Quantum Sensing of Local Magnetic Phase Transitions and Fluctuations near the Curie Temperature in Tm3Fe5O12 Using NV Centers
Abstract
1. Introduction
2. Materials and Methods
2.1. Sample and Diamond NV Sensor Preparation
2.2. Magnetic Property and Electrical Transport Measurements
2.2.1. Magnetometry Measurements
2.2.2. Electrical Transport Measurements
2.3. Diamond NV Magnetometry Experimental Platform
3. Results
3.1. Structural and Compositional Characterization of TmIG Films
3.2. Basic Properties of Magnetism and Electricity in TmIG Films
3.3. Local Magnetic Detection Result by Diamond NV Centers
3.3.1. Local Static Magnetization Measurement via Diamond NV Centers
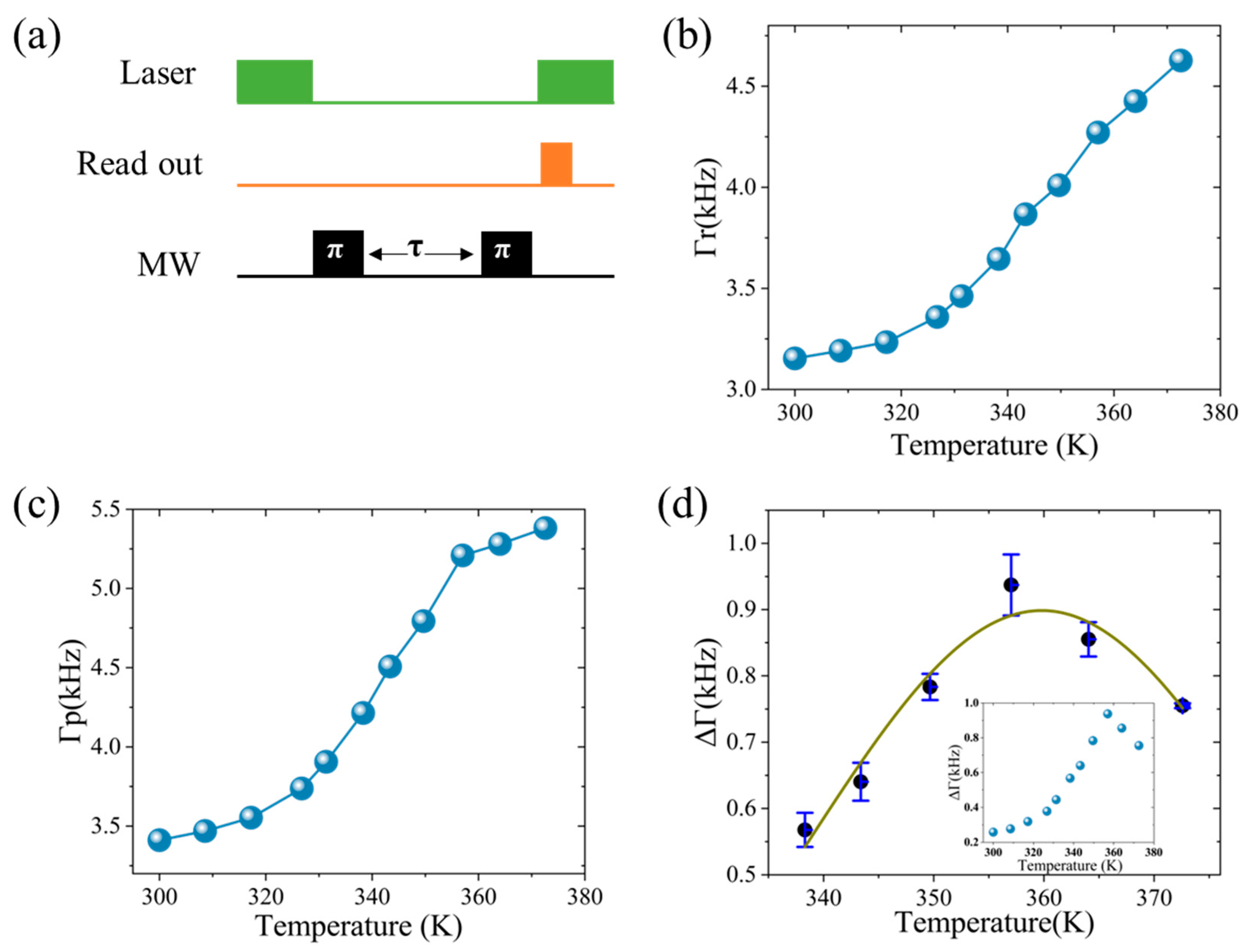
3.3.2. Detection of Critical Magnetic Fluctuations via NV Spin Relaxation
3.3.3. Measurement Reliability and Error Analysis
4. Discussion
5. Conclusions
Author Contributions
Funding
Data Availability Statement
Acknowledgments
Conflicts of Interest
Abbreviations
| SQUID | Superconducting Quantum Interference Device |
| MFM | Magnetic force microscopy |
| MPMS | Magnetic Property Measurement System |
References
- Gao, F.; Peng, Y.G.; Xiang, X.; Ni, X.; Zheng, C.; Yves, S.; Zhu, X.-F.; Alù, A. Acoustic higher-order topological insulators induced by orbital interactions. Adv. Mater. 2024, 36, 2312421. [Google Scholar] [CrossRef] [PubMed]
- Gao, C.; Chen, P.H.; Alaniva, N.; Björgvinsdóttir, S.; Pagonakis, I.; Däpp, A.; Urban, M.; Gunzenhauser, R.; Barnes, A. 23 Tesla high temperature superconducting pocket magnet. Supercond. Sci. Technol. 2024, 37, 065018. [Google Scholar] [CrossRef]
- Jia, Y.; Liang, Z.; Pan, H.; Wang, Q.; Lv, Q.; Yan, Y.; Jin, F.; Hou, D.; Wang, L.; Wu, W. Bismuth doping enhanced tunability of strain-controlled magnetic anisotropy in epitaxial Y3Fe5O12 (111) films. Chin. Phys. B 2023, 32, 027501. [Google Scholar] [CrossRef]
- Li, X.; Zhu, M.; Wang, Y.; Zheng, F.; Dong, J.; Zhou, Y.; You, L.; Zhang, J. Tremendous tunneling magnetoresistance effects based on van der Waals room-temperature ferromagnet Fe3GaTe2 with highly spin-polarized Fermi surfaces. Appl. Phys. Lett. 2023, 122, 082408. [Google Scholar] [CrossRef]
- Kiechle, M.; Papp, A.; Mendisch, S.; Ahrens, V.; Golibrzuch, M.; Bernstein, G.H.; Porod, W.; Csaba, G.; Becherer, M. Spin-wave optics in YIG realized by ion-beam irradiation. Small 2023, 19, 2207293. [Google Scholar] [CrossRef]
- Guo, S.; Russell, D.; Lanier, J.; Da, H.; Hammel, P.C.; Yang, F. Strong on-chip microwave photon–magnon coupling using ultralow-damping epitaxial Y3Fe5O12 films at 2 K. Nano Lett. 2023, 23, 5055–5060. [Google Scholar] [CrossRef]
- Ding, J.; Liu, C.; Zhang, Y.; Erugu, U.; Quan, Z.; Yu, R.; McCollum, E.; Mo, S.; Yang, S.; Ding, H.; et al. Nanometer-thick yttrium iron garnet films with perpendicular anisotropy and low damping. Phys. Rev. Appl. 2020, 14, 014017. [Google Scholar] [CrossRef]
