Lenalidomide Maintenance with or without Prednisone in Newly Diagnosed Myeloma Patients: A Pooled Analysis
Abstract
1. Introduction
2. Methods
3. Results
3.1. Patients
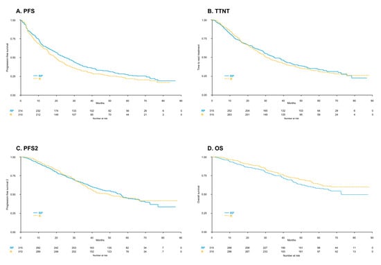
3.2. PFS, TTNT, PFS2 and OS Analysis of RP vs. R Maintenance
3.3. Safety Profile of RP vs. R Maintenance
3.4. Impact of Duration of Maintenance on Outcome
4. Discussion
Supplementary Materials
Author Contributions
Funding
Acknowledgments
Conflicts of Interest
References
- Howlader, N.; Noone, A.; Krapcho, M.; Miller, D.; Brest, A.; Yu, M.; Ruhl, J.; Tatalovich, Z.; Mariotto, A.; Lewis, D.; et al. Cancer Statistics Review, 1975 2015; Based on November 2018 SEER Data Submission, Posted to the SEER Web Site, April 2019; National Cancer Institute: Bethesda, MD, USA, 2018. [Google Scholar]
- Tacchetti, P.; Dozza, L.; Di Raimondo, F.; Crippa, C.; Zamagni, E.; Bringhen, S.; Pantani, L.; Offidani, M.; Montefusco, V.; Narni, F.; et al. Bortezomib-Thalidomide-Dexamethasone Versus Thalidomide-Dexamethasone before and after Double Autologous Stem Cell Transplantation for Newly Diagnosed Multiple Myeloma: Final Analysis of Phase 3 Gimema-MMY-3006 Study and Prognostic Score for Survival Outc. Blood 2018, 132. Abstract #125 [ASH 2018 60th Meeting]. [Google Scholar] [CrossRef]
- Rosiñol Dachs, L.; Oriol, A.; Teruel, A.I.; de la Guía, A.L.; Blanchard, M.J.; Jarque, I.; Granell, M.; Sampol, A.; Palomera, L.; Gonzalez-Montes, Y.; et al. VTD (Bortezomib/Thalidomide/Dexamethasone) As Pretransplant Induction Therapy for Multiple Myeloma: Definitive Results of a Randomized Phase 3 Pethema/GEM Study. Blood 2018, 132. Abstract #126 [ASH 2018 60th Meeting]. [Google Scholar] [CrossRef]
- McCarthy, P.L.; Holstein, S.A.; Petrucci, M.T.; Richardson, P.G.; Hulin, C.; Tosi, P.; Bringhen, S.; Musto, P.; Anderson, K.C.; Caillot, D.; et al. Lenalidomide Maintenance After Autologous Stem-Cell Transplantation in Newly Diagnosed Multiple Myeloma: A Meta-Analysis. J. Clin. Oncol. 2017, 35, 3279–3289. [Google Scholar] [CrossRef] [PubMed]
- Facon, T.; Dimopoulos, M.A.; Dispenzieri, A.; Catalano, J.V.; Belch, A.; Cavo, M.; Pinto, A.; Weisel, K.; Ludwig, H.; Bahlis, N.J.; et al. Final analysis of survival outcomes in the phase 3 FIRST trial of up-front treatment for multiple myeloma. Blood 2018, 131, 301–310. [Google Scholar] [CrossRef] [PubMed]
- Mateos, M.-V.; Dimopoulos, M.A.; Cavo, M.; Suzuki, K.; Jakubowiak, A.; Knop, S.; Doyen, C.; Lucio, P.; Nagy, Z.; Kaplan, P.; et al. Daratumumab plus Bortezomib, Melphalan, and Prednisone for Untreated Myeloma. N. Engl. J. Med. 2018, 378, 518–528. [Google Scholar] [CrossRef] [PubMed]
- Benboubker, L.; Dimopoulos, M.A.; Dispenzieri, A.; Catalano, J.; Belch, A.R.; Cavo, M.; Pinto, A.; Weisel, K.; Ludwig, H.; Bahlis, N.; et al. Lenalidomide and dexamethasone in transplant-ineligible patients with myeloma. N. Engl. J. Med. 2014, 371, 906–917. [Google Scholar] [CrossRef]
