MEMS Smart Glass with Larger Angular Tuning Range and 2D Actuation †
Abstract
1. Introduction
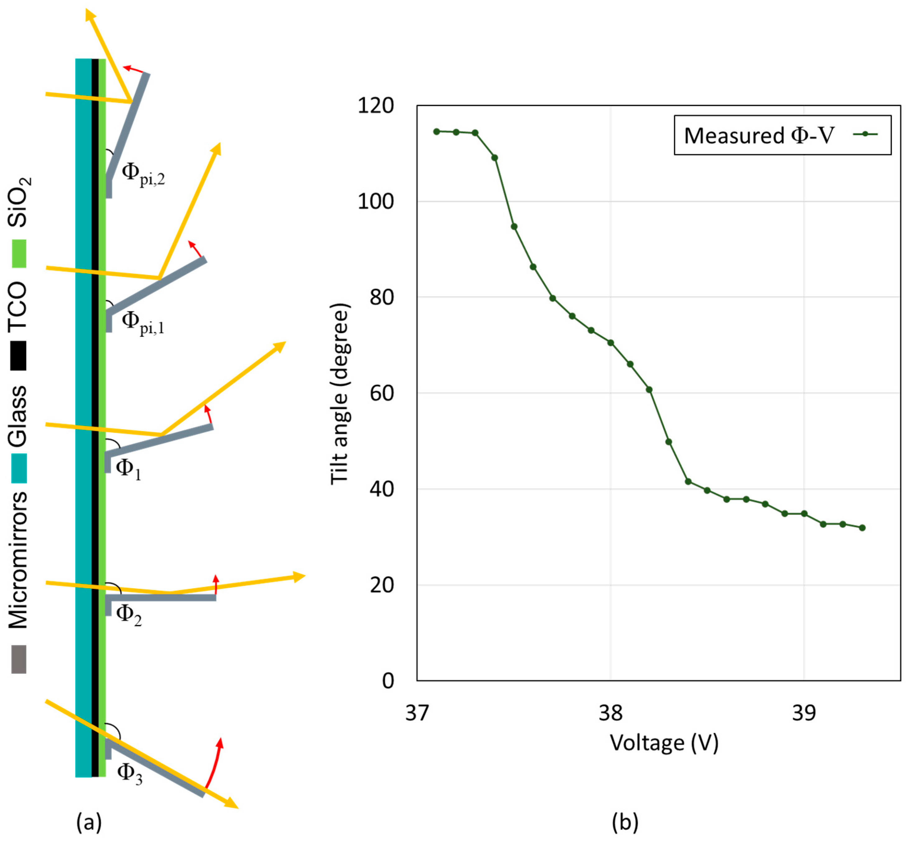
2. Large Angular Tuning Range for 1D Actuation via Smaller Pull-In Angles, Φpi
2.1. Concept and Design
2.2. Technological Fabrication Process
2.3. Experimental Characterization of Micromirrors with 1D Actuation
3. Implementation of 2D Actuation in Micromirror Arrays
3.1. Concept of 2D Actuation
3.2. Elimination of Cracks in Metallic Micromirror Due to Induced Stress Concentration
3.3. Experimental Characterization of 2D Actuatable Micromirrors
4. Conclusions
Supplementary Materials
Author Contributions
Funding
Data Availability Statement
Acknowledgments
Conflicts of Interest
References
- Hocheng, H.; Huang, T.Y.; Chou, T.H.; Yang, W.H. A Brighter Place: Overview of Microstructured Sunlight Guide Manufacturing and Processing 410 Journal of Achievements in Materials and Manufacturing Engineering. J. Achiev. Mater. Manuf. Eng. 2010, 43, 409–417. [Google Scholar]
- Rezaei, S.D.; Shannigrahi, S.; Ramakrishna, S. A Review of Conventional, Advanced, and Smart Glazing Technologies and Materials for Improving Indoor Environment. Sol. Energy Mater. Sol. Cells 2017, 159, 26–51. [Google Scholar] [CrossRef]
- Brzezicki, M. A Systematic Review of the Most Recent Concepts in Smart Windows Technologies with a Focus on Electrochromics. Sustainability 2021, 13, 9604. [Google Scholar] [CrossRef]
- Nair, M.; Ramamurthy, K.; Ganesan, A. Classification of Indoor Daylight Enhancement Systems. Light. Res. Technol. 2014, 46, 245–267. [Google Scholar] [CrossRef]
- Ruck, N.; Aschehoug, Ø.; Aydinli, S. Daylight in Buildings—A Source Book on Daylighting Systems and Components; International Energy Agency Solar Heating & Cooling Programme; Lawrence Berkeley National Laboratory: Berkeley, CA, USA, 2000. [Google Scholar]
- Maiorov, V.A. Window Optical Microstructures (Review). Opt. Spectrosc. 2020, 128, 1686–1700. [Google Scholar] [CrossRef]
- Lamontagne, B.; Fong, N.R.; Song, I.-H.; Ma, P.; Barrios, P.J.; Poitras, D. Review of Microshutters for Switchable Glass. J. Micro/Nanolithography MEMS MOEMS 2019, 18, 040901. [Google Scholar] [CrossRef]
- Ruggeri, A.G.; Gabrielli, L.; Scarpa, M. Energy Retrofit in European Building Portfolios: A Review of Five Key Aspects. Sustainability 2020, 12, 7465. [Google Scholar] [CrossRef]
- Balaras, C.A.; Droutsa, K.; Dascalaki, E.; Kontoyiannidis, S. Deterioration of European Apartment Buildings. Energy Build. 2005, 37, 515–527. [Google Scholar] [CrossRef]
- Sandberg, N.H.; Sartori, I.; Heidrich, O.; Dawson, R.; Dascalaki, E.; Dimitriou, S.; Vimm-r, T.; Filippidou, F.; Stegnar, G.; Šijanec Zavrl, M.; et al. Dynamic Building Stock Modelling: Application to 11 European Countries to Support the Energy Efficiency and Retrofit Ambitions of the EU. Energy Build. 2016, 132, 26–38. [Google Scholar] [CrossRef]
