Electrical Capacitors Based on Silicone Oil and Iron Oxide Microfibers: Effects of the Magnetic Field on the Electrical Susceptance and Conductance
Abstract
1. Introduction
2. Materials and Methods
2.1. Preparation of Magnetodielectric Materials
- SO, from Siliconi Commerciale SpA (Italia), with a mass density of g/cm3 and dynamic viscosity mPa·s at K.
- The iron oxide microfibers (mFe) are obtained in microwave microplasma, following a procedure described in Ref. [30]. They contain oxides of the type - (12% by mass), - (62% by mass), and (26% by mass). The mass density of the microfibers is at and they exhibit a specific saturation magnetization, A·m2/kg, at a magnetic field intensity, . A structural analysis of these microfibers based on SEM is presented in Appendix A. The average diameter of the nano-microparticles in the microfibers is (see Figure A1).
2.2. Manufacturing Plane Electrical Capacitors
2.3. Experimental Setup and Measurement Protocol
2.4. Variation in Capacitance and Resistance over Time
3. Theoretical Model
3.1. Equation of Motion of Microfiber’s Microparticles in a Uniform Magnetic Field
3.2. Electrical Capacitance and Resistance of PECs
3.3. Susceptance and Conductance of PECs
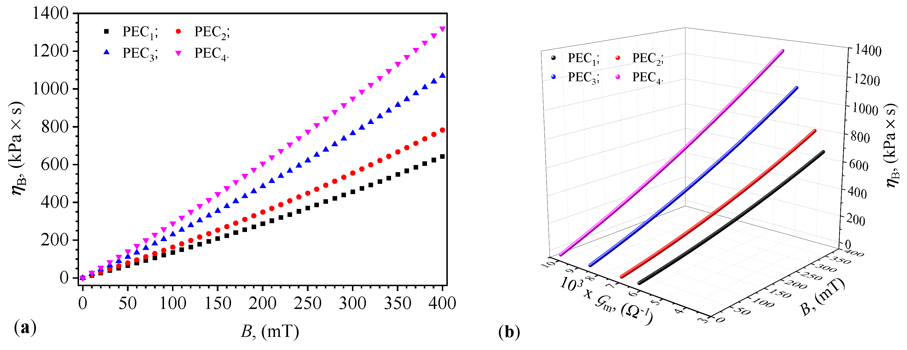
4. Experimental Results
5. Discussions
- Automation systems: In automation blocks, the ability to dynamically adjust the capacitive or resistive properties of the capacitors remotely can enhance the functionality and efficiency of control modules.
- Electrical circuits: The magnetic programmability of the capacitive or resistive character of the capacitors is especially beneficial in electrical circuits. This feature enables the design of circuits with adjustable electrical properties, improving the performance and flexibility of electronic components used in communication devices, signal processing, and other electronic applications.
- Field sensors for medical devices: The capacitors’ tunable properties also make them suitable for use as field sensors in medical devices, particularly for individuals with pacemakers. The capacitors can detect and respond to external magnetic fields, providing critical data on environmental conditions that could affect the operation of pacemakers. This capability enhances the safety and reliability of medical monitoring systems, ensuring better protection for patients.
6. Conclusions
Author Contributions
Funding
Data Availability Statement
Conflicts of Interest
Appendix A. Morphology of Iron Oxide Microfibers

Appendix B. Arrangement of Microfibers without and with an External Magnetic Field

References
- Ariyarathna, T.; Kularatna, N.; Gunawardane, K.; Jayananda, D.; Steyn-Ross, D.A. Development of Supercapacitor Technology and Its Potential Impact on New Power Converter Techniques for Renewable Energy. IEEE J. Emerg. Sel. Top. Ind. Electr. 2021, 2, 267–276. [Google Scholar] [CrossRef]
- Subasinghage, K.; Gunawardane, K.; Padmawansa, N.; Kularatna, N.; Moradian, M. Modern Supercapacitors Technologies and Their Applicability in Mature Electrical Engineering Applications. Energies 2022, 15, 7752. [Google Scholar] [CrossRef]
- Laadjal, K.; Cardoso, A.J.M. Multilayer Ceramic Capacitors: An Overview of Failure Mechanisms, Perspectives, and Challenges. Electronics 2023, 12, 1297. [Google Scholar] [CrossRef]
- Abid, D.; Mjejri, I.; Oueslati, A.; Guionneau, P.; Pechev, S.; Daro, N.; Elaoud, Z. A Nickel-Based Semiconductor Hybrid Material with Significant Dielectric Constant for Electronic Capacitors. ACS Omega 2024, 9, 12743–12752. [Google Scholar] [CrossRef]