- Palumbo, A.; Hajek, R.; Delforge, M.; Kropff, M.; Petrucci, M.T.; Catalano, J.; Gisslinger, H.; Wiktor-Jędrzejczak, W.; Zodelava, M.; Weisel, K.; et al. Continuous Lenalidomide Treatment for Newly Diagnosed Multiple Myeloma. N. Engl. J. Med. 2012, 366, 1759–1769. [Google Scholar] [CrossRef]
- Berenson, J.R. Maintenance therapy with alternate-day prednisone improves survival in multiple myeloma patients. Blood 2002, 99, 3163–3168. [Google Scholar] [CrossRef]
- Shustik, C.; Belch, A.; Robinson, S.; Rubin, S.H.; Dolan, S.P.; Kovacs, M.J.; Grewal, K.S.; Walde, D.; Barr, R.; Wilson, J.; et al. A randomised comparison of melphalan with prednisone or dexamethasone as induction therapy and dexamethasone or observation as maintenance therapy in multiple myeloma: NCIC CTG MY.7. Br. J. Haematol. 2007, 136, 203–211. [Google Scholar] [CrossRef]
- Spencer, A.; Prince, H.M.; Roberts, A.W.; Prosser, I.W.; Bradstock, K.F.; Coyle, L.; Gill, D.S.; Horvath, N.; Reynolds, J.; Kennedy, N. Consolidation Therapy With Low-Dose Thalidomide and Prednisolone Prolongs the Survival of Multiple Myeloma Patients Undergoing a Single Autologous Stem-Cell Transplantation Procedure. J. Clin. Oncol. 2009, 27, 1788–1793. [Google Scholar] [CrossRef][Green Version]
- Stewart, A.K.; Trudel, S.; Bahlis, N.J.; White, D.; Sabry, W.; Belch, A.; Reiman, T.; Roy, J.; Shustik, C.; Kovacs, M.J.; et al. A randomized phase 3 trial of thalidomide and prednisone as maintenance therapy after ASCT in patients with MM with a quality-of-life assessment: The National Cancer Institute of Canada Clinicals Trials Group Myeloma 10 Trial. Blood 2013, 121, 1517–1523. [Google Scholar] [CrossRef] [PubMed]
- Attal, M.; Lauwers-Cances, V.; Marit, G.; Caillot, D.; Moreau, P.; Facon, T.; Stoppa, A.M.; Hulin, C.; Benboubker, L.; Garderet, L.; et al. Lenalidomide Maintenance after Stem-Cell Transplantation for Multiple Myeloma. N. Engl. J. Med. 2012, 366, 1782–1791. [Google Scholar] [CrossRef] [PubMed]
- Gay, F.; Oliva, S.; Petrucci, M.T.; Conticello, C.; Catalano, L.; Corradini, P.; Siniscalchi, A.; Magarotto, V.; Pour, L.; Carella, A.; et al. Chemotherapy plus lenalidomide versus autologous transplantation, followed by lenalidomide plus prednisone versus lenalidomide maintenance, in patients with multiple myeloma: A randomised, multicentre, phase 3 trial. Lancet Oncol. 2015, 16, 1617–1629. [Google Scholar] [CrossRef]
- Magarotto, V.; Bringhen, S.; Offidani, M.; Benevolo, G.; Patriarca, F.; Mina, R.; Falcone, A.P.; De Paoli, L.; Pietrantuono, G.; Gentili, S.; et al. Triplet vs doublet lenalidomide-containing regimens for the treatment of elderly patients with newly diagnosed multiple myeloma. Blood 2016, 127, 1102–1108. [Google Scholar] [CrossRef] [PubMed]
- National Cancer Institute [USA]. Common Terminology Criteria for Adverse Events v3.0 (CTCAE). Available online: https://ctep.cancer.gov/protocolDevelopment/electronic_applications/docs/ctcaev3.pdf (accessed on 25 October 2019).
