.; Wilmott, J.S.; Waddell, N.; Johansson, P.A.; Field, M.A.; Nones, K.; Patch, A.M.; Kakavand, H.; Alexandrov, L.B.; Burke, H.; et al. Whole-genome landscapes of major melanoma subtypes. Nature 2017, 545, 175–180. [Google Scholar] [CrossRef]
- Hodis, E.; Watson, I.R.; Kryukov, G.V.; Arold, S.T.; Imielinski, M.; Theurillat, J.P.; Nickerson, E.; Auclair, D.; Li, L.; Place, C.; et al. A landscape of driver mutations in melanoma. Cell 2012, 150, 251–263. [Google Scholar] [CrossRef]
- Krauthammer, M.; Kong, Y.; Ha, B.H.; Evans, P.; Bacchiocchi, A.; McCusker, J.P.; Cheng, E.; Davis, M.J.; Goh, G.; Choi, M.; et al. Exome sequencing identifies recurrent somatic rac1 mutations in melanoma. Nat. Genet. 2012, 44, 1006–1014. [Google Scholar] [CrossRef]
- Cancer Genome Atlas Network. Genomic classification of cutaneous melanoma. Cell 2015, 161, 1681–1696. [Google Scholar] [CrossRef]
- Dummer, R.; Ascierto, P.A.; Gogas, H.J.; Arance, A.; Mandala, M.; Liszkay, G.; Garbe, C.; Schadendorf, D.; Krajsova, I.; Gutzmer, R.; et al. Encorafenib plus binimetinib versus vemurafenib or encorafenib in patients with braf-mutant melanoma (columbus): A multicentre, open-label, randomised phase 3 trial. Lancet Oncol. 2018, 19, 603–615. [Google Scholar] [CrossRef]
- Moon, K.R.; Choi, Y.D.; Kim, J.M.; Jin, S.; Shin, M.H.; Shim, H.J.; Lee, J.B.; Yun, S.J. Genetic alterations in primary acral melanoma and acral melanocytic nevus in korea: Common mutated genes show distinct cytomorphological features. J. Investig. Dermatol. 2018, 138, 933–945. [Google Scholar] [CrossRef]
- Haugh, A.M.; Zhang, B.; Quan, V.L.; Garfield, E.M.; Bubley, J.A.; Kudalkar, E.; Verzi, A.E.; Walton, K.; VandenBoom, T.; Merkel, E.A.; et al. Distinct patterns of acral melanoma based on site and relative sun exposure. J. Investig. Dermatol. 2018, 138, 384–393. [Google Scholar] [CrossRef]
- Poynter, J.N.; Elder, J.T.; Fullen, D.R.; Nair, R.P.; Soengas, M.S.; Johnson, T.M.; Redman, B.; Thomas, N.E.; Gruber, S.B. Braf and nras mutations in melanoma and melanocytic nevi. Melanoma Res. 2006, 16, 267–273. [Google Scholar] [CrossRef]
- Menzies, A.M.; Haydu, L.E.; Visintin, L.; Carlino, M.S.; Howle, J.R.; Thompson, J.F.; Kefford, R.F.; Scolyer, R.A.; Long, G.V. Distinguishing clinicopathologic features of patients with v600e and v600k braf-mutant metastatic melanoma. Clin. Cancer Res. 2012, 18, 3242–3249. [Google Scholar] [CrossRef]
- Roh, M.R.; Eliades, P.; Gupta, S.; Tsao, H. Genetics of melanocytic nevi. Pigment Cell Melanoma Res. 2015, 28, 661–672. [Google Scholar] [CrossRef]
- Griewank, K.; Westekemper, H.; Murali, R.; Mach, M.; Schilling, B.; Wiesner, T.; Schimming, T.; Livingstone, E.; Sucker, A.; Grabellus, F.; et al. Conjunctival melanomas harbor braf and nras mutations and copy number changes similar to cutaneous and mucosal melanomas. Clin. Cancer Res. 2013, 19, 3143–3152. [Google Scholar] [CrossRef]
- Scholz, S.L.; Cosgarea, I.; Susskind, D.; Murali, R.; Moller, I.; Reis, H.; Leonardelli, S.; Schilling, B.; Schimming, T.; Hadaschik, E.; et al. Nf1 mutations in conjunctival melanoma. Br. J. Cancer 2018, 118, 1243–1247. [Google Scholar] [CrossRef]
- Chakraborty, R.; Hampton, O.A.; Shen, X.; Simko, S.J.; Shih, A.; Abhyankar, H.; Lim, K.P.; Covington, K.R.; Trevino, L.; Dewal, N.; et al. Mutually exclusive recurrent somatic mutations in map2k1 and braf support a central role for erk activation in lch pathogenesis. Blood 2014, 124, 3007–3015. [Google Scholar] [CrossRef]
- Bauer, J.; Bastian, B.C. Distinguishing melanocytic nevi from melanoma by DNA copy number changes: Comparative genomic hybridization as a research and diagnostic tool. Dermatol. Ther. 2006, 19, 40–49. [Google Scholar] [CrossRef]
- Kogushi-Nishi, H.; Kawasaki, J.; Kageshita, T.; Ishihara, T.; Ihn, H. The prevalence of melanocytic nevi on the soles in the japanese population. J. Am. Acad. Dermatol. 2009, 60, 767–771. [Google Scholar] [CrossRef]
- Yeh, I.; Jorgenson, E.; Shen, L.; Xu, M.; North, J.P.; Shain, A.H.; Reuss, D.; Wu, H.; Robinson, W.A.; Olshen, A.; et al. Targeted genomic profiling of acral melanoma. J. Natl. Cancer Inst. 2019. [Google Scholar] [CrossRef]
- Pampena, R.; Kyrgidis, A.; Lallas, A.; Moscarella, E.; Argenziano, G.; Longo, C. A meta-analysis of nevus-associated melanoma: Prevalence and practical implications. J. Am. Acad. Dermatol. 2017, 77, 938–945. [Google Scholar] [CrossRef] [PubMed]
- Lin, W.M.; Luo, S.; Muzikansky, A.; Lobo, A.Z.; Tanabe, K.K.; Sober, A.J.; Cosimi, A.B.; Tsao, H.; Duncan, L.M. Outcome of patients with de novo versus nevus-associated melanoma. J. Am. Acad. Dermatol. 2015, 72, 54–58. [Google Scholar] [CrossRef] [PubMed]
- Bastian, B.C.; Olshen, A.B.; LeBoit, P.E.; Pinkel, D. Classifying melanocytic tumors based on DNA copy number changes. Am. J. Pathol. 2003, 163, 1765–1770. [Google Scholar] [CrossRef]
- van de Nes, J.; Gessi, M.; Sucker, A.; Moller, I.; Stiller, M.; Horn, S.; Scholz, S.L.; Pischler, C.; Stadtler, N.; Schilling, B.; et al. Targeted next generation sequencing reveals unique mutation profile of primary melanocytic tumors of the central nervous system. J. Neuro-Oncol. 2016, 127, 435–444. [Google Scholar] [CrossRef]
- COSMIC. Available online: https://cancer.sanger.ac.uk/cosmic (accessed on 12 April 2019).