- Lagrèze, W.A.; Schaeffel, F. Preventing Myopia. Dtsch. Ärzteblatt Int. 2017, 114, 575. [Google Scholar] [CrossRef][Green Version]
- Zielinska-Dabkowska, K.M.; Xavia, K. Protect Our Right to Light. Nature 2019, 568, 451–453. [Google Scholar] [CrossRef] [PubMed]
- Akram, M.W.; Hasannuzaman, M.; Cuce, E.; Cuce, P.M. Global Technological Advancement and Challenges of Glazed Window, Facade System and Vertical Greenery-Based Energy Savings in Buildings: A Comprehensive Review. Energy Built Environ. 2021, 4, 206–226. [Google Scholar] [CrossRef]
- Diop, D.K.; Simonot, L.; Destouches, N.; Abadias, G.; Pailloux, F.; Guérin, P.; Babonneau, D. Magnetron Sputtering Deposition of Ag/TiO2 Nanocomposite Thin Films for Repeatable and Multicolor Photochromic Applications on Flexible Substrates. Adv. Mater. Interfaces 2015, 2, 1500134. [Google Scholar] [CrossRef]
- Gavrilyuk, A.I. Photochromism in WO3 Thin Films. Electrochim. Acta 1999, 44, 3027–3037. [Google Scholar] [CrossRef]
- Mortimer, R.J. Electrochromic Materials. Annu. Rev. Mater. Res. 2011, 41, 241–268. [Google Scholar] [CrossRef]
- Jain, A.K.; Deshmukh, R.R. An Overview of Polymer-Dispersed Liquid Crystals Composite Films and Their Applications. In Liquid Crystals and Display Technology; IntechOpen: London, UK, 2020. [Google Scholar]
- Ghosh, A.; Norton, B. Durability of Switching Behaviour after Outdoor Exposure for a Suspended Particle Device Switchable Glazing. Sol. Energy Mater. Sol. Cells 2017, 163, 178–184. [Google Scholar] [CrossRef]
- Baetens, R.; Jelle, B.P.; Gustavsen, A. Properties, Requirements and Possibilities of Smart Windows for Dynamic Daylight and Solar Energy Control in Buildings: A State-of-the-Art Review. Sol. Energy Mater. Sol. Cells 2010, 94, 87–105. [Google Scholar] [CrossRef]
- Braun, H. Photobiology: The Biological Impact of Sunlight on Health & Infection Control; Biolight System: Guangzhou, China, 2008. [Google Scholar]
- Wang, Y.; Pan, L.; Li, Y.; Gavrilyuk, A.I. Hydrogen Photochromism in V2O5 Layers Prepared by the Sol–Gel Technology. Appl. Surf. Sci. 2014, 314, 384–391. [Google Scholar] [CrossRef]
- Anissa Tabet Aoul, K.; Efurosibina Attoye, D.; Al Ghatrif, L. Performance of Electrochromic Glazing: State of the Art Review. IOP Conf. Ser. Mater. Sci. Eng. 2019, 603, 022085. [Google Scholar] [CrossRef]
- Iskhandar, M.S.Q.; Al-Qargholi, B.; Khan, M.M.; Tatzel, A.; Luo, H.; Nazemroaya, S.; Li, Q.; Hillmer, H. Development of Optical MEMS-Based Micromirror Arrays for Smart Window Applications: Implementation of Subfield Addressing and Reliability Measurements. In Jahrbuch Oberflächentechnik; Leuze Verlag: Baden-Wurttemberg, Germany, 2019; Volume 75, pp. 93–107. ISBN 978-3-87480-357-1. [Google Scholar]
- Hillmer, H.H.; Iskhandar, M.S.Q.; Hasan, M.K.; Akhundzada, S.; Al-Qargholi, B.; Tatzel, A. MOEMS Micromirror Arrays in Smart Windows for Daylight Steering. J. Opt. Microsyst. 2021, 1, 014502. [Google Scholar] [CrossRef]