- Bringhen, S.; Offidani, M.; Musto, P.; Liberati, A.M.; Benevolo, G.; Cascavilla, N.; Genuardi, M.; Gaidano, G.; Zamagni, D.; Ferrando, P.; et al. Long Term Outcome of Lenalidomide-Dexamethasone (Rd) Vs Melphalan-Lenalidomide-Prednisone (MPR) Vs Cyclophosphamide-Prednisone-Lenalidomide (CPR) As Induction Followed By Lenalidomide-Prednisone (RP) Vs Lenalidomide (R) As Maintenance in a Community-Based Newly Diagnosed Myeloma Population: Updated Analysis of EMN01 Phase III Study. Blood 2017, 130. Abstract #901 [ASH 2017 59th Meeting]. [Google Scholar] [CrossRef]
- Bringhen, S.; D’Agostino, M.; Paris, L.; Ballanti, S.; Pescosta, N.; Spada, S.; Pezzatti, S.; Grasso, M.; Rota-Scalabrini, D.; De Rosa, L.; et al. Lenalidomide-based induction and maintenance in elderly newly diagnosed multiple myeloma patients: Updated results of the EMN01 randomized trial. Haematologica 2019. [Epub ahead of print]. [Google Scholar] [CrossRef]
- Larocca, A.; Salvini, M.; De Paoli, L.; Cascavilla, N.; Benevolo, G.; Galli, M.; Montefusco, V.; di Toritto, T.C.; Baraldi, A.; Spada, S.; et al. Efficacy and Feasibility of Dose/Schedule-Adjusted Rd-R Vs. Continuous Rd in Elderly and Intermediate-Fit Newly Diagnosed Multiple Myeloma (NDMM) Patients: RV-MM-PI-0752 Phase III Randomized Study. Blood 2018, 132. Abstract #305 [ASH 2018 60th Meeting]. [Google Scholar] [CrossRef]
- Shoenfeld, Y.; Gurewich, Y.; Gallant, L.A.; Pinkhas, J. Prednisone-induced leukocytosis. Influence of dosage, method and duration of administration on the degree of leukocytosis. Am. J. Med. 1981, 71, 773–778. [Google Scholar] [CrossRef]
- Nakagawa, M.; Terashima, T.; D’yachkova, Y.; Bondy, G.P.; Hogg, J.C.; van Eeden, S.F. Glucocorticoid-induced granulocytosis: Contribution of marrow release and demargination of intravascular granulocytes. Circulation 1998, 98, 2307–2313. [Google Scholar] [CrossRef]
- McCarthy, P.L.; Owzar, K.; Hofmeister, C.C.; Hurd, D.D.; Hassoun, H.; Richardson, P.G.; Giralt, S.; Stadtmauer, E.A.; Weisdorf, D.J.; Vij, R.; et al. Lenalidomide after stem-cell transplantation for multiple myeloma. N. Engl. J. Med. 2012, 366, 1770–1781. [Google Scholar] [CrossRef]
- Jackson, G.H.; Davies, F.E.; Pawlyn, C.; Cairns, D.A.; Striha, A.; Collett, C.; Hockaday, A.; Jones, J.R.; Kishore, B.; Garg, M.; et al. Lenalidomide maintenance versus observation for patients with newly diagnosed multiple myeloma (Myeloma XI): A multicentre, open-label, randomised, phase 3 trial. Lancet Oncol. 2019, 20, 57–73. [Google Scholar] [CrossRef]
- Palumbo, A.; Bringhen, S.; Kumar, S.K.; Lupparelli, G.; Usmani, S.; Waage, A.; Larocca, A.; Van Der Holt, B.; Musto, P.; Offidani, M.; et al. Second primary malignancies with lenalidomide therapy for newly diagnosed myeloma: A meta-analysis of individual patient data. Lancet Oncol. 2014, 15, 333–342. [Google Scholar] [CrossRef]
- Palumbo, A.; Cavallo, F.; Gay, F.; Di Raimondo, F.; Ben Yehuda, D.; Petrucci, M.T.; Pezzatti, S.; Caravita, T.; Cerrato, C.; Ribakovsky, E.; et al. Autologous transplantation and maintenance therapy in multiple myeloma. N. Engl. J. Med. 2014, 371, 895–905. [Google Scholar] [CrossRef] [PubMed]