- Liang, Z.; Lu, J.; Yang, S.; Fang, Z.; Yan, Y.; Wang, Q.; Li, P.; Fan, M.; Wang, L. Enhancement of perpendicular magnetic anisotropy in Tm3Fe5O12 (111) epitaxial films via synergistic stoichiometry and strain engineering. Adv. Funct. Mater. 2024, 34, 2315147. [Google Scholar] [CrossRef]
- Balasubramanian, G.; Chan, I.Y.; Kolesov, R.; Al-Hmoud, M.; Tisler, J.; Shin, C.; Kim, C.; Wojcik, A.; Hemmer, P.R.; Krueger, A.; et al. Nanoscale imaging magnetometry with diamond spins under ambient conditions. Nature 2008, 455, 648–651. [Google Scholar] [CrossRef]
- Irfan, M.; Dogan, N.; Bingolbali, A.; Aliew, F. Synthesis and characterization of NiFe2O4 magnetic nanoparticles with different coating materials for magnetic particle imaging (MPI). J. Magn. Magn. Mater. 2021, 537, 168150. [Google Scholar] [CrossRef]
- Childress, L.; Gurudev Dutt, M.V.; Taylor, J.M.; Zibrov, A.S.; Jelezko, F.; Wrachtrup, J.; Hemmer, P.R.; Lukin, M.D. Coherent dynamics of coupled electron and nuclear spin qubits in diamond. Science 2006, 314, 281–285. [Google Scholar] [CrossRef] [PubMed]
- Hurt, D.; Li, S.; Amann, A. Versatile SQUID susceptometer with multiple measurement modes. IEEE Trans. Magn. 2013, 49, 3541–3544. [Google Scholar] [CrossRef]
- Monge, R.; Delord, T.; Proscia, N.V.; Shotan, Z.; Jayakumar, H.; Henshaw, J.; Zangara, P.R.; Lozovoi, A.; Pagliero, D.; Esquinazi, P.D.; et al. Spin dynamics of a solid-state qubit in proximity to a superconductor. Nano Lett. 2023, 23, 422–428. [Google Scholar] [CrossRef]
- Zhou, J.; Lu, H.; Chen, D.; Huang, M.; Yan, G.Q.; Al-matouq, F.; Chang, J.; Djugba, D.; Jiang, Z.; Wang, H.; et al. Sensing spin wave excitations by spin defects in few-layer-thick hexagonal boron nitride. Sci. Adv. 2024, 10, eadk8495. [Google Scholar] [CrossRef]
- Wang, J.F.; Liu, L.; Liu, X.D.; Li, Q.; Cui, J.-M.; Zhou, D.-F.; Zhou, J.-Y.; Wei, Y.; Xu, H.-A.; Xu, W.; et al. Magnetic detection under high pressures using designed silicon vacancy centres in silicon carbide. Nat. Mater. 2023, 22, 489–494. [Google Scholar] [CrossRef]
- Delnour, N.; Bissonnette, A.; Eleuch, H.; MacKenzie, R.; Hilke, M. Scanning qubit probe of edge states in a topological insulator. Phys. Lett. A 2023, 466, 128716. [Google Scholar] [CrossRef]
- Mathes, N.; Comas, M.; Bleul, R.; Everaert, K.; Hermle, T.; Wiekhorst, F.; Knittel, P.; Sperling, R.A.; Vidal, X. Nitrogen-vacancy center magnetic imaging of Fe3O4 nanoparticles inside the gastrointestinal tract of Drosophila melanogaster. Nanoscale Adv. 2024, 6, 247–255. [Google Scholar] [CrossRef]
- Carmiggelt, J.J.; Bertelli, I.; Mulder, R.W.; Teepe, A.; Elyasi, M.; Simon, B.G.; Bauer, G.E.W.; Blanter, Y.M.; van der Sar, T. Broadband microwave detection using electron spins in a hybrid diamond-magnet sensor chip. Nat. Commun. 2023, 14, 490. [Google Scholar] [CrossRef]