- Hasan, K.; Baby, S.; Muringakodan, S.; Nandakumar, A.; Iskhandar, Q.; Hillmer, V.; Li, Q.; Xu, G.; Hillmer, H. Energy Saving and Amortization Time Simulation for a Model Room with MEMS (Micro Electromechanical System) Smart Glazing. In Jahrbuch Oberflächentechnik; Leuze Verlag: Baden-Wurttemberg, Germany, 2021; Volume 77, pp. 163–188. ISBN 978-3-87480-369-4. [Google Scholar]
- Hillmer, H.; Schmid, J.; Stadler, I. Micromirror Arrays. EU Patent EP1700152B1, 13 September 2006. [Google Scholar]
- Hasan, M.K.; Libermann, S.; Iskhandar, M.S.Q.; Löber, D.; Li, Q.; Xu, G.; Hillmer, H. Personalized Light Steering in Buildings Utilizing 2D Actuation in MEMS Micromirror Arrays. In Surface Technology Yearbook; Leuze Publishing House: Baden-Wurttemberg, Germany, 2022; Volume 78, pp. 217–242. [Google Scholar]
- Hasan, M.K.; Iskhandar, M.S.Q.; Kästner, P.; Baby, S.; Donatiello, R.; Hillmer, H. 2D Actuatable Micromirror Arrays for Smart Windows: Elimination of Stress Induced Cracks in Metallic MEMS Structures. In Proceedings of the IEEE International Conference on Optical MEMS and Nanophotonics (OMN), San Sebastian, Spain, 28 July–1 August 2024. [Google Scholar]
- Alabqari, A.; Majlis, B.Y. Electrostatic Pull-in Behavior in 50g Force Balanced MEMS Accelerometer. In Proceedings of the IEEE International Conference on Semiconductor Electronics, Kuala Lumpur, Malaysia, 7–9 December 2004. [Google Scholar]
- Nayfeh, A.H.; Younis, M.I.; Abdel-Rahman, E.M. Dynamic Pull-in Phenomenon in MEMS Resonators. Nonlinear Dyn. 2007, 48, 153–163. [Google Scholar] [CrossRef]
- Maheswaran, M.; Nambirajan, M.; Yadav, C.C.; Upadhyay, H.N. Analysis of Pull-in Behavior of Electrostatic MEMS Actuators for Optical Switching Applications. J. Appl. Sci. 2012, 12, 1730–1733. [Google Scholar] [CrossRef]
- Zhang, W.; Yan, H.; Peng, Z.; Meng, G. Electrostatic Pull-in Instability in MEMS/NEMS: A Review. Sens. Actuators A Phys. 2014, 214, 187–218. [Google Scholar] [CrossRef]
- Chen, J.; Yang, X.; Hasan, M.K.; Iskhandar, M.S.Q.; Donatiello, R.; Hillmer, H. Micromirror Arrays for Light Steering Smart Window Applications: Achieving Larger Spans of Opening Angles. In Proceedings of the International Conference on Optical MEMS and Nanophotonics (OMN), San Sebastian, Spain, 28 July–1 August 2024. [Google Scholar]
- Chen, J.; Yang, X.; Iskhandar, M.S.Q.; Hasan, M.K.; Baby, S.; Qasim, M.H.; Liu, S.; Löber, D.; Liebermann, S.; Xu, G.; et al. Capacitance-Voltage Studies on Electrostatically Actuated MEMS Micromirror Arrays. Micromachines, 2024; submitted. [Google Scholar]
- Lamontagne, B.; Barrios, P.; Py, C.; Nikumb, S. The Next Generation of Switchable Glass: The Micro-Blinds. In Proceedings of the Proceedings of the Glass Performance Days, Tampere, Finland, 12–15 June 2009; pp. 637–639. [Google Scholar]
- Mori, K.; Misawa, K.; Ihida, S.; Takahashi, T.; Fujita, H.; Toshiyoshi, H. A MEMS Electrostatic Roll-Up Window Shade Array for House Energy Management System. IEEE Photonics Technol. Lett. 2016, 28, 593–596. [Google Scholar] [CrossRef]
