Preparation of Self-Assembled Human Serum Albumin Nanoparticles Decorated with Trastuzumab as a Paclitaxel Delivery System
Abstract
1. Introduction
2. Materials and Methods
2.1. Materials
2.2. Methods
2.2.1. Preparation of HSA NPs (HSA-PTX, HSA-TMAB, and HSA-PTX-TMAB)
2.2.2. Conformational Analysis of HSA by FTIR
2.2.3. Physicochemical Characterization of NPs
- Mean diameter and Polydispersity Index
- ζ-Potential
- Storage stability
- Morphological Analysis by SEM
2.2.4. Drug Loading and Release Studies
- Paclitaxel drug association efficiency and Loading Capacity
- In vitro PTX Release
2.2.5. In Vitro Cytotoxicity Assay
2.2.6. Statistical Analysis
3. Results
3.1. Structural Characterization of HSA by FTIR
3.2. Physicochemical Characterization
3.3. Drug Loading and Release Studies
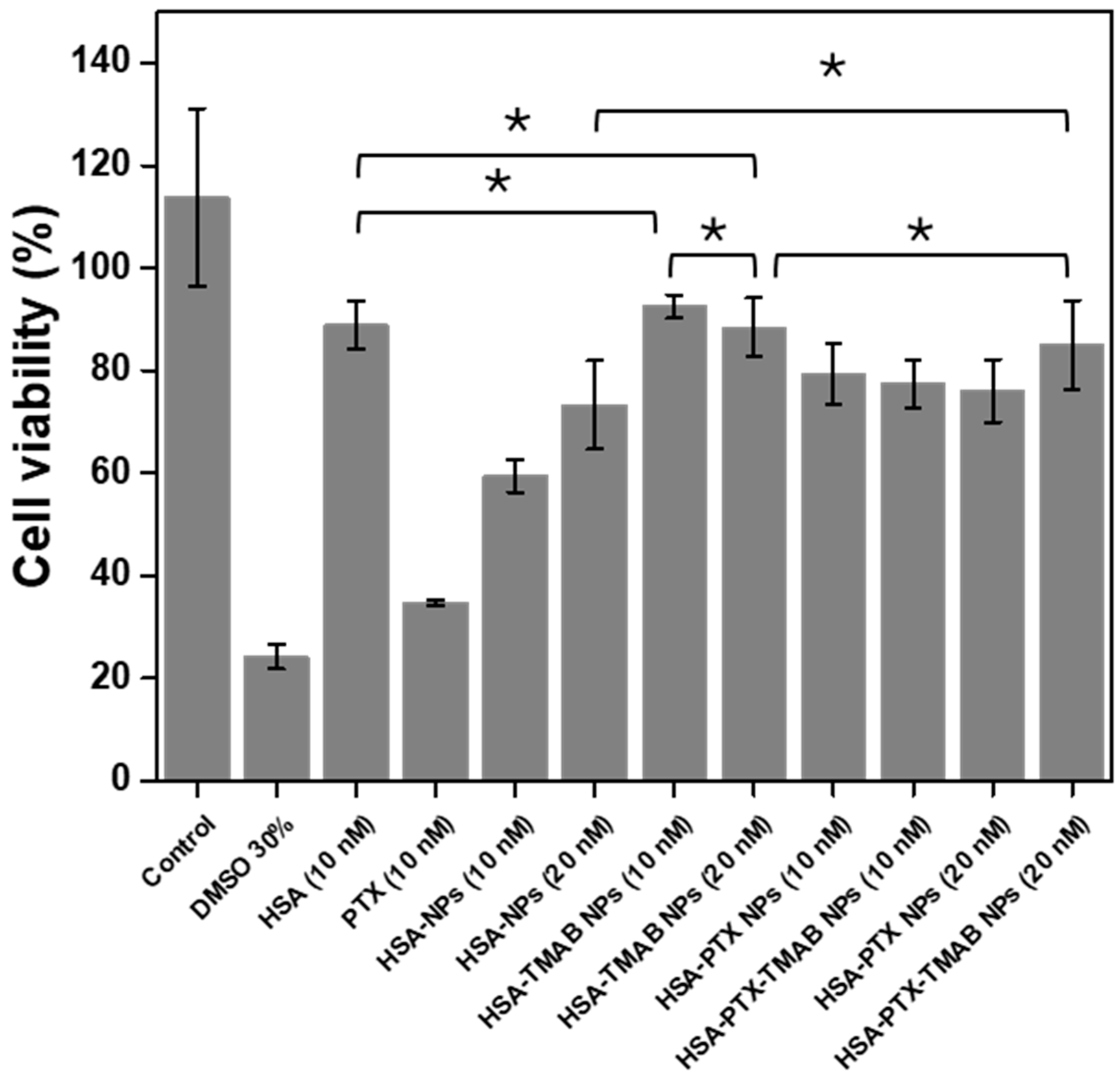
3.4. In Vitro Cytotoxicity Assay
4. Discussion
4.1. Structural Characterization
4.2. Physicochemical Characterization
4.3. Drug Loading and Release Behavior
4.4. Cytotoxicity Analysis
5. Conclusions
Author Contributions
Funding
Data Availability Statement
Acknowledgments
Conflicts of Interest
References
- Kono, Y.; Sugaya, T.; Yasudome, H.; Ogiso, H.; Ogawara, K.I. Preparation of stable and monodisperse paclitaxel-loaded bovine serum albumin nanoparticles via intermolecular disulfide crosslinking. Biochem. Biophys. Rep. 2024, 38, 101713. [Google Scholar] [CrossRef] [PubMed]
- Lian, H.; Wu, J.; Hu, Y.; Guo, H. Self-assembled albumin nanoparticles for combination therapy in prostate cancer. Int. J. Nanomed. 2017, 12, 7777–7787. [Google Scholar] [CrossRef] [PubMed]
- Vurgun, H.; Sezer, G.; Yay, A. The role of autophagy in paclitaxel and cremophor induced damage to rat testis. Biotech. Histochem. 2022, 97, 433–440. [Google Scholar] [CrossRef]
- Utreja, P.; Jain, S.; Tiwary, A.K. Evaluation of biosafety and intracellular uptake of Cremophor EL free paclitaxel elastic liposomal formulation. Drug Deliv. 2012, 19, 11–20. [Google Scholar] [CrossRef]
- Cremophor. In Meyler’s Side Effects of Drugs: The International Encyclopedia of Adverse Drug Reactions and Interactions; Aronson, J.K., Ed.; Elsevier: Amsterdam, The Netherlands, 2006; p. 763. [Google Scholar] [CrossRef]
- Chao, T.C.; Chu, Z.; Tseng, L.-M.; Chiou, T.-J.; Hsieh, R.-K.; Wang, W.-S.; Yen, C.-C.; Yang, M.-H.; Hsiao, L.-T.; Liu, J.-H.; et al. Paclitaxel in a novel formulation containing less Cremophor EL as first-line therapy for advanced breast cancer: A phase II trial. Investig. New Drugs 2005, 23, 171–177. [Google Scholar] [CrossRef]
- Lee, M.-K.; Lim, S.-J.; Kim, C.-K. Preparation, characterization and in vitro cytotoxicity of paclitaxel-loaded sterically stabilized solid lipid nanoparticles. Biomaterials 2007, 28, 2137–2146. [Google Scholar] [CrossRef]
- Dattani, S.; Li, X.; Lampa, C.; Lechuga-Ballesteros, D.; Barriscale, A.; Damadzadeh, B.; Jasti, B.R. A comparative study on micelles, liposomes and solid lipid nanoparticles for paclitaxel delivery. Int. J. Pharm. 2023, 631, 122464. [Google Scholar] [CrossRef]
- Alavi, M.; Nokhodchi, A. Micro- and nanoformulations of paclitaxel based on micelles, liposomes, cubosomes, and lipid nanoparticles: Recent advances and challenges. Drug Discov. Today 2022, 27, 576–584. [Google Scholar] [CrossRef]
- Wang, F.-Y.; Huang, X.-M.; Cao, Y.-Q.; Cao, J.; Ni, J.; Li, K.; Lu, M.; Huang, X.-E. Nanoparticle Polymeric Micellar Paclitaxel Versus Paclitaxel for Patients with Advanced Gastric Cancer. J. Gastrointest. Cancer 2024, 55, 1105–1110. [Google Scholar] [CrossRef]
- Ma, G.; Du, X.; Zhu, J.; Xu, F.; Yu, H.; Li, J. Multi-functionalized dendrimers for targeted co-delivery of sorafenib and paclitaxel in liver cancers. J. Drug Deliv. Sci. Technol. 2021, 63, 102493. [Google Scholar] [CrossRef]