- Chaban, V.V.; Andreeva, N.A. Higher hydrogen fractions in dielectric polymers boost self-healing in electrical capacitors. Phys. Chem. Chem. Phys. 2024, 26, 3184–3196. [Google Scholar] [CrossRef]
- Yadlapalli, R.T.; Alla, R.R.; Kandipati, R.; Kotapati, A. Super capacitors for energy storage: Progress, applications and challenges. J. Energy Storage 2022, 49, 104194. [Google Scholar] [CrossRef]
- Torki, J.; Joubert, C.; Sari, A. Electrolytic capacitor: Properties and operation. J. Energy Storage 2023, 58, 106330. [Google Scholar] [CrossRef]
- He, Q.; Sun, K.; Shi, Z.; Liu, Y.; Fan, R. Polymer dielectrics for capacitive energy storage: From theories, materials to industrial capacitors. Mater. Today 2023, 68, 298–333. [Google Scholar] [CrossRef]
- Wang, C.; Ali, L.; Meng, F.Y.; Adhikari, K.K.; Zhou, Z.L.; Wei, Y.C.; Zou, D.Q.; Yu, H. High-Accuracy Complex Permittivity Characterization of Solid Materials Using Parallel Interdigital Capacitor- Based Planar Microwave Sensor. IEEE Sens. J. 2021, 21, 6083–6093. [Google Scholar] [CrossRef]
- Sun, Z.; Wen, X.; Wang, L.; Yu, J.; Qin, X. Capacitor-inspired high-performance and durable moist-electric generator. Energy Environ. Sci. 2022, 15, 4584–4591. [Google Scholar] [CrossRef]
- Ma, Z.; Zhang, Y.; Zhang, K.; Deng, H.; Fu, Q. Recent progress in flexible capacitive sensors: Structures and properties. Nano Mater. Sci. 2023, 5, 265–277. [Google Scholar] [CrossRef]
- Zhou, B.; Dong, Y.; Chi, Q.; Zhang, Y.; Chang, L.; Gong, M.; Huang, J.; Pan, Y.; Wang, X. Fe-based amorphous soft magnetic composites with SiO2 insulation coatings: A study on coatings thickness, microstructure and magnetic properties. Ceram. Int. 2020, 46, 13449–13459. [Google Scholar] [CrossRef]
- Pawar, S.G.; Pradnyakar, N.V.; Modak, J.P. Piezoelectric transducer as a renewable energy source: A review. J. Phys. Conf. Ser. 2021, 1913, 012042. [Google Scholar] [CrossRef]
- Gemelli, A.; Tambussi, M.; Fusetto, S.; Aprile, A.; Moisello, E.; Bonizzoni, E.; Malcovati, P. Recent Trends in Structures and Interfaces of MEMS Transducers for Audio Applications: A Review. Micromachines 2023, 14, 847. [Google Scholar] [CrossRef]
- Zhang, T.; Sun, H.; Yin, C.; Jung, Y.H.; Min, S.; Zhang, Y.; Zhang, C.; Chen, Q.; Lee, K.J.; Chi, Q. Recent progress in polymer dielectric energy storage: From film fabrication and modification to capacitor performance and application. Progr. Mater. Sci. 2023, 140, 101207. [Google Scholar] [CrossRef]
- Huang, S.; Liu, K.; Zhang, W.; Xie, B.; Dou, Z.; Yan, Z.; Tan, H.; Samart, C.; Kongparakul, S.; Takesue, N.; et al. All-Organic Polymer Dielectric Materials for Advanced Dielectric Capacitors: Theory, Property, Modified Design and Future Prospects. Polym. Rev. 2023, 63, 515–573. [Google Scholar] [CrossRef]
- Adekunle, A.A.; Oparanti, S.O.; Fofana, I. Performance Assessment of Cellulose Paper Impregnated in Nanofluid for Power Transformer Insulation Application: A Review. Energies 2023, 16, 2002. [Google Scholar] [CrossRef]
- Khan, S.A.; Tariq, M.; Khan, A.A.; Alamri, B. Effect of Iron/Titania-Based Nanomaterials on the Dielectric Properties of Mineral Oil, Natural and Synthetic Esters as Transformers Insulating Fluid. IEEE Access 2021, 9, 168971–168980. [Google Scholar] [CrossRef]
- Chan, K.Y.; Baktash, A.; Demir, B.; Mayes, E.L.; Yang, D.; Pham, D.Q.; Lin, K.T.; Mouritz, A.P.; Ang, A.S.; Fox, B.; et al. Tailoring mechanical and electrical properties of graphene oxide film for structural dielectric capacitors. J. Power Sources 2021, 482, 229020. [Google Scholar] [CrossRef]