- ClinVar. Available online: https://www.ncbi.nlm.nih.gov/clinvar/ (accessed on 12 April 2019).
- dbSNP. Available online: https://www.ncbi.nlm.nih.gov/snp (accessed on 12 April 2019).
- 1000 Genomes Project. Available online: http://www.internationalgenome.org/ (accessed on 12 April 2019).
- HAPMAP. Available online: https://www.ncbi.nlm.nih.gov/probe/docs/projhapmap/ (accessed on 12 April 2019).



| Variable | Specific Variable | All n = 130 | % | WT n = 19 | % | BRAF-Mutant n = 87 | % | NRAS-Mutant n = 24 | % | p-Value * |
|---|---|---|---|---|---|---|---|---|---|---|
| Mean Age (Years) | 41 | 35 | 40 | 48 | 0.04 | |||||
| Sex + | Female | 91 | 74% | 14 † | 73.7% | 60 | 73.2 % | 17 | 73.9% | 0.08 |
| Male | 32 | 26% | 5 | 26.3% | 22 | 27.5% | 6 | 26.1% | ||
| Sites of Involvement | foot | 121 | 93.1% | 16 † | 84.2% | 81 | 93.1% | 24 | 100% | 0.34 |
| hand | 7 | 5.4% | 2 | 10.5% | 5 | 5.7% | 0 | 0 | ||
| LND | 2 | 1.5% | 1 | 5.3% | 1 | 1.2% | 0 | 0 | - | |
| Sites of Involvement | volar | 41 | 31.6% | 5 | 26.4% | 29 | 33.3% | 7 | 29.2% | 0.11 |
| dorsal | 25 | 19.2% | 7 † | 36.8% | 16 | 18.4% | 2 | 8.3% | ||
| LND | 64 | 49.2% | 7 | 36.8% | 42 | 48.3% | 15 | 62.5% | - | |
| Histotype | junctional | 20 | 15.4% | 11 † | 57.9% | 7 | 8.1% | 2 | 8.3% | <0.0001 |
| compound | 76 | 58.4% | 8 | 52.1% | 61 | 70.1% | 7 | 29.2% | ||
| prim. dermal | 17 | 13.1% | 0 | 0 | 11 | 12.6% | 6 | 25% | ||
| dermal | 17 | 13.1% | 0 | 0 | 8 | 9.2% | 9 | 37.5% |
© 2019 by the authors. Licensee MDPI, Basel, Switzerland. This article is an open access article distributed under the terms and conditions of the Creative Commons Attribution (CC BY) license (http://creativecommons.org/licenses/by/4.0/).
Share and Cite
Jansen, P.; Cosgarea, I.; Murali, R.; Möller, I.; Sucker, A.; Franklin, C.; Paschen, A.; Zaremba, A.; Brinker, T.J.; Stoffels, I.; et al. Frequent Occurrence of NRAS and BRAF Mutations in Human Acral Naevi. Cancers 2019, 11, 546. https://doi.org/10.3390/cancers11040546
Jansen P, Cosgarea I, Murali R, Möller I, Sucker A, Franklin C, Paschen A, Zaremba A, Brinker TJ, Stoffels I, et al. Frequent Occurrence of NRAS and BRAF Mutations in Human Acral Naevi. Cancers. 2019; 11(4):546. https://doi.org/10.3390/cancers11040546
Chicago/Turabian StyleJansen, Philipp, Ioana Cosgarea, Rajmohan Murali, Inga Möller, Antje Sucker, Cindy Franklin, Annette Paschen, Anne Zaremba, Titus J. Brinker, Ingo Stoffels, and et al. 2019. "Frequent Occurrence of NRAS and BRAF Mutations in Human Acral Naevi" Cancers 11, no. 4: 546. https://doi.org/10.3390/cancers11040546
APA StyleJansen, P., Cosgarea, I., Murali, R., Möller, I., Sucker, A., Franklin, C., Paschen, A., Zaremba, A., Brinker, T. J., Stoffels, I., Schadendorf, D., Klode, J., Hadaschik, E., & Griewank, K. G. (2019). Frequent Occurrence of NRAS and BRAF Mutations in Human Acral Naevi. Cancers, 11(4), 546. https://doi.org/10.3390/cancers11040546