- Liu, Y.; Cheng, W.; Xin, H.; Liu, R.; Wang, Q.; Cai, W.; Peng, X.; Yang, F.; Xin, H. Nanoparticles advanced from preclinical studies to clinical trials for lung cancer therapy. Cancer Nanotechnol. 2023, 14, 28. [Google Scholar] [CrossRef] [PubMed]
- Dzhuzha, A.; Gandalipov, E.; Korzhikov-Vlakh, V.; Katernyuk, E.; Zakharova, N.; Silonov, S.; Tennikova, T.; Korzhikova-Vlakh, E. Amphiphilic Polypeptides Obtained by Post-Polymerization Modification of Poly-l-Lysine as Systems for Combined Delivery of Paclitaxel and siRNA. Pharmaceutics 2023, 15, 1308. [Google Scholar] [CrossRef]
- Mikhalevich, V.; Craciun, I.; Kyropoulou, M.; Palivan, C.G.; Meier, W. Amphiphilic Peptide Self-Assembly: Expansion to Hybrid Materials. Biomacromolecules 2017, 18, 3471–3480. [Google Scholar] [CrossRef]
- Wang, S.; Li, Y.; Xu, H.; Sun, Y.; Xu, S. Design, structure of amphiphilic peptide and its application from single molecule to nanoparticle. Results Eng. 2022, 16, 100747. [Google Scholar] [CrossRef]
- Li, X.; Sun, A.-N.; Liu, Y.-J.; Zhang, W.-J.; Pang, N.; Cheng, S.-X.; Qi, X.-R. Amphiphilic dendrimer engineered nanocarrier systems for co-delivery of siRNA and paclitaxel to matrix metalloproteinase-rich tumors for synergistic therapy. NPG Asia Mater. 2018, 10, 238–254. [Google Scholar] [CrossRef]
- Pirposhteh, R.T.; Kheirkhah, O.; Naderi, S.; Borzouee, F. Advanced Peptide Nanofibers in Delivery of Therapeutic Agents: Recent Trends, Limitations, and Critical Properties. Fibers 2025, 13, 130. [Google Scholar] [CrossRef]
- Nicze, M.; Borówka, M.; Dec, A.; Niemiec, A.; Bułdak, Ł.; Okopień, B. The current and promising oral delivery methods for protein-and peptide-based drugs. Int. J. Mol. Sci. 2024, 25, 815. [Google Scholar] [CrossRef]
- Lee, M.F.; Poh, C.L. Strategies to improve the physicochemical properties of peptide-based drugs. Pharm. Res. 2023, 40, 617–632. [Google Scholar] [CrossRef]
- Verma, S.; Goand, U.K.; Husain, A.; Katekar, R.A.; Garg, R.; Gayen, J.R. Challenges of peptide and protein drug delivery by oral route: Current strategies to improve the bioavailability. Drug Dev. Res. 2021, 82, 927–944. [Google Scholar] [CrossRef]
- Zhang, Y.; Wang, J.; Xing, H.; Liu, C.; Li, X. Redox-responsive paclitaxel-pentadecanoic acid conjugate encapsulated human serum albumin nanoparticles for cancer therapy. Int. J. Pharm. 2023, 635, 122761. [Google Scholar] [CrossRef] [PubMed]
- Rabbani, G.; Ahn, S.N. Structure, enzymatic activities, glycation and therapeutic potential of human serum albumin: A natural cargo. Int. J. Biol. Macromol. 2019, 123, 979–990. [Google Scholar] [CrossRef]
- Larsen, M.T.; Kuhlmann, M.; Hvam, M.L.; Howard, K.A. Albumin-based drug delivery: Harnessing nature to cure disease. Mol. Cell. Ther. 2016, 4, 3. [Google Scholar] [CrossRef]
- Nerusu, A.; Vaikuntapu, P.R.; Chinthapalli, D.K.; Podile, A.R.; Subramanyam, R. Truncated domains of human serum albumin improves the binding efficiency of uremic toxins: A surface plasmon resonance and computational approach. Int. J. Biol. Macromol. 2020, 155, 1216–1225. [Google Scholar] [CrossRef]
- Shrestha, S.; Shrestha, A.; Kim, J.; Thapa, R.K.; Kim, J.O. Recent advances in albumin nanoparticle-based cancer therapies. J. Pharm. Investig. 2025, 55, 1–14. [Google Scholar] [CrossRef]
- Battogtokh, G.; Kang, J.H.; Ko, Y.T. Long-circulating self-assembled cholesteryl albumin nanoparticles enhance tumor accumulation of hydrophobic anticancer drug. Eur. J. Pharm. Biopharm. 2015, 96, 96–105. [Google Scholar] [CrossRef] [PubMed]
- Verma, Y.; Khan, I.; Khanna, S.; Gupta, G.; Nasir, N.; Wahab, S.; Kesharwani, P. Revolutionizing breast cancer treatment: Harnessing the potential of albumin nanoparticles as targeted drug delivery vehicles. Eur. Polym. J. 2024, 220, 113427. [Google Scholar] [CrossRef]