- Yu, R.; Cao, J.; Liu, H.; Zhu, F.; Meng, X.; Long, Z.; Li, J.; Wang, Y. Pure Spin Transport in YIG Films with Amorphous-to-Crystalline Transformation. Adv. Phys. Res. 2024, 3, 2300147. [Google Scholar] [CrossRef]
- Doherty, M.W.; Manson, N.B.; Delaney, P.; Jelezko, F.; Wrachtrup, J.; Hollenberg, L.C.L. The nitrogen-vacancy colour centre in diamond. Phys. Rep. 2013, 528, 1–45. [Google Scholar] [CrossRef]
- Abe, E.; Sasaki, K. Tutorial: Magnetic resonance with nitrogen-vacancy centers in diamond—Microwave engineering, materials science, and magnetometry. J. Appl. Phys. 2018, 123, 161101. [Google Scholar] [CrossRef]
- Ganose, A.M.; Jain, A. Robocrystallographer: Automated crystal structure text descriptions and analysis. MRS Commun. 2019, 9, 874–881. [Google Scholar] [CrossRef]
- Vilela, G.; Chi, H.; Stephen, G.; Settens, C.; Zhou, P.; Ou, Y.; Suri, D.; Heiman, D.; Moodera, J.S. Strain-tuned magnetic anisotropy in sputtered thulium iron garnet ultrathin films and TIG/Au/TIG valve structures. J. Appl. Phys. 2020, 127, 115302. [Google Scholar] [CrossRef]
- Lehmann-Szweykowska, A.; Wojciechowski, R.; Pust, L.; Wigen, P.E.; Batra, S. Compensating holes in Ca2⁺-doped yttrium iron garnet and their influence on magnetic properties of the system. Phys. Rev. B 1991, 43, 3500–3509. [Google Scholar] [CrossRef]
- Huang, M.; Sun, Z.; Yan, G.; Xie, H.; Agarwal, N.; Ye, G.; Sung, S.H.; Lu, H.; Zhou, J.; Yan, S.; et al. Revealing intrinsic domains and fluctuations of moiré magnetism by a wide-field quantum microscope. Nat. Commun. 2023, 14, 5259. [Google Scholar] [CrossRef]
- Wang, H.; Zhang, S.; McLaughlin, N.J.; Flebus, B.; Huang, M.; Xiao, Y.; Liu, C.; Wu, M.; Fullerton, E.E.; Tserkovnyak, Y.; et al. Noninvasive measurements of spin transport properties of an antiferromagnetic insulator. Sci. Adv. 2022, 8, eabg8562. [Google Scholar] [CrossRef]
- Liu, Q.B.; Meng, K.K.; Xu, Z.D.; Zhu, T.; Xu, X.G.; Miao, J.; Jiang, Y. Unusual anomalous Hall effect in perpendicularly magnetized YIG films with a small Gilbert damping constant. Phys. Rev. B 2020, 101, 174431. [Google Scholar] [CrossRef]
- Novák, V.; Olejník, K.; Wunderlich, J.; Cukr, M.; Výborný, K.; Rushforth, A.W.; Edmonds, K.W.; Campion, R.P.; Gallagher, B.L.; Sinova, J.; et al. Curie point singularity in the temperature derivative of resistivity in (Ga, Mn) As. Phys. Rev. Lett. 2008, 101, 077201. [Google Scholar] [CrossRef]
- Ramaswamy, S.; Rajan, G.K.; Gopalakrishnan, C.; Ponnavaikko, M. Study of magnetization reversal of uniaxial Ni nanodots by magnetic force microscopy and vibrating sample magnetometer. J. Appl. Phys. 2010, 107, 09A331. [Google Scholar] [CrossRef]
- Li, X.; Lu, W.; Song, Y.; Wang, Y.; Chen, A.; Yan, B.; Yoshimura, S.; Saito, H. Quantitatively probing the magnetic behavior of individual nanoparticles by an AC field-modulated magnetic force microscopy. Sci. Rep. 2017, 7, 22467. [Google Scholar] [CrossRef]
