Posture Tracking of Active Capsule Endoscopes Integrated with Magnetic Actuation Using Hall-Effect Sensors
Abstract
1. Introduction
2. Materials and Methods
2.1. Localization Method Using HES
2.2. Magnetic Field Analysis for Sensor Placement
3. Experimental Result
3.1. Experimental Setup
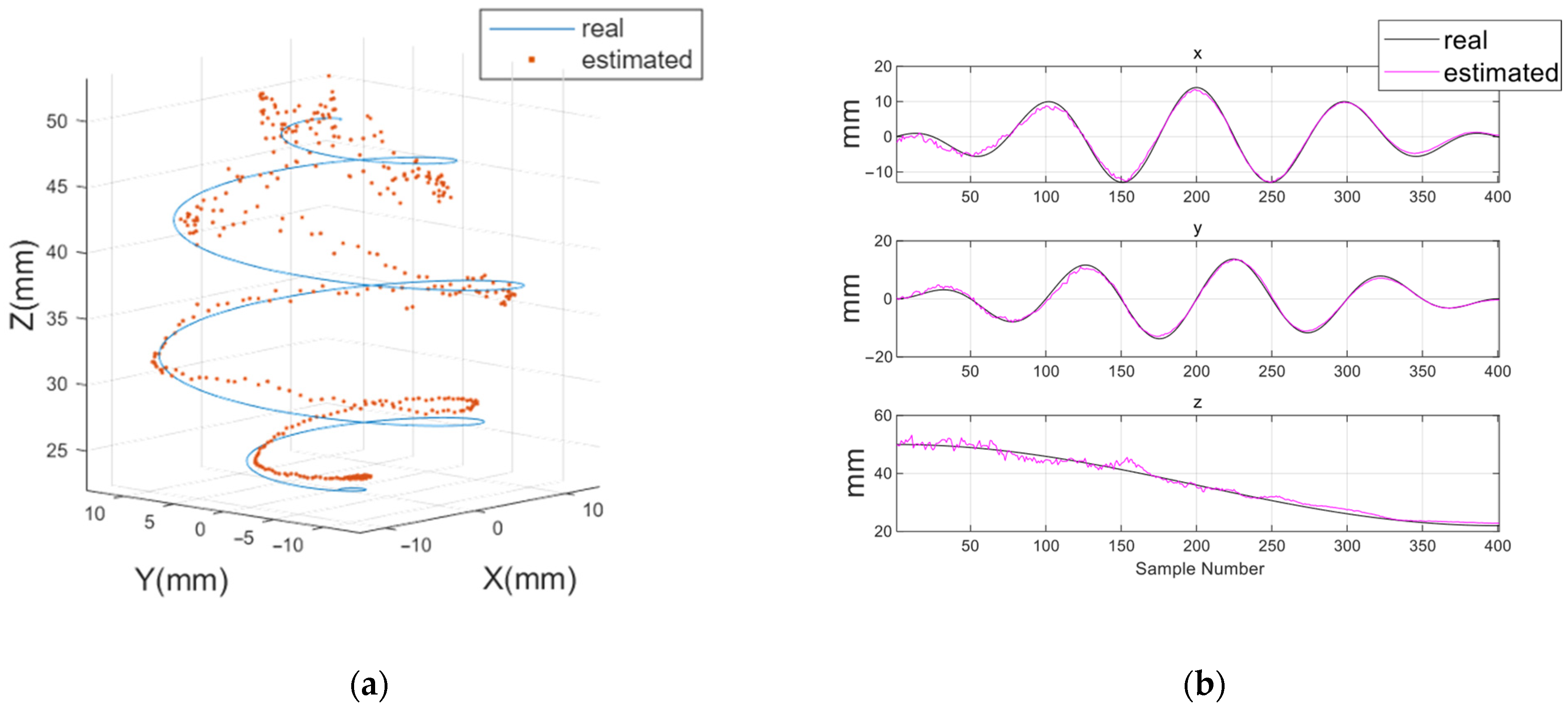
3.2. Experimental Results
4. Conclusions
Author Contributions
Funding
Institutional Review Board Statement
Informed Consent Statement
Data Availability Statement
Conflicts of Interest
References
- Jeong, S.; Kang, J.; Pahlavan, K.; Tarokh, V. Fundamental Limits of TOA/DOA and Inertial Measurement Unit-Based Wireless Capsule Endoscopy Hybrid Localization. Int. J. Wirel. Inf. Netw. 2017, 24, 169–179. [Google Scholar] [CrossRef]
- Marya, N.; Karellas, A.; Foley, A.; Roychowdhury, A.; Cave, D. Computerized 3-Dimensional Localization of a Video Capsule in the Abdominal Cavity: Validation by Digital Radiography. Gastrointest. Endosc. 2014, 79, 669–674. [Google Scholar] [CrossRef] [PubMed]
- McCaffrey, C.; Chevalerias, O.; O’Mathuna, C.; Twomey, K. Swallowable-Capsule Technology. IEEE Pervasive Comput. 2008, 7, 23–29. [Google Scholar] [CrossRef]
- Bianchi, F.; Masaracchia, A.; Barjuei, E.S.; Menciassi, A.; Arezzo, A.; Koulaouzidis, A.; Stoyanov, D.; Dario, P.; Ciuti, G. Localization strategies for robotic endoscopic capsules: A review. Expert Rev. Med. Devices 2019, 16, 381–403. [Google Scholar] [CrossRef] [PubMed]
- Twomey, K.; Marchesi, J.R. Swallowable Capsule Technology: Current Perspectives and Future Directions. Endoscopy 2009, 41, 357–362. [Google Scholar] [CrossRef] [PubMed]
- Vedaei, S.S.; Khan, A.W. A localization method for wireless capsule endoscopy using side wall cameras and IMU sensor. Sci. Rep. 2021, 11, 11204. [Google Scholar] [CrossRef] [PubMed]
- Goh, S.T.; Zekavat, S.A.; Pahlavan, K. DOA-Based Endoscopy Capsule Localization and Orientation Estimation via Unscented Kalman Filter. IEEE Sens. J. 2014, 14, 3819–3829. [Google Scholar]
- Li, Y.; Huang, Z.; Liu, X.; Jie, Y.; Song, C.; Hu, C. Calibrated Analytical Model for Magnetic Localization of Wireless Capsule Endoscope Based on Onboard Sensing. Robotica 2023, 41, 1500–1514. [Google Scholar] [CrossRef]