- Wang, L.; Wu, Y.; Yang, N.; Yin, W.; Yang, H.; Li, C.; Zhuang, Y.; Song, Z.; Cheng, X.; Shi, S.; et al. Self-assembly of maltose-albumin nanoparticles for efficient targeting delivery and therapy in liver cancer. Int. J. Biol. Macromol. 2024, 258, 128691. [Google Scholar] [CrossRef] [PubMed]
- Fu, Q.; Sun, J.; Zhang, W.; Sui, X.; Yan, Z.; He, Z. Nanoparticle albumin-bound (NAB) technology is a promising method for anti-cancer drug delivery. Recent Pat. Anticancer Drug Discov. 2009, 4, 262–272. [Google Scholar] [CrossRef]
- Kragh-Hansen, U. Molecular aspects of ligand binding to serum albumin. Pharmacol. Rev. 1981, 33, 17–53. [Google Scholar] [CrossRef]
- Flora, K.; Brennan, J.D.; Baker, G.A.; Doody, M.A.; Bright, F.V. Unfolding of acrylodan-labeled human serum albumin probed by steady-state and time-resolved fluorescence methods. Biophys. J. 1998, 75, 1084–1096. [Google Scholar] [CrossRef]
- Farruggia, B.; Picó, G.A. Thermodynamic features of the chemical and thermal denaturations of human serum albumin. Int. J. Biol. Macromol. 1999, 26, 317–323. [Google Scholar] [CrossRef] [PubMed]
- Hassanin, A.; Elzoghby, A.O. Self-assembled non-covalent protein-drug nanoparticles: An emerging delivery platform for anti-cancer drugs. Expert Opin. Drug Deliv. 2020, 17, 1437–1458. [Google Scholar] [CrossRef]
- Lin, T.; Zhao, P.; Jiang, Y.; Tang, Y.; Jin, H.; Pan, Z.; He, H.; Yang, V.C.; Huang, Y. Blood-Brain-Barrier-Penetrating Albumin Nanoparticles for Biomimetic Drug Delivery via Albumin-Binding Protein Pathways for Antiglioma Therapy. ACS Nano 2016, 10, 9999–10012. [Google Scholar] [CrossRef]
- Fan, T.; Yu, X.; Shen, B.; Sun, L. Peptide Self-Assembled Nanostructures for Drug Delivery Applications. J. Nanomater. 2017, 2017, 4562474. [Google Scholar] [CrossRef]
- Ferrado, B.; Perez, A.A.; Visentini, F.F.; Islan, G.A.; Castro, G.R.; Santiago, L.G. Formation and characterization of self-assembled bovine serum albumin nanoparticles as chrysin delivery systems. Colloids Surf. B Biointerfaces 2019, 173, 43–51. [Google Scholar] [CrossRef]
- Doan, C.D.; Ghosh, S. Formation and Stability of Pea Proteins Nanoparticles Using Ethanol-Induced Desolvation. Nanomaterials 2019, 9, 949. [Google Scholar] [CrossRef]
- Tanjung, Y.P.; Dewi, M.K.; Gatera, V.A.; Barliana, M.I.; Joni, I.M.; Chaerunisaa, A.Y. Factors Affecting the Synthesis of Bovine Serum Albumin Nanoparticles Using the Desolvation Method. Nanotechnol. Sci. Appl. 2024, 17, 21–40. [Google Scholar] [CrossRef] [PubMed]
- Muhamad, N.; Plengsuriyakarn, T.; Na-Bangchang, K. Application of active targeting nanoparticle delivery system for chemotherapeutic drugs and traditional/herbal medicines in cancer therapy: A systematic review. Int. J. Nanomed. 2018, 13, 3921–3935. [Google Scholar] [CrossRef]
- Wathoni, N.; Puluhulawa, L.E.; Joni, I.M.; Muchtaridi, M.; Mohammed, A.F.A.; Elamin, K.M.; Milanda, T.; Gozali, D. Monoclonal antibody as a targeting mediator for nanoparticle targeted delivery system for lung cancer. Drug Deliv. 2022, 29, 2959–2970. [Google Scholar] [CrossRef]
- Barth, C.; Spreen, H.; Mulac, D.; Keuter, L.; Behrens, M.; Humpf, H.-U.; Langer, K. Spacer length and serum protein adsorption affect active targeting of trastuzumab-modified nanoparticles. Biomater. Biosyst. 2022, 5, 100032. [Google Scholar] [CrossRef]
- Mei, X.; Hu, Y.; Liu, H.; Wu, H.; Xie, L.; Xiong, J.; Wang, Y.; Yao, J. Pyrotinib combined with trastuzumab and chemotherapy in the treatment of HER2-positive metastatic breast cancer after the progression of trastuzumab therapy. J. Formos. Med. Assoc. 2025; in press. [Google Scholar] [CrossRef]
- Akbari, V.; Chou, C.P.; Abedi, D. New insights into affinity proteins for HER2-targeted therapy: Beyond trastuzumab. Biochim. Biophys. Acta Rev. Cancer 2020, 1874, 188448. [Google Scholar] [CrossRef]
- Nieto, C.; Vega, M.A.; Del Valle, E.M.M. Trastuzumab: More than a guide in her2-positive cancer nanomedicine. Nanomaterials 2020, 10, 1674. [Google Scholar] [CrossRef]