- Tang, R.; Nomura, K.; Inoue, K.; Kotani, M.; Kyotani, T.; Nishihara, H. Capacitance of edge-free three-dimensional graphene: New perspectives on the design of carbon structures for supercapacitor applications. Electrochim. Acta 2022, 429, 141009. [Google Scholar] [CrossRef]
- Liu, L.; Qu, J.; Gu, A.; Wang, B. Percolative polymer composites for dielectric capacitors: A brief history, materials, and multilayer interface design. J. Mater. Chem. A 2020, 8, 18515–18537. [Google Scholar] [CrossRef]
- Huang, J.; Sumpter, B.G.; Meunier, V. A Universal Model for Nanoporous Carbon Supercapacitors Applicable to Diverse Pore Regimes, Carbon Materials, and Electrolytes. Chem. Eur. J. 2008, 14, 6614–6626. [Google Scholar] [CrossRef] [PubMed]
- Yu, Y.; Li, C.; Wang, H.; Chen, J.; Zhu, X.; Ying, Z.; Song, Y. High-specific-capacitance electrolytic capacitors based on anodic TiO2 nanotube arrays. Electrochim. Acta 2022, 429, 140974. [Google Scholar] [CrossRef]
- Liu, S.; Wei, L.; Wang, H. Review on reliability of supercapacitors in energy storage applications. Appl. Energy 2020, 278, 115436. [Google Scholar] [CrossRef]
- Andrei, O.E.; Bica, I. Some mechanisms concerning the electrical conductivity of magnetorheological suspensions in magnetic field. J. Ind. Eng. Chem. 2009, 15, 573–577. [Google Scholar] [CrossRef]
- Bica, I.; Anitas, E. Magnetic field intensity effect on electrical conductivity of magnetorheological biosuspensions based on honey, turmeric and carbonyl iron. J. Ind. Eng. Chem. 2018, 64, 276–283. [Google Scholar] [CrossRef]
- Bica, I.; Anitas, E. Magnetodielectric effects in membranes based on magnetorheological bio-suspensions. Mater. Des. 2018, 155, 317–324. [Google Scholar] [CrossRef]
- Bica, I.; Anitas, E.M.; Chirigiu, L. Hybrid Magnetorheological Composites for Electric and Magnetic Field Sensors and Transducers. Nanomaterials 2020, 10, 2060. [Google Scholar] [CrossRef] [PubMed]
- Iacobescu, G.E.; Bunoiu, M.; Bica, I.; Sfirloaga, P.; Chirigiu, L.M.E. A Cotton Fabric Composite with Light Mineral Oil and Magnetite Nanoparticles: Effects of a Magnetic Field and Uniform Compressions on Electrical Conductivity. Micromachines 2023, 14, 1113. [Google Scholar] [CrossRef]
- Bica, I.; Anitas, E.M.; Choi, H.J.; Sfirloaga, P. Microwave-assisted synthesis and characterization of iron oxide microfibers. J. Mater. Chem. C 2020, 8, 6159–6167. [Google Scholar] [CrossRef]
- Genç, S. Synthesis and Properties of Magnetorheological (MR) Fluids. Ph.D. Thesis, University of Pittsburg, Pittsburg, PA, USA, 2002. Available online: http://d-scholarship.pitt.edu/8924/1/genc12-20.pdf (accessed on 24 May 2024).
- Baabu, P.R.S.; Kumar, H.K.; Gumpu, M.B.; Babu, K.J.; Kulandaisamy, A.J.; Rayappan, J.B.B. Iron Oxide Nanoparticles: A Review on the Province of Its Compounds, Properties and Biological Applications. Materials 2023, 16, 59. [Google Scholar] [CrossRef] [PubMed]
- Meijer, J.M.; Rossi, L. Preparation, properties, and applications of magnetic hematite microparticles. Soft Matter 2021, 17, 2354–2368. [Google Scholar] [CrossRef] [PubMed]
- Malasi, A.; Taz, H.; Farah, A.; Patel, M.; Lawrie, B.; Pooser, R.; Baddorf, A.; Duscher, G.; Kalyanaraman, R. Novel Iron-based ternary amorphous oxide semiconductor with very high transparency, electronic conductivity and mobility. Sci. Rep. 2015, 5, 18157. [Google Scholar] [CrossRef] [PubMed]
- Pal, R. Recent Progress in the Viscosity Modeling of Concentrated Suspensions of Unimodal Hard Spheres. ChemEngineering 2023, 7, 70. [Google Scholar] [CrossRef]