- Oliva, S.; Hofste op Bruinink, D.; Říhová, L.; Spada, S.; van der Holt, B.; Troia, R.; Gambella, M.; Pantani, L.; Grammatico, S.; Gilestro, M.; et al. Minimal Residual Disease (MRD) by Multiparameter Flow Cytometry (MFC) in Transplant Eligible Patients with Newly Diagnosed Multiple Myeloma (MM): Results from the EMN02/HO95 Phase 3 Trial. Haematologica 2017, 102, 2, [Abstract #S102, EHA 2017 22nd Congress]. [Google Scholar] [CrossRef]
- Munshi, N.C.; Avet-Loiseau, H.; Rawstron, A.C.; Owen, R.G.; Child, J.A.; Thakurta, A.; Sherrington, P.; Samur, M.K.; Georgieva, A.; Anderson, K.C.; et al. Association of Minimal Residual Disease With Superior Survival Outcomes in Patients With Multiple Myeloma: A Meta-analysis. JAMA Oncol. 2017, 3, 28–35. [Google Scholar] [CrossRef] [PubMed]
- Mian, I.; Milton, D.R.; Shah, N.; Nieto, Y.; Popat, U.R.; Kebriaei, P.; Parmar, S.; Oran, B.; Shah, J.J.; Manasanch, E.E.; et al. Prolonged survival with a longer duration of maintenance lenalidomide after autologous hematopoietic stem cell transplantation for multiple myeloma. Cancer 2016, 122, 3831–3837. [Google Scholar] [CrossRef]
- Moreau, P.; Masszi, T.; Grzasko, N.; Bahlis, N.J.; Hansson, M.; Pour, L.; Sandhu, I.; Ganly, P.; Baker, B.W.; Jackson, S.R.; et al. Oral Ixazomib, Lenalidomide, and Dexamethasone for Multiple Myeloma. N. Engl. J. Med. 2016, 374, 1621–1634. [Google Scholar] [CrossRef]
- Gay, F.; Cerrato, C.; Scalabrini, D.R.; Galli, M.; Belotti, A.; Zamagni, E.; Ledda, A.; Grasso, M.; Angelucci, E.; Liberati, A.M.; et al. Carfilzomib-Lenalidomide-Dexamethasone (KRd) Induction-Autologous Transplant (ASCT)-Krd Consolidation Vs KRd 12 Cycles Vs Carfilzomib-Cyclophosphamide-Dexamethasone (KCd) Induction-ASCT-KCd Consolidation: Analysis of the Randomized FORTE Trial in Newly Di. Blood 2018, 132. Abstract #121 [ASH 2018 60th Meeting]. [Google Scholar] [CrossRef]
- Dimopoulos, M.A.; Gay, F.; Schjesvold, F.; Beksac, M.; Hajek, R.; Weisel, K.C.; Goldschmidt, H.; Maisnar, V.; Moreau, P.; Min, C.K.; et al. Oral ixazomib maintenance following autologous stem cell transplantation (TOURMALINE-MM3): A double-blind, randomised, placebo-controlled phase 3 trial. Lancet 2019, 393, 253–264. [Google Scholar] [CrossRef]
- Thomas, S.K.; Shah, J.J.; Morphey, A.N.; Lee, H.C.; Manasanch, E.E.; Patel, K.K.; Miller, C.P.; Phillips, S.; Crumpton, B.N.; Johnson, R.J.; et al. Updated Results of a Phase II Study of Lenalidomide-Elotuzumab As Maintenance Therapy Post-Autologous Stem Cell Transplant (AuSCT) in Patients (Pts) with Multiple Myeloma (MM). Blood 2018, 132. Abstract #1982 [ASH 2018 60th Meeting]. [Google Scholar] [CrossRef]
- Voorhees, P.M.; Rodriguez, C.; Reeves, B.; Nathwani, N.; Costa, L.J.; Lutska, Y.; Hoehn, D.; Pei, H.; Ukropec, J.; Qi, M.; et al. Efficacy and Updated Safety Analysis of a Safety Run-in Cohort from Griffin, a Phase 2 Randomized Study of Daratumumab (Dara), Bortezomib (V), Lenalidomide (R), and Dexamethasone (D.; Dara-Vrd) Vs. Vrd in Patients (Pts) with Newly Diagnosed (ND) Multiple M. Blood 2018, 132. Abstract #151 [ASH 2018 60th. [Google Scholar] [CrossRef]