- Marques, C.; Costa, P.J.; Velho, S.; Amaral, M.H. Functionalizing nanoparticles with cancer-targeting antibodies: A comparison of strategies. J. Control. Release 2020, 320, 180–200. [Google Scholar] [CrossRef] [PubMed]
- Jahanban-Esfahlan, A.; Dastmalchi, S.; Davaran, S. A simple improved desolvation method for the rapid preparation of albumin nanoparticles. Int. J. Biol. Macromol. 2016, 91, 703–709. [Google Scholar] [CrossRef]
- Zhao, S.; Wang, W.; Huang, Y.; Fu, Y.; Cheng, Y. Paclitaxel loaded human serum albumin nanoparticles stabilized with intermolecular disulfide bonds. Medchemcomm 2014, 5, 1658–1663. [Google Scholar] [CrossRef]
- Shahapurmath, S.; Sharannavar, B.R.; Koli, R. Serum albumin nanoparticles: Ligand functionalization for enhanced targeted therapeutics in precision medicine. Med. Drug Discov. 2025, 27, 100218. [Google Scholar] [CrossRef]
- Steinhauser, M.; Langer, K.; Strebhardt, K.M.; Spänkuch, B. Effect of trastuzumab-modified antisense oligonucleotide-loaded human serum albumin nanoparticles prepared by heat denaturation. Biomaterials 2008, 29, 4022–4028. [Google Scholar] [CrossRef]
- Tian, J.; Stella, V.J. Degradation of paclitaxel and related compounds in aqueous solutions I: Epimerization. J. Pharm. Sci. 2008, 97, 1224–1235. [Google Scholar] [CrossRef]
- Izutsu, I.; Kadoya, S.; Yomota, C.; Kawanishi, T.; Yonemochi, E.; Terada, K. Stabilization of protein structure in freeze-dried amorphous organic acid buffer salts. Chem. Pharm. Bull. 2009, 57, 1231–1236. [Google Scholar] [CrossRef]
- Paal, K.; Shkarupin, A. Paclitaxel binding to the fatty acid-induced conformation of human serum albumin-Automated docking studies. Bioorg. Med. Chem. 2007, 15, 7568–7575. [Google Scholar] [CrossRef]
- Ahmad, E.; Rabbani, G.; Zaidi, N.; Ahmad, B.; Khan, R.H. Pollutant-Induced Modulation in Conformation and β-Lactamase Activity of Human Serum Albumin. PLoS ONE 2012, 7, e38372. [Google Scholar] [CrossRef]
- Susi, H.; Byler, D.M. Resolution-enhanced Fourier transform infrared spectroscopy of enzymes. Methods Enzymol. 1986, 130, 290–311. [Google Scholar] [CrossRef]
- Yang, H.; Yang, S.; Kong, J.; Dong, A.; Yu, S. Obtaining information about protein secondary structures in aqueous solution using Fourier transform IR spectroscopy. Nat. Protoc. 2015, 10, 382–396. [Google Scholar] [CrossRef] [PubMed]
- Liu, G.; An, D.; Li, J.; Deng, S. Zein-based nanoparticles: Preparation, characterization, and pharmaceutical application. Front. Pharmacol. 2023, 14, 1120251. [Google Scholar] [CrossRef]
- Bezbaruah, R.; Chavda, V.P.; Nongrang, L.; Alom, S.; Deka, K.; Kalita, T.; Ali, F.; Bhattacharjee, B.; Vora, L. Nanoparticle-Based Delivery Systems for Vaccines. Vaccines 2022, 10, 1946. [Google Scholar] [CrossRef]
- Lee, C.; Kim, B.; Lee, S.; Kim, T.H.; Kim, J.O.; Lee, E.S.; Oh, K.T.; Choi, H.G.; Yoo, S.D.; Youn, Y.S. Doxorubicin and paclitaxel co-bound lactosylated albumin nanoparticles having targetability to hepatocellular carcinoma. Colloids Surf. B Biointerfaces 2017, 152, 183–191. [Google Scholar] [CrossRef]
- Takahashi, H.; Kawakita, T.; Yoshioka, M.; Kobayashi, S.; Ohno, M. Enantioselective alkylation of aldehyde catalyzed by disulfonamide-Ti(O-i-Pr)4-dialkyl zinc system. Tetrahedron Lett. 1989, 30, 7095–7098. [Google Scholar] [CrossRef]
- Siepmann, J.; Siepmann, F. Sink conditions do not guarantee the absence of saturation effects. Int. J. Pharm. 2020, 577, 119009. [Google Scholar] [CrossRef] [PubMed]
- Zhao, D.; Zhao, X.; Zu, Y.; Li, J.; Zhang, Y.; Jiang, R.; Zhang, Z. Preparation, characterization, and in vitro targeted delivery of folate-decorated paclitaxel-loaded bovine serum albumin nanoparticles. Int. J. Nanomed. 2010, 5, 20957218. [Google Scholar] [CrossRef]