- Son, D.; Yim, S.; Sitti, M. A 5-D localization method for a magnetically manipulated untethered robot using a 2-D array of Hall-effect sensors. IEEE/ASME Trans. Mechatron. 2015, 21, 708–716. [Google Scholar] [CrossRef] [PubMed]
- He, M.; Zhu, A.; Yang, L. Electromagnetic Tracking System for Medical Micro Devices: A Review. Micromachines 2025, 16, 1175. [Google Scholar] [CrossRef] [PubMed]
- Zhang, M.; Yang, L.; Zhang, C.; Yang, Z.; Zhang, L. A 5-D large-workspace magnetic localization and actuation system based on an eye-in-hand magnetic sensor array and mobile coils. IEEE Trans. Instrum. Meas. 2023, 72, 7501411. [Google Scholar] [CrossRef]
- Kim, M.-C.; Kim, E.-S.; Park, J.-O.; Choi, E.; Kim, C.-S. Robotic Localization Based on Planar Cable Robot and Hall Sensor Array Applied to Magnetic Capsule Endoscope. Sensors 2020, 20, 5728. [Google Scholar] [CrossRef] [PubMed]
- Zhang, H.; Li, Y.; Li, Z. 6-D Spatial Localization of Wireless Magnetically Actuated Capsule Endoscopes Based on the Fusion of Hall Sensor Array and IMU. IEEE Sens. J. 2022, 22, 13424–13433. [Google Scholar] [CrossRef]
- Petruska, A.J.; Abbott, J.J. Optimal Permanent-Magnet Geometries for Dipole Field Approximation. IEEE Trans. Magn. 2012, 49, 811–819. [Google Scholar] [CrossRef]
- Scharfetter, H.; Casañas Bueno, R.; Rosell Ferrer, F.J. Biological Tissue Characterization by Magnetic Induction Spectroscopy (MIS): Requirements and Limitations. IEEE Trans. Biomed. Eng. 2003, 50, 870–880. [Google Scholar] [CrossRef] [PubMed]










| Category | RF-Based | Ultrasound-Based | IMU-Based | Fixed Hall Sensor Array | Proposed Method |
|---|---|---|---|---|---|
| Capsule Hardware | RF transmitter | Ultrasound emitter | 9-DOF IMU | Permanent magnet | Permanent magnet |
| External Infrastructure | Antenna array | Ultrasound receivers | None | Fixed Hall sensor plate | HES array |
| Power Consumption | Moderate | Moderate–High | Low–Moderate | Magnetic inverse modeling | Low (Robot Arm) |
| Onboard Sensor Requirement | yes | yes | yes | no | no |
| System Complexity | Antenna array required | Multiple receivers required | Sensor fusion required | Fixed plate geometry | Simplified architecture |