- Sborov, D.W.; Benson, D.M.; Williams, N.; Huang, Y.; Bowers, M.A.; Humphries, K.; Efebera, Y.; Devine, S.; Hofmeister, C.C. Lenalidomide and vorinostat maintenance after autologous transplant in multiple myeloma. Br. J. Haematol. 2015, 171, 74–83. [Google Scholar] [CrossRef] [PubMed]
- Gay, F.; Jackson, G.; Rosiñol, L.; Holstein, S.A.; Moreau, P.; Spada, S.; Davies, F.; Lahuerta, J.J.; Leleu, X.; Bringhen, S.; et al. Maintenance Treatment and Survival in Patients With Myeloma. A Systematic Review and Network Meta-analysis. JAMA Oncol. 2018, 4, 1389–1397. [Google Scholar] [CrossRef] [PubMed]



| Characteristics | All Patients | Patients Starting Maintenance | R | RP |
|---|---|---|---|---|
| (n = 1051) | (n = 625) | (n = 310) | (n = 315) | |
| PROTOCOL | ||||
| RV-MM-EMN-441 | 389 (37%) | 223 (36%) | 106 (34%) | 117 (37%) |
| EMN01 | 662 (63%) | 402 (64%) | 204 (66%) | 198 (63%) |
| INDUCTION | ||||
| MEL200 | 195 (19%) | 117 (19%) | 57 (18%) | 60 (19%) |
| CRD | 194 (18%) | 106 (17%) | 49 (16%) | 57 (18%) |
| MPR | 218 (21%) | 126 (20%) | 65 (21%) | 61 (19%) |
| CRP | 222 (21%) | 143 (23%) | 76 (25%) | 67 (22%) |
| Rd | 222 (21%) | 133 (21%) | 63 (20%) | 70 (22%) |
| AGE | ||||
| median (range) | 70 (18–111) | 69 (59–74) | 70 (60–75) | 69 (59–74) |
| >75 years old | 230 (22%) | 125 (20%) | 61 (20%) | 64 (20%) |
| 71–75 years old | 243 (23%) | 158 (25%) | 88 (28%) | 70 (22%) |
| 61–70 years old | 321 (31%) | 175 (28%) | 78 (25%) | 97 (31%) |
| ≤60 years old | 257 (24%) | 167 (27%) | 83 (27%) | 84 (27%) |
| GENDER | ||||
| Female | 531 (51%) | 327 (52%) | 175 (56%) | 152 (48%) |
| Male | 518 (49%) | 298 (48%) | 135 (44%) | 163 (52%) |
| R-ISS STAGE ° | ||||
| I | 153 (17%) | 115 (23%) | 51 (21%) | 64 (24%) |
| II | 661 (74%) | 362 (71%) | 181 (73%) | 181 (70%) |
| III | 73 (8%) | 31 (6%) | 15 (6%) | 17 (6%) |
| NA | 164 | 116 | 63 | 53 |
| CHROMOSOMAL ABNORMALITIES (FISH)° | ||||
| Standard risk | 599 (73%) | 369 (76%) | 180 (77%) | 189 (76%) |
| High risk | 216 (27%) | 114 (24%) | 55 (23%) | 59 (24%) |
| NA | 236 | 142 | 75 | 67 |
| BEST RESPONSE BEFORE MAINTENANCE | ||||
| sCr/CR | 49 (5%) | 44 (7%) | 20 (6%) | 24 (8%) |
| VGPR/PR | 719 (72%) | 504 (81%) | 249 (80%) | 255 (81%) |
| SD | 228 (23%) | 77 (12%) | 41 (13%) | 36 (11%) |
| Cox Model | HR | 95% CI | p Value |
|---|---|---|---|
| PFS | |||
| Stage | |||
| R-ISS II vs. I | 1.90 | 1.47–2.46 | <0.001 |
| R-ISS III vs. I | 2.54 | 1.65–3.93 | <0.001 |
| TTNT | |||
| Stage | |||
| R-ISS II vs. I | 2.06 | 1.55–2.74 | <0.001 |
| R-ISS III vs. I | 2.98 | 1.88–4.71 | <0.001 |
| PFS2 | |||
| Stage | |||
| R-ISS II vs. I | 2.55 | 1.79–3.63 | <0.001 |
| R-ISS III vs. I | 4.03 | 2.41–6.73 | <0.001 |
| OS | |||
| Stage | |||
| R-ISS II vs I | 2.33 | 1.52–3.57 | <0.001 |
| R-ISS III vs I | 4.37 | 2.45–7.80 | <0.001 |
| Any Grade | Grade 3–4 | |||||
|---|---|---|---|---|---|---|
| Adverse Events | R (n = 310) | RP ((n = 315) | p Value | R ((n = 310) | RP ((n = 315) | p Value |