- Jain, N.; Shahrukh, S.; Famta, P.; Shah, S.; Vambhurkar, G.; Srinivasarao, D.A.; Sharma, A.; Pandey, G.; Wagh, S.; Shinde, S.; et al. Combating breast cancer-associated metastasis using paclitaxel and tranilast-loaded human serum albumin nanoparticles. Drug Dev. Ind. Pharm. 2025, 51, 786–798. [Google Scholar] [CrossRef] [PubMed]
- Zhang, J.; Li, L.; Yin, J.; Zhang, X.; Zheng, Y.; Feng, R. Study on the thermal stability of nab-paclitaxel during hyperthermic intraperitoneal chemotherapy. BMC Pharmacol. Toxicol. 2023, 24, 13. [Google Scholar] [CrossRef]
- Natu, V.; Iqbal, H.; Mahar, F.K.; Pigatto, C. Modelling of controlled drug release in gastrointestinal tract simulation Model. J. Phys. Conf. Ser. 2019, 1295, 012063. [Google Scholar] [CrossRef]
- Paarakh, P.; Jose, P.A.N.I.; Setty, C.M.; Peter, G.V. Release Kinetics–Concepts and Applications. Int. J. Pharm. Res. Technol. 2019, 8, 12–20. [Google Scholar] [CrossRef]
- Diaz, R.; Nguewa, P.A.; Parrondo, R.; Perez-Stable, C.; Manrique, I.; Redrado, M.; Catena, R.; Collantes, M.; Peñuelas, I.; Díaz-González, J.A.; et al. Antitumor and antiangiogenic effect of the dual EGFR and HER-2 tyrosine kinase inhibitor lapatinib in a lung cancer model. BMC Cancer 2010, 10, 188. [Google Scholar] [CrossRef]
- Co, S.-A. Protocolo Del Análisis de la Viabilidad y la Proliferación Celulares con MTT. 2023. Available online: https://www.sigmaaldrich.com/CO/es/technical-documents/protocol/cell-culture-and-cell-culture-analysis/cell-counting-and-health-analysis/cell-proliferation-kit-i-mtt (accessed on 24 February 2023).
- Ghasemi, M.; Turnbull, T.; Sebastian, S.; Kempson, I. The MTT Assay: Utility, Limitations, Pitfalls, and Interpretation in Bulk and Single-Cell Analysis. Int. J. Mol. Sci. 2021, 22, 12827. [Google Scholar] [CrossRef]
- Pant, A.B. MTT Assay. Dict. Toxicol. 2024, 6597, 662. [Google Scholar] [CrossRef]
- Leiva, M.C.; Ortiz, R.; Contreras-Cáceres, R.; Perazzoli, G.; Mayevych, I.; López-Romero, J.M.; Sarabia, F.; Baeyens, J.M.; Melguizo, C.; Prados, J. Tripalmitin nanoparticle formulations significantly enhance paclitaxel antitumor activity against breast and lung cancer cells in vitro. Sci. Rep. 2017, 7, 13506. [Google Scholar] [CrossRef] [PubMed]
- Das, S.; Jagan, L.; Isiah, R.; Rajesh, B.; Backianathan, S.; Subhashini, J. Nanotechnology in oncology: Characterization and in vitro release kinetics of cisplatin-loaded albumin nanoparticles: Implications in anticancer drug delivery. Indian J. Pharmacol. 2011, 43, 409–413. [Google Scholar] [CrossRef]
- Usoltsev, D.; Sitnikova, V.; Kajava, A.; Uspenskaya, M. Systematic FTIR spectroscopy study of the secondary structure changes in human serum albumin under various denaturation conditions. Biomolecules 2019, 9, 359. [Google Scholar] [CrossRef]
- Kong, J.; Yu, S. Fourier Transform Infrared Spectroscopic Analysis of Protein Secondary Structures. Acta Biochim. Biophys. Sin. 2007, 39, 549–559. [Google Scholar] [CrossRef] [PubMed]
- Shen, P.; Zhou, F.; Zhang, Y.; Yuan, D.; Zhao, Q.; Zhao, M. Formation and characterization of soy protein nanoparticles by controlled partial enzymatic hydrolysis. Food Hydrocoll. 2020, 105, 105844. [Google Scholar] [CrossRef]
- Stirpe, A.; Pantusa, M.; Rizzuti, B.; De Santo, M.P.; Sportelli, L.; Bartucci, R.; Guzzi, R. Resveratrol induces thermal stabilization of human serum albumin and modulates the early aggregation stage. Int. J. Biol. Macromol. 2016, 92, 1049–1056. [Google Scholar] [CrossRef] [PubMed]
- Lilienthal, S.; Drotleff, A.M.; Ternes, W. Changes in the protein secondary structure of hen’s egg yolk determined by Fourier transform infrared spectroscopy during the first eight days of incubation. Poult. Sci. 2015, 94, 68–79. [Google Scholar] [CrossRef]
- Shivu, B.; Seshadri, S.; Li, J.; Oberg, K.A.; Uversky, V.N.; Fink, A.L. Distinct β-sheet structure in protein aggregates determined by ATR-FTIR spectroscopy. Biochemistry 2013, 52, 5176–5183. [Google Scholar] [CrossRef] [PubMed]