- Batchelor, G.K. The effect of Brownian motion on the bulk stress in a suspension of spherical particles. J. Fluid Mech. 1977, 83, 97–117. [Google Scholar] [CrossRef]
- Felicia, L.J.; John, R.; Philip, J. Rheological Properties of Magnetorheological Fluid with Silica Nanoparticles StabilizersA Comparison with Ferrofluid. J. Nanofluids 2013, 2, 75–84. [Google Scholar] [CrossRef]
- Chauhan, V.; Kumar, A.; Sham, R. Magnetorheological fluids: A comprehensive review. Manuf. Rev. 2024, 11, 6. [Google Scholar] [CrossRef]
- Bica, I.; Anitas, E.M.; Averis, L.M.E.; Kwon, S.H.; Choi, H.J. Magnetostrictive and viscoelastic characteristics of polyurethane-based magnetorheological elastomer. J. Ind. Eng. Chem. 2019, 73, 128–133. [Google Scholar] [CrossRef]
- Wu, M.; Xiong, Y.; Jia, Y.; Niu, H.; Qi, H.; Ye, J.; Chen, Q. Magnetic field-assisted hydrothermal growth of chain-like nanostructure of magnetite. Chem. Phys. Lett. 2005, 401, 374–379. [Google Scholar] [CrossRef]
- Zhang, X.; Lu, W.; Zhou, G.; Li, Q. Understanding the Mechanical and Conductive Properties of Carbon Nanotube Fibers for Smart Electronics. Adv. Mater. 2020, 32, 1902028. [Google Scholar] [CrossRef]













| mFe, (cm3) | mFe, (g) | SO, cm3) | SO, (g) | , (vol.%) | , (wt.%) | , (A·m2/kg) | |
|---|---|---|---|---|---|---|---|
| CL1 | 0.20 | 0.575 | 1.80 | 1.75 | 10 | 24.8 | 2.27 |
| CL2 | 0.40 | 1.150 | 1.60 | 1.55 | 20 | 42.6 | 4.54 |
| CL3 | 0.60 | 1.725 | 1.40 | 1.36 | 30 | 56.0 | 6.81 |
| CL4 | 0.80 | 2.300 | 1.20 | 1.16 | 40 | 66.4 | 9.08 |
| , () | , (/mT) | , () | , (/mT) | |
|---|---|---|---|---|
| PEC1 | 2.070 ± 0.034 | 0.001 ± 1.409 × 10−4 | 6.049 ± 0.030 | 0.006 ± 1.188 × 10−4 |
| PEC2 | 2.733 ± 0.034 | 0.002 ± 1.412 × 10−4 | 6.867 ± 0.030 | 0.007 ± 1.166 × 10−4 |
| PEC3 | 4.016 ± 0.043 | 0.002 ± 1.785 × 10−4 | 6.388 ± 0.042 | 0.008 ± 1.757 × 10−4 |
| PEC4 | 5.273 ± 0.039 | 0.003 ± 1.617 × 10−4 | 9.901 ± 0.092 | 0.010 ± 3.849 × 10−4 |
Disclaimer/Publisher’s Note: The statements, opinions and data contained in all publications are solely those of the individual author(s) and contributor(s) and not of MDPI and/or the editor(s). MDPI and/or the editor(s) disclaim responsibility for any injury to people or property resulting from any ideas, methods, instructions or products referred to in the content. |
© 2024 by the authors. Licensee MDPI, Basel, Switzerland. This article is an open access article distributed under the terms and conditions of the Creative Commons Attribution (CC BY) license (https://creativecommons.org/licenses/by/4.0/).
Share and Cite
Bica, I.; Anitas, E.M.; Iacobescu, G.E. Electrical Capacitors Based on Silicone Oil and Iron Oxide Microfibers: Effects of the Magnetic Field on the Electrical Susceptance and Conductance. Micromachines 2024, 15, 953. https://doi.org/10.3390/mi15080953
Bica I, Anitas EM, Iacobescu GE. Electrical Capacitors Based on Silicone Oil and Iron Oxide Microfibers: Effects of the Magnetic Field on the Electrical Susceptance and Conductance. Micromachines. 2024; 15(8):953. https://doi.org/10.3390/mi15080953
Chicago/Turabian StyleBica, Ioan, Eugen Mircea Anitas, and Gabriela Eugenia Iacobescu. 2024. "Electrical Capacitors Based on Silicone Oil and Iron Oxide Microfibers: Effects of the Magnetic Field on the Electrical Susceptance and Conductance" Micromachines 15, no. 8: 953. https://doi.org/10.3390/mi15080953
APA StyleBica, I., Anitas, E. M., & Iacobescu, G. E. (2024). Electrical Capacitors Based on Silicone Oil and Iron Oxide Microfibers: Effects of the Magnetic Field on the Electrical Susceptance and Conductance. Micromachines, 15(8), 953. https://doi.org/10.3390/mi15080953