| Key Advantage | Wireless tracking | Tissue-penetrable | No external array | Simple magnetic model | Capsule miniaturization + low-power integrated actuation & localization |
| RMSE | |||||
|---|---|---|---|---|---|
| x (mm) | y (mm) | z (mm) | |||
| Position | 0.98 | 0.76 | 1.62 | 1.5 | 0.9 |
| Pitch | 1.52 | 1.07 | 0.95 | 2.0 | 1.7 |
| Yaw | 0.88 | 1.36 | 1.46 | 1.9 | 2.1 |
| Height (mm) | 20 | 30 | 40 | 50 | 60 | 70 |
| RMSE (mm) | 1.22 | 1.69 | 2.33 | 2.96 | 2.78 | 6.23 |
| RMSE | ||||
|---|---|---|---|---|
| x (mm) | y (mm) | z (mm) | ||
| 6.6 | 3.7 | 2.5 | 5.7 | 2.4 |
Disclaimer/Publisher’s Note: The statements, opinions and data contained in all publications are solely those of the individual author(s) and contributor(s) and not of MDPI and/or the editor(s). MDPI and/or the editor(s) disclaim responsibility for any injury to people or property resulting from any ideas, methods, instructions or products referred to in the content. |
© 2026 by the authors. Licensee MDPI, Basel, Switzerland. This article is an open access article distributed under the terms and conditions of the Creative Commons Attribution (CC BY) license.
Share and Cite
Han, J.; Nguyen, K.T.; Kim, E.-S.; Park, J.-O.; Choe, E.; Moon, C.-b.; Kim, J. Posture Tracking of Active Capsule Endoscopes Integrated with Magnetic Actuation Using Hall-Effect Sensors. Micromachines 2026, 17, 327. https://doi.org/10.3390/mi17030327
Han J, Nguyen KT, Kim E-S, Park J-O, Choe E, Moon C-b, Kim J. Posture Tracking of Active Capsule Endoscopes Integrated with Magnetic Actuation Using Hall-Effect Sensors. Micromachines. 2026; 17(3):327. https://doi.org/10.3390/mi17030327
Chicago/Turabian StyleHan, Junho, Kim Tien Nguyen, Eui-Sun Kim, Jong-Oh Park, Eunho Choe, Chang-bae Moon, and Jayoung Kim. 2026. "Posture Tracking of Active Capsule Endoscopes Integrated with Magnetic Actuation Using Hall-Effect Sensors" Micromachines 17, no. 3: 327. https://doi.org/10.3390/mi17030327
APA StyleHan, J., Nguyen, K. T., Kim, E.-S., Park, J.-O., Choe, E., Moon, C.-b., & Kim, J. (2026). Posture Tracking of Active Capsule Endoscopes Integrated with Magnetic Actuation Using Hall-Effect Sensors. Micromachines, 17(3), 327. https://doi.org/10.3390/mi17030327