- Usoltsev, D.; Sitnikova, V.; Kajava, A.; Uspenskaya, M. FTIR spectroscopy study of the secondary structure changes in human serum albumin and trypsin under neutral salts. Biomolecules 2020, 10, 606. [Google Scholar] [CrossRef]
- Jayachandran, B.; Parvin, T.N.; Alam, M.M.; Chanda, K.; MM, B. Insights on Chemical Crosslinking Strategies for Proteins. Molecules 2022, 27, 8124. [Google Scholar] [CrossRef]
- Arruebo, M.; Valladares, M.; González-Fernández, Á. Antibody-conjugated nanoparticles for biomedical applications. J. Nanomater. 2009, 2009, 439389. [Google Scholar] [CrossRef]
- Raza, F.; Zhu, Y.; Chen, L.; You, X.; Zhang, J.; Khan, A.; Khan, M.W.; Hasnat, M.; Zafar, H.; Wu, J.; et al. Paclitaxel-loaded pH responsive hydrogel based on self-assembled peptides for tumor targeting. Biomater. Sci. 2019, 7, 2023–2036. [Google Scholar] [CrossRef]
- ASTM E2865-12; Standard Guide for Measurement of Electrophoretic Mobility and Zeta Potential of Nanosized Biological Materials. ASTM International: West Conshohocken, PA, USA, 2022. [CrossRef]
- Shah, R.; Eldridge, D.; Palombo, E.; Harding, I. Optimisation and stability assessment of solid lipid nanoparticles using particle size and zeta potential. J. Phys. Sci. 2014, 25, 59–75. [Google Scholar]
- Izak-Nau, E.; Huk, A.; Reidy, B.; Uggerud, H.; Vadset, M.; Eiden, S.; Voetz, M.; Himly, M.; Duschl, A.; Dusinska, M.; et al. Impact of storage conditions and storage time on silver nanoparticles’ physicochemical properties and implications for their biological effects. RSC Adv. 2015, 5, 84172–84185. [Google Scholar] [CrossRef]
- Wang, W.; Huang, Y.; Zhao, S.; Shao, T.; Cheng, Y. Human serum albumin (HSA) nanoparticles stabilized with intermolecular disulfide bonds. Chem. Commun. 2013, 49, 2234–2236. [Google Scholar] [CrossRef]
- Xiang, T.; Liu, Y.; Xu, S.; Zhong, W.; Sha, Z.; Zhang, J.; Chen, L.; Li, Y.; Li, W.; Yan, Z.; et al. Construction of a novel amphiphilic peptide paclitaxel rod micelle: Demonstrating that the nano-delivery system shape can affect the cellular uptake efficiency of paclitaxel and improve the therapeutic efficacy for breast cancer. Biomater. Adv. 2023, 155, 213673. [Google Scholar] [CrossRef]
- Yusuf, A.; Almotairy, A.R.Z.; Henidi, H.; Alshehri, O.Y.; Aldughaim, M.S. Nanoparticles as Drug Delivery Systems: A Review of the Implication of Nanoparticles’ Physicochemical Properties on Responses in Biological Systems. Polymers 2023, 15, 1596. [Google Scholar] [CrossRef] [PubMed]
- Lomis, N.; Westfall, S.; Farahdel, L.; Malhotra, M.; Shum-Tim, D.; Prakash, S. Human Serum Albumin Nanoparticles for Use in Cancer Drug Delivery: Process Optimization and In Vitro Characterization. Nanomaterials 2016, 6, 116. [Google Scholar] [CrossRef]
- Zheng, Y.; Pan, Z.; Zuo, X.; Li, X.; Ge, F.; Gui, L. Amphiphilic Peptide P15-encapsulated paclitaxel and analysis of its in vitro antitumor activity. J. Mater. Res. 2021, 36, 846–857. [Google Scholar] [CrossRef]
- Chen, H.; Huang, S.; Wang, H.; Chen, X.; Zhang, H.; Xu, Y.; Fan, W.; Pan, Y.; Wen, Q.; Lin, Z.; et al. Preparation and characterization of paclitaxel palmitate albumin nanoparticles with high loading efficacy: An in vitro and in vivo anti-tumor study in mouse models. Drug Deliv. 2021, 28, 1067–1079. [Google Scholar] [CrossRef]
- Gao, Y.; Nai, J.; Yang, Z.; Zhang, J.; Ma, S.; Zhao, Y.; Li, H.; Li, J.; Yang, Y.; Yang, M.; et al. A novel preparative method for nanoparticle albumin-bound paclitaxel with high drug loading and its evaluation both in vitro and in vivo. PLoS ONE 2021, 16, e0250670. [Google Scholar] [CrossRef]
- Kariminia, S.; Shamsipur, A.; Shamsipur, M. Analytical characteristics and application of novel chitosan coated magnetic nanoparticles as an efficient drug delivery system for ciprofloxacin. Enhanced drug release kinetics by low-frequency ultrasounds. J. Pharm. Biomed. Anal. 2016, 129, 450–457. [Google Scholar] [CrossRef] [PubMed]