| HEMATOLOGIC | 168 (54%) | 125 (40%) | 0.003 | 62 (20%) | 36 (11%) | 0.004 |
| Anemia | 65 (21%) | 63 (20%) | - | 4 (1%) | 5 (2%) | - |
| Neutropenia | 108 (35%) | 67 (21%) | <0.001 | 58 (19%) | 27 (9%) | <0.001 |
| Thrombocytopenia | 45 (15%) | 39 (12%) | - | 5 (2%) | 6 (2%) | - |
| NON-HEMATOLOGIC | 142 (46%) | 172 (55%) | 0.03 | 39 (13%) | 54 (17%) | - |
| Infection | 30 (10%) | 35 (11%) | - | 5 (2%) | 9 (3%) | - |
| Pneumonia | 5 (2%) | 6 (2%) | - | 2 (1%) | 1 (1%) | - |
| Bronchitis | 6 (2%) | 5 (2%) | - | 0 | 1 (1%) | - |
| VZV infection | 2 (1%) | 4 (1%) | - | 0 | 1 (1%) | - |
| Fatigue | 11 (4%) | 20 (6%) | - | 2 (1%) | 1 (1%) | |
| Gastrointestinal | 53 (17%) | 37 (12%) | - | 0 | 5 (2%) | |
| Diarrhea | 35 (11%) | 21 (7%) | - | 0 | 3 (1%) | - |
| Constipation | 4 (1%) | 5 (2%) | - | 0 | 0 | - |
| Nausea | 2 (1%) | 3 (1%) | - | 0 | 0 | |
| Peripheral neuropathy | ||||||
| PNP and paresthesia | 5 (2%) | 17 (5%) | 0.01 | 1 (1%) | 4 (1%) | - |
| Cramps | 3 (1%) | 6 (2%) | - | 0 | 1 (1%) | - |
| Central nervous system * | 5 (2%) | 16 (5%) | 0.02 | 2 (1%) | 4 (1%) | - |
| VTE | ||||||
| Deep vein thrombosis | 3 (1%) | 8 (3%) | - | 3 (1%) | 6 (2%) | - |
| Pulmonary embolism | 1 (1%) | 3 (1%) | - | 1 (1%) | 3 (1%) | - |
| Dermatological | 19 (6%) | 11 (3%) | - | 3 (1%) | 4 (1%) | - |
| Rash | 12 (4%) | 7 (2%) | - | 3 (1%) | 3 (1%) | - |
© 2019 by the authors. Licensee MDPI, Basel, Switzerland. This article is an open access article distributed under the terms and conditions of the Creative Commons Attribution (CC BY) license (http://creativecommons.org/licenses/by/4.0/).
Share and Cite
Bonello, F.; Pulini, S.; Ballanti, S.; Gentile, M.; Spada, S.; Annibali, O.; Omedé, P.; Ronconi, S.; Cangialosi, C.; Podda, L.; et al. Lenalidomide Maintenance with or without Prednisone in Newly Diagnosed Myeloma Patients: A Pooled Analysis. Cancers 2019, 11, 1735. https://doi.org/10.3390/cancers11111735
Bonello F, Pulini S, Ballanti S, Gentile M, Spada S, Annibali O, Omedé P, Ronconi S, Cangialosi C, Podda L, et al. Lenalidomide Maintenance with or without Prednisone in Newly Diagnosed Myeloma Patients: A Pooled Analysis. Cancers. 2019; 11(11):1735. https://doi.org/10.3390/cancers11111735
Chicago/Turabian StyleBonello, Francesca, Stefano Pulini, Stelvio Ballanti, Massimo Gentile, Stefano Spada, Ombretta Annibali, Paola Omedé, Sonia Ronconi, Clotilde Cangialosi, Luigi Podda, and et al. 2019. "Lenalidomide Maintenance with or without Prednisone in Newly Diagnosed Myeloma Patients: A Pooled Analysis" Cancers 11, no. 11: 1735. https://doi.org/10.3390/cancers11111735
APA StyleBonello, F., Pulini, S., Ballanti, S., Gentile, M., Spada, S., Annibali, O., Omedé, P., Ronconi, S., Cangialosi, C., Podda, L., Palmas, A., Malfitano, A., Rivoli, G., Belotti, A., Ciambelli, F., Vincelli, I. D., Cafro, A. M., Innao, V., Palumbo, A., ... Gay, F. (2019). Lenalidomide Maintenance with or without Prednisone in Newly Diagnosed Myeloma Patients: A Pooled Analysis. Cancers, 11(11), 1735. https://doi.org/10.3390/cancers11111735