- Xiao, L.; Ding, Y.; Wang, P.; Xie, H. Analog-Controlled Light Microshutters Based on Electrothermal Actuation for Smart Windows. Opt Express 2020, 28, 33106. [Google Scholar] [CrossRef]
- Hasan, M.K.; Iskhandar, M.S.Q.; Juvale, S.N.; Baby, S.; Chen, J.; Hillmer, H. Overcoming Pull-in Limitations of Optical MEMS Based Micromirror Arrays Using Structured Bottom Electrodes. In Proceedings of the International Conference on Optical MEMS and Nanophotonics (OMN), San Sebastian, Spain, 28 July–1 August 2024. [Google Scholar]
- McLean, D.; Feldman, B. Methods for Etching. US Patent 5,976,396, 2 November 1999. [Google Scholar]
- Al-Qargholi, B.; Viereck, V.; Hillmer, H. Microstructure and Method for Producing a Microstructure in a Photolithography Technique. EP 3362854 B1, 4 May 2022. [Google Scholar]
- Peterson, R.E. Stress Concentration Factors; John Wiley and Sons: Hoboken, NJ, USA, 1953. [Google Scholar]
- Timoshenko, S.; Goodier, J.N. Theory of Elasticity; McGraw-Hill: New York, NY, USA, 1970. [Google Scholar]
- Goody, R.M.; Yung, Y.L. Atmospheric Radiation: Theoretical Basis, 2nd ed.; Oxford University Press: Oxford, UK, 1989. [Google Scholar]


















Disclaimer/Publisher’s Note: The statements, opinions and data contained in all publications are solely those of the individual author(s) and contributor(s) and not of MDPI and/or the editor(s). MDPI and/or the editor(s) disclaim responsibility for any injury to people or property resulting from any ideas, methods, instructions or products referred to in the content. |
© 2024 by the authors. Licensee MDPI, Basel, Switzerland. This article is an open access article distributed under the terms and conditions of the Creative Commons Attribution (CC BY) license (https://creativecommons.org/licenses/by/4.0/).
Share and Cite
Hasan, M.K.; Iskhandar, M.S.Q.; Liebermann, S.; Baby, S.; Chen, J.; Qasim, M.H.; Löber, D.; Donatiello, R.; Xu, G.; Hillmer, H. MEMS Smart Glass with Larger Angular Tuning Range and 2D Actuation. Micromachines 2025, 16, 56. https://doi.org/10.3390/mi16010056
Hasan MK, Iskhandar MSQ, Liebermann S, Baby S, Chen J, Qasim MH, Löber D, Donatiello R, Xu G, Hillmer H. MEMS Smart Glass with Larger Angular Tuning Range and 2D Actuation. Micromachines. 2025; 16(1):56. https://doi.org/10.3390/mi16010056
Chicago/Turabian StyleHasan, Md Kamrul, Mustaqim Siddi Que Iskhandar, Steffen Liebermann, Shilby Baby, Jiahao Chen, Muhammad Hasnain Qasim, Dennis Löber, Roland Donatiello, Guilin Xu, and Hartmut Hillmer. 2025. "MEMS Smart Glass with Larger Angular Tuning Range and 2D Actuation" Micromachines 16, no. 1: 56. https://doi.org/10.3390/mi16010056
APA StyleHasan, M. K., Iskhandar, M. S. Q., Liebermann, S., Baby, S., Chen, J., Qasim, M. H., Löber, D., Donatiello, R., Xu, G., & Hillmer, H. (2025). MEMS Smart Glass with Larger Angular Tuning Range and 2D Actuation. Micromachines, 16(1), 56. https://doi.org/10.3390/mi16010056