- Ganji, F.; Vasheghani, F.S.; Vasheghani, F.E. Theoretical Description of Hydrogel Swelling: A Review. Iran. Polym. J. 2010, 19, 375–398. [Google Scholar]
- Baggi, R.B.; Kilaru, N.B. Calculation of predominant drug release mechanism using Peppas-Sahlin model, Part-I (substitution method): A linear regression approach. Asian J. Pharm. Technol 2016, 6, 223–230. [Google Scholar] [CrossRef]
- Butterfield, J.T.; Kim, H.; Knauer, D.J.; Nevala, W.K.; Markovic, S.N. Identification of a peptide-peptide binding motif in the coating of nab-paclitaxel nanoparticles with clinical antibodies: Bevacizumab, rituximab, and trastuzumab. Sci. Rep. 2017, 7, 14476. [Google Scholar] [CrossRef]
- Viswanadha, L.S.; Arcot, Y.; Lin, Y.-T.; Akbulut, M.E.S. A comparative investigation of release kinetics of paclitaxel from natural protein and macromolecular nanocarriers in nanoscale drug delivery systems. JCIS Open 2024, 15, 100120. [Google Scholar] [CrossRef]
- Abouelmagd, S.A.; Sun, B.; Chang, A.C.; Ku, Y.J.; Yeo, Y. Release kinetics study of poorly water-soluble drugs from nanoparticles: Are we doing it right? Mol. Pharm. 2015, 12, 997–1003. [Google Scholar] [CrossRef]
- Zhao, Y.; Cai, C.; Liu, M.; Zhao, Y.; Wu, Y.; Fan, Z.; Ding, Z.; Zhang, H.; Wang, Z.; Han, J. Drug-binding albumins forming stabilized nanoparticles for co-delivery of paclitaxel and resveratrol: In vitro/in vivo evaluation and binding properties investigation. Int. J. Biol. Macromol. 2020, 153, 873–882. [Google Scholar] [CrossRef]
- Li, Y.; Liu, W.; Li, Y.; Peng, T.; Wang, J.; Zou, T. Preparation and antitumor of hyaluronic acid-human serum albumin-indocyanine green-paclitaxel nanoparticles. Int. J. Biol. Macromol. 2025, 318, 145131. [Google Scholar] [CrossRef] [PubMed]
- Giannakakou, P.; Robey, R.; Fojo, T.; Blagosklonny, M.V. Low concentrations of paclitaxel induce cell type-dependent p53, p21 and G1/G2 arrest instead of mitotic arrest: Molecular determinants of paclitaxel-induced cytotoxicity. Oncogene 2001, 20, 3806–3813. [Google Scholar] [CrossRef] [PubMed]
- Li, H.; Wang, Y.; Tang, Q.; Yin, D.; Tang, C.; He, E.; Zou, L.; Peng, Q. The protein corona and its effects on nanoparticle-based drug delivery systems. Acta Biomater. 2021, 129, 57–72. [Google Scholar] [CrossRef]
- Meesaragandla, B.; Komaragiri, Y.; Schlüter, R.; Otto, O.; Delcea, M. The impact of cell culture media on the interaction of biopolymer-functionalized gold nanoparticles with cells: Mechanical and toxicological properties. Sci. Rep. 2022, 12, 16643. [Google Scholar] [CrossRef] [PubMed]
- Moore, T.L.; Urban, D.A.; Rodriguez-Lorenzo, L.; Milosevic, A.; Crippa, F.; Spuch-Calvar, M.; Balog, S.; Rothen-Rutishauser, B.; Lattuada, M.; Petri-Fink, A. Nanoparticle administration method in cell culture alters particle-cell interaction. Sci. Rep. 2019, 9, 900. [Google Scholar] [CrossRef]
- Huang, W.; Xiao, G.; Zhang, Y.; Min, W. Research progress and application opportunities of nanoparticle–protein corona complexes. Biomed. Pharmacother. 2021, 139, 111541. [Google Scholar] [CrossRef]
- Zhao, P.; Wang, Y.; Wu, A.; Rao, Y.; Huang, Y. Roles of Albumin-Binding Proteins in Cancer Progression and Biomimetic Targeted Drug Delivery. ChemBioChem 2018, 19, 1796–1805. [Google Scholar] [CrossRef] [PubMed]
- Roopenian, D.C.; Akilesh, S. FcRn: The neonatal Fc receptor comes of age. Nat. Rev. Immunol. 2007, 7, 715–725. [Google Scholar] [CrossRef] [PubMed]
- Borzova, V.A.; Markossian, K.A.; Chebotareva, N.A.; Kleymenov, S.Y.; Poliansky, N.B.; Muranov, K.O.; Stein-Margolina, V.A.; Shubin, V.V.; Markov, D.I.; Kurganov, B.I. Kinetics of thermal denaturation andaggregation of bovine serum albumin. PLoS ONE 2016, 11, e0153495. [Google Scholar] [CrossRef] [PubMed]