- Maletinsky, P.; Hong, S.; Grinolds, M.S.; Hausmann, B.; Lukin, M.D.; Walsworth, R.L.; Loncar, M.; Yacoby, A. A robust scanning diamond sensor for nanoscale imaging with single nitrogen-vacancy centres. Nat. Nanotechnol. 2012, 7, 320–324. [Google Scholar] [CrossRef]
- Rondin, L.; Tetienne, J.-P.; Hingant, T.; Roch, J.-F.; Maletinsky, P.; Jacques, V. Magnetometry with nitrogen-vacancy defects in diamond. Rep. Prog. Phys. 2014, 77, 056503. [Google Scholar] [CrossRef]





| Technique | MPMS | Hall Effect | NV Centers | MFM |
|---|---|---|---|---|
| Detection dimension | Entire volume | Point-to-point electrode | Surface local | Surface local |
| Spatial resolution | Millimeter scale | Micrometer scale | ~360 nm | <10 nm |
| Response time | Static | Static | Dynamic | Static |
| Information type | Average magnetization | Out-of-plane magnetization | Magnetic noise/imaging | Surface magnetic structure |
| Advantages | Mature, reliable, high-sensitivity | Direct electrical signal | Non-contact, high spatial resolution, and dynamic | Ultra-high spatial resolution, surface mapping |
Disclaimer/Publisher’s Note: The statements, opinions and data contained in all publications are solely those of the individual author(s) and contributor(s) and not of MDPI and/or the editor(s). MDPI and/or the editor(s) disclaim responsibility for any injury to people or property resulting from any ideas, methods, instructions or products referred to in the content. |
© 2025 by the authors. Licensee MDPI, Basel, Switzerland. This article is an open access article distributed under the terms and conditions of the Creative Commons Attribution (CC BY) license (https://creativecommons.org/licenses/by/4.0/).
Share and Cite
Zhu, Y.; Cai, M.; Zhang, Q.; Wang, P.; Yang, Y.; Zhao, J.; Zhu, W.; Wang, G. Quantum Sensing of Local Magnetic Phase Transitions and Fluctuations near the Curie Temperature in Tm3Fe5O12 Using NV Centers. Micromachines 2025, 16, 643. https://doi.org/10.3390/mi16060643
Zhu Y, Cai M, Zhang Q, Wang P, Yang Y, Zhao J, Zhu W, Wang G. Quantum Sensing of Local Magnetic Phase Transitions and Fluctuations near the Curie Temperature in Tm3Fe5O12 Using NV Centers. Micromachines. 2025; 16(6):643. https://doi.org/10.3390/mi16060643
Chicago/Turabian StyleZhu, Yuqing, Mengyuan Cai, Qian Zhang, Peiyang Wang, Yuanjie Yang, Jiaxin Zhao, Wei Zhu, and Guanzhong Wang. 2025. "Quantum Sensing of Local Magnetic Phase Transitions and Fluctuations near the Curie Temperature in Tm3Fe5O12 Using NV Centers" Micromachines 16, no. 6: 643. https://doi.org/10.3390/mi16060643
APA StyleZhu, Y., Cai, M., Zhang, Q., Wang, P., Yang, Y., Zhao, J., Zhu, W., & Wang, G. (2025). Quantum Sensing of Local Magnetic Phase Transitions and Fluctuations near the Curie Temperature in Tm3Fe5O12 Using NV Centers. Micromachines, 16(6), 643. https://doi.org/10.3390/mi16060643