- Wang, L.; Lin, S.Y.; Li, M.J.; Wei, Y.S.; Hsieh, T.F. Temperature effect on the structural stability, similarity, and reversibility of human serum albumin in different states. Biophys. Chem. 2005, 114, 205–212. [Google Scholar] [CrossRef]
- Holm, N.K.; Jespersen, S.K.; Thomassen, L.V.; Wolff, T.Y.; Sehgal, P.; Thomsen, L.A.; Christiansen, G.; Andersen, C.B.; Knudsen, A.D.; Otzen, D.E. Aggregation and fibrillation of bovine serum albumin. Biochim. Biophys. Acta (BBA)-Proteins Proteom. 2007, 1774, 1128–1138. [Google Scholar] [CrossRef]
- Cho, H.; Jeon, S.I.; Ahn, C.H.; Shim, M.K.; Kim, K. Emerging Albumin-Binding Anticancer Drugs for Tumor-Targeted Drug Delivery: Current Understandings and Clinical Translation. Pharmaceutics 2022, 14, 728. [Google Scholar] [CrossRef]






| Wavenumber, ν (cm−1) | Range (cm−1) | Secondary Structure |
|---|---|---|
| 1618 | 1610–1619 | Intermolecular β-sheet |
| 1628, 1638, 1691 | 1620–1639, 1689–1695 | β-sheet |
| 1640, 1649 | 1640–1649 | Random coil |
| 1650, 1657 | 1650–1660 | α-helix |
| 1673, 1681 | 1660–1689 | β-turn |
| α-Helix % | β-Sheet % | Random Coil % | β-Turn % | Intermolecular β-Sheet % | |
|---|---|---|---|---|---|
| Native HSA | 27.3 | 61.1 | 0 | 10.9 | 0.8 |
| HSA-PBS 70 °C * | 24.1 | 41.9 | 28.7 | 2.7 | 2.6 |
| Formulation | Mean Diameter (nm) | PDI | ζ-Potential (mV) |
|---|---|---|---|
| HSA-PTX NPs | 287.1 ± 12.9 | 0.10 ± 0.01 | −36.5 ± 1.4 * |
| HSA-TMAB | 379.1 ± 3.3 * | 0.30 ± 0.23 | −21.1 ± 5.0 |
| HSA-PTX-TMAB NPs | 306.9 ± 42.2 | 0.23 ± 0.13 | −24.0 ± 1.4 |
| Formulation | %DAE | %LC | PTX Loading (µg PTX/mg HSA) | TMAB Loading (µg TMAB/mg HSA) * |
|---|---|---|---|---|
| HSA-PTX NPs | 96.4 ± 2.1 | 8.9 ± 2.9 | 128.5 ± 2.8 | — |
| HSA-PTX-TMAB NPs | 98.2 ± 3.5 | 7.4 ± 1.5 | 130.9 ± 4.6 | 250 * |
| Model | HSA-PTX | HSA-PTX-TMAB | ||||
|---|---|---|---|---|---|---|
| K | R2 | n | K | R2 | n | |
| Zero order | 11.682 | 0.9072 | - | 14.648 | 0.8226 | - |
| First order | 0.155 | 0.7324 | - | 0.1287 | 0.7367 | - |
| Higuchi | 26.135 | 0.9779 | - | 33.317 | 0.9164 | - |
| Hixon-Crowell | −0.2542 | 0.9451 | - | −0.4048 | 0.8814 | - |
| Korsmeyer-Peppas | −0.2539 | 0.9141 | 1.7923 | −0.5029 | 0.9540 | 1.6240 |
Disclaimer/Publisher’s Note: The statements, opinions and data contained in all publications are solely those of the individual author(s) and contributor(s) and not of MDPI and/or the editor(s). MDPI and/or the editor(s) disclaim responsibility for any injury to people or property resulting from any ideas, methods, instructions or products referred to in the content. |
© 2025 by the authors. Licensee MDPI, Basel, Switzerland. This article is an open access article distributed under the terms and conditions of the Creative Commons Attribution (CC BY) license.
Share and Cite
Gonzalez-Posada, A.H.; Monsalve, Y.; López, B.L.; Sierra, L. Preparation of Self-Assembled Human Serum Albumin Nanoparticles Decorated with Trastuzumab as a Paclitaxel Delivery System. Micromachines 2026, 17, 55. https://doi.org/10.3390/mi17010055
Gonzalez-Posada AH, Monsalve Y, López BL, Sierra L. Preparation of Self-Assembled Human Serum Albumin Nanoparticles Decorated with Trastuzumab as a Paclitaxel Delivery System. Micromachines. 2026; 17(1):55. https://doi.org/10.3390/mi17010055
Chicago/Turabian StyleGonzalez-Posada, Alexa H., Yuliana Monsalve, Betty Lucy López, and Ligia Sierra. 2026. "Preparation of Self-Assembled Human Serum Albumin Nanoparticles Decorated with Trastuzumab as a Paclitaxel Delivery System" Micromachines 17, no. 1: 55. https://doi.org/10.3390/mi17010055
APA StyleGonzalez-Posada, A. H., Monsalve, Y., López, B. L., & Sierra, L. (2026). Preparation of Self-Assembled Human Serum Albumin Nanoparticles Decorated with Trastuzumab as a Paclitaxel Delivery System. Micromachines, 17(1), 55. https://doi.org/10.3390/mi17010055

